Services on Demand
Journal
Article
Indicators
-
Cited by SciELO -
Access statistics
Related links
-
Cited by Google -
Similars in
SciELO -
Similars in Google
Share
Revista Ciencias de la Salud
Print version ISSN 1692-7273On-line version ISSN 2145-4507
Rev. Cienc. Salud vol.6 no.2 Bogotá May/Aug. 2008
Determinación del perfil antropométrico y cualidades físicas de niños futbolistas de Bogotá
Determination of the anthropometric and physical qualities profile in footballers children of Bogotá
Jorge Enrique Correa B.,1
1. MCs en Fisiología. Profesor de carrera, director del grupo de investigación en Actividad Física y Desarrollo Humano, Facultad de Rehabilitación, Universidad del Rosario. Correo electrónico: jecorrea@urosario.edu.co.
Recibido: 3 de mayo de 2008 Aceptado: 6 de agosto de 2008
Resumen
Objetivo. El objetivo de este estudio es definir el perfil antropométrico y las cualidades físicas básicas, en 306 niños en edades de 7-16 años.
Método. Se realizaron mediciones antropométricas de peso (Kg) y talla (m), IMC (PC (kg)/ talla (m 2 ), porcentaje de grasa corporal, además de los test de Course Navatte, salto horizontal sin impulso, Sit and Reach a cada uno de los sujetos.
Resultados. Los resultados se analizaron desde el punto de vista estadístico con medidas de tendencia central, se utilizó la media y la desviación estándar típica como cálculo de variabilidad, con un p<0,05 como diferencia significativa. Se identificaron las variables antropométricas y de las cualidades físicas, y se encontraron diferencias en la población en cuanto al porcentaje de grasa corporal, la potencia aeróbica, la flexibilidad y la fuerza explosiva en miembros inferiores.
Conclusión. Se muestran diferencias en los valores encontrados, lo cual puede estar influenciado por factores nutricionales, socioeconómicos y por el tipo de entrenamiento utilizado.
Palabras clave: destreza motora, antropometría, niños futbolistas, evaluación, composición corporal.
Summary
Objective. The objective of this study is to define the profile anthropometric and of basic physical qualities, in 306 children in 7-16 year-old ages.
Method. Is carried out anthropometric mensurations of weight (kg) and it height (m), IMC (weight (kg)/it height (m 2 ), percentage of corporal fat, besides the test of Course Navatte, horizontal jump without impulse, Sit and Reach to each one of the fellows.
Results. The results were analyzed from the statistical point of view with measures of central tendency, you uses the stocking, the typical standard deviation as I calculate of variability, with a p <0,05 like significant difference. You identifies the variable anthropometric and of physical qualities finding differences in the population as for the percentage of corporal fat, the power aerobic, the flexibility and the explosive force in inferior members.
Conclusions. Differences are shown in the opposing values and this can be influenced, for nutritional, socioeconomic factors and for the type of used training.
Key words: physical qualities, anthropometry, children footballers, evaluation, body composition.
INTRODUCCIÓN
El fútbol es un deporte de resistencia que consiste básicamente en la generación de niveles de actividad de intensidad variable e intermitente. Una de las principales líneas de interés dentro de los grupos de investigación es la caracterización de las cualidades físicas y antropométricas en los niños que realizan una práctica regular de este deporte. Día a día más científicos están interesados en el crecimiento y la maduración de los niños y los efectos del entrenamiento deportivo desde edades cada vez más tempranas. En este sentido, el estudio alrededor de los índices ponderales y de las cualidades físicas básicas es uno de los criterios fundamentales para el control de la condición de salud y rendimiento en los niños deportistas [1].
Sin embargo, existen pocas investigaciones en población colombiana acerca de los efectos del entrenamiento en niños futbolistas y su relación con los índices antropométricos y de cualidades físicas básicas [2]. Por ello, se genera la necesidad de estandarizar parámetros antropométricos y de cualidades físicas que apoyen los procesos de evaluación y seguimiento de futbolistas en las categorías infantil y juvenil. Por lo anterior, el objetivo del presente estudio es definir el perfil antropométrico y las cualidades físicas básicas en niños futbolistas que permita comparar el comportamiento de cada uno de los indicadores medidos con la edad.
Existen diferentes estudios alrededor de los beneficios de la práctica deportiva regular [3-5]. En el caso del fútbol, diversos estudios han analizado a futbolistas de alto rendimiento para establecer parámetros ponderables antropométricos y de cualidades físicas, relacionándolos con el rendimiento deportivo, y sus efectos en el crecimiento y desarrollo, analizando las adaptaciones que experimentan en su morfofisiología como consecuencia de la práctica repetitiva [6].
Para ello, es fundamental aplicar una evaluación morfofuncional precisa como punto de partida del trabajo de entrenamiento técnico-táctico, con el fin de identificar futuros talentos que más adelante puedan ser incluidos dentro de ligas y clubes profesionales, guiándolos hacia el alto rendimiento.
Para el logro del objetivo propuesto, primero se realizó una convocatoria a 32 escuelas deportivas que participaban en la copa de fútbol infantil y el patrocinio de la empresa privada Fitness Staff. Se realizó valoración médica y nutricional, y se identificaron los antecedentes familiares y personales que pudieran afectar la participación de los niños en el estudio. Seguidamente fueron valorados en el Centro de Estudios e Investigación en Actividad Física del programa de Fisioterapia de la Universidad del Rosario. En todos los casos, los padres o acudientes firmaron un consentimiento informado.
MÉTODOS Y MATERIALES
Sujetos
El presente estudio es de tipo descriptivo y transversal; para su realización de este estudio se contó con la participación de 306 niños pertenecientes a 32 escuelas de fútbol en edades comprendidas entre 7-16 años. Todos los sujetos se encontraron aparentemente sanos en el momento de la valoración. Las mediciones se realizaron en el laboratorio, en condiciones similares, durante un periodo de visita de ≥2 horas. El consentimiento informado fue obtenido de los padres o el acudiente. Todas las mediciones fueron aplicadas a cada uno de los sujetos, siguiendo el protocolo de valoración definido, lo que permitió la recolección precisa de datos.
Mediciones antropométricas
Los sujetos fueron objeto de las siguientes medidas antropométricas: peso corporal (kg), talla (m), índice de masa corporal (IMC): PC (kg)/talla (m 2) [7-8], talla, altura sentado, pliegues cutáneos del tríceps, subescapular, pectoral, supra ilíaco, abdominal, muslo anterior y medial de pierna; diámetros óseos como el biepicondilar humeral, radio-cubital y biepicondilar femoral; así como los perímetros de brazo, abdomen, cadera, muslo superior, pantorrilla. Todas estas medidas se obtuvieron según el protocolo estándar de la American Collage of Sport Medicine [9-10].
Se registraron los datos antropométricos utilizando una báscula (Tanita 2001T-TB), con precisión de fracciones de 100 g; la talla con un tallímetro Holtain (Holtain Ltd., Dyfed, UK) con precisión de fracciones de 0,1 cm. Los pliegues se midieron con un calibrador Holtain Skinfold Caliper (Holtain Ltd., Dyfed, UK) con amplitud de 0 a 48 mm, graduación de 0,2 mm y presión constante de 10 g/mm 2. Los perímetros fueron medidos con una cinta métrica inextensible milimetrada. Los parámetros antropométricos se midieron en el hemicuerpo dominante de los sujetos. Se utilizaron ecuaciones de predicción para determinar el porcentaje de grasa corporal, se aplicó el método de Slaugthter et al [11] por ser una ecuación estandarizada y usada en población infantil, la cual toma en cuenta el peso, la edad y el género y dos pliegues cutáneos (subescapular y tríceps) [7,12].
Mediciones de las cualidades físicas
Para la medición de la potencia aeróbica se tomó el test Course Navette (test de ida y vuelta) cuyo objetivo es predecir el VO2 máximo, el cual se calcula a partir de la velocidad de la carrera que alcanzó el ejecutante en el último periodo que puede aguantar, según la ecuación: VO2 máximo = 5.857 x velocidad (km/h) 19.458 [13]. A sí mismo se aplicó el test de Sit and Reach modificado, cuyo objetivo es determinar la flexibilidad de la región baja de la espalda (espinales bajos y los isquio-tibiales), y que sirve para determinar el grado de flexión del tronco hacia adelante en posición sentado, utilizando un cajón [14].
El test de Sprint único pretende determinar la potencia anaeróbica del sujeto a través de la velocidad máxima de desplazamiento en distancias de 20, 30 y 40 m, con salida estática [15]. En este estudio se aplicó el test con una distancia de 40 m. Además, se empleó el test de salto largo horizontal sin impulso, cuyo objetivo fue determinar la potencia muscular de los miembros inferiores, a través de la determinación de la distancia de desplazamiento hacia delante con salida estática [16].
Las pruebas se realizaron en su totalidad para cada niño; se registraron los datos básicos (si presentaba alguna enfermedad, antecedentes familiares, tiempo de práctica del fútbol, entre otros) los cuales fueron de utilidad a la hora de reanalizar los resultados.
Análisis estadístico
Una vez terminado el trabajo de campo, los datos obtenidos fueron tabulados y sistematizados mediante el paquete de paquete informático SPSS para Windows, versión 9.1, sistema que facilitó la puesta en práctica de las técnicas estadísticas para el análisis descriptivo. Además, se tomaron como referencia documental otros estudios similares, tanto en el ámbito nacional como internacional, lo cual permitió profundizar y constatar los resultados obtenidos [17-20].
RESULTADOS
Se evaluaron 306 niños correspondientes a 32 escuelas de iniciación en la práctica regular de fútbol. En la tabla 1 se muestra la estadística descriptiva de las variables antropométricas relacionadas con peso, talla e índice de masa corporal (IMC), porcentaje de grasa corporal, masa grasa. Para el análisis de la composición corporal se tomaron como referencia los percentiles de estatura por edad y peso, así como el IMC por edad de la Organización Mundial de la Salud (OMS, 2007) [21].
El peso corporal va aumentando durante el crecimiento; igualmente, la talla es una variable que va aumentando a lo largo del crecimiento (tabla 1).
Tabla 1. Datos estadísticos de las medidas antropométricas de la muestra

En relación con la medición de los pliegues cutáneos, al igual que ocurre con el porcentaje de grasa corporal, los sujetos poseen, en su mayoría, un grosor de pliegue cutáneo significativamente menor en la mayoría de las zonas medidas.
Para la categorización de los niños, se clasificaron como sobrepeso a los que presentaron valores superiores al percentil 85, y con obesidad, valores superiores al percentil 90. Para clasificar la condición de los niños con bajo peso se utilizó el mismo referente de la OMS, en el cual se tomó con bajo peso aquellos niños ≤ al percentil 5. El 20,5% de los niños se encuentran en un peso bajo, con peso adecuado el 73,4% con sobre peso el 5,8% y con obesidad el 0,3%.
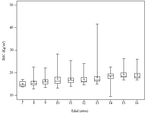
Al realizar el análisis por estatura, peso e IMC, por edad, se encuentra que los niños de 7 años se ubican dentro del percentil 50 y 75, comparado con los demás grupos de edad, en los cuales, se encuentra una mayor dispersión de los datos, sobre todo en el grupo de los niños de 13 años, con valores mayores de IMC, mientras que en los niños de 14 años la dispersión se da hacia valores de IMC menor (gráfica 1).
Gráfica 1. Índice de masa corporal vs. edad en años

En la tabla 2 se muestra la estadística descriptiva de los resultados de los test aplicados por edad.
Tabla 2. Datos estadísticos de los test aplicados

En relación con la potencia aeróbica, medida a través del test de Course Navatte, se clasificó según los rangos sugeridos por el manual de Fitnessgram, según la edad [22]. Se observó que la mayoría de sujetos evaluados se encuentran con niveles aceptables de potencia aeróbica para su edad, con un 84,4%; sin embargo, existe un 14% que se encuentra en niveles bajos de potencia aeróbica, y un sólo el 1,6% supera los niveles aceptables.
Al realizar el análisis de la potencia aeróbica por edad (gráfica 2), se encuentra que la mayoría de los datos de niños de 7 a 9 años se encuentran dentro del percentil 50 y 75, comparado con los demás grupos de edad, en los cuales, se encuentra una mayor dispersión de los datos, sobre todo en el grupo de los niños 10 y 15 años.
Gráfica 2. Potencia aeróbica vs. edad

En relación con la potencia muscular, medida a través del test de salto largo hacia delante, se utilizaron para los menores a 11 años, las tablas de Coldeportes Nacional [2] y para los mayores tablas internacionales [23]. Se observó un aumento en centímetros (cm) alcanzado en la prueba de salto largo entre los 7 y 14 años. El análisis de esta característica muestra un muy bajo nivel de potencia muscular en la mayoría de los niños evaluados. Es importante resaltar que ninguno de los niños se encontró en el rango clasificado como alto (tabla 3 y gráfica 3).
Tabla 3. Pruebas y nivel de calificación

Gráfica 3. Potencia salto largo en cm vs. edad en años

En relación con el test de Sit and Reach, existe una disminución progresiva de la flexibilidad entre los 7 y 13 años, se muestran valores mínimos significativos, se encuentran muy por debajo de la media (gráfica 4). Además se encontraron varios sujetos con valores por debajo de lo recomendado. Por tanto, se aconseja mayor trabajo de esta característica, con un adecuado plan de estiramiento muscular, importante no sólo para la prevención de lesiones, sino también para el rendimiento deportivo.
Gráfica 4. Flexibilidad en centímetros vs. edad, en años

DISCUSIÓN
Inicialmente es importante mencionar que el grupo de niños de 7 años no es representativo debido al número bajo de sujetos que conformó la muestra; por lo cual, no se toma en consideración para la discusión y las conclusiones del estudio.
Es de resaltar que los indicadores antropométricos nos dan una referencia del grado nutricional de los sujetos a través del tamaño y la composición corporal [24]. En los sujetos prepuberales y puberales de este estudio, se observa que los niños ya cuentan con un 55% del peso corporal que van a tener cuando adulto [25-26].
Dentro de las diversas formas para determinar la composición corporal, el IMC, sigue siendo un método valido, ya que éste se relaciona directamente con el porcentaje de grasa corporal y es una medida fácil de obtener [27].
La estimación del índice de masa corporal (IMC), en este estudio, permitió observar una baja prevalencía de obesidad y sobrepeso, junto con un 20,5% de niños con bajo peso. Este porcentaje estaría relacionado, posiblemente, con el inadecuado cubrimiento de las demandas nutricionales de los niños. En el caso de los niños futbolistas, es necesario que se satisfagan sus necesidades de energía para alcanzar un crecimiento óptimo. El futbolista tiene el reto de mantener un balance energético que le permita rendir durante entrenamientos y torneos, los cual no es sencillo pues las demandas energéticas del fútbol son grandes [28-29].
Los métodos antropométricos más utilizados actualmente para la valoración del estado nutricional de los niños son: peso, estatura y pliegues, los cuales arrojan resultados a partir de los cuales se estima el IMC y las áreas total magra y grasas.
En relación con la potencia aeróbica en los sujetos medidos, se evidencia que sólo algunos niños presentan valores sobresalientes en ésta y la mayoría están en un nivel aceptable para su edad y desarrollo. Esto se alinea con el hecho de que el desarrollo de la capacidad aeróbica evoluciona de manera natural y que, a pesar de la carga de trabajo asociado con la práctica del fútbol, ésta se encuentra determinada por la maduración y el estímulo de trabajo regular que se realice [30].
En la prueba del VO2 se demostró que en los rangos generales, el 86,27% de la población se encuentra en niveles adecuados y altos; esto indica que tiene un suficiente potencia aeróbica para la práctica de fútbol. Este estudio no permite precisar el grado de entrenabilidad de la capacidad aeróbica; sin embargo, se considera que en jóvenes se puede obtener un incremento de un 10 a un 20% en el VO2 máximo con la aplicación de carga aeróbica de manera regular. Los niños son activos, aun cuando no estén tomando parte en un programa de entrenamiento; por ese motivo, es muy difícil demostrar qué tanto un programa de entrenamiento agrega mejora a la potencia aeróbica [31].
En cuanto a la potencia muscular, se encontraron valores bajos en la mayoría de la población medida, contrario a los requerimientos de la práctica del fútbol, la cual exige una potencia muscular alta debido a los piques, los saltos y el lanzamiento de balón y velocidad de desplazamiento. En contraste con lo encontrado, se ha demostrado que la potencia muscular en niños de 11 a 13 años puede ser mejorada, en un 4,5% al 5,3%, con un entrenamiento de 9 semanas (3 veces por semana) [30].
En cuanto a los resultados de la flexibilidad, en general, se encuentran deficiencias en la mayoría de la población, según su edad. Dichos resultados son comunes comparado con estudios iniciales en jugadores de fútbol, ya que la inclusión de estiramientos de la mayoría de los grupos musculares del tren inferior en los programas de entrenamiento es poco usual [32].
CONCLUSIONES
En Colombia, el porcentaje de niños y jóvenes que practican fútbol ha aumentado en los últimos años. En este sentido, se sabe que el buen desempeño en este deporte, por parte de niños y jóvenes, depende, en buena medida, de la rama aficionada y de las escuelas de formación, las cuales no cuentan con el suficiente recurso técnico para la realización y el seguimiento continuo de la maduración y el desarrollo de la condición física y antropométrica de los futuros futbolistas.
Este estudio se considera como una primera aproximación a lo aspectos constitutivos de una evaluación diagnóstica y de seguimiento de las cualidades físicas y antropométricas de los niños futbolistas. Se sugiere realizar un estudio de tipo longitudinal, con el fin de realizar un seguimiento a los indicadores antropométricos, lo cual admitiría una comparación de las medidas corporales que reflejan el estado nutricional en los niños.
Se considera pertinente iniciar un estudio pre test-post tests, con el fin de realizar un seguimiento de las variables antropométricas en el tiempo frente al comportamiento de los indicadores de crecimiento, desarrollo y maduración biológica.
El estudio evidencia deficiencias en los niveles de las cualidades físicas, sobre todo en lo relacionado con la flexibilidad y la potencia muscular, elementos fundamentales de la práctica del fútbol.
De igual manera, se recomienda un trabajo especializado a través de un trabajo individual o grupal, dependiendo de las deficiencias encontradas en de los sujetos evaluados, en cada uno de los test y de acuerdo con la edades.
Así mismo, las escuelas de formación o clubes deportivos deben promover entre sus entrenadores una estrategia global, centrada en la evaluación y el seguimiento del desarrollo y maduración morfo-funcional de los niños y la implementación y apoyo en lo relacionado con las necesidades nutricionales como pilares básicos para la práctica regular de fútbol en edades tempranas.
Desde el punto de vista de salud, los resultados encontrados pueden indicar que se necesita poner especial atención y seguimiento al desarrollo de las cualidades físicas básicas de cada individuo que realiza una práctica regular de fútbol con el fin de optimizar el rendimiento del futuro deportista.
REFERENCIAS
1. Bompa T. La selección de atletas con talento. Revista de Entrenamiento Deportivo 1987, 1(2):46-54. [ Links ]
2. Alcaldía Mayor de Bogotá D.C., Secretaría de Educación, Bogotá sin Indiferencia. Análisis cualitativo y uso pedagógico de los resultados. Evaluación de las cualidades físicas de los estudiantes de Bogotá: Alcaldía Mayor de Bogotá, 2004. [ Links ]
3. Carrasco L, Martínez E y Nadal C. Perfil antropométrico, somatotipo y composición corporal de jóvenes piragüistas. Revista Internacional de Medicina y Ciencias de la Actividad Física y el Deporte 2005 (20) http://cdeporte.rediris.es/revista/revista20/artpalistas19b.htm. Acceso: Nov. 27, 2006. [ Links ]
4. Biddle, S. Psychological benefits of exercise and physical activity. Revista de Psicología del Deporte 1993;(4) :99-106. [ Links ]
5. Sallis JF, McKenzie TL, y Alcaraz JE. Habitual physical activity and health-related physical fitness in fourth-grade children. Am J Dis Child 1993;147 :890-6. [ Links ]
6. Young DR y Steinhardt, MA. The importance of physical fitness versus physical activity for coronary artery disease risk factors: A cross-sectional analysis. Res Q Exerc Sport 1993;64 :377-84. [ Links ]
7. Lohman TG. Assessment of body composition in children. Pediatr Exerc Sci 1989 ; 1(1):9-30. [ Links ]
8. Lukaski HC. Methods for assessment of human body composition: traditional and new. Am J Clin Nutr1987;46:537-56. [ Links ]
9. Heyward VH. Advanced fitness assessment & exercise prescription. Champaign, IL: Human Kinetics, 1998. [ Links ]
10. American College of Sports Medicine. ACSM's guidelines for exercise testing and prescription. Baltimore: Williams & Wilkins, 19 95. [ Links ]
11. Slaughter MH, Lohman TG, Boileau RA, et al. Skin fold equations for estimation of body fatness in children and youth. Hum Biol 1988; 60:709-23. [ Links ]
12. Elia M. Body composition analysis: an evaluation of two component models, multi component models, and bedside techniques. Clin Nutr 1992;11:114-28. [ Links ]
13. Leger LA, Lambert, J. A maximal multistage 20-m shuttle run test to predict VO2 max. Eur J Appl Physiol 1982; 49:1-12. [ Links ]
14. Minkler S, Patterson, P. The validity of the modified sit-and-reach test in college-age students. Res Q Exerc Sport 1994;65:189-92. [ Links ]
15. Svensson M, Drust. Testing soccer players. Journal of Sports Science, Research Institute for Sports and Exercise Sciences, Liverpool 2005;23(6):601-18. [ Links ]
16. Draper J, Minikin B, Telford R (Eds). Test methods manual. National Sports Research Centre Canberra: Belconnen, 1991. [ Links ]
17. Fernández J y Hoyos A. Perfil de las cualidades físicas y antropométricas de los escolares colombianos. Bogotá: Universidad Pedagógica Nacional, 2007. [ Links ]
18. Jáuregui Nieto GO, Ordoñez, N. Aptitud física, Pruebas estandarizadas en Colombia. Bogotá: Ed. Nueva Ley, 1994. [ Links ]
19. Bueno, A, Martínez, A. Valoración de los parámetros antropométricos nutricionales: perímetro braquial y pliegues cutáneos, en escolares de Málaga ciudad. An Esp Pediatr 1990;33:225-8. [ Links ]
20. Gaiga MD y Dochenty D. The effect of an aerobic interval-training program on intermittent anaerobic performance. Can J Appl Physiol 1995 Dec. 20(4):52-464. [ Links ]
21. Bulletin of the World Health Organization 2007;85:660-667. [ Links ]
22. The Cooper Institute for Aerobics Research. FITNESSGRAM test administration manual. Champaign, IL: Human Kinetics, 1999. [ Links ]
23. Burrows A, Díaz N y Muzzo, S. Variaciones del índice de masa corporal (IMC) de acuerdo al grado de desarrollo puberal alcanzado. Rev Med Chil, 2004;132(11):1363-1368. [ Links ]
24. Sarria A, Moreno L, Fleta J, Morrellon M, Bueno M. Skinfold thickness measurements are better predictors of body fat percentage than body mass index in male Spanish children and adolescents. Eur J Clin Nutr 1998;53:429-33. [ Links ]
25. Urrejola P N, Hodgson M, Icaza M, Evaluación de la composición corporal en niñas usando impedanciometría bioeléctrica y pliegues subcutáneos. Rev Chil Pediatr 2001;72:26-33. [ Links ]
26. Universidad de Colima. Índices ponderales de futbolistas amateurs en la cuidad de Colima, Colima: Universidad de Colima, 2003. [ Links ]
27. Dezemberg CV, Nagy T, Gower BA, Johson R, Goran, MI. Predicting body composition from anthropometry in pre-adolescent children. Int J Obes 1999; 23:253-9. [ Links ]
28. Umaña M. Nutrición para futbolistas jóvenes. Revista Internacional de Fútbol y Ciencia, 2005;3(1):13-22. [ Links ]
29. Bangsbo, J. Energy demands in competitive soccer. Journal of Sports Sciences 1994,12(S):5-12. [ Links ]
30. Docherty D, Wenger HA, Collis ML. The effects of resistance training on aerobic and anaerobic power of young boys. Med Sci Sports Exerc 1987;19:389-392. [ Links ]
31. Saltin B, Astrand PO. Maximal oxygen uptake in athletes. J Appl Physiol 1967;23:353-8. [ Links ]
32. Sigerseth, PO y Haliski, C. The flexibility of football players. Research Quarterly 1950; 21:394-8. [ Links ]













