Services on Demand
Journal
Article
Indicators
-
Cited by SciELO -
Access statistics
Related links
-
Cited by Google -
Similars in
SciELO -
Similars in Google
Share
Revista Latinoamericana de Ciencias Sociales, Niñez y Juventud
Print version ISSN 1692-715X
Rev.latinoam.cienc.soc.niñez juv vol.10 no.1 Manizales Jan./June 2012
Segunda Sección: Estudios e Investigaciones
Interacciones sociales y explotación económica*
Interações sociais e explotação econômica
Social interactions and economic exploitation
Andrés Montaña 1
1 Especialista Cinde, Bogotá, Colombia.Doctor en Ciencias Económicas Universidad Nacional de Colombia, Sede Bogotá. Correo electrónico: admontanas@unal.edu.co.
Artículo recibido en enero 25 de 2010; artículo aceptado en marzo 26 de 2010 (Eds.)
Resumen:
Planteo aquí un nuevo modelo de interacción social general basado en las dotaciones de información, heurística y recursos de los agentes de una organización social. A partir de estas dotaciones se puede hacer una representación en un espacio social determinado en el que se desarrollan interacciones sociales. El modelo permite identificar la posición de un agente en el espacio social y hacer comparaciones interpersonales. A partir del modelo de interacción social general, planteo un modelo de explotación económica. Una autoridad desde este modelo de explotación puede establecer áreas de restricción para determinar la explotación económica de los agentes. El cálculo de las dotaciones y las combinaciones de éstas, pueden permitir a una autoridad determinar si existe o no explotación de unos agentes por otros, fijar categorías de explotación, e identificar áreas de atención prioritarias. El modelo se podría constituir en una herramienta más apropiada para la identificación de la condición laboral o económica de los niños y niñas.
Palabras Clave: interacción social, explotación, espacio social.
Resumo:
Proponho aqui um novo modelo de interação social geral baseado nas dotações de informação, heurística e recursos dos agentes de uma organização social. A partir destas dotações pode-se fazer uma representação em um espaço social determinado no que se desenvolvam interações sociais. O modelo permite identificar a posição de um agente no espaço social e fazer comparações interpessoais. A partir do modelo de interação social geral, proponho um modelo de exploração econômica. Uma autoridade desde este modelo de exploração pode estabelecer áreas de restrição para determinar a exploração dos agentes. O cálculo das dotações e as combinações destas, pode permitir a uma autoridade determinar se existe ou não exploração de uns agentes por outros, fixar categorias de exploração, e identificar áreas de atenção prioritárias. O modelo poder-se-ia constituir em uma ferramenta mais apropriada para a identificação da condição trabalhista ou econômica das crianças.
Palavras Chave: interação social, explotação, espaço social.
Abstract:
A new model of social interaction is proposed based on the information resources, heuristics and availability of agents of a social organization. Based on these resources a representation can be done within a determined social space in which the social interactions take place. The model permits the identification of the position of a given agent within the social space and to make interpersonal comparisons. Starting from the model of general social interaction, I propose a model of economical exploitation. From such model of exploitation an authority can establish restriction areas to determine the economical exploitation of the agents. The calculation of allocations and combinations derived from them, may allow an authority to determine whether or not exploitation exists of some agents by others, to establish categories of exploitation, and identify areas of priority attention. The model could constitute a more appropriate tool for the identification of the work or economic condition of children.
Key words: social interaction, exploitation, social space.
1. Introducción
El presente artículo tiene como objetivo plantear un nuevo modelo de interacción social general basado en las dotaciones de información, heurística y recursos de los agentes de una organización social cualquiera. A partir de estas dotaciones se puede hacer una representación en un espacio social determinado en el que se desarrollan interacciones sociales. El modelo permite identificar la posición de un agente en el espacio social y hacer comparaciones entre las posiciones y las dotaciones de los agentes.
Igualmente tiene como objetivo plantear un nuevo modelo de explotación económica a partir del modelo de interacción social general basado en las dotaciones de información, heurística y recursos de los agentes, en tanto que la explotación económica puede ser un tipo de interacción social específica. La explotación vista desde este espacio social de interacción permite determinar áreas de restricción que pueden ser fijadas por una autoridad para prevenir la explotación económica de los agentes. El cálculo de las dotaciones y las combinaciones de éstas pueden permitir a una autoridad determinar si existe o no explotación de unos agentes por otros.
En el numeral 2 presento unas consideraciones teóricas generales sobre la interacción social, y desde el punto de vista de la teoría económica. Presento además la propuesta para un nuevo modelo para entender las interacciones sociales en general en una organización, y definir un Espacio Social mediante la utilización de tres parámetros: Recursos, Heurística e Información. Además examino las implicaciones del modelo de interacción presentado.
En el numeral 3 presento un acercamiento al concepto de explotación económica infantil y planteo un modelo para determinar las funciones de ingreso del sujeto explotador y del sujeto explotado, así como la tasa de explotación de los niños y niñas en el entorno de una organización, a partir del modelo general de interacción previamente planteado. En el numeral 4 elaboro unas conclusiones generales.
2. Interacciones sociales en la teoría social en general y en la teoría económica1
Consideraciones teóricas generales acerca de la interacción social
Herbert Simon (1953, p. 664) planteó hace más de medio siglo cómo, para hacer comparaciones interculturales, se deben tener en cuenta dos elementos esenciales: "1) la similitud fundamental (técnicamente un "isomorfismo") entre los dos objetos a comparar; y 2) una descripción de las similitudes y diferencias entre los elementos similares en los dos objetos comparados. Sin el primer elemento el segundo carece de significado". La similitud, o isomorfismo, como lo plantea Simon, no requiere ser estructural, pues puede ser también funcional. Sin embargo, establecer las características estructurales de un grupo de agentes involucra grandes complejidades, las cuales se relacionan con cada uno de los conjuntos de la actividad humana que se tienen en consideración.
En el momento histórico actual en el cual las organizaciones sociales y económicas emergen en todas las áreas específicas de la cultura, resulta interesante indagar acerca de los significados, recursos y reglas que gobiernan a estas organizaciones.
Estas interacciones específicas pueden ser explicadas como relaciones entre las personas, las cuales a través del tiempo devienen formales y continuas, a partir de la relación entre dos personas -unidad mínima de relación social-. La literatura expresa un gran interés en el análisis de las interacciones económicas desde diferentes puntos de vista. Bruni (2004), por ejemplo, realizó una revisión de las relaciones sociales en la teoría económica y los vínculos entre las relaciones interpersonales y el bienestar y la felicidad; Degli Antoni (2005, p.1) hizo énfasis en las relaciones sociales, especialmente en su relación con el crecimiento económico, el desempeño gubernamental, la educación y el desarrollo financiero. Este autor estableció una distinción entre las relaciones interpersonales formales y las informales, caracterizando las primeras como aquellas relaciones sociales que establecen los agentes al interior de algún tipo de institución formal, y las últimas como aquellas que los agentes establecen por fuera de las instituciones formales.
En su Teoría de los Sentimientos Morales, Adam Smith (1790: P. I, S.I, Ch. I-III) consideró que no importa qué tan egoísta sea una persona; hay evidentemente en su naturaleza algunos principios que hacen que se interese en la suerte de los demás, y hacen la felicidad de ellos necesaria para aquélla, aunque no se derive de ésta nada para la persona, salvo el placer de verlo. Smith (1790, I; I; I) plantea que no es posible para nosotros tener una experiencia inmediata de lo que los demás sienten. No podemos más que concebir lo que nosotros mismos sentiríamos en tal situación.
Para entender la realidad, los individuos construimos representaciones abstractas de ésta, analizadas desde nuestro propio punto de vista. Berkeley ([1734] 2002, p. 3) planteó el hecho de que la realidad y el mundo físico se derivan de la conciencia del individuo. De este modo podemos entender, como lo hace Lloyd (1999, p.13), que la realidad no es exclusivamente física.
Smith (1904, l.1.2, p.1-3), por otro lado, refiriéndose a las relaciones económicas, planteó cómo la división del trabajo es una consecuencia necesaria de la propensión del ser humano a realizar intercambios. Esta propensión es el fin pero no el medio gracias al cual el hombre intercambia. El medio son las interacciones sociales que establecemos para obtener de los otros la satisfacción de nuestras necesidades.
A nivel industrial, la producción y el intercambio adoptan una compleja severidad por lo que para obtener y tranzar una mercancía en una industria se requiere el desarrollo de múltiples acciones individuales que implican el establecimiento de numerosas relaciones sociales en diferentes niveles o categorías.
Smith (1904:1.2.4) resaltó de igual manera la importancia de los hábitos, las costumbres y la educación, en la forma en que los individuos establecen su disposición en la sociedad. Comenzando a partir de una estructura comparable, los individuos por efecto de la división del trabajo adquieren a través de la educación competencias, capacidades e información, para así poder ocupar una posición en cualquier clase de organización a la que ella o él pertenezcan: un portero en un hotel o una filósofa en una universidad.
Marx (1859, p. 81) estableció en su Grundisse cómo "Los individuos que producen en la sociedad -y por lo tanto la producción individual socialmente determinada-es, por supuesto, el punto de partida". Sin embargo la producción y las actividades de intercambio son sólo un tipo de interacción. Las interacciones y relaciones sociales que establecen los individuos los habilitan para obtener y desarrollar un rol productivo u otros roles en la sociedad.
Como miembros de determinadas organizaciones, los humanos establecemos contratos o acuerdos por medio de las relaciones sociales que determinan sus derechos y deberes en la organización. Sin embargo, estas organizaciones pueden ser productivas o de otra índole. Sunder (2005) afirma que las organizaciones son conjuntos de contratos, formales o informales, entre los individuos que componen esas organizaciones.
Marx (1859, p. 81) tenía conocimiento de que los humanos somos socialmente dependientes y que nuestros productos culturales provienen de una forma organizacional. Marx (1906, T. I, Cap. II, 123), por otro lado, expresó que lo que aparece como una relación entre cosas, bienes u objetos, son claramente relaciones entre personas. Cuando Marx se refirió al fetichismo de las mercancías puso en evidencia que, aún cuando las acciones sociales y las relaciones sociales (incluidas las relaciones sociales de producción) son relaciones entre individuos, aparecen ante nuestros ojos como relaciones entre cosas que esconden el verdadero significado de las relaciones laborales y económicas.
Kosík (1983, p. 206) planteó la necesidad de investigar qué es la realidad y cómo se forma la realidad humano-social. Weber (1978), apartándose de los utilitaristas, hizo referencia a los motivos de los individuos y explicó cómo sólo a través de la comprensión de los significados de los motivos correspondientes a individuos reales y típicos, se podían comprender modalidades empíricas de actuación en relación con las condiciones de la situación de la acción. Weber le dio gran importancia a los sistemas de significado cultural y abrió la puerta para correlacionar los sistemas ideales y los materiales, e indagar sobre su interdependencia. De igual manera mostró la relación que existe, a partir de la realidad de los intereses materiales, entre las personas y los grupos; por lo cual para hacer un análisis sistemático de la acción deben analizarse los sistemas sociales unidad por unidad como mantenedores de intercambios entre sí, unidades que constituyen actuaciones o sanciones según el punto de referencia que tengan (transmisor o receptor).
Durkheim (1912) expresó que existen distinciones claras entre los sistemas sociales y personales pues, según él, la sociedad es una realidad sui generis. Durkheim consideró que a) existe una calidad distintiva de los objetos sociales; y b) el medio social impone exigencias normativas al individuo y le sancionan según le satisfagan o no. La estructura de este medio social, especialmente su componente normativo (parte de un sistema cultural determinado), llega a quedar interiorizada en la personalidad del individuo. Es así como este autor desarrolló el concepto de "representaciones colectivas" que expuso en su análisis de la religión.
Weber (1978, p. 26) utilizó el término relación social para
- (…) representar el comportamiento de una pluralidad de actores en la medida en que, en su contenido significativo, la acción de cada uno tiene en cuenta aquella de los demás y se orienta en estos términos. La relación social consiste, pues, plena y exclusivamente en la existencia de una probabilidad de que habrá un curso significativo de la acción social, con independencia, por el tiempo dado, de la base de esta probabilidad (Weber, 1978, p. 41).
También estableció una diferencia entre las relaciones sociales comunitarias, entendidas como la orientación de acciones sociales que se basan en sentimientos subjetivos de las partes involucradas, sean eficaces o convencionales, y relaciones sociales asociativas, entendidas como la orientación de acciones sociales internas que se soportan en un ajuste motivado racional de intereses o un acuerdo motivado similar para ambas partes, en los que la base del juicio racional son valores absolutos o razones de conveniencia.
- Parsons (1975, p. 166) muestra que (…) resulta casi puramente tautológico decir que los fenómenos humanos «sociales» son casos de interacción entre dos o más seres humanos concebidos como «personas», «organismos», «yos» o «actores». Puede llegar a considerarse, por tanto, que lo que significa e implica el concepto de interacción y su contexto teórico no es sino algo perteneciente al más simple sentido común. No obstante no es así.
Ha habido un reciente interés en la literatura económica especializada en profundizar más en el concepto de lo que es una interacción social.
Ya a partir de Descartes se consideraba un problema cognoscitivo la relación entre el objeto y el sujeto2. El objeto humano se comporta y se mueve según deseos y necesidades (según Hobbes) que explican su acción. De allí surge la teoría utilitarista, la base teórica -según Parsonsde la economía. La diferenciación utilitarista parte de las necesidades de los individuos, de las cuales surge la manipulación «racional» del mundo externo mediante las actividades dirigidas a un fin u objetivo3. Los individuos son, desde este punto de vista teórico, actores que intentan satisfacer sus necesidades por medio de la acción. El mercado económico es desde este punto de vista una pluralidad de individuos interactuantes. En este modelo los individuos se motivan por su propio interés, que se constituye en la base del orden normativo en los sistemas sociales.
Parsons (1975, p. 170) expuso cómo el paradigma de la interacción social (…) se centra en un sistema social generado y compuesto por la interacción de unidades que pueden ser «organismos con un comportamiento», personalidades o diversos niveles de colectividad. No obstante las unidades actuantes se encuentran siempre involucradas en sistemas culturales que expresan, simbolizan, ordenan y controlan las orientaciones humanas por medio de sistemas de significados estructurados, compuestos tanto de códigos de significados como de combinaciones específicas de símbolos con contextos concretos.
Igualmente señala cómo
- (…) un sistema de interacción exige como mínimo cuatro aspectos o componentes analíticamente distinguibles: 1) un conjunto de «unidades» que mantienen interacción unas con otras; 2) un conjunto de reglas o de otros factores de «codificación», cuyos términos estructuran tanto las orientaciones de las unidades como la propia interacción; 3) un sistema o proceso ordenado o modelado de la propia interacción y 4) un medio en el que opere el sistema y con el que se produzcan intercambios sistemáticos.
Parsons (1975 p. 170) expone que el concepto de interacción es el paso de primer orden, más allá del propio concepto de acción para formular un concepto de sistema social:
- Al hablar de acción se dan por supuestas unas motivaciones significativas y un encaminamiento a una meta u objetivo. Las metas u objetivos incorporan una forma simbólica a nivel cultural. Hay dos puntos de referencia para analizar la interacción: 1) cada actor es tanto un agente de actuación como un objeto de orientación para sí mismo y para los demás; 2) como agente actuante se orienta hacia sí mismo y hacia los otros y como objeto tiene significado para sí mismo y para los otros en todos los aspectos o modalidades primarias. El actor es un conocedor y objeto de conocimiento, un utilizador de medios instrumentales y un medio él mismo, vinculado emocionalmente a los demás y objeto de vinculación, evaluador y objeto de evaluación, un intérprete de símbolos y él mismo un símbolo.
Interacciones sociales y economía
El propósito de esta sección es presentar recientes aportes que se han hecho para la descripción de las interacciones sociales en el campo de la teoría económica.
En el marco de la Nueva Economía Social4 y con el objetivo de estudiar las interrelaciones, Durlauf y Young (2001, p. 1) desarrollan un sistema dinámico que parte del supuesto de que hay una influencia de las elecciones de los demás sobre los individuos. Ellos plantean que "debido a que la gente suele tomar decisiones de forma secuencial, existe un circuito de retroalimentación desde las elecciones pasadas de algunas personas hasta las elecciones futuras de otros".
El sistema planteado tiene unas particularidades especiales pues, como lo señalan los autores, tiene un "aspecto y una sensación" diferente a los característicos de los modelos económicos. El sistema, que tiene como objetivo la identificación de propiedades agregadas o de largo plazo, exhibe un comportamiento que se aleja de los estados estacionarios a la vez que se mantiene la individualidad y heterogeneidad de los agentes.
Durlauf y Young (2001, p. 4) plantean un modelo de interacción basado en la maximización de la utilidad a partir de la suma de los pagos privados y los pagos sociales.
Por otro lado, Blume y Durlauf (2001, p.18) establecieron un modelo de aproximación con base en interacciones. El objetivo de estos modelos es el de entender
(…) el comportamiento de una población de agentes económicos, más que el de un solo agente. El foco del análisis está sobre el papel de las externalidades a través de los actores en la determinación del comportamiento amplio de la población. Estas externalidades son a su vez la fuente de las interacciones. Estas interacciones son directas. El problema de decisión de cualquier actor se toma como parámetro de las decisiones de otros actores.
Por su parte Glaeser y Scheinkman (2001, p. 82), buscando medir las interacciones sociales, plantearon un modelo alternativo de interacciones locales que maximiza la utilidad de la acción de un individuo que está influenciada por un shock idiosincrático y por las acciones de sus vecinos y vecinas.
Un punto de vista diferente han planteado Holland y Miller (1991) con el enfoque conocido como de los Agentes Adaptativos Artificiales (AAA). Estos autores plantean que este tipo de agentes se pueden "testear" y definir en diversos tipos de mundos que evolucionan a través de periodos amplios de tiempo. Como resultado, según lo muestran, tienen Sistemas Adaptativos Complejos que pueden ser analizados computacionalmente y analíticamente. Estos sistemas son complejos pues: i) consisten de una red de agentes que interactúan; ii) exhiben un comportamiento agregado dinámico que emerge de las actividades individuales de los agentes; iii) su comportamiento agregado puede ser descrito sin un detallado conocimiento del comportamiento de los agentes individuales.
Un agente de este sistema es adaptativo si satisface dos criterios adicionales, a saber: a las acciones del agente en su entorno le pueden ser asignadas un valor (actuación, utilidad, adaptabilidad, pagos, o algo semejante); el agente se comporta de tal manera que se incremente este valor con el tiempo.
"Un sistema adaptativo complejo, entonces, es un sistema complejo que contiene agentes adaptativos, conectados en red de tal manera que el medio ambiente de cada agente adaptativo incluye otros agentes en el sistema" (Holland & Miller, 1991).
Las anteriores propuestas teóricas planteadas se restringen al campo de la economía y su relación con la utilidad, lo cual las hace difícilmente generalizables con cualquier tipo de interacción social.
Bourdieu (1997b, p. 48), basado en el poder, propuso un marco que denominó "espacio social" o "campo de fuerzas". Igualmente describe un "capital simbólico" como la propiedad percibida por los agentes sociales, propiedad que responde a las expectativas colectivas de los individuos (1997b, p. 171). Veía que las
- (…) sociedades se presentan como espacios sociales, es decir estructuras de diferencias que sólo cabe comprender verdaderamente si se elabora el principio generador que fundamenta estas diferencias en la objetividad. Principio que no es más que la estructura de la distribución de las formas de poder o de las especies de capital eficientes en el universo social considerado -y que por lo tanto varían según los lugares y los momentos-. Esta estructura no es inmutable, y la topología que describe un estado de las posiciones sociales permite fundamentar un análisis dinámico de la conservación y de la transformación de la estructura de distribución de las propiedades actuantes y, con ello, del espacio social. Es lo que pretendo transmitir cuando describo el espacio social global como un campo, es decir, a la vez como un campo de fuerzas, cuya necesidad se impone a los agentes que se han adentrado en él, y como un campo de luchas dentro del cual los agentes se enfrentan, con medios y fines diferenciados según su posición en la estructura del campo de fuerzas, contribuyendo de este modo a conservar o a transformar su estructura (Bourdieu, 1997, p. 48).
Bourdieu (1997a, p. 17) ilustró el espacio social en un diagrama en el que situaba los grupos sociales dada su decisión de voto y su capital global. De acuerdo con las dotaciones de capital físico y cultural de los individuos se podía, según Bourdieu, caracterizar una sociedad.
El modelo de Bourdieu, al definir el espacio social, se refiere a la relación entre el capital y las formas de poder, lo cual también es restrictivo pues deja otro tipo de interacciones sociales más simples fuera del campo de análisis.
En la siguiente sección se presenta un modelo de interacción social general basado en los recursos, la información y la capacidad de resolver problemas de los agentes. Este modelo es generalizable para todo tipo de interacción social y no sólo se refiere a interacciones económicas ni a relaciones de poder.
Un modelo alternativo para la caracterización de las interacciones sociales
Los sistemas de interacción descritos en la sección anterior establecen marcos comparativos para los agentes en el campo de la teoría económica y las formas de poder. Sin embargo, más allá de los conceptos de utilidad y poder, las comparaciones se deben realizar mediante la utilización de unidades comunes mínimas que puedan compartir todos los agentes, de tal manera que pueda establecerse una comparación entre ellos. Sunder (2005) utiliza una definición de organización en la que los agentes están dotados de capital, habilidades e información. Estas tres variables, al ser observadas en el marco de un sistema, proporcionan un marco comparativo para cualquier tipo de organización social.
Es posible proponer un nuevo modelo que sea plenamente comprehensivo de todas las formas de interacción humana, sean económicas o no. Como resultado de la investigación sobre la cual se basa este escrito, planteo un modelo alternativo para la descripción y caracterización de las interacciones sociales, que involucra tres dimensiones: recursos, información y heurística. En este describo una nueva caracterización del concepto de espacio social a partir de las dotaciones de los agentes individuales en el contexto de una organización social.
Para el efecto consideremos lo siguiente:
- • Sea R el conjunto de los recursos que están insertos en una organización y un espacio cultural; I, la información del individuo acerca de la disponibilidad de los recurso en R; He, la heurística de los agentes.
• Existe una libre movilidad de recursos R y de información I en la organización social.
• Cada individuo puede ser miembro de cuantas organizaciones sociales pueda hacer parte, de acuerdo con la información y los recursos que éstas exijan.
• Por simplicidad asumo que los individuos utilizan un único bien y una única clase de información.
• Las reglas de la organización definen una probabilidad de disponibilidad de I, R, He, a favor de la organización.
La heurística es un procedimiento o método para resolver informalmente un problema. De acuerdo al Web Dictionary of Cybernetics and Systems (2006), es "un procedimiento o algoritmo para la búsqueda de algo por medio de la exploración progresiva de un terreno desconocido de acuerdo a algún criterio". Young (2006) define la heurística adaptativa como
(…) reglas simples de comportamiento dirigidas hacia la mejora de rentabilidad, pero que pueden ser menos que completamente racionales. El número y la variedad de tales reglas es prácticamente ilimitado; aquí deberíamos mostrar varios ejemplos destacados de la psicología, las ciencias de la computación, la estadística y teoría de juegos.
I= {i1,i2,i3,…,in} es la información que poseen los individuos de la organización, R = {r1, r2, r3,…, rn} son los recursos de que dispone el individuo, y He ={he1,he2,he3,…, hen} es la heurística de los individuos.5 De este modo se construye un espacio multidimensional así:
Cada punto en E es la representación de la posición social de los individuos en una organización. En la Figura 1 se esquematiza cómo a partir de las dotaciones de los agentes pertenecientes a una organización se puede hacer una representación de su ubicación en el Espacio Social, teniendo como parámetros R, I y He.
Ahora bien, si se consideran todos los subconjuntos del espacio E y una función de probabilidad sobre estos subconjuntos, se puede entender que las interacciones sociales son eventos en los que los individuos dotados de una información, de unos recursos y de una capacidad heurística, desarrollan determinadas acciones al interior de una organización. Si estas interacciones se repiten en el tiempo, se constituyen en relaciones sociales.
Dependiendo de la complejidad de cada individuo, él puede ser parte de un número limitado de organizaciones, según se lo permitan sus recursos, su información y su heurística. En cada una de estas organizaciones el individuo no tiene el mismo rol.
De este modo, si X es una organización, F(X) es la representación social de dicha organización, que mediante una interacción particular permitirá describir la interacción particular.
El análisis de una interacción implica: i) caracterización de la organización y de las unidades de Hei, Ii, Ri; ii) descripción de la interacción; iii) cálculo de la interacción.
Es posible entender entonces la conocida cita de Barnard en la que describe las relaciones sociales de un ingeniero oriundo de Newark que trae Sunder (2005)6: cada uno de nosotros pertenecemos a múltiples organizaciones sociales en las cuales tenemos diferentes formas de interacción con otros individuos.
Como integrante de una empresa como una organización social, el individuo puede actuar como un agente racional, pero en la organización familia puede actuar de manera altruista. En cada uno de estos espacios u organizaciones sociales el individuo elige el comportamiento (preferencias, racionalidad) y actúa en consecuencia.
Cada organización constituye arreglos sociales entre sus miembros partiendo del concepto de relaciones sociales antes descrito. Estos arreglos se han explicado en la literatura como reglas formales, las cuales pueden cambiar como consecuencia de nuevos arreglos entre los miembros de la organización. Considerando la estructura social de cada organización como Simon lo planteara, es posible comparar dos o más organizaciones sociales. En una sociedad compleja, en la que los individuos pertenecemos a diversas organizaciones e instituciones, existe un número limitado de relaciones que un individuo puede manejar, pues en realidad únicamente tenemos y mantenemos un trato directo con un número determinado de personas.
3. Un modelo de explotación económica desde un espacio de interacción social
Acerca de la explotación
La Asamblea General de Naciones Unidas en la Convención sobre los Derechos del Niño (1989), establece en su Artículo 32:
1. Los Estados Partes reconocen el derecho del niño a estar protegido contra la explotación económica y contra el desempeño de cualquier trabajo que pueda ser peligroso o entorpecer su educación, o que sea nocivo para su salud o para su desarrollo físico, mental, espiritual, moral o social. 2. Los Estados Partes adoptarán medidas legislativas, administrativas, sociales y educacionales para garantizar la aplicación del presente artículo. Con ese propósito y teniendo en cuenta las disposiciones pertinentes de otros instrumentos internacionales, los Estados Partes, en particular: a) Fijarán una edad o edades mínimas para trabajar; b) Dispondrán la reglamentación apropiada de los horarios y condiciones de trabajo; c) Estipularán las penalidades u otras sanciones apropiadas para asegurar la aplicación efectiva del presente artículo.
Doek (2002) presenta una interesante discusión acerca de los alcances de la Convención sobre los Derechos del Niño respecto a la explotación económica.
Durante las discusiones del Comité de los Derechos del Niño de OHCHR (1993) se señalaba la complejidad y la dificultad de entender el concepto de explotación económica. Igualmente se veía necesario el que "los propios niños aprenderán sobre sus derechos, incluido el derecho a jugar, estudiar, descansar, y se darán cuenta de los riesgos que enfrentan en las actividades que desarrollan. La información se convierte en una herramienta esencial para la prevención".
En el desarrollo de la convención (Unicef & Oacnhud, 2006) se homologó la explotación económica con la explotación laboral, acorde con los términos fijados por la Organización Internacional del Trabajo - OIT. La OIT (1999), en el Convenio 182, señala en su Artículo 2. que "A los efectos del presente Convenio, el término "niño" designa a toda persona menor de 18 años". El Artículo 3. señala que
- A los efectos del presente Convenio, la expresión "las peores formas de trabajo infantil" abarca: a) todas las formas de esclavitud o las prácticas análogas a la esclavitud, como la venta y la trata de niños, la servidumbre por deudas y la condición de siervo, y el trabajo forzoso u obligatorio, incluido el reclutamiento forzoso u obligatorio de niños para utilizarlos en conflictos armados; b) la utilización, el reclutamiento o la oferta de niños para la prostitución, la producción de pornografía o actuaciones pornográficas; c) la utilización, el reclutamiento o la oferta de niños para la realización de actividades ilícitas, en particular la producción y el tráfico de estupefacientes, tal como se definen en los tratados internacionales pertinentes, y d) el trabajo que, por su naturaleza o por las condiciones en que se lleva a cabo, es probable que dañe la salud, la seguridad o la moralidad de los niños.
Teóricamente, Marx (1906, Vol. I, Cap. VII) planteó que
- (…) como el valor del capital variable = al valor de la fuerza de trabajo comprada por él, y el valor de ésta determina la parte necesaria de la jornada de trabajo, y a su vez la plusvalía está determinada por la parte restante de esta jornada de trabajo, resulta que la plusvalía guarda con el capital variable la misma relación que el trabajo excedente con el trabajo necesario, por donde la cuota de plusvalía,
Ambas razones expresan la misma relación, aunque en distinta forma: la primera en forma de trabajo materializado, la segunda en forma de trabajo fluido. La cuota de plusvalía es, por tanto, la expresión exacta del grado de explotación de la fuerza de trabajo por el capital o del obrero por el capitalista.
Es posible tomar la relación de la derecha presentada por Marx para definir la tasa o grado de explotación de la fuerza de trabajo así:

Ya que la explotación se da en el contexto de una organización social y de un espacio social como el descrito en la sección anterior, es posible sin embargo pensar que en la relación de explotación no sólo interviene el trabajo, como lo hace Marx, sino que los agentes también están dotados de información I y de heurística He, como se muestra en (1). La posición de un agente x cualquiera dentro de un espacio social está dada entonces por:

Si por ejemplo se describe una organización social integrada por niños o niñas como xi que realizan determinadas acciones económicas en las que cada uno tiene dotaciones de Hei, Ii,Ri, puede una autoridad determinar unos valores máximos de Hei, Ii, Ri que de ser superados determinarán que el niño o niña estará en una condición de explotación.
Estos valores máximos imponen restricciones a la ubicación de la xi en ese espacio social. A pesar de que los valores de Hei, Ii, Ri del agente xe no superan las restricciones impuestas por la autoridad, el simple posicionamiento cartesiano en el espacio de éstos sí lo hace y coloca al agente en condición de explotación por superar las restricciones establecidas, como lo muestra la Figura 2, donde F(xe) es la posición en el espacio social de un niño o niña explotado, a pesar de que los valores de R, I, He no superan las restricciones impuestas por la autoridad competente que fija los parámetros que debe tener un NNA para no ser considerado explotado.
Unos límites fijados de información, recursos y heurística determinan una restricción espacial que al ser traspasada por un agente indicarán que hay riesgo, o que está en una situación especial de explotación.
Por otro lado, se podrá calcular el ingreso de un agente explotador xE así:

YxE es el ingreso del agente explotador Yxi es el ingreso del agente explotado xi y viene dado por

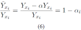
Cuando el agente xi es sujeto de explotación, sus ingresos se ven disminuidos7 en una fracción αi por lo que

Por lo tanto, la tasa de explotación de un agente xi recalculando la relación expresada por Marx, será:

Dado que αi є (0; 1], entonces 1 - αi < 1 para i = 1,..., n.
De este modo la tasa de explotación siempre es menor que 1, esto quiere decir que la remuneración recibida por el agente xi es menor que su ingreso neto.
La explotación surge del hecho de que xE extrae de cada xi una parte porcentual de su ingreso αi. Por ejemplo, si una autoridad impone unas restricciones en la heurística He1, la información I1 y los recursos R1 para algunos de los agentes en un espacio social, x1,...., xn y estos agentes son niños o niñas, algunos de ellos o de ellas pueden estar dentro de la restricción formada por el plano generado por (He1; I1; R1) o pueden estar por fuera de esta restricción. En la Figura 3, expongo una simple posición numérica de estos valores en la que los agentes x1, x2 y x3 están dentro de la restricción fijada por (He1; I1; R1), y x4 está por fuera de esta restricción. También se puede ver al agente explotador xE; en este espacio tiene las mayores dotaciones para la heurística, la información y los recursos.
xE puede extraer una parte del ingreso de un xi que haga parte de la restricción, como x1, x2, y x3, o de un agente que viole esta restricción como x4, aunque los valores de R, I, y He no superan las restricciones impuestas por la autoridad competente, como se ve a continuación en la Figura 3:
Por otro lado, las restricciones impuestas por la autoridad correspondiente no son necesariamente de tipo lineal, sino que pueden ser de otro tipo más complejo como lo esquematizado en la Figura 4, en la cual se puede hacer más débil la restricción, y F(x4) no viola la restricción.
El análisis expuesto puede ser utilizado para la creación de categorías de explotación por sectores específicos en los que participan los NNA. En el caso de que se verifique que es mayor la tasa de explotación, cuando αi es grande o tiende a 1, se requeriría una acción urgente de intervención para los niños y niñas explotados en este sector de la población.
La caracterización que actualmente se realiza para la identificación de los niños y niñas trabajadores o en riesgo, generalmente involucra, independientemente, consideraciones laborales o consideraciones psicosociales e información, que indagan acerca de sus pautas de comportamiento.
La utilización de un marco como el propuesto en este documento, permitiría combinar los elementos de He, I y R en una sola herramienta y verificar la posición de los niños y niñas en el marco de las restricciones impuestas por una autoridad competente para su protección.
El análisis involucra unas variables con He, I y R, más allá de la remuneración económica y del planteamiento presentado por Marx (1906).
4. Conclusiones
En el artículo planteo un nuevo modelo de interacción social basado en las dotaciones de información, heurística y recursos He, I y R de los agentes de una determinada organización social. A partir de estas dotaciones se puede hacer una representación en un espacio social determinado en el que se desarrollan interacciones sociales.
Igualmente propongo un nuevo modelo para el cálculo del ingreso del explotador y el explotado, y la determinación de la tasa de explotación económica desde el modelo de interacción social general.
La explotación vista desde este modelo de espacio social de interacción permite fijar áreas de restricción que pueden ser establecidas por una autoridad para determinar la explotación económica de los agentes.
El cálculo de las dotaciones y las combinaciones de éstas puede permitir a una autoridad determinar si existe o no explotación de unos agentes por otros, fijar categorías de explotación e identificar áreas de atención prioritarias. El modelo se podría constituir en una herramienta más apropiada para la identificación de la condición laboral o económica de los niños y niñas.
Notas:
*Este artículo de investigación científica y tecnológica es una parte de la investigación denominada "El capital social en una actividad productiva de una economía en desarrollo", elaborada por el autor para optar al título de Doctor en Ciencias Económicas de la Universidad Nacional de Colombia, Sede Bogotá. Director: Manuel Muñoz Conde. La investigación fue financiada con recursos de Colciencias y de la Universidad Nacional de Colombia, en el marco del Programa de Apoyo a Doctorados Nacionales. Número de contrato 532 de 18/12/2002 (Fecha de inicio de la investigación 4/2002 - fecha de terminación de la investigación 7/2010).
1 Esta sección fue elaborada en el ICS de la Universidad de Groningen, Reino de los Países Bajos, bajo la tutoría del Profesor Tom Snijders, a quien expreso mi agradecimiento. Agradezco además al Profesor Shyam Sunder, de Yale University, por sus comentarios a las ideas iniciales de este trabajo y por compartir importante información utilizada en su redacción.
2 Parsons (1975) menciona que "hoy en día afirmaríamos que la cognición empírica es una actividad o «función» de las personas, que exige para comprenderla el análisis de las estructuras y procesos de las personalidades en virtud de los cuales una variedad de factores se organizan de manera que facilitan la <<consecución del conocimiento>> como un resultado-meta de los sistemas de personalidad".
3 Respecto al problema de la racionalidad económica, Sen realiza un análisis del concepto de racionalidad en economía a partir del Mathematical Psychics de Edgeworth, quien coloca como eje central de su investigación y de la economía el egoísmo (Sen, 1976, p. 316).
4 Durlauf y Young se refieren a la Economía Social como una emergente teoría que resulta, por un lado, de los conocimientos de la sociología para la conceptualización del rol de las influencias sociales sobre las preferencias y la cognición de los individuos, y por el otro, de los métodos de la economía que permiten modelar formalmente el comportamiento agregado como resultado de las decisiones individuales, cuando éstas decisiones se realizan de manera interactiva. Durlauf y Young denominan esta nueva área como Social Economics.
5 Agradezco la ayuda del Profesor Edgar Malagón Alfonso por la colaboración en la formalización matemática de los modelos.
6 "Selecciono al azar un hombre que se identifica principalmente por su relación con la organización con la cual yo también estoy comúnmente identificado. Él es un ingeniero cuya carrera y forma de vida durante muchos años han dependido de esta organización. Sin una investigación específica, yo sé que él también tiene las siguientes relaciones organizacionales: él es (1) un ciudadano de los Estados Unidos, del Estado de New Jersey, del Condado de Essex y de la Ciudad de Newark —cuatro organizaciones con las cuales él tiene muchas obligaciones ineludibles; él es un miembro de (2) la Iglesia católica; (3) los Caballeros de Columbus; (4) la Legión Americana; (5) el Club de Golf Outanaway; (6) el Partido Demócrata; (7) el Club Princeton de Newark; (8) él es un accionista en tres corporaciones; (9) él es la cabeza de su propia familia (esposa y tres niños); (10) él es un miembro de la familia de su padre; (11) él es un miembro de la familia de su esposa; (12) a juzgar por su conducta él pertenece a otras organizaciones menos formales (pero a menudo no parece ser consciente de ello)..." (Barnard citado en Sunder, 2005).
7 Se presenta únicamente por simplicidad el detrimento de Xi en Ri pero podría darse también en Hei e Ii.
Lista de referencias
Asamblea General de Naciones Unidas (1989). Convención sobre los Derechos del Niño. Adoptada y abierta a la firma y ratificación por la Asamblea General en su resolución 44/25, de 20 de noviembre de 1989. Recuperada el 22 de mayo de 2009, de: http://www.hchr.org.co/documentoseinformes/documentos/html/pactos/conv_derechos_nino.html [ Links ]
Berkeley, G. ([1734] 2002). A treatise concerning the principles of human knowledge. Wherein the chief causes of error and difficulty in the sciences, with the grounds of scepticism, atheism, and irreligion are inquired into. London: Jacob Tonson. Recuperado el 29 de junio de 2005, de: http://www.maths.tcd.ie/~dwilkins/Berkeley/HumanKnowledge/1734/ HumKno.pdf [ Links ]
Blume, L. & Durlauf, S. (2001). The interactions based approach to socioeconomic behavior. En: S. N. Durlauf & P. Young (Eds.) Social Dynamics, (pp. 15-45). Washington, D. C: Brookings Institution Press. [ Links ]
Bourdieu, P. (1997a). Razones Prácticas. Barcelona: Anagrama. [ Links ]
Bourdieu, P. (1997b). Espacio social y campo de poder. Barcelona: Anagrama. [ Links ]
Bruni, L. (2004). Hic Sunt Leones: social relations as unexplored territory in the economic tradition. En: B. Gui & R. Sugden (eds.). Economics and Sociality. Cambridge: Cambridge University Press. [ Links ]
Doek, J. (2002). The CRC and the elimination of economic exploitation of children. International Conference "Stopping the economic exploitation of children: new approaches to fighting poverty as a means of implementing human rights?", 22 to 24 February, Hattingen (Germany). Recuperado el 12 de septiembre de 2009, de: http://www.jaapedoek.nl/publications/keynotes/keynote_261.pdf. [ Links ]
Degli, G. (2005). Social relations and economic welfare at an economic level. Recuperado el 23 de junio de 2005, de: http://econwpa.wustl.edu/eps/othr/papers/0503/0503001.pdf [ Links ]
Durkheim, E. (1912). Les formes élémentaires de la vie religieuse, le système totémique en Australie. Paris: Libraire Félix Alcan. [ Links ]
Durlauf, S. & Young, P. (2001). The new social economics. En: S. N. Durlauf & P. Young (Eds.) Social Dynamics, (pp. 1-15). Washington, D. C: Brookings Institution Press. [ Links ]
Glaeser, E. & Scheinkman, J. (2001). Measuring social Interactions. En: S. N. Durlauf & P. Young (Eds.). Social Dynamics, (pp. 83-133). Washington, D. C: Brookings Institution Press. [ Links ]
Holland, J. & Miller, J. (1991). Artificial Adaptive Agents in Economic Theory. The American Economic Review, 81 (2), pp. 365-370. [ Links ]
Kosík, K. (1983). Dialéctica de lo concreto. México, D. F.: Grijalbo. [ Links ]
Lloyd, P. (1999). La ontología de Berkeley como aproximación fundamental a la conciencia. Toward of Counsciousness, pp. 25-28. [ Links ]
Marx, K. (1859). Grundisse. Foundations of the critique of political Economy. Recuperado el 27 de junio de 2005, de: http://www.marxists.org/archive/marx/works/download/Marx_Grundrisse.pdf [ Links ]
Marx, K. (1906). Capital: A Critique of Political Economy, Vol. I. Recuperado el 24 de junio de 2005, de: http://www.econlib.org/library/YPDBooks/Marx/mrxCpA.html. [ Links ]
Office of the High Commissioner for Human Rights/OHCHR (1993). Excerpted from CRC/C/20, 4th Session, 4 October 1993. Recuperado el 24 de junio de 2005, de: http://www.ohchr.org/EN/HRBodies/ CRC/Documents/Recommandations/ exploit.pdf. [ Links ]
Organización Internacional del Trabajo, OIT (1999). Convenio sobre la prohibición de las peores formas de trabajo infantil y la acción inmediata para su eliminación. Recuperado el 25 de junio de 2005, de: http://www.ilo.org/ilolex/cgi-lex/singles. pl?query=011999182@ref&chspec=01. [ Links ]
Parsons, T. (1975). Interacción Social. Enciclopedia de las ciencias sociales, 6, pp. 166-185. [ Links ]
Sen, A. (1976). Los Tontos Racionales: una crítica de los fundamentos conductistas de la teoría económica. Philosophy and Public Affaires, 6, pp. 317-344. [ Links ]
Simon, H. (1953). Comments on the Seminar Report, Research in Comparative Politics, III. The American Political Science Review, 47 (3), pp. 658-675. [ Links ]
Smith, A. (1790). The Theory of Moral Sentiments. Recuperado el 24 de junio de 2005, de: http://www.econlib.org/library/Smith/smMS.html. [ Links ]
Smith, A. (1904). An Inquiry into the Nature and Causes of the Wealth of Nations Recuperado el 24 de junio de 2005, de: http://www.econlib.org/library/Smith/ smWN.html. [ Links ]
Sunder, S. (2005). Teoría de la Contabilidad y el Control. Bogotá, D. C.: Universidad Nacional de Colombia. [ Links ]
Unicef & Oacnhud (2006). Compilación de observaciones finales del Comité de los Derechos del Niño sobre países de América Latina y el Caribe (1993-2006). Recuperado el 15 de mayo de 2009, de: http://www2.ohchr.org/english/bodies/crc/docs/publications/compilacion_1993_2006.pdf. [ Links ]
Weber, M. (1978). Economy and society. Berkeley: University of California Press. [ Links ]
Young, P. (2006). Adaptive Heuristics. Prepared for the New Palgrave Dictionary of Economics. Recuperado el 27 de junio de 2005, de: http://www.econ.jhu.edu/People/Young/Adaptiveheuristics.pdf. [ Links ]
Web Dictionary of Cybernetics and Systems (2006). Heuristic. Recuperado el 18 mayo de 2008, de: http://pespmc1.vub.ac.be/ASC/HEURISTIC.html. [ Links ]
Referencia para citar este artículo: Montaña, A. (2012). Interacciones sociales y explotación económica. Revista Latinoamericana de Ciencias Sociales, Niñez y Juventud, 10 (1), pp. 625-638.















