Introduction
Multipurpose solutions (MPS) are the most commonly prescribed disinfectants for contact lenses (CL). In recent decades, their chemical compositions have evolved considerably, and today they provide patients with convenience, comfort, and high-quality disinfection. However, no MPS is completely effective in eliminating microorganisms, especially pathogens, and their cytotoxic effect on the corneal epithelium can be proportional to the MPS'S antimicrobial activity. Thus, MPS must strike a delicate balance between biocompatibility and disinfection 1. Furthermore, the different combinations of MPS and lens materials can cause excessive levels of corneal staining, reduce comfort levels, and impact the effectiveness of disinfection2-4 which establishes the guidelines for assessing CL disinfecting solutions. Two commercially available (Opti-Free \u00ae Express \u00ae and Renu \u00ae Multiplus.
The disinfecting agents or biocides currently used in MPS include hydrogen peroxide, polyhexamethylene biguanide (PHMB), alexidine, polyquaternium-1, and amidoamine (Aldox) 5,6. PHMB, or polyhexanide, polyhexidine, polyaminopropyl biguanide (PAPB) (brand-name Dymed), is the most commonly used disinfectant in MPS. It interacts irreversibly with surface cell membranes without penetration and causes loss of selective permeability. Studies have shown that the absorption of PHMB through membranes is considerably fast, both in bacteria and yeast, reaching inhibitory and microbicide effects at a concentration of 100 g/ml within 60 min 7.
Several standards are used to measure the antimicrobial effectiveness of MPS; at the international level, the ISO 14729 standard, published in 2001, has been adopted. In general, these standards use different strains of microorganisms (MO) and assess the disinfecting capacity of MPS against microbial suspensions and MO attached to the surface CL 8. Studies have also shown that MPS containing hydrogen peroxide or PHMB are effective against the most common lens contaminants: Escherichia coli; Pseudomona aeruginosa; Serratia marcescens; Staphylococcus epidermidis; and Staphylococcus aureus9-11. They also present strong antifungal activity against Candida albicans and Fusarium solani10,11.
At the same time, MPS must also ensure safety and biocompatibility with the ocular surface. To this end, solutions contain several compounds that help clean and moisten (surfactants); disinfect through ion sequestering and protein removal (chelants); protect and lubricate (emolients); and stabilize pH, tonicity, and osmolarity (buffers) 6. The toxicity of MPS is assessed in vitro through cultures of corneal epithelial cells and cell models, demonstrating that cell viability depends on the concentration and composition of solutions 12. Among the different in vivo techniques, corneal staining is the most commonly used to determine the biocompatibility of MPS with the ocular surface, in addition to the evaluation of comfort, tear film and hyperemia 13-16. The effects of MPS reach their peak effect on the ocular tissue at the time of insertion and persist for two to four hours, which is the recommended time in which to assess physiological changes generated by MPS on the ocular surface 3,13,17. However, some authors argue that this length of time does not represent real conditions, because the effect from daily use of MPS accumulates over time, and thus such effects should be measured for 3 months 4,18, 2 weeks, 1 month, and 3 months. The mean study completion rate was 90% of the expected participant-months (final data set: 840 lens-solution combinations and 2271 participant-months. The ISO 11980.2 standard (Ophthalmic optics; CL and CL care products; Guidance for clinical investigation) recommends measuring changes over a four-week period.
Studies on the performance of MPS have used a combination of solutions and different SCL, as lens material has been shown to influence the antimicrobial effectiveness and cytotoxic activity of MPS 2,3,19, which establishes the guidelines for assessing CL disinfecting solutions. Two commercially available (Opti-Free \u00ae Express \u00ae and Renu \u00ae Multiplus. Different solutions containing PHMB or its derivatives have been reported to cause excessive corneal staining with PureVision (balafilcon A material) SCL after two hours of lens insertion 3,17, and a lower staining grade with Airoptix (lotrafilcon B material) CL, which tends to decrease over time, and disappears completely following six days of daily use, together with hyperemia 3,16. Three-month assessments have also shown that balafilcon A significantly increased corneal staining with all types of MPS (except those with hydrogen peroxide), and that the highest percentage of corneal staining occurred with solutions containing PHMB. In contrast, these solutions performed well with Airoptix, Acuvue Oasys (senofilcon A material), and Acuvue Advance (galyfilcon A material) SCL 18. Physiological changes were not reported in the corneal surface or in comfort levels when using MPS containing PHMB combined with Acuvue Oasys SCL after two and four hours, and with Biofinity (Comfilcon A material) after 15 and 30 days of use 15.
MPS are the most commonly prescribed disinfectant for CL care and have evolved greatly in the past 20 years. Today, they provide process convenience, product comfort, and effective disinfection. However, no MPS can be completely effective in eliminating microorganisms, especially pathogens 20, and their cytotoxic effect on the corneal epithelium in some cases is inversely proportional to its antimicrobial activity 21. Furthermore, different MPS/SCL material combinations can cause excessive levels of corneal staining, reduce comfort levels, and affect the effectiveness of disinfection. Thus, the aim of the present study was to assess the biocompatibility of Multisolution OXI, which is manufactured in Colombia and has a large market share in the country. It has different SCL materials and its antimicrobial activity can be determined in vitro. It is worth mentioning that no prior studies have been developed in Colombia assessing nationally manufactured MPS.
Materials and Methods
he present study consisted of a single center, randomized, double-masked, crossover study and an in vitro assay evaluating antimicrobial activity, conducted at La Salle University in Bogotá, Colombia. The protocol was approved by the Research Ethics Committee of the Health Sciences Faculty of La Salle University. Participants were informed about the nature of the study, its procedures and possible adverse effects, in accordance with the ethical principles of the Declarations of Helsinki and Good Clinical Practices. Those who participated in the study signed informed consent forms.
The study included 25 participants in total, male and female, 18 years old or older, who did not wear CL, and who met the following inclusion criteria: Visual acuity LogMAR 0.0-0.2; healthy ocular surface (grade 0 corneal staining, grade 0-1 hyperemia); and tear quantity and quality within reference values (Schirmer's test I: higher than 10 mm/5 min and TBUT higher than 5 seconds). The following exclusion criteria were applied: History of allergies and use of topical ophthalmic drugs or systemic drugs that affect ocular surface or tear secretion.
Five lens materials lenses were randomly paired with either MPS or the control, 0.85% saline solution (Table 1). Before the clinical trial, SCL were soaked in either the MPS or the control solution (CS) for four hours, as recommended by the manufacturer.
Table 1 Characteristics of the New Multipurpose Solution and Contact Lenses Used in the Study
| Solutions | Composition |
|---|---|
| MPS: Multisolution OXI | PHMB HCl, boric acid, EDTA, Poloxamer, Povidone, D-sorbitol, -panthenol |
| Control saline solution | 0.85% NaCl |
| Silicone hydrogel CL | Material |
| CL1: Acuvue Oasys | Senofilcon A |
| CL2: Avaira | Enfilcon A |
| CL3: Biofinity | Comfilcon A |
| CL4: Air Optix Aqua | Lotrafilcon B |
| CL5: PureVision | Balafilcon A |
MPS: Multipurpose Solution; CL: Contact lenses.
The clinical trial was based on the design described by Malet with some modifications: Subjects were fitted with different combinations of SCL and MPS or CS, so that one eye was exposed to the MPS and the other eye to the CS 17. For each one of the five lens materials tested with either the MPS or CS, participants attended a baseline/lens insertion assessment and, at a later time, attended another appointment to assess SCL adaptation (previously incubated with their respective solutions). After insertion of the SCL, the optometrist assessed the centered position of the lens, eyelid movement, and overall acceptance by the patient.
The second control took place two hours after the first and consisted of a follow-up assessment after the removal of the SCL. At each visit, anterior and posterior topography was performed based on elevation maps (Pentacam®) to assess corneal thickness, and a biomicroscopy was performed using a slit lamp (Topcon®) with a cobalt blue filter and 10X magnification to measure bulbar hyperemia and corneal staining as per the Brian Holden Vision Institute (BHVI) grading scale (grades 1 to 4). Additionally, an analog scale (1 to 10) was used to measure comfort. Participants rested for three weeks following a repeat of the intervention with various randomly selected combinations of SCL and solutions.
In vitro antimicrobial study was carried out according to either the ISO 14729 standard or independent assay required for MPS to be accepted as disinfectants 22. The challenge microorganisms were: Staphylococcus aureus ATCC 6538; Serratia marcescens ATCC 13880; Pseudomona aeuriginosa ATCC 9027; Candida albicans ATCC 10231; and Fusarium solani ATCC 36031. Bacterial strains were cultured on Trypticase soy agar (TSA) (Difco) for 18-24 h at 36°C. The yeast strains were cultured on Sabouraud dextrose agar (SDA) (Difco) for 42 h at 20°C-26°C. The mold was cultured on potato dextrose agar (PDA) (Difco), for 10 days at 20°C-26°C. Each strain was adjusted to a concentration of 107 microorganisms/ml with Dulbecco's PBS (Sigma-Aldrich), resulting in a challenge test final concentration of 105 Mo/ml for the 3 bacterial strains and the yeast strain. In the case of Fusarium, the challenge test was adjusted to a concentration of 106 Mo/ml. 0.1 ml of each challenge organism was inoculated into 10 ml of each of the 3 final MPS lots. Inoculated MPS were incubated at room temperature for 25%, 50%, 75%, and 100% of the disinfection time recommended by the manufacturer (four hours). Next, a neutralizing broth (Sigma-Aldrich) was added to the MPS for 10 minutes, which reached a final concentration of 104 and 103 for the bacteria and yeast, and 105 and 104 for the mold.
Afterwards, these dilutions were then plated in triplicate on TSA, SDA, or PDA agar and were incubated at the same temperature. Surviving organisms were counted following the incubation period and the colony forming units (CFU) were reported accordingly. Growth was controlled in each assay between 30 and 300 CFU, based on the dilution previously established in the colony recount.
Percentage inhibition: For each test solution (three lots of each MSP), the mean log reductions were calculated from results of the three lots at each time point. Results were compared with ISO/FDIS 14729 primary acceptance criteria for each MPS.
Turbidimetric broth assay to determine minimum inhibitory concentration (MIC): The 96-well plate microdilution method was used to determine MIC. The microorganisms were cultured for 24 hours at 30°C-35°C until they reached a concentration of 1.5 x 108 MO / ml (0.5 McFarland standard). Then, the microorganisms were diluted 1:100 with nutrient broth (Difco) to obtain the inoculum at a final concentration of 1.5 x 105 microorganisms in 100 microliters. A total of 100 microliters of inoculum were added to the wells and 100 microliters of MPS at different serial dilutions (1:2 to 1:16), which resulted in a final volume of 200 microliters. Each dilution of the MPS was performed in triplicate. The growth control was the dilution of the microorganism in nutrient broth without MPS and the controls of the culture medium and MPS without microorganism. The 96-well plate was incubated at 36°C for 60 hours. To determine the growth curve, the absorbance of each well was read every 2 hours until reaching 60 hours of incubation, at a wavelength between 405 and 492 nm, using an ELISA microplate reader (Mindray MR-96 A). After 60 hours of culture, Alamar blue or Resazurin indicator dye (ThermoFisher) was added to determine cell viability.
Statistical analysis: The Shapiro-Wilk normality test was performed and p-values between 0.06 and 0.8 were obtained, showing normality of data. Descriptive statistical analysis was conducted with central tendency measures including mean (m) and standard deviation (SD) of central corneal thickness and comfort. Percentages were used for hyperemia and corneal staining. A Paired Student's t-test was used to measure differences between initial and second measures of central corneal thickness and the Mann-Whitney U test was used to analyze comfort. McNemar's test was used to assess differences between these percentages. All statistical analyses were performed using the IBM SPSS 24.0 software program.
Results
Clinical trial
The 25 participants met the inclusion criteria and were between 18 and 24 years old. They were 55% women, 45% men, with Schirmer I values higher than 10 mm in 5 min and TBUT values higher than 5 seconds. Furthermore, none were CL wearers and presented no corneal surface alterations. No adverse events were recorded during the study.
Corneal thickness
Before SCL adaptation, mean central corneal thickness of the right eye (RE) was 565.98 micras (SD: ±39.07 micron), and the left eye was 564.52 micron (SD: ±37.62 micron). After 2 hours of SCL adaptation with MPS, a mean reduction of -9.50 micron was observed, corresponding to a mean percentage difference of -1.69% (SD: ±2.98%). Considering the coefficient of variation of the Pentacam used in this study for mean central thickness was 0.7% 23, the data did not reveal statistically significant differences (p < 0.05) before and after of the adaptation with each SCL materials with the new MPS, and fell within physiological values.
Bulbar hyperemia
At the beginning of each event, 94.4% of participants eyes' presented grade 1 bulbar hyperemia according to the BHVI scale. After SCL fitting, the maximum grade of hyperemia was 3, occurring in 4% of events. McNemar's test was used to establish differences in the occurrence of hyperemia before and after of the adaptation with each SCL materials with the new MPS, which resulted in statistically significant differences (p < 0.05) regarding the presence of hyperemia higher than grade 1 for all SCL. The control solution (CS) presented similar behavior for CL1, CL4 and CL5 (p < 0.05). However, there were no statistically significant differences (p > 0.05) observed in CL2 and CL3. When solely considering CL material, there was a statistically significant difference between the new MPS and the CS for the CL3 (p < 0.05) (Figure 1).
Corneal staining
At the beginning of each event, 100% of participants' eyes presented grade 1 (normal) corneal staining according to the BHVI scale; after adaptation, the maximum grade reached was 3, in 1.6% of events. The new MPS generated the highest levels of corneal staining (12%) when combined with CL1 and CL5, however, no statistically or clinically significant differences were observed between the combination of lens material and new MPS with the CS (p > 0.05) (Figure 2).

Figure 2 Percentage of eyes with corneal staining > grade 1 at two hours of adaptation of CL (CL1: Senofilcon A; CL2: Enfilcon A; CL3: Comfilcon A; CL4: Lotrafilcon B; and CL5: Balafilcon A) with MPS (black) and the control solution (CS) (stripes), the vertical bars correspond to the mean standard deviations.
Comfort
A Man-Whitney U test was used to analyze the comfort levels of different combinations of MPS or CS with the five-silicone hydrogel lens selected for the study. No statistically significant differences were found among the lenses in terms of comfort felt with either the new MPS or the CS p > 0.05.
In vitro study
According to the ISO 14729 standard, the new MPS met the criteria to be considered a disinfectant solution, after complying with recommended disinfection time (4 hours), with a mean logarithmic reduction in bacterial growth higher than 3 log10 for each strain, and higher than 5 log10 in all 3 bacterial solutions. The same was observed with the fungal, the growth reduction was higher than 1 log10 for each of the strains, meeting the standard (Table 2).
Table 2 Mean Log Reduction of Colony Forming Unit (CFU) of Bacteria and Fungi with the New Multipurpose Solutions, at the Manufacturer's Minimum Disinfection Time
| Time (hours) | S. aureus | S. marcescens | P. aeruginosa | Total* | C. albicans | F. solani | Total** |
|---|---|---|---|---|---|---|---|
| 1 | 2.52 | 2.71 | 3.07 | 2.77 | 1.03 | 1.2 | 1.12 |
| 2 | 6.57 | 7.23 | 7.12 | 6.97 | 1.15 | 2.36 | 1.76 |
| 3 | 6.57 | 7.23 | 7.12 | 6.97 | 1.08 | 2.36 | 1.72 |
| 4 | 6.57 | 7.23 | 7.12 | 6.97 | 1.02 | 2.66 | 1.84 |
| Mean | 5.56 | 6.1 | 6.11 | 5.92 | 1.07 | 2.15 | 1.61 |
* Overall mean log reduction of bacteria.
* * Overall mean log reduction of fungi.
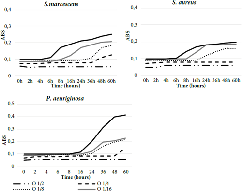
The minimum inhibitory concentration (MIC) of MPS for 5. aureus was 1:4 which remained stable for up to 60 hours. The MIC was 1:2 and 1:4 with 5. marcescens and P. aeruginosa, respectively, for up to 36 and 46 hours and remained stable until the end of the trial. After 60 hours of the trial, the Resazurin dye confirmed the results, with no metabolic activity observed (cell death) in the 3 bacteria used in the first 2 dilutions (Figure 3).
Discussion
None of the MPS combinations with the five studied lens materials presented significant clinical differences in corneal thickness, hyperemia, or corneal staining. Regarding bulbar hyperemia, statistically significant changes were observed in the combination of one of the material CL, Comfilcon A, after two hours of insertion; however, they were not clinically relevant. In most assessments (36.3%), values increased in only one grade on the BHVI scale. Other studies have not found relevant differences in bulbar hyperemia after hours, weeks, and one month of SCL use with different MPS 16,17,24. In general, in the present study, the lowest frequency of hyperemia was observed between the new MPS and balafilcon A, and the highest was observed between MPS and lotrafilcon B.
No significant changes were observed in corneal staining, one of the main parameters that determine MPS safety and biocompatibility, at two hours of use among all CL/MPS combinations. Although not clinically significant, the greatest percentage of corneal staining using the new MPS (12%) occurred with balafilcon A. Andrasko y Ryen found that balafilcon A presented the greatest percentage of corneal staining (70%), especially with MPS containing DYMED, PAPB, and PHMB, corroborating the findings of the present study 3. The difference in percentages may be due to the different grading scales used in each trial. Malet also found a higher percentage of corneal staining when using MPS containing as to why the different combinations of MPS and lens materials resulted in different effects on the ocular surface, they could be related to the uptake and release capacity of CL 17. The higher percentages of staining observed with the balafilcon A lens can be explained by its ionic characteristics (negatively charged) and the positive charge (cationic) of PHMB. Thus, the PHMB of the MPS is more readily absorbed by these lenses, and their interaction with mucins increases its release 25.
Such kinetics are likely to influence the biocompatibility of the different MPS/SCL combinations with the corneal surface. In the present trial, the combinations that generated greater percentages of corneal staining were MPS with balafilcon A, senofilcon A, and lotrafilcon A. Furthermore, lotrafilcon A, and senofilcon A with the new MPS also resulted in the highest percentages of hyperemia. Due to the non-ionic nature of these materials, they absorb less PHMB; however, they also retain the compound for longer (>360 min) 25. Additionally, many studies have shown that regardless of SCL/MPS combination, patients express high comfort levels, reaching scores greater than 7.8 out of 10 during the first 2 hours of use, with results showing good biocompatibility of MPS with the ocular surface 16,17,24,26.
The antimicrobial activity of the MPS in the present study met the criteria established in ISO 14729, with a reduction in CFU greater than 3 log10 in all bacterial strains analyzed. Mean logarithmic reduction was greater than 5 log10, corresponding to a reduction of the bacteria in the challenge test greater than 99.9%. This result corroborated the MIC, which was established at 1:2 dilution for all bacterial strains studied. The MIC for PHMB has been reported at 2mg/ml against P. aeuriginosa and 0.5 mg/ml against 5. aureus, proving to be an effective microbiocide agent at very low concentrations 7. Studies of the antimicrobial activity of MPS containing PHMB as an antimicrobial agent have been reported to meet the primary criterion of the isso 14729 standard 9-11. Challenge tests involving fungal activity have shown that most PHMB solutions met the primary criterion (1 log10 reduction) against Candida albicans10,11 similar to that found in the present study for the new MPS a 1.07 log10 reduction in C. albicans CFU. Additionally, these PHMB-based MPS also present improved antimicrobial activity against F. solani, most with reductions greater than 3 log10 Similarly, in the present study, a 2.15 log10 reduction in the CFU of F. solani was observed.
Challenge tests involving fungal activity have shown that most PHMB solutions met the primary criterion (1 log10 reduction) against C. albicans10,11 similar to that found in the present study for the new MPS a 1.07-log reduction in C. albicans CFU. Additionally, these PHMB-based MPS have presented better antimicrobial activity against F. solani, most with reductions greater than 3 log10. Similarily, in the present study we found a 2.15 log10 reduction in the CFU of F. solani.
In conclusion, the new MPS produced and commercialized in Colombia showed no significant differences in biocompatibility characteristics in comparison with physiological saline solution. It also presented with appropriate safety levels for its wearers, with no changes in the physical or physiological characteristics of the cornea. Furthermore, they met the primary criterion of the ISO 14729 standard and can be used as a lens disinfecting solution. The comfort values obtained with the new MPS were sufficiently high in order to be used with satisfaction by patients.
















