INTRODUCCIÓN
El intestino humano y animal puede considerarse como un fermentador que produce ecosistemas complejos de bacterias aeróbicas y anaeróbicas. El método más común de producción comercial de probióticos es la fermentación. Las formas más comunes de probióticos se encuentran de forma natural en los productos lácteos fermentados, además, los alimentos fermentados como el kimchi kombucha, masa madre, encurtidos y chucrut se han utilizado durante mucho tiempo como fuente de probióticos para los humanos. Curiosamente, la mayoría de las cepas probióticas pertenecen al género Bifidobacterium, sin embargo, el Lactobacillus también contribuye ampliamente a la creciente lista de probióticos conocidos. La microbiota intestinal en los seres humanos está predominada por las Bifidobacterias lo que la convierte en uno de los géneros más utilizados en los probióticos comerciales (Hathi et al., 2021). Sabio et al. (2021) afirman que la Organización Mundial De La Salud (OMS) menciona que el aumento de las bacterias resistentes a los antibióticos es una de las mayores amenazas para la salud mundial, por lo tanto, se necesitan urgentemente nuevos enfoques sin antibióticos para el tratamiento y la prevención de las infecciones bacterianas. Los antibióticos han sido los aditivos más utilizados para mejorar la conversión alimenticia, la tasa de crecimiento y la salud en animales, mejorando tanto la productividad como la rentabilidad en la producciones comerciales tradicionales (Lourenço et al., 2019). Sin embargo, las cepas bacterianas resistentes a los antimicrobianos que se originan en animales se han convertido en un problema cada vez más importante a lo largo de los años, especialmente en lo que respecta a la transmisión a través del suministro de alimentos o el contacto directo con los animales. Otras posibles amenazas para la seguridad alimentaria asociadas al tratamiento con antibióticos en los animales destinados a la alimentación son un aumento de las reacciones alérgicas y del tratamiento con antibióticos. Las alternativas a los antibióticos se han introducido progresivamente en los sistemas productivos (Ricke et al., 2020). Los antibióticos han sido sustituidos por productos que han demostrado ser viables en esquemas alternativos de producción avícola y que incluyen producción ecológica, como enzimas, ácidos orgánicos e inorgánicos, probióticos, prebióticos, simbióticos, hierbas y aceites esenciales (Shi et al., 2019). Cuando se utilizan los probióticos en los sistemas productivos, se espera que tengan efectos favorables similares a los antibióticos utilizados en los sistemas convencionales de producción. En este orden de ideas, el objetivo del presente estudio fue evaluar el efecto de la micro encapsulación en la viabilidad probiótica de L. gasseri bajo condiciones gastrointestinales simuladas y su capacidad de inhibición en Listeria monocytogenes y Staphylococcus aureus.
MÉTODO
Localización
El trabajo de investigación se realizó en el Laboratorio del Grupo de Investigación PROBIOTEC-FORAPIS y laboratorios especializados-sección de cromatografía, de la Universidad de Nariño, Torobajo, ubicados en el Municipio de Pasto, Departamento de Nariño, localizado a 2.527 m.s.n.m, con una temperatura entre 7 y 16 °C. Todos los procedimientos experimentales se llevaron a cabo de acuerdo al Manual de Bioseguridad en el laboratorio-3ra Edición (WHO, 2005). Esta investigación fue avalada por El Comité de Ética en la Experimentación Animal de la Universidad Nacional de Colombia, Sede Medellín (CEMED-115-19, diciembre 09 de 2019), usando las cepas comerciales Lactobacillus gasseri ATCC® 19992, Listeria monocytogenes ATCC® 9112 y Staphylococcus aureus ATCC® 1708.
Cinética de fermentación
Se propuso el medio de cultivo comercial MRS (D-glucosa 20 g/L; extracto de carne 8 g/L; extracto de levadura 4 g/L) y el medio de cultivo no comercial PRO basado en la metodología de Jurado-Gámez et al. (2016) (10 g/L azúcar blanco, 15 g/L leche de soya, 150 g/L leche en polvo, 15 g/L de inulina). Las variables evaluadas durante la cinética fueron las siguientes: conteo de microorganismos viables en placa (UFC/mL), determinación de pH, determinación de producción de proteínas totales (Lowry et al.,1951), determinación de consumo de azúcares totales (Dubois et al., 1965), determinación de producción de ácido láctico (Morales-Erazo et al., 2019) y evaluación de producción de biomasa (Crueger y Crueger, 1993; Rodríguez et al., 2003; Madigan et al., 2009). Las mediciones se realizaron cada 2:50 h durante un periodo de 24 h. Adicionalmente, se tomó una muestra de sobrenadante de L. gasseri, por HPLC-DAD, se determinó el contenido de péptidos, ácido láctico y aminoácidos, este último también para las cepas patógenas; para lo anterior, se ajustó, por espectrofotometría, a una densidad óptica 0,125, en escala McFarland patrón 0,5 (1,5x108 bacterias/mL). Luego, se trasfirieron muestras en tubos Eppendorf y se centrifugaron a 18.000 r.p.m, durante 30 min, a 4 °C. Por último, el sobrenadante se filtró, utilizando membranas PVDF de 0,2 µm y se llevó a lectura.
Microencapsulación de L. gasseri por la técnica de secado por aspersión
Después del anterior proceso, se llevó a cabo la microencapsulación, para esto se realizó el ajuste del inóculo, en donde a L. gasseri, se llevó a incubación a 37 °C por 24 h, a una proporción según Crueger y Crueger (1993) del 10 % v/v, es decir en 90 mL de caldo MRS estéril se añadió 10 mL del inóculo bacteriano. Para el conteo se tomó 1 mL y se llevó a lectura directa en espectrofotómetro a 625 nm. El patrón en la escala de McFarland a la cual se ajustó la población bacteriana fue de 4 equivalente a 1,2x109 UFC/mL. Posteriormente, de acuerdo con Rodríguez et al. (2012), se preparó para el microorganismo una suspensión que consistió en la adición del 15 % p/v en relación 1:1 p/p de los agentes microencapsulantes inulina y maltodextrina y se inoculó con 109 UFC/g del microorganismo. Para esto se utilizó el equipo de secado por aspersión Secador Spray Bilon 6000s®, con una temperatura de entrada de 170 °C y una temperatura de salida de 66 °C, con ciclo completo de 2 h y 30 min, para un flujo de alimentación de 400 mL del total de inóculo. De igual manera, se determinaron las siguientes propiedades físicas del microencapsulado: actividad de agua, humedad relativa, solubilidad, humectabilidad, higroscopicidad y eficiencia de microencapsulación %EE= A−B A 𝑥 100, siendo A la concentración bacteriana antes de la microencapsulación y B es la concentración de la bacteria después de microencapsular encontrada en el sobrenadante), siguiendo las metodologías propuestas por Gonzales et al. (2015) y Rodríguez-Barona et al. (2016). Además, se determinó el tamaño y la morfología de las microcápsulas utilizando un microscopio electrónico de barrido FEG (Field Emission Gun)-QUANTA 650 FEG. Dicho análisis fue realizado en el laboratorio del Centro de Microscopía y Microanálisis (Bogotá, Colombia). El material microencapsulado se almacenó a temperatura ambiente del laboratorio de investigación de 20 ± 2 °C durante 45 días.
Viabilidad bajo condiciones gastrointestinales simuladas
Después de realizada la microencapsulación, se determinó el crecimiento de L. gasseri microencapsulado en condiciones gastrointestinales simuladas, a un pH de 3,0 (Fase gástrica) y una fase intestinal con concentraciones de sales biliares bovinas de 0,3 y 1 % y bilis bovina de 0,3 y 0,5 %, y a niveles de pH de 5,0 y 7,0. La incubación se realizó en condiciones de aerobiosis en medio MRS comercial a 37 °C durante 48 h y el ajuste del pH se realizó con ácido tartárico (Freudig et al., 1999). Adicionalmente, se evaluó la resistencia a lisozima sometiendo la cepa láctica a diferentes preparaciones: (i) 0,6 µL de cultivo y 0,60 µg de lisozima, (ii) 0,6 µL de cultivo y 120 µg de lisozima, (iii) 0,6 µL de cultivo y 180 µg de lisozima (Rodríguez-González, 2009), se llevó a incubación durante 24 h a 37 °C.
Ensayos de inhibición: Concentración mínima inhibitoria
Para determinar la concentración mínima inhibitoria de L. gasseri de acuerdo a la metodología de Tagg y McGiven (1971), se propuso los siguientes métodos: (i) método discos de agar donde se evaluó concentraciones de 90, 120 y 150 µL (ii) método discos modificado (PADS) con concentraciones de 80, 90 y 100 µL (iii) método difusión en pozos y difusión en pozos doble capa modificado con concentraciones de 90, 120 y 150 µL. Sumado a esto, se verificó la producción de exopolisacáridos (EPS) de acuerdo con lo descrito por Elinalva et al. (2012), donde se utilizaron discos de papel de filtro estéril (5 mm) impregnados con 5 µL de cultivo láctico en placas petri con agar MRS para observar la producción de EPS (Guimarães et al., 1999). El ensayo se realizó bajo las siguientes condiciones: nivel de pH (6,0±0,2), diferentes temperaturas (28±2 ºC, 35±2 ºC y 42±2 ºC) y tiempos de incubación (24 h, 48 h y 7 días). Finalmente, se evaluó la susceptibilidad de la cepa láctica y las cepas patógenas frente a los antibióticos ampicilina (AMP) 10 µg, penicilina (P) 10 IU, vancomicina (VAN) 30 µg, cefalotina (KF) 30 µg, ciprofloxacina (CIP) 5 µg, gentamicina (CN) 10 µg, dicloxacilina (DCX) 1 µg, cefatoxime (CTX) 30 µg, meticilina (5 µg), florfenicol (FFC) 3 µg (Bauer et al., 1966).
Diseño estadístico
Para evaluar las variables de la cinética de fermentación se utilizó un diseño de medidas repetidas en el tiempo, en donde se usó como factor fijo los medios de cultivo (MRS y PRO) y las medidas en el tiempo como factor aleatorio. Para ello, primero se determinó la mejor estructura de covarianza mediante los criterios de akaike y bayesiano. La viabilidad se evaluó mediante un diseño completamente aleatorizado, donde se propuso como tratamientos la cepa sin microencapsular y microencapsulada a los días 8, 15, 20, 30 y 45 días. Se utilizó un total de 5 réplicas por cada tratamiento, por su parte en la caracterización física del material microencapsulado se evaluó de manera descriptiva haciendo uso del diagrama de líneas con barra de error (95 %) en los puntos de las medias. El crecimiento en condiciones gastrointestinales se analizaron bilis y sales biliares en los dos pH propuestos de tal manera que, se utilizó un diseño completamente aleatorizado con arreglo factorial 2x2, donde el primer factor fue la concentración de bilis (0,3 y 0,5 %) y sales biliares (0,1 y 0,3 %) mientras que el segundo factor fue el pH (5,0 y 7,0), se utilizó un total de 4 tratamientos y 6 réplicas por tratamiento. Finalmente, para lisozima se hizo uso de estadística descriptiva, donde se realizó un diagrama de barras con error estándar donde se visualizó la media y su error. Para determinar las diferencias entre capacidad de inhibición de las cepas lácticas y su sobrenadante se utilizó un diseño completamente al azar con 5 réplicas, donde se tomaron 60 mediciones de inhibición para cada cepa láctica y para cada cepa patógena. Todos los análisis de inferencias estadísticas se realizaron con un nivel de significancia del 95 %. Los datos se recopilaron y organizaron en Microsoft Excel y para su análisis se procesó la información en el paquete estadístico R. Versión 14.0. (2019). Las diferencias de medias de los diferentes tratamientos se determinaron mediante la prueba paramétrica de Tukey.
RESULTADOS
Los resultados registrados para L. gasseri en la cinética de fermentación se encuentran en la figura 1, y permiten concluir que la fase exponencial en los medios MRS y PRO se alcanzó en el tiempo 4 (8:50 horas). El análisis de medidas repetidas mostró que no existen diferencias significativas entre los medios (p>0,05), mientras que el tiempo (horas) mostró diferencias (p<0,05). En este sentido, la interacción no fue significativa entre el tiempo y los medios (p>0,05). En la determinación de pH se pudo observar un valor en la fase exponencial de los medios MRS y PRO de 4,24 y 4,26 respectivamente, el análisis de varianza demostró que existen diferencias entre medios, de igual manera se encontró que existen diferencias entre horas. La producción de proteína en los medios MRS y PRO presentó valores en la fase logarítmica de 7,32 mg/L y 6,42 mg/L respectivamente. El consumo de azúcar en los medios MRS y PRO presentó valores en la fase logarítmica de 3,14 mg/L y 3,3 mg/L respectivamente. En la determinación de porcentaje de producción de ácido láctico, se presentaron valores iniciales y finales de 0,55-1,74 en el medio MRS y de 0,50-1,73 en el medio PRO. Para la velocidad específica de crecimiento µ max (h-1) se encontraron valores de 0,850 y 0,780 y un tiempo de duplicación celular de 48,91 y 53,31 (min) en los medios MRS y PRO.
Para elaborar alimentos fermentados con organismos probióticos es importante considerar que el alimento contenga todos los nutrientes para que este sea utilizado directamente como sustrato para el crecimiento del organismo (Sánchez, Barragán y Serna, 2019). Así pues, la leche de vaca contiene galactooligosacáridos, siendo ésta una sustancia prebiótica, que confieren beneficio en la salud del huésped, asociado con la modulación de la microbiota, por lo que deben de cumplir requisitos como no ser hidrolizado ni absorbido en la parte superior del tracto gastrointestinal y ser fermentado selectivamente en el colon por un número limitado de bacterias con potencial benéfico (principalmente Lactobacillus y Bifidobacterium) (Taco y García-Godos, 2021). Por su parte, la leche de soya es una buena fuente de hidratos de carbono, principalmente sacarosa, rafinosa y estaquiosa, así como proteínas, magnesio, calcio, hierro, fósforo, potasio y zinc, también es una buena fuente de vitaminas, como el complejo B, C y E, por lo que la soja se considera una excelente alternativa para desarrollar alimentos funcionales (Mendoza-Avendaño, 2019). Los ingredientes antes mencionados hacen parte del medio PRO, sumado a este hecho, un ingrediente que se incorporó fue la inulina más extensivamente estudiada es su comportamiento como prebiótico, se sabe que previenen la colonización del intestino humano por microorganismos patógenos porque estimulan el crecimiento de bacterias beneficiosas como bifidobacterias y lactobacilos que pueden clasificarse como comensales intestinales beneficiosos (Armas, Martínez y Pérez, 2019). García-Gutiérrez et al. (2020) encontraron al evaluar a L. gasseri LM19 en 20 mL de MRS preparado sin glucosa unos crecimientos de 7,30, 7,31 y 7,47 log10 UFC/mL a las 24 h. La BAL en estudio es un microorganismo que, bajo óptimas condiciones de crecimiento, puede llegar a tener una velocidad máxima específica (µ max h-1) de crecimiento mayor a 0,5 µ max h-1 dependiendo de variables como la temperatura, pH y de la concentración del sustrato y del producto. Al respecto, Parra-Huertas (2010) (citado por Armoa-Rojas, 2020) afirma que los lactobacilos son microorganismos que son capaces de fermentar monosacáridos o polisacáridos para transformarlos en ácidos como láctico, cítrico, propiónico, EPS, bacteriocinas, peróxido de hidrogeno, endulzantes no calóricos, vitaminas, bebidas lácteas, ensilados, formación de sabores y aromas deseables, maduración de quesos, entre otros. Ahora bien, en las determinaciones de pH y ácido láctico, fue posible observar que existió una relación inversa entre el pH y la acidez, así pues, a medida que asciende el porcentaje de acidez en el medio, atribuido predominantemente al ácido láctico, el porcentaje de pH desciende, este efecto se encontró en la BAL en los dos medios trabajados. De esta manera, la consecuente disminución del pH tiene un efecto inhibidor sobre el crecimiento de microorganismos patógenos o alterantes en el producto, ya que muy pocas bacterias son capaces de crecer en los niveles de pH alcanzados por la acción de las BAL.
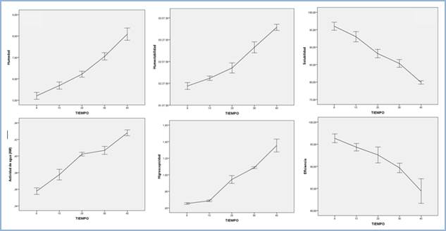
En el proceso de microencapsulación de la cepa láctica resultó determinante no solo la técnica de secado por aspersión, si no, los materiales micro encapsulantes. Este recubrimiento jugó un papel importante en la protección y viabilidad de los microorganismos para incrementar su capacidad de resistir las diferentes barreras fisiológicas simuladas del TGI. Se encontró un tamaño de capsula con un valor mínimo de 2,69 µm y un valor máximo de 12,26 µm, encontrando diferencias significativas entre la cepa sin microencapsular y microencapsulada (p<0,05). Se observó además que existió un descenso de la viabilidad a través del tiempo (p<0,05) (figura 2). En la figura 3 se muestra la tendencia ascendente del porcentaje de humedad (%) con valores iniciales de 5,37 y finales de 8,6, de actividad de agua (Aw %) con valores iniciales de 0,353 y finales de 0,425 %, de humectabilidad (min) con valores iniciales de 2:22 y finales de 3:47 min e higroscopicidad (g humedad/100 g de sólido seco) con valores iniciales de 0,66 y finales de 1,5 g humedad/100 g de sólido seco. A diferencia de los parámetros anteriores el porcentaje de solubilidad (%) mostraron una tendencia decreciente, con valores iniciales de 97 y valores finales de 79,3 % y en la eficiencia del microencapsulado (%) se encontraron valores iniciales de 97 y valores finales de 79,9 %.

Figura 2 Porcentaje de viabilidad de L. gasseri sin microencapsular y microencapsulada y microfotografía electrónica.
El factor más importante en la microencapsulación es la viabilidad y estabilidad de los microorganismos microencapsulados, y estuvo condicionada por diversos factores, como las propiedades físicas de los mismos; en la evaluación de éstas, se obtuvieron resultados variables. La actividad de agua del polvo, pese a su alta higroscopicidad, permaneció estable durante el almacenamiento, lo cual contribuyó a la estabilidad del polvo de la BAL. Según Fritzen-Freire et al. (2013) (citado por Rosolen-Dutra et al., 2019) podría ser afectado por el tamaño de partícula al relacionar la superficie externa frente a la adsorción de agua del ambiente. La humedad de las muestras no presentó diferencias significativas (p>0,05), sin embargo, son más altas que algunas reportadas, debido posiblemente a la temperatura de secado, sin embargo, Arepally et al. (2020), y coincidiendo con lo reportado en la presente investigación, encontraron valores de humedad del polvo probiótico encapsulado de L. acidophilus en un rango de 4,59 a 9,05 %. Al respecto, Lapsiri, Bhandari y Wanchaitanawong (2013) (citado por Sun et al., 2020) mencionan que la composición de la solución encapsuladora es relevante porque puede minimizar los efectos del tratamiento térmico, mejorando la supervivencia durante el secado y la viabilidad durante el almacenamiento. Varios agentes encapsulantes (maltodextrina, proteínas, leche desnatada reconstituida, polisacáridos, entre otros) se han utilizado para proteger a los probióticos del daño térmico y la deshidratación durante el secado por aspersión, mantener su estabilidad durante el almacenamiento y su viabilidad en las condiciones gastrointestinales del huésped.
En la exposición a condiciones gastrointestinales simuladas se encontraron aceptables valores de crecimiento entre 2,8 x 10⁷ y 3,3 x 10⁹ UFC/mL y buena supervivencia microbiana de la BAL en la fase gástrica (pH 3,0). En la determinación de resistencia a lisozima, se encontraron diferencias estadísticas significativas entre las diversas concentraciones de lisozima (p<0,05). Respecto a las variables pH (pH 5,0 y 7,0) y sales biliares (0,3 y 1,0 %), correspondientes a la fase intestinal, no mostraron diferencias significativas (p>0,05) entre los niveles evaluados, así como tampoco se observó un efecto de interacción significativo. Lo anterior, demuestra que la variable crecimiento fue similar en todos los niveles evaluados. Para el caso de la bilis (0,3 y 0,5%) y pH (5,0 y 7,0) los resultados estadísticos mostraron que no existen diferencias significativas (p>0,05) (Cuadro 1).
En los ensayos de la resistencia a las condiciones gastrointestinales in vitro, la BAL en estudio evidenció una tendencia de supervivencia a las mismas, superando las barreras enzimáticas fisiológicas encontradas en el TGI, atribuido a la protección térmica y de pared del material micro encapsulante, así como también, a que L. gasseri es un microorganismo aislado del TGI y el tracto vaginal del ser humano, por lo tanto, tiene la capacidad de desarrollarse y establecerse en condiciones, que para otros microorganismos pudiesen resultar desafiantes. Chavarrí et al. (2010) (citado por Liu et al., 2019) reportaron para L. gasseri un porcentaje de viabilidad en condiciones gástricas con un jugo gástrico simulado ajustado a un pH 2,0 de 95 % a los 0 minutos y un porcentaje de 92 % a los 120 minutos, con un crecimiento limite a este tiempo de 107 UFC/mL y un valor de viabilidad en jugos intestinales simulados ajustados a pH 7,5 de 7,03 Log UFC/mL a los 0 minutos y un valor de 6,95 Log UFC/mL a los 120 minutos. Fuenzalida et al. (2021) señalan que, uno de los requisitos importante para determinar la utilización de los Lactobacillus como probiótico, es que las cepas sean capaces de adherirse a las células intestinales ya que constituye un prerrequisito para la colonización, dichos Lactobacillus deben soportar las barreras potenciales tales como pH del estómago, presencia de bilis y las interacciones con otros microorganismos presentes en el TGI, por tanto, se requieren cepas ácido-tolerantes a extractos gástricos y fluidos duodenales.
En el establecimiento de la concentración mínima inhibitoria en los diferentes métodos frente a las cepas patógenas, se encontró para L. gasseri frente a los microorganismos patógenos, diferencias significativas entre los tratamientos evaluados (p<0,05). Como se puede observar en la figura 5, presentó mayor tamaño de inhibición en el método con disco de agar, seguido por el método PADS y finalmente los métodos de pozos, siendo estos últimos similares entre sí. Los resultados indicaron que las tres concentraciones son similares, dado que no existieron diferencias significativas (p>0,05). En la verificación de producción de EPS se encontró un resultado positivo cuando se sometió a la condición de 28 °C durante 7 días en los medios propuestos, en las otras condiciones a pesar de presentar crecimiento bacteriano, no se observó la formación de colonia mucoide, por lo tanto, se reportó como negativo. En la figura 6, se presenta la formación en caja de Petri de colonia mucoide alrededor de los discos de papel PADS, adicionalmente se observó un crecimiento característico de la BAL, atribuido al periodo de tiempo que se dejaron en incubación, igualmente, se puede observar la precipitación de la colonia mucoide en alcohol absoluto como confirmación de la producción de EPS.

Figura 5 Determinación de los halos de inhibición para L. gasseri frente a S. aureus (A) y L. monocytogenes (B).
Gunyakti y Asan-Ozusaglam (2019) encontraron para L. gasseri aislada de leche materna, diámetros de halos de inhibición para E. coli O157:H7 de 3,5 mm, S. aureus ATCC 25923 de 8,20 mm, L. monocytogenes ATCC 7644 de 14,19 mm, Y. enterocolitica NCTC 11175 de 5,08 mm, entre otros. Por lo tanto, se espera que una cepa que se defina como un cultivo probiótico inhiba el desarrollo de microorganismos patógenos mediante la secreción de diversas sustancias antimicrobianas en un hábitat colonizado, por su parte, los EPS tienen también pertinencia en dicha actividad antimicrobiana. Otra finalidad para los EPS derivados de BAL es su uso en la industria alimentaria como emulsionantes, estabilizadores, espesantes, agentes gelificantes; así como para retener humedad, para influir en la reología, firmeza y sinéresis y para mejorar la textura las propiedades sensoriales, también pueden inducir actividades antimicrobianas y antioxidantes beneficiosas que aumentan aún más su potencial de aplicación en la industria alimentaria (Abid et al., 2021).
Finalmente, en el cuadro 2, se presenta, los ensayos de susceptibilidad de agentes antimicrobianos-discos de antibióticos para antibiograma, donde se encontró para la cepa láctica un perfil de resistencia frente a penicilina, cefalotina, ciprofloxacina, gentamicina y dicloxacilina. Respecto a las cepas patógenas, también se encontró una resistencia importante a antibióticos como cefatoxime, ampicilina, penicilina, cefalotina ciprofloxacina, dicloxacilina, vancomicina y florfenicol. Como criterio para estimar el halo de medición se tomó lo establecido por The Clinical and Laboratory Standards Institute (CLSI) y por el manual de antibiograma de LABORCLIN.
Cuadro 2 Ensayos de susceptibilidad frente a agentes antimicrobianos de la cepa láctica y patógenas.
En contraste con lo encontrado en la presente investigación, autores como Gunyakti y Ozusaglam (2019) reportaron para L. gasseri MA-4 un perfil de sensibilidad a ampicilina (10 µg), amoxicilina (30 µg) y penicilina (10 µg) y un perfil de resistencia a gentamicina (10 µg). Según la literatura, las especies de Lactobacillus aisladas de diversas fuentes, se observaron más comúnmente como susceptibles a los antibióticos β-lactamasas como la amoxicilina, ampicilina, penicilina G y cloxacilina (Campedelli et al., 2019), también suelen presentar propiedades de resistencia intrínseca (no transmisible) hacia los aminoglucósidos (amikacina, kanamicina y gentamicina) y el grupo de las quinolonas (ácido nalidíxico y ofloxacina) (Yang et al., 2019). En algunos otros estudios, la susceptibilidad a los antibióticos ha sido como un criterio importante para que una cepa sea un buen probiótico, por su parte, Alarjani et al. (2021) observaron al evaluar la susceptibilidad a agentes antimicrobianos para S. aureus, que más del 35 % de las cepas bacterianas de S. aureus aisladas mostraron resistencia a la vancomicina, la penicilina y la eritromicina. Estudios recientes han demostrado que S. aureus asociados con la infección por el virus de la gripe aumenta el riesgo de neumonía y la consiguiente mortalidad (Jia et al., 2019). Dentro de los antimicrobianos más frecuentemente implicados en mecanismos de resistencia se encuentran las tetraciclinas y gentamicina, seguido por otros antimicrobianos como penicilina, clindamicina, sulfametoxazol-trimetoprim. La prevalencia de estos aislados de Listeria spp. resistentes a los antibióticos en las producciones ganaderas es extremadamente peligrosa, ya que pueden transferirse fácilmente tanto a los seres humanos como a los animales. La resistencia a la tetraciclina en L. monocytogenes se debe principalmente a los plásmidos conjugativos y transposones originados de Enterococcus o Streptococcus, donde los genes de resistencia implicados son tetS, tetM y tetL. Cabe recordar que el proceso de conjugación incluye contacto directo de célula a célula, formación de pares de apareamiento y transferencia de ADN plasmídico a través de un pili conjugativo, además, se menciona que la adquisición del material genético móvil tiene lugar en el tracto gastrointestinal de los humanos (Chokshi et al., 2019).
CONCLUSIONES
Se ha reportado en la literatura una importante evidencia del efecto benéfico y probiótico de las cepas lácticas en estudio, debido a su acción inhibitoria frente innumerables patógenos, comprendidos desde bacterias y virus hasta mohos y hongos, así como también su papel como psicobióticos al tener la capacidad, entre uno de sus mecanismos, de influir en la producción de algunas hormonas que propician el bienestar general del hospedero. Así pues, el crecimiento de la cepa láctica en los medios de cultivo propuestos fue superior a 3,0x109 UFC/mL y se observó que en los dos medios se alcanzaron fases logarítmicas similares, así como también una mejor producción de ácido láctico en el medio PRO. Respecto a la matriz microencapsulante, la elección de maltodextrina e inulina demostró tener un papel funcional como material de pared y con efecto prebiótico y termoprotector, favoreciendo la viabilidad de las cepas en almacenamiento y cuando se sometió a las mismas a condiciones gastrointestinales. Se encontró también un tamaño de capsula de acuerdo a los límites establecidos, con una superficie lisa y con ausencia de porosidad. Finalmente, se reportó un importante efecto inhibitorio de la BAL frente a las cepas patógenas, encontrando que este efecto en todos los métodos propuestos, sin embargo, los métodos con mejores halos de inhibición fueron: el método de discos de agar, y método de difusión en agar con discos impregnados (PADS). De acuerdo a lo anterior, es posible afirmar que la BAL en estudio corresponde como una alternativa inocua y altamente viable para su aplicación en producción animal, con el fin de, y enmarcados en la prevención y manejo, evitar morbilidad y mortalidad en los animales, así como también en la industria alimentaria para efectos de conservación e inhibición de patógenos potencialmente dañinos en la cadena alimentaria.

















