1. INTRODUCCIÓN
En septiembre de 2015, el Gobierno Colombiano presentó en París su compromiso para mitigar el cambio climático, en el cual se proyecta recortar emisiones, aumentar la eficiencia energética en los sectores industrial, residencial y comercio; además de promover la implementación de medidas relacionadas con transferencia de tecnología y sustitución de combustibles [1].
A partir del análisis del proceso de cocción de cerámicos estructurales en un horno túnel, el cual se lleva a cabo por combustión de carbones de la provincia Centro de Boyacá, cuyo poder calorífico promedia los 6.500 Btu/lb y el consumo es en torno a las 60 toneladas/mes, de las cuales se producen 9 toneladas de cenizas, con un 35% (3.2 toneladas) de carbón inquemado en su composición (figura 1(a)). Las cenizas se depositan sobre la carga, formando una capa de aislante térmico que genera defectos de cocción en el producto (figura 1(b)). Las pérdidas por este concepto ascienden al 3% de la producción media mensual, equivalente a 24.000 bloques.

Figure 1 (a) Unburned coal and product losses. (b) Layers of ash, produced during the cooking process by direct burning of coal in the tunnel kiln.
Durante el descargue del horno y almacenamiento del bloque, las cenizas y el material de pérdidas requieren de manejo y acopio en patios de desechos, donde se convierten en focos de contaminación. La substitución de la combustión directa de carbón por gas de síntesis, minimiza los problemas mencionados, limpia los gases de chimenea [2] y aumenta la eficiencia térmica del combustible; de esta manera, se garantiza y promueve el consumo de carbón bajo condiciones sostenibles, teniendo en cuenta que las reservas medidas de carbón en Colombia a 2012, fueron del orden de 5.000 millones de toneladas y los recursos potenciales estimados en 15.500 millones de toneladas, de los cuales el 87,5% corresponden a carbón térmico y el 12,5% a carbón metalúrgico [3]. En el departamento de Boyacá los recursos carboníferos se encuentran distribuidos, así: subcuenca Tunja-Duitama; ubicada entre el Puente de Boyacá al sur y el municipio de Duitama al norte, la mayoría de estos carbones están clasificados como subituminosos A, hasta bituminosos de altos volátiles C. Subcuenca Sogamoso-Jericó; son carbones principalmente bituminosos, altos en volátiles, B y C. Subcuenca Chinavita-Umbita-Tibaná; ubicada en el centro-sur del departamento de Boyacá y Machetá, Cundinamarca. En total las reservas medidas en las zonas carboníferas de Boyacá, ascienden a 170.4 millones de toneladas [4].
2. METODOLOGÍA
2.1 La gasificación del carbón
Es un proceso termoquímico para convertir materiales carbonáceos, como carbón y biomasa, en combustible o gas sintético (syngas), a partir de la oxidación parcial a elevadas temperaturas [5,6]. Es importante a nivel mundial por sus beneficios y variedad de usos [7].
La producción de gas a partir del carbón se lleva a cabo por reacciones químicas en cuatro etapas, de acuerdo con las ecuaciones (1) a (12) [8]:
Secado del combustible sólido. Se lleva a cabo a temperaturas promedio de 105 °C:
Pirólisis. Ocurre dentro de un rango de temperaturas entre 300 y 400 °C; se libera la materia volátil y se obtiene un producto sólido con propiedades de semicoque o char. Dependiendo de las propiedades del combustible y del gasificador, los volátiles liberados pueden contener H2, CO, CO2, H2O, CH4, C2H6, H2S, NH3, olefinas, aromáticos, alquitrán y algunas cantidades de hollín. Las partículas de char contienen compuestos orgánicos (carbono) e inorgánicos (cenizas).
Oxidación. La inyección de oxígeno en defecto al gasificador produce reacciones de oxidación parcial; por lo tanto, la energía térmica requerida para las reacciones de gasificación es suministrada por la oxidación de los productos obtenidos durante el proceso de pirólisis.
Las reacciones químicas que se llevan a cabo durante la combustión de los productos pirolizados son:
Gasificación. Cuando la temperatura de las partículas remanentes (char y hollín) sobrepasan el rango de temperatura de los 600 a 700 °C, se pueden gasificar con vapor de agua y CO2. A presiones altas, también se pueden gasificar con H2. Las reacciones heterogéneas de gasificación son mucho más lentas que las reacciones de pirólisis y oxidación, de esta manera controlan la velocidad; por lo tanto, el diseño y construcción de los gasificadores depende en primer lugar de estas reacciones. Además, se debe tener en cuenta que también pueden tener lugar algunas reacciones homogéneas de gasificación. Las principales reacciones del proceso de gasificación son:
A partir de la reacción de intercambio gas-agua, se puede intercambiar la relación H2/CO. La reacción de metanización permite obtener CH4 como producto principal del proceso. En estas dos reacciones exotérmicas, la baja temperatura es favorable; sin embargo, a estas condiciones tienen lugar de forma muy lenta por lo cual es importante catalizar. De otra parte, a altas temperaturas las reacciones pueden ser reversibles. En la tabla 1 se relacionan los tipos de gas, la composición y el poder calorífico de los gases obtenidos por gasificación de carbón [9].
Tabla 1 Propiedades del gas de síntesis [ 9 ] .
| TIPO DE GAS | COMPOSICIÓN | PODER CALORÍFICO (BTU/SCF) |
|---|---|---|
| Bajo Poder Calorífico (gas pobre) | CO, H2, CO2, N2 | 90 - 250 |
| Medio Poder Calorífico | CO, H2, CO2, CH4 | 270 - 600 |
| Alto Poder Calorífico (gas tratado) | CH4, CO, CO2, N2 | - 1000 |
Los cálculos para el análisis térmico del proceso de cocción de cerámicos en horno túnel, se hacen con base en las propiedades del gas de bajo poder calorífico, el cual es objeto de estudio para proyectar la reconversión tecnológica.
2.2 Desarrollo metodológico
La investigación se realizó en tres fases: la primera corresponde al estudio y caracterización de los carbones de la provincia Centro de Boyacá, partiendo de la delimitación del área y selección de minas, para toma de muestras y análisis de laboratorio, bajo procedimientos de normas ASTM para carbones y coques [10].
Las propiedades analizadas fueron: humedad residual (HR), pérdidas por secado al aire (ADL), humedad total (HT), cenizas (Cz), materia volátil (M.V.), índice de hinchamiento (F.S.I), carbono fijo (C.F.), azufre (S) y poder calorífico (PC), que corresponden a las propiedades de mayor efecto en el proceso de gasificación [11,12]. Los análisis se realizaron como se recibe la muestra (CSR), y se hace el cálculo de los resultados en base seca (BS) y en base seca libre de cenizas (BSLCz); el cálculo en diferentes bases se aplicó para hacer el análisis estequiométrico de las reacciones de gasificación; el rango de los carbones analizados se determinó con base en la tabla de clasificación internacional, y se comparó con carbones comúnmente gasificables.
En la segunda fase, se hizo el estudio analítico de la gasificación del carbón, a partir de las reacciones químicas del proceso para la obtención de gas de bajo podercalorífico, y se calcularon las relaciones de masa y energía, carbón/gas.
En la fase final se estableció la energía requerida en el proceso de cocción de cerámicos en horno túnel, a partir del balance de masa del sistema, para evaluar el consumo de carbón y la eficiencia energética, durante la combustión directa y como gas.
3. RESULTADOS Y DISCUSIÓN
3.1 Fase I. Caracterización de carbones de la provincia Centro de Boyacá
Delimitación de áreas y selección de minas. En Boyacá se definen tres áreas carboníferas [13], Checua-Lenguazaque, al sur occidente del departamento; oriental, denominada Sogamoso Jericó y Centro, que comprende los municipios de Tunja, Paipa y Duitama, con sus respectivas jurisdicciones [14].
Selección de minas. Se tomaron cinco muestras de minas en producción en la provincia Centro de Boyacá, ubicada en el área carbonífera centro del departamento; esta zona incluye las cuencas carboníferas de Cogua Samacá y Tunja Paipa Duitama, las cuales conforman la formación Guaduas en la parte media inferior [15].
Análisis de laboratorio. Los resultados de las pruebas de laboratorio para la caracterización de los carbones analizados se presentan en la tabla 2.
Tabla 2 Resultados de la caracterización de carbones de la provincia Centro de Boyacá.
| RESULTADOS DE LOS ANÁLISIS DE LAS MUESTRAS EN DIFERENTES BASES SEGÚN NORMA ASTM D 3180 | |||||||||||||||
|---|---|---|---|---|---|---|---|---|---|---|---|---|---|---|---|
| DATOS GENERALES | COMO SE RECIBE (CSR) | BASE SECA (BS) | BASE SECA LIBRE DE CZ (BSLCz) | RANGO DEL CARBÓN SEGÚN NORMA ASTM D388 | |||||||||||
| MUESTRA | ADL | HR | HT | Cz | M.V. | C.F. | F.S.I. | S | PC | CZ | M.V. | C.F. | M.V. | C.F. | |
| Código | % | % | % | % | % | % | No. | % | (cal/g) | % | % | % | % | % | |
| M1 | 0,97 | 5,87 | 6,78 | 9,06 | 40,84 | 44,23 | 1 | 0,74 | 6.540 | 8,00 | 39,78 | 43,17 | 39,66 | 43,05 | Subituminoso |
| M2 | 1,55 | 7,32 | 8,76 | 14,86 | 41,07 | 36,75 | 0,5 | 1,61 | 5.920 | 13,78 | 39,99 | 35,67 | 39,78 | 35,46 | Subituminoso |
| M3 | 0,29 | 1,13 | 1,42 | 12,58 | 30,26 | 56,03 | 5 | 0,89 | 7.510 | 11,57 | 29,25 | 55,02 | 29,10 | 54,87 | Lignito |
| M4 | 1,55 | 2,28 | 3,79 | 7,66 | 38,19 | 51,87 | 2 | 0,51 | 6.678 | 6,64 | 37,17 | 50,85 | 37,08 | 50,76 | Subituminoso |
| M5 | 0,50 | 2,01 | 2,50 | 16,61 | 34,97 | 46,41 | 1 | 1,55 | 6.665 | 15,59 | 33,95 | 45,39 | 33,74 | 45,18 | Lignito |
De acuerdo con el estudio de caracterización de los carbones, para exploración de gas metano asociado al carbón en el área Checua Lenguazaque, sector Guachetá (Cundinamarca) Samacá (Boyacá); realizado por el Servicio Geológico Colombiano [16], se encuentra que los resultados de la tabla 2, están dentro de los rangos propios de las características de los carbones con propiedades gasificables.
Determinación de las propiedades gasificables de los carbones analizados. En los procesos de conversión del carbón sólido a gas [17], los principales productos son: monóxido de carbono e hidrógeno; el rendimiento depende del rango del carbón, el contenido de agua, las propiedades aglomerantes y las propiedades de las cenizas [18]. Los carbones de bajo rango presentan altos contenidos de humedad, y materia volátil, pero bajo porcentaje de carbono fijo y poder calorífico; tienden a ser más reactivos por el bajo nivel de ordenamiento de su estructura y alto contenido de heteroátomos (particularmente oxígeno). En el proceso, cenizas de carbón con bajo punto de fusión, gasificados en reactores que operan a altas temperaturas, presentan comportamiento de escorias fluidas; mientras que en gasificadores que operan a bajas temperaturas, se comportan como cenizas secas [8]. La tabla 3, registra los valores mínimos y máximos, de las propiedades con mayor efecto en el proceso de gasificación de los carbones de bajo rango. De acuerdo con la tabla de clasificación internacional de la norma ASTM D 388 [10], las propiedades de los carbones de bajo rango incluyen carbones subituminosos y lignitos.
Tabla 3 Propiedades de los carbones gasificables bajo rango.
| INTERVALOS | HUMEDAD (%) en peso | MATERIA VOLÁTIL (%) en peso | CARBONO FIJO (%) en peso | CENIZAS (%) en peso | AZUFRE (%) en peso |
|---|---|---|---|---|---|
| LIGNITOS | |||||
| Valores mínimos | 8,3 | 28 | 24,4 | 9,2 | 0,2 |
| Valores máximos | 12,5 | 50,8 | 40 | 52 | 5,5 |
| SUBITUMINOSOS | |||||
| Valores mínimos | 2,4 | 22 | 24,5 | 6,3 | 0,2 |
| Valores máximos | 20,2 | 51,8 | 53,1 | 50,4 | 2,1 |
Los contenidos de humedad, cenizas, material volátil, carbono fijo y azufre son comparables a los valores de estas mismas propiedades, en carbones terciarios utilizados en gasificación [19], en carbones gasificados para generación de potencia [20] y, en cogasificación de carbones colombianos con biomasa [21].
Clasificación de los carbones analizados. Este procedimiento se realiza evaluando los resultados de las propiedades de las muestras analizadas, con respecto a los valores límite inferior (LI) y superior (LS), de las propiedades de los carbones de bajo rango, y de los carbones subituminosos y lignitos, en la tabla de clasificación internacional de la norma ASTM D 388 [10]. A partir de los histogramas (figura 2), se hace un análisis comparativo [22] de las propiedades de mayor efecto en el proceso de gasificación, entre los carbones analizados y los carbones de bajo rango.

Figure 2 Histograms of properties of analyzed coals, as compared t olc/w (LI) and high (LS) limits of low rank coals.
Se observa que la humedad en todas las muestras está por debajo dellímite inferior delosccDbones de bajo rango; sin embargo, aunque estapropied ad intrínseca favorece reacciones endotérmicas de gasificación (reacciones 7 y 10) para producir gases de alto valor calorífico, se puede complementar de forma extrínseca en el proceso, usando vapor de agua como agente gasificador o adicionando agua al carbón hasta inyectarlo en forma de lodos (23). Los contenidos de cenizas, materia volátil, carbono fijo y azufre se mantienen dentro de los intervalos establecidos para estas propiedades, de acuerdo con los parámetros de norma para carbones de bajo rango, y con los valores de estas mismas propiedades en carbones usados en procesos de gasificación [19,20,21].
3.2 Fase II. Estudio y análisis del precesodegasificación
El estudio analítico de la gasificación se hace a nivel estequiométrico, para calcular la producción de gas de bajo poder calorífico (tabla 1), a partir de carbón, por combustión incompleta a condiciones normales, y con 25% de aire en déficit. La reacción química del proceso es:
Los resultados se muestran en la tabla 4.
Tabla 4 Resultados del análisis estequiométrico para gasificación de los carbones probados.
| MUESTRA | CARBÓN | COMPOSICIÓN GAS BAJO PODER CALORÍFICO (GBPC) | GBPC | RELACIÓN MASA | RELACIÓN | |||||||||
|---|---|---|---|---|---|---|---|---|---|---|---|---|---|---|
| CF (%) | CF (Kg) | PC (Kcal) | CO | CO2 | N | (m 3 ) | (Kg) | (Kcal) | (Kg-carbón) / (Kg-syngas) | (PC-GBPC / PC-carbón) | ||||
| (m 3 ) | (%) | (m 3 ) | (%) | (m 3 ) | (%) | |||||||||
| M1 | 82,71 | 0,83 | 6.540,00 | 1,16 | 19,63 | 0,39 | 6,54 | 4,36 | 73,83 | 5,90 | 3,69 1. | 217,74 | 0,27 | 0,19 |
| M2 | 75,24 | 0,75 | 5.920,00 | 1,05 | 19,63 | 0,35 | 6,54 | 3,96 | 73,83 | 5,37 | 3,35 1 | 107,76 | 0,30 | 0,19 |
| M3 | 83,97 | 0,84 | 7.510,00 | 1,18 | 19,63 | 0,39 | 6,54 | 4,42 | 73,83 | 5,99 | 3,74 1. | 236,29 | 0,27 | 0,16 |
| M4 | 87,84 | 0,88 | 6.678,00 | 1,23 | 19,63 | 0,41 | 6,54 | 4,63 | 73,83 | 6,27 | 3,92 1. | 293,27 | 0,26 | 0,19 |
| M5 | 78,92 | 0,79 | 6.665,00 | 1,10 | 19,63 | 0,37 | 6,54 | 4,16 | 73,83 | 5,63 | 3,52 1. | 161,94 | 0,28 | 0,17 |
El análisis estequiométrico indica que todos los carbones analizados se pueden gasificar. En promedio la relación de masa es del 27,51%; es decir que a partir de 275 gramos de carbón se obtiene un kilogramo de gas; la energía del gas equivale al 18,11% respecto a la del carbón, cuando la composición promedio del gas es 19,63% CO, 6,54% CO2 y 73% N2, obtenido por combustión incompleta con deficiencia de aire. A nivel industrial, este proceso se optimiza mezclando o substituyendo el aire por vapor de agua para minimizar los contenidos de dióxido de carbono (CO2) y nitrógeno (N2), en las emisiones; en consecuencia, aumenta la capacidad energética debido al incremento en la producción de monóxido de carbono (CO), e hidrógeno (H2), de acuerdo con la reacción 7, para obtener un gas de poder calorífico medio (tabla 1).
3.3 Fase III. Análisis termodinámico y cálculo de energía
Análisis térmico. Se realizó a partir del modelo 3D de un horno túnel para cocción de bloques, definiendo las zonas térmicas y el flujo del proceso (figura 3). Durante la operación, la carga entra a la zona de precalentamiento y se desplaza en movimiento continuo a una velocidad de 2.86 m/h, hasta salir por la zona de reposo [24].
El calor para el proceso de cocción es suministrado por combustión directa de carbón. Los requerimientos de energía en función de la temperatura y la simulación en Matlab de las zonas térmicas del horno se ilustran en la figura 4.
La simulación se realiza con pdetool de Matlab resolviendo la ecuación de transferencia de calor (ecuación 13), con el método parabólico por elementos finitos; el cual permite resolver sistemas definidos sobre dominios limitados y continuos en un plano. Se definieron condiciones de frontera tipo Dirichlet donde se conocen los valores de la solución que necesita la frontera del dominio y tipo Neumann, donde se especifican los valores de la derivada de una solución tomada sobre la frontera. El modelo geométrico para la simulación se proyectó a partir de un esquema de zonas térmicas y de operación del horno (figura 4), sobre una retícula a escala asimétrica, midiendo la longitud del horno (53 m) sobre el eje X (cada unidad representa dos metros), y la altura (3,5 m), sobre el eje Y (cada unidad representa un metro).
Donde: rho es la densidad; C, es la capacidad calórica; div ( k * grad (7)), es la divergencia del producto entre el coeficiente de conducción y el gradiente de la temperatura de los gases de combustión; Q, es la fuente de calor; h, es el coeficiente de transferencia de calor por convección; Text, es la temperatura externa y T, es la temperatura de frontera.
La figura 5 presenta la solución gráfica del sistema por el método parabólico, en una capa diferencial en 3D, que muestra la divergencia de las propiedades térmicas de los gases de combustión, en función del gradiente térmico.

Figure 5 3D graphic of the divergence of thermal properties of the combustion gases, in function of the thermal gradient of the system.
La validación de los resultados de la simulación del perfil térmico del horno túnel, se hace con base en el análisis del perfil térmico obtenido a partir de los resultados experimentales. En la figura 6 se grafican los valores de las temperaturas simuladas y experimentales para analizar la correlación de datos.

Figure 6 Graphic data correlation of simulated and experimental temperatures in function of the kiln length.
Los datos de las temperaturas experimental y simulada alcanzan los mayores niveles de ajuste mediante las ecuaciones polinómicas de segundo orden:
Las líneas de tendencia obtenidas a partir de las ecuaciones 14 y 15, confirman la distribución de calor de acuerdo con el esquema de zonas térmicas y la simulación gráfica de la figura 4. La correlación de datos de la temperatura experimental es de 0,998, mientras que para los datos de temperatura simulada es de 0,974, en los dos casos la dispersión es menor a 0,026. La diferencia de 0,024 entre las correlaciones se debe a que el horno cuenta solamente con 5 puntos de registro de las temperaturas experimentales, mientras que para la temperatura simulada se registraron 12 datos.
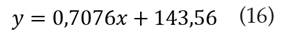
En la figura 7, obtiene la correlación entre las temperaturas experimental y simulada, a partir de la línea de tendencia, definida por la ecuación:
El valor de la correlación indica que la desviación entre los datos de las temperaturas experimental y simulada es del 0,13%; de donde se deduce, que la eficiencia de la simulación alcanza el 87%. Este resultado es coherente con otras simulaciones realizadas para establecer el perfil térmico y el flujo de calor en un horno túnel [25].
Cálculo de Energía. La energía térmica necesaria para el proceso de cocción Q prcs , (ec. 16 y 18), es suministrada por el combustible Q cmb ; equivale a la sumatoria de las cantidades de calor Q i , (ec. 2) [26,27], que consume cada uno de los componentes másicos del sistema, de acuerdo con las ecuaciones:
Donde m, es la masa, Cp el calor específico del material a presión constante, y ΔT representa el cambio de temperatura experimentado por el material, para su transformación o calentamiento.
Los parámetros para el balance de masa y energía son: un ciclo de cocción con carga completa en el horno (19 vagonetas); temperatura mínima, 15°C (ambiente); temperatura máxima, 900°C y presión atmosférica. El consumo de calor en el proceso está dado por: el calentamiento de la carga estática (Qst), el calentamiento y cocción de la carga dinámica Qdy, (ec. 17) y las pérdidas de calor (Qprd). El calor requerido para el proceso se obtiene mediante la ecuación:
El calor consumido por la carga dinámica (Q qdy ), es el necesario para cocer los cerámicos (Q ccr ), calentar la vagoneta (Qwg), y las cenizas del carbón (Q cz ), de conde se obtiene la ecuación:
Las pérdidas de calor están definidas por la convección (Q pcnv ) sobre las paredes externas del horno y el calor remanente en la carga dinámica a la salida del horno: cerámicos (Q pcr ), vagoneta (Qwg), y cenizas (Q pcz ).
Estas pérdidas se determinaron a partir de la ecuación:
El cálculo de la energía consumida para la cocción de los cerámicos, más las pérdidas generadas por el enfriamiento de la carga dinámica a la salida del horno y la convección sobre las paredes, se define como calor de reposición y se registra en la tabla 5.
Tabla 5 Calor requerido por el sistema.
| CALOR COMPONENTE | ENERGÍA DE REPOSICIÓN | |
|---|---|---|
| (kcal) | (%) | |
| Q dinámico | 7.901.332,2 | 88,25 |
| Q pérdidas | 1.051.401,2 | 11,75 |
| Qtotal | 8.952.733,4 | 100 |
El balance de energía se hace a partir de la ecuación 18; sin embargo, en un proceso continuo el calor de la carga estática (todos los componentes fijos del horno), una vez alcanzado se mantiene constante; así el calor requerido para mantener el horno en operación continua equivale al calor de reposición.
La tabla 6 registra las cantidades de masa de carbón mineral y de gas de síntesis de bajo poder calorífico (135 BTU/SCF), requeridas para suministrar el calor de reposición al proceso.
Tabla 6 Balance de masa y energía para carbón gas de síntesis, requeridos por la energía de reposición.
| FUENTE DE ENERGÍA | DESCRIPCIÓN | CANTIDAD | UNIDADES |
|---|---|---|---|
| Energía de reposición | Energía carga dinámica más pérdidas | 8.952.733,4 | (kcal) |
| Balance termodinámico del carbón | Poder calorífico medio del carbón | 7.460,0 | (kcal) |
| Carbón requerido por combustión directa. (Sin considerar pérdidas por inquemados) | 1.200,1 | (kg) | |
| Balance termodinámico del gas de síntesis | Energía gas de síntesis con poder calorífico medio | 1.203,4 | (kcal/m3- gas) |
| Gas a producir por kilogramo de carbón | 5,8 | m3/kg- carbón | |
| Carbón requerido por combustión de gas de síntesis | 1.282,7 | (kg) |
Con base en el análisis estequiométrico se requiere 1,2 toneladas de carbón mineral para mantener el horno en operación; considerando pérdidas del 35% por inquemados, el gasto asciende a 1,62 toneladas. Con gas de síntesis se requieren 7439.7 metros cúbicos, producidos a partir de 1,28 toneladas de carbón mineral. La diferencia muestra un ahorro del 21% en consumo de carbón.
4. CONCLUSIONES
Las muestras de carbón de la provincia Centro de Boyacá, caracterizadas bajo procedimientos de norma ASTM, se clasifican como carbones de bajo rango, los cuales son ampliamente usados en procesos de gasificación a nivel internacional; estos resultados permiten promover el desarrollo e implementación del proceso de gasificación de carbón, como forma alternativa de uso de este abundante recurso a nivel regional y nacional.
El estudio y análisis estequiométrico del proceso de gasificación con carbones de la provincia Centro de Boyacá, establece la viabilidad para producir gas de síntesis de bajo poder calorífico (gas pobre), usando aire en déficit al 25%. El proceso se puede optimizar mezclando o substituyendo aire por vapor de agua, para minimizar contenidos de CO2 y N2 en las emisiones; en consecuencia, aumenta la capacidad energética por incremento CO, e H2 en la composición y se obtiene un gas de poder calorífico medio.
A partir del análisis térmico y el balance de masa del proceso de cocción de cerámicos en horno túnel, se concluye que la combustión de gas de síntesis, a diferencia de la combustión directa de carbón no produce residuos sólidos, lo cual mejora la eficiencia térmica por incremento en la velocidad de calentamiento de la carga útil, y minimización de pérdidas de energía por carbón inquemado y arrastre de calor en cenizas calientes a la salida del horno. El calor de reposición necesario para mantener el horno en operación continua se genera a partir de la combustión de gas de síntesis, el cual se produce con un 21% menos del carbón requerido para producir la misma cantidad de energía por combustión directa.
La correlación de datos de las temperaturas experimentales y simuladas son de 0,998 y 0,974 respectivamente, que se ajustan a funciones polinómicas de segundo grado con desviaciones de 0,002 y 0,026; se deduce confiablidad del 99%. La diferencia en los valores de correlación de los datos simulados con los experimentales es de 0,024, lo cual indica que la confiabilidad de la simulación es del 97,6%. La precisión de la simulación se explica por el uso de datos experimentales para definir las condiciones de frontera y los parámetros de operación del horno. Los resultados de los análisis estequiométrico y termodinámico del proceso de cocción de cerámicos en horno túnel, demuestran la viabilidad energética para hacer la conversión del proceso de cocción por combustión directa de carbón, a combustión de gas de síntesis, promoviendo el consumo de un recurso estratégico a nivel regional y nacional bajo condiciones sostenibles. A partir de estos resultados se proyecta la continuidad de la investigación en su fase experimental [1].




























