1. INTRODUCCIÓN
Durante 1951 Merleau-Ponty trabajaba en un ensayo en el que intentaba elaborar una teoría de la expresión tanto como una de la historia, interrogando los trabajos del lingüista y del psicólogo, el arte del pintor y del escritor. Él no finalizará este manuscrito -que Claude Lefort editará en 1969 con el título La prosa del mundo y en el que Merleau-Ponty buscaba confeccionar una teoría de la verdad-, pero presentará una ponencia en el primer Coloquio Internacional de Fenomenología, realizado en Bruselas, titulada "Sobre la fenomenología del lenguaje", que puede acercarnos a la reflexión del autor en aquel momento. Hallamos en este texto una cita que puede introducirnos al problema que queremos elucidar en este artículo en torno a la verdad y que contiene, germinal-mente, toda la propuesta merleaupontiana acerca de esta noción tan compleja de su obra.
Decir que hay una verdad es decir que, cuando mi reasunción encuentra el proyecto antiguo o extranjero y cuando la expresión lograda libera aquello que estaba cautivo en el ser desde siempre, en el espesor del tiempo personal e interpersonal se establece una comunicación interior por la cual nuestro presente se convierte en la verdad de todos los demás acontecimientos cognoscentes (...) En ese momento se ha fundado alguna cosa en su significación, una experiencia se ha transformado en su sentido, ha devenido verdad. La verdad es otro nombre de la sedimentación, que es a su vez la presencia de todos los presentes en el nuestro. (Merleau-Ponty, 1960, p. 120)1
Desde la perspectiva merleaupontiana, la verdad está ineludiblemente ligada a la expresión en que se manifiesta; cuando reasumimos un fenómeno ya instituido, una expresión lograda, nos encontramos con un ser cautivo que ha sido liberado y se ha hecho accesible a quien retoma dicha expresión. Para pensar este problema esencial, el fenomenólogo echará mano de la noción de institución (Stiftung), que le permitirá elucidar el dinamismo que supone la experiencia de la verdad del estar-en-el-mundo del cuerpo propio. La noción de institución, a la que apelará el filósofo, le permitirá remediar ciertas dificultades de la filosofía de la conciencia que le impedían pensar en su complejidad este problema central.
En el capítulo "El algoritmo y el misterio del lenguaje", del referido ensayo La prosa del mundo, Merleau-Ponty lleva a cabo una reflexión en torno al problema de la verdad, que es vehiculizada mediante un caso matemático aprendido en El pensamiento productivo de Max Wertheimer. El filósofo señala al final de ese capítulo que "lo esencial del pensamiento matemático radica por tanto en ese momento en el que una estructura se descentra, se abre a una interrogación, y se reorganiza de acuerdo con un nuevo sentido que, sin embargo, es el sentido de esa misma estructura" (Merleau-Ponty, 1969, p. 178). Esta aseveración podría hacernos creer, en un primer momento, que el problema de la verdad no es más que el problema del desenvolvimiento de un concepto hacia un fin en el que este alcanzaría su plenitud, es decir, a una suerte de verdad definitiva. Sin embargo, el problema es planteado de modo muy diferente por Merleau-Ponty (1969); él cree que toda verdad no es más que un conjunto de relaciones establecidas más un horizonte abierto de relaciones por construir (p. 175). La explicación del autor busca sustentar que el problema de la verdad no es otro que el problema del "devenir del sentido, en el que el devenir no es una sucesión objetiva, transformación de hecho, sino un devenir sí mismo, un devenir sentido" (p. 178) que debe desplegarse a partir de las relaciones establecidas y las contingencias propias del momento y de los sujetos. De este modo, el lugar propio de la verdad será aquel de la recuperación del objeto de pensamiento en la nueva significación instituida a partir de aquellas relaciones, más la construcción de nuevas relaciones en las que el sentido de las primeras queda contraído y comprendido y, simultáneamente, hay una desviación que otorga sentido a la nueva estructura.
Para desentrañar en este artículo el problema de la verdad brevemente introducido, nos proponemos a elucidar el dinamismo de la institución de un saber que puede hacerse asequible a todos mediante la cristalización en una significación. Para esto utilizaremos dos ejemplos de los que podremos extraer ciertas afirmaciones que a través de ellos traslucen. Por un lado, presentaremos el problema del triángulo, al que Merleau-Ponty recurrirá tanto en Fenomenología de la percepción como en las Notas de curso sobre la institución y, por el otro, la historia del pequeño Gauss y su problema de la sumatoria de los n primeros números naturales, tratada tanto en La prosa del mundo como en las mentadas notas. Estos dos ejemplos nos permitirán acercarnos al tratamiento que Merleau-Ponty le da al problema de la verdad y elaborar ciertas consideraciones en torno al mismo.
2. LA INSTITUCIÓN
El concepto de institución fue elaborado por Merleau-Ponty (1968) con el objetivo de buscar "un remedio a las dificultades de la filosofía de la conciencia" (p. 59), e intenta describir el dinamismo que supone la fundación de un sentido, su sedimentación y posterior reactivación. En La prosa del mundo el autor señala literalmente la apropiación del término tal como E. Husserl lo utilizaba:
Husserl ha empleado la hermosa palabra Stiftung para designar, en primer lugar, esta fecundidad indefinida de cada momento del tiempo, que precisamente porque es singular y pasa, no podrá dejar nunca de haber sido o de ser universalmente y, en segundo lugar, la fecundidad (derivada de la primera) de las operaciones de la cultura que abren una tradición, que continúan siendo válidas después de su aparición histórica, y que exigen más allá de ellas mismas otras y las mismas operaciones. (Merleau-Ponty, 1969, pp. 95-96)
Lo que se quiere manifestar con la noción de institución son dos cosas: por un lado, que la dimensión histórica comporta la presencia de nudos o emblemas de sentido y, por el otro, que la institución hace visible una dimensión temporal particular, es decir, una duración que no se inmoviliza en sí misma sino que se continúa en la medida en que es retomada y que perdura en el tiempo en tanto que se pluraliza. Como bien lo señala F. Robert (2000, p. 356), la institución supone un campo que la precede y sobre el que descansa, pero que simultáneamente deforma; esa desviación (écart) operada es la que da lugar a la novedad, a la inauguración de algo inédito.
En el curso dictado los jueves del año académico 1954-1955, Merleau-Ponty intenta aproximar está noción a través de cuatro órdenes de fenómenos; los tres primeros tienen que ver con la historia personal o intersubjetiva y el último con la historia pública2. En este curso, del que se han publicado las correspondientes notas y resúmenes, la institución es presentada como una matriz simbólica3 que propiciará sentido a otros acontecimientos, apertura de un campo, es decir, un acontecimiento fundador, advenimiento de un sentido, de una experiencia que permitirá la continuidad de otras experiencias que se comprenderán en relación con esta (Robert, 2000, p. 356). La institución será entonces el marco de referencia en que se situarán una serie de acontecimientos que, si se los mira conjuntamente, conforman una sucesión de eventos con sentido, una historia, y establecen dimensiones durables respecto de las cuales toda otra serie de experiencias tendrá sentido.
La institución, como más arriba señalamos, busca remediar las dificultades de la filosofía de la conciencia, esto es, la fenomenología estática, de la cual Merleau-Ponty intenta separarse porque sus categorías le imposibilitan tratar ciertos problemas. ¿Cuáles son las dolencias de esta filosofía que deben ser remediadas? En la introducción de las citadas Notas de curso Merleau-Ponty (2003, p. 33) explica que cuando la vida personal es considerada como vida de una consciencia, entonces esta es presencia al todo y el otro no es más que una negación vacía, el pasado se convierte en consciencia del pasado, un cuadro superado, y el obrar se realiza en función de un fin.
Merleau-Ponty apunta a una renovación de la noción de sujeto que implica un replanteamiento de sus relaciones con el mundo, el otro, el obrar y el tiempo. El fenomenólogo francés concebirá al sujeto como campo de presencia que está expuesto a, pero, simultáneamente, pone en marcha una actividad, un acontecimiento; inicia un presente, que es productivo después de él. Este sujeto renovado debe ser comprendido como campo de campos, aquel que se encuentra en, y a quien pueden advenir órdenes de acontecimientos a partir de los cuales es capaz de abrir un futuro. Este sujeto, concebido a la luz de la noción de institución, será un sujeto instituido-instituyente, existe en un mundo que lo precede, nace en una tradición, pero es quien puede reactivar el sentido apresado y reconfigurado por medio de una desviación (écart) hacia una nueva institución.
Es a este sujeto al que advienen los acontecimientos históricos que se relacionan y en los que se puede establecer una simultaneidad que dará origen a futuras instituciones. Él puede coexistir con otros porque lo que ha sido instituido no es el reflejo inmediato de sus acciones, sino que existe como gozne, como consecuencia y garantía de su pertenencia a un mundo común (Schilardi, 2003, p. 79). Comprendido de este modo, el otro no es mi negación sino un otro instituido-instituyente con el que me comunico verdaderamente por la implicancia lateral que me une a él y en la que los objetos culturales conforman el medio, la bisagra que existe entre nosotros, e inauguran un campo intersubjetivo. La relación que establezco con el otro no es la de un sujeto frente a un objeto -relación propia de una vida personal que es vida de una conciencia constituyente que se manifiesta como presencia absoluta- sino que inauguro un campo simbólico (cultura) que es campo de juntura, lugar de encuentro. El obrar se asemeja al ver en tanto que se dirige a las fisuras del paisaje, hacia el a-hacer, y no aparece como posición de un fin, como operación que está cerrada en una significación celosa, sino que se despliega instituyendo un sentido como respuesta a la pregunta que se lee en los movimientos fijos de las cosas. Por último, el tiempo no es ni envolvente ni envuelto, existe desde el sujeto hacia el pasado un espesor que no está hecho ni de una serie de perspectivas, ni de la consciencia de relación entre ellas, sino que es obstáculo y lazo, así como Proust lo concibe.4
El ritmo característico de la institución es "el ritmo de conservación, reasunción [reprise], y superación de los acontecimientos antiguos" (Merleau-Ponty, 1968, p. 61). La institución humana implica la integración del pasado a una nueva significación que supone una desviación que, simultáneamente, integra y deforma la estructura pasada del acontecimiento para transformarlo en una institución novedosa. Es así que "la nueva estructura se nos aparece como presente ya en la antigua, o la antigua como presente todavía en la nueva, el pasado no está simplemente sobrepasado, sino comprendido, lo que se expresa diciendo que hay verdad, y que aquí emerge el espíritu" (Merleau-Ponty, 1969, p. 148).
En sus Notas de curso Merleau-Ponty explica que la institución puede ser relacionada con el nacimiento; ambos implican un acontecimiento fundante que se nutre de lo ya instituido y exige una continuación.5 Ya en Fenomenología de la percepción, el pensador francés ha deslindado la idea de que puedo descubrir en mi "huellas de una organización, de una síntesis que se hacía" (Merleau-Ponty, 1945, p. 436). Esta "síntesis" que se "hacía" es la labor realizada por la intencionalidad operante que trabaja con las sedimentaciones de la conciencia perceptiva, se realiza detrás de mí una síntesis pasiva, subterránea, que va gestando una nueva institución. Aparece aquí la relación instituido-instituyente que el autor intenta plantear: a partir de, la historia está abierta a. "La institución condensa y abre un futuro. No es mera impronta, sino impronta fecunda" (Merleau-Ponty, 2003, p. 59).
El pasado está constituido por aquellos acontecimientos que conforman una experiencia respecto a la cual una serie de otras experiencias cobrará sentido. El porvenir será comprendido dentro de un marco de experiencias que ha sido conservado y que se reasumirá frente a una nueva experiencia que se verá dotada de sentido en referencia a una primera institución. Esta es la "lógica subterránea" que sustenta la institución en todas sus formas, tanto en la historia personal como en la pública. Un pasado que cristaliza en el futuro, y viceversa, "simultáneamente hay descentración y recentración de los elementos de nuestra propia vida, movimiento de nosotros hacia el pasado, y del pasado reanimado hacia nosotros" (Merleau-Ponty, 1968, pp. 64-65).
2.1 La institución de un saber: la suma de los ángulos del triángulo y la historia del pequeño Gauss
En el apartado sobre la "institución de un saber" de las Notas de curso sobre la institución Merleau-Ponty retoma una reflexión que puede rastrearse hasta Fenomenología de la percepción y que también tiene un importante lugar en las páginas de La prosa del mundo. En las mentadas notas, el filósofo francés se pregunta si no debe establecerse respecto del problema de la verdad dos órdenes, a saber, el orden del acontecimiento y el de la esencia o del sentido puro, aquella verdad por adecuación, tal como la concibe la lógica. Merleau-Ponty (2003, p. 89) advierte que, en una primera aproximación a esta cuestión, tradicionalmente se ha separado una verdad subjetiva, aquella correspondiente a la institución de una vida, de un sentimiento, de una verdad objetiva, comúnmente asociada al algoritmo matemático, a la lógica. Es decir, se ha establecido una separación tajante entre el acontecimiento y la esencia. Avanzando más lejos en esa dirección, se podría preguntar si no es necesario admitir que el orden al que llamamos el de la verdad objetiva pretende de derecho subordinar a los otros órdenes. Lo que se intenta así es reducir la historia de los acontecimientos a esencias atemporales que son accesibles a todos, ideas que constituirían la verdad de esos hechos particulares.
Sin embargo, no podemos apartar el hecho de que lo verdadero, la esencia, no sería nada sin lo que nos conduce hasta ella, y el orden del acontecimiento no parece ser superado y abandonado en el pasado sino sublimado.6 Así como la palabra entraña un sentido, que no es otro que la sublimación del mundo percibido, el significado, aquello que afirmamos, no se sustenta en un logos independiente del mundo estético.7 Ya en el capítulo sobre "El Cogito" de Fenomenología de la percepciónMerleau-Ponty (1945, p. 439) advertía que la certidumbre que tenemos de nuestros pensamientos deriva de su existencia efectiva, solo en el "hacer" me comprometo con la realidad y me conozco conociendo las cosas, es en la certidumbre de la cosa y del mundo en donde se funda el conocimiento tético de sus propiedades y este es inseparable de ellos. Pero esto no se aplica simplemente a las verdades subjetivas, de las que hablábamos más arriba, como podrían ser los sentimientos o la voluntad, sino que también es válido para aquellas verdades que suponen una adquisición intersubjetiva.
Para ilustrar el dinamismo de la institución del saber intersubjetivo, es decir, aquel que puede hacerse accesible a todos por medio de significaciones, expondremos dos casos que Merleau-Ponty trabaja a lo largo de su obra en diferentes ocasiones y que considera ilustrativos de la institución del saber. El primero de ellos es el que concierne a la esencia y propiedades del triángulo; el segundo es el que hace alusión a la reconocida historia del pequeño Gauss, trabajada también por Max Wertheimer. En ambos ejemplos se advertirá aquello que queremos sostener: que toda formalización es siempre retrospectiva y vive del pensamiento intuitivo, es en la intuición el lugar en que se forma toda certidumbre y aparece una verdad.
2.1.1 La suma de los ángulos del triángulo
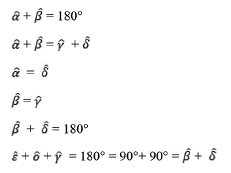
El ya referido ejemplo del triángulo es tratado, principalmente, en Fenomenología de la percepción en ese texto Merleau-Ponty (1945, pp. 440-441) imagina un triángulo y afirma que si se prolonga uno de sus lados y se traza una paralela por uno de los vértices en relación con el lado opuesto (figura 1), nos percatamos de que dicho vértice y esas líneas forman una suma de ángulos igual a la suma de los del triángulo e igual a dos rectos (figura 2).8
La relación que Merleau-Ponty intuye y es preciso comprobar es que la suma de los ángulos β y δ, surgidos de las líneas trazadas, es igual a 180°, lo que también es, evidentemente, igual a la suma de dos ángulos rectos y, también, igual a la suma de los ángulos internos del triángulo. La comprobación de esto se deduce de la proposición 29 del libro I de los Elementos de Euclides que Merleau-Ponty parece estar leyendo para expresar ciertas relaciones a partir de lo establecido por el geómetra. Allí Euclides (1991) explica que "la recta que incide sobre rectas paralelas hace los ángulos alternos iguales entre sí, y el [ángulo] externo igual al interno y opuesto, y los [ángulos] internos del mismo lado iguales a dos rectos" (p. 238) (figura 3). Esta proposición, algo confusa en una primera lectura, puede ser esquematizada del siguiente modo:
Las relaciones que Merleau-Ponty elabora y las conclusiones a que llega se comprueban a partir de lo establecido por la proposición 29, que está esquematizada en la figura 3 y puede expresarse así:
Lo que Merleau-Ponty intenta mostrarnos con este ejemplo en torno a la figura del triángulo es que aquellas relaciones que puedo establecer surgen de la intuición del triángulo imaginado, del tanteo que puedo realizar a partir de su estructura dada, y solo serán cristalizadas posteriormente. En este caso particular es evidente que la suma de los ángulos β y δ es igual a 180° y, por lo tanto, igual a la suma de dos rectos y a los interiores de un triángulo, sin embargo, luego deberé llevar a cabo un trabajo de formalización para instituir dichas relaciones y hacerlas accesibles a todos; eso es lo que ha hecho Euclides y sobre lo que trabajamos. Es a partir de la esencia, del campo que ella abre, desde donde podré crear e instituir nuevas características que no estaban contenidas allí de antemano, sino que han sido establecidas de ahora en adelante y solo puedo hallarlas en el triángulo de modo retrospectivo.9
El filósofo explica que aquella estructura que es la figura del triángulo, y en la cual puedo establecer relaciones que dependen de su esencia y que son trasladables a otra serie indefinida de figuras empíricas, no ha nacido de una suerte de eidos eterno que encerrara de antemano sus propiedades, sino que solo es posible si se considera la intuición que se tiene de este, es decir, el triángulo dibujado en el papel o imaginado, la disposición concreta de sus líneas, su Gestalt. El triángulo como tal, su configuración, es para mí un sistema de líneas orientadas pero que deben ser consideradas a partir de mi posición en el mundo. La esencia de la que hablamos es una estructura vivida.
Si palabras como 'ángulo' o 'dirección' tienen para mí un sentido, es solo en tanto que me sitúo en un punto y desde ahí tiendo hacia otro, en tanto que el sistema de las posiciones espaciales es para mí un campo de movimientos posibles. De este modo capto la esencia concreta del triángulo, que no es un conjunto de 'caracteres' objetivos, sino la fórmula de una actitud, de una determinada totalidad de mi dominio sobre el mundo, una estructura. (Merleau-Ponty, 1945, p. 442)
Lo que aquí entra en juego es la imaginación productora que a partir de mi dominio sobre el mundo, es decir, de la posición de mi cuerpo desde el que se abre un sistema de posiciones espaciales como campo de movimientos posibles, genera alternativas, recorre los caminos posibles que me permiten "jugar" con la estructura del triángulo y explicitar, a partir de su configuración, nuevas posibilidades de este.10 Pero toda formalización es siempre retrospectiva y no hace más que cristalizar el pensamiento intuitivo. No es posible construir una definición lógica que me permita igualar la fecundidad que tiene la visión de la figura del triángulo, cualquier conclusión que establezca se nutre siempre de la intuición.
Nada limita nuestro poder de formalizar, o sea de construir expresiones cada vez más generales de un mismo hecho, pero, por lejos que vaya la formalización, su significación queda como en suspenso, no quiere decir actualmente nada y no encierra ninguna verdad mientras no apoyemos sus superestructuras sobre una cosa vista. (Merleau-Ponty, 1969, pp. 150-151)
2.1.2 La historia del pequeño Gauss y la sumatoria de los primeros n números naturales
El segundo ejemplo en que nos detendremos, y que Merleau-Ponty trabaja tanto en Laprosa del mundo como en las Notas de curso sobre la institución, es el caso del pequeño Gauss. Este caso, además de mostrarnos cómo la intuición está a la base de toda formalización, también evidenciará la institución de un saber. El caso del pequeño Gauss es analizado por Max Wertheimer en el libro El pensamiento productivo; título que nos remite directamente a la "imaginación productora" de la que recién hablábamos y que, probablemente, haya surgido de la lectura de este autor, quien será citado recurrentemente por el filósofo en distintas obras11. Es preciso narrar esta historia para poder distinguir en ella ciertos conceptos que nos permitirán pensar la institución de un saber y su dinamismo.
Según cuentan, cuando Gauss, el reconocido matemático, tenía alrededor de 7 u 8 años asistía a una escuela primaria de la pequeña ciudad de Brunswick; un día el maestro durante la clase de aritmética propuso a los alumnos el problema de sumar los números del 1 al 100. Casi inmediatamente el pequeño Gauss exclamo: Ligget se ("ya está", empleando el dialecto de la Baja Sajonia). El maestro, sorprendido, no podía comprender cómo Gauss había obtenido la respuesta con tanta rapidez. Ignoramos lo que Gauss respondió exactamente, pero su explicación pudo haber sido muy parecida a la siguiente: "Si hubiera sumado 1 más 2, luego le hubiera agregado 3, luego 4, 5, y así sucesivamente, la operación me hubiera llevado mucho tiempo, y seguramente, habría cometido errores por la cantidad de sumas que debía realizar. Pero observe usted que 1 más 100 tiene como resultado 101, y 2 más 99 también resulta 101, por lo tanto puede establecerse que tomando los extremos de la serie numérica dada siempre resulta de su adición el número 101, por ello, solo debo multiplicar 101 por 50 (la cantidad de pares de la serie 1-100)".
Para facilitar la explicación de la anécdota del pequeño Gauss y del quid del teorema12 que él había descubierto, M. Wertheimer toma la serie 1-10 y nos explica que la expresión gráfica de la resolución de Gauss sería según lo dicho:
¿Qué es aquello que Gauss ha hecho?, ¿qué es lo novedoso? Está claro ya que sumando los extremos de la serie, los pares formados por 1-10; 9-2; 8-3 obtendremos 11, y si lo multiplicamos por la cantidad de pares (5), el resultado será la sumatoria, esto es, 55. Pero Gauss ha advertido, imaginando la serie, una relación que explicamos aquí tal como M. Wertheimer (1991) la expone:
La serie tiene una dirección en su orden creciente. Una suma carece de dirección. Ahora bien, el aumento de izquierda a derecha implica una disminución correspondiente de derecha a izquierda. Esto tiene que ver con la suma: cada vez más; cada vez menos, en la misma cantidad. Si voy de izquierda a derecha, del primer número al segundo, hay un aumento de 1, si voy de derecha a izquierda, del último número al penúltimo, hay una disminución de 1. Por lo tanto, la suma del primer y último número debe dar el mismo resultado que la suma del siguiente par, yendo hacia dentro. ¡Y esto debe valer para toda la serie! Solo queda un interrogante: ¿cuántos pares hay? Evidentemente, la cantidad de pares es la mitad del total de números, o sea, la mitad del último número. (p. 102)
El proceso de pensamiento productivo que ha llevado a cabo Gauss consiste esencialmente en reagrupar y reorganizar la serie a la luz del problema. Este reagrupamiento no es azaroso, sino que emerge racionalmente cuando Gauss procura captar la relación interna entre la suma de la serie y su estructura. "Durante el proceso los diversos elementos adquieren evidentemente un nuevo significado; aparecen determinados de manera distinta desde el punto de vista funcional" (Wertheimer, 1991, p. 102). Es así que cuando por un proceso de este tipo o mediante uno similar alcanzamos la fórmula general
, estos términos son comprendidos a la luz de toda la estructura, representando (n+1) el valor de un par, en este caso 11, y 2 representa el número total de pares, 5 para el caso tratado. Ahora bien, para muchos que conocen la fórmula a ciegas, es decir, no comprenden la estructura interna del problema que nos ha llevado a constituirla, todas las formas posibles:
son equivalentes, pero "no se dan cuenta de que en la primera fórmula la n es un miembro de un par en la expresión n + 1, en tanto que en
la n representa la cantidad de términos que integran la serie, determinando el número de pares" (Wertheimer, 1991, p.103). Las tres fórmulas dan el mismo resultado final y son equivalentes en cierto modo, pero no lo son en sentido psicológico.
Lo que aprendemos del ejemplo de Gauss es que no podemos ser ciegos a la ubicación estructural y al significado funcional de los términos del problema en cuestión. En un proceso de pensamiento productivo, como el que se da en la historia tratada, el pensamiento consiste en "concebir las características y requerimientos estructurales y comprenderlos; proceder según estos requerimientos y en la forma que ellos determinen; modificar así la situación dirigiéndola hacia mejoras estructurales" (Wertheimer, 1991, p. 199).
Cuando Merleau-Ponty analiza el teorema que se desprende de la historia del pequeño Gauss nos señala algo fundamental respecto de la relación entre hecho y esencia. Lo que Gauss entiende al figurarse el problema es que la sumatoria de los n primeros números naturales está hecha de
sumas parciales, y cada una ellas es igual a n + 1, así arriba a la formulación de
. Cuando aplica esta significación a cualquier serie continua de números naturales, lo que le da la certeza de haber alcanzado su esencia y su verdad, es que logra ver cómo se derivan de la serie de los números las parejas de valor constant que va a contar, en lugar de realizar la suma. Pero la fórmula -
no contiene la esencia de este hecho matemático, esta solo queda demostrada en tanto comprendemos que bajo el signo n, que empleamos dos veces, debe verse una doble función: primero n como el número de cifras que sumar y luego n como el número final de la serie. Quien pueda advertir esta doble función de n, primero como la cantidad total de la cifras que sumar, es decir, 10 cifras (número que debo dividir para obtener la cantidad de pares de la serie), y luego como el número final de la serie, esto es, 10 (miembro de un par), es quien ha identificado la ubicación estructural y el significado funcional de este término y, justamente, es aquel para quien la fórmula no será equivalente a las demás en sentido psicológico. Las fórmulas equivalentes que pueden obtenerse de ella son ciegas, como señalaba Wertheimer, si no se comprenden a la luz de su intermediaria - -
-, que es la que nos permite ver la relación entre el objeto considerado y su verdad.13
Lo que sucede, tanto en el ejemplo del triángulo -en el que a partir de su graficación en el papel o su imaginación uno es capaz de descubrir nuevas propiedades "jugando" y elaborando posibilidades surgidas de su intuición- como en el ejemplo de la sumatoria de Gauss -que puede encontrar una solución al problema mediante la imaginación de la serie que le permite entender la dirección creciente y la decreciente y establecer que la suma de los extremos se mantiene constante- es que la intuición sensible del problema en el que logramos advertir la estructura interna del mismo, es decir, su Gestalt, es luego sublimada mediante el lenguaje (el algoritmo matemático en este caso) y cristalizada dicha intuición en una forma que es accesible a todos y se instituye como un saber. Esta formalización aparta la ilusión de un préstamo empirista al hecho percibido, sin embargo, aquello a lo que se refiere la matemática formalizada toma su sentido del ser percibido (Merleau-Ponty, 2003, p. 96). Lo evidente de esta situación queda al descubierto por el camino inverso, si uno conoce la fórmula a secas, el algoritmo matemático vacío, pero no las propiedades y la estructura interna que han dado lugar a esa formulación y que la sostienen, la aplicará ciegamente sin comprender cómo funciona y qué propiedades de la estructura significa y explica. En cambio, si uno entiende la ubicación estructural y el significado funcional de cada término, entonces puede trasladar esa fórmula, forzarla o modificarla, para que mediante una leve desviación (écart) se dé lugar a la institución de un nuevo saber.14
Lo que ocurre con el movimiento continuo de la institución del saber es que, frente a un problema intelectual que está estructurado de determinado modo en relación con la perspectiva desde el que se lo ha abordado hasta ese momento, el sujeto instituido-instituyente advierte lagunas a ser llenadas a partir de las cuales puede elaborar nuevas estructuraciones;15 el insight implica conferir un sentido que conserva la estructura anterior superándola en una nueva.
Para que haya verdad, es necesario y basta que la reestructuración que da el nuevo sentido retome realmente la estructura inicial, sea lo que sea de sus lagunas y opacidades (...) El lugar propio de la verdad es por tanto esa recuperación del objeto de pensamiento en su nueva significación, aun cuando el objeto siga conservando, en sus repliegues, relaciones que utilizamos sin advertirlas. (Merleau-Ponty, 1969, p. 179)
3. CONSIDERACIONES FINALES
Nuestro cuerpo, inseparable de su perspectiva del mundo, es la condición de posibilidad no solo de la síntesis geométrica, o de la sumatoria de la serie de números, sino de todas las operaciones expresivas y de todas las adquisiciones del mundo cultural. El pensamiento espontáneo no es la coincidencia de este consigo mismo sino su rebasamiento que por medio de la palabra es estructurado, eternizado en verdad, que, al mismo tiempo, podrá ser retomada por la posteridad, ya que su estructura es conservada en la significación y reactivada en pos de nuevas estructuraciones del siempre inacabado estar-en-el-mundo del cuerpo propio (Merleau-Ponty, 1945, p. 445).
El problema de la institución de un saber, que retoma la estructura antigua subsumiéndola en la nueva mediante una reestructuración que implica una novedad y abre nuevos horizontes, no es más que un problema regional del problema más general de la expresión.
Expresar no quiere decir sustituir por medio del pensamiento nuevo un sistema de signos estables a los cuales se hayan enlazado pensamientos seguros, sino asegurarse, por el empleo de palabras ya usadas, de que la intención nueva retoma la herencia del pasado; incorporar por un solo gesto el pasado al presente y soldar este presente a un porvenir, abrir todo un ciclo del tiempo donde el pensamiento 'adquirido' permanecerá presente a título de dimensión, sin que tengamos necesidad, a partir de entonces, de evocarlo o reproducirlo. (Merleau-Ponty, 1945, pp. 449-450)
Podríamos decir entonces que la institución de un saber se encuentra indefectiblemente ligada a la expresión del mismo. Cada nuevo saber instituido deberá incorporar el pasado al presente y ligar este a un porvenir que se abrirá para continuar reproduciendo está dinámica infinita de reestructuración que da lugar a nuevas instituciones intersubjetivas. Esto es lo que expresa Merleau-Ponty (2003) en sus Notas de curso al decir que
Entonces, lo que tenemos en cada momento [es] 'verdad estructural', ligada a perspectiva, a centrado, a estructuración. Cierto, otras estructuraciones son posibles, formalizaciones, de ahí [se sigue que] la estructuración actual es superada (...) La historia del saber se contrae sobre sí misma a medida que avanza, pero no horada nunca en el orden de las estructuras, su luz no está nunca completamente presente, hay una doble relación de Fundierung. (pp. 91-92)
La clave para comprender la institución del saber tiene que buscarse en la noción de fundación (Fundierung),16 este concepto sostiene la idea de que
El término fundante -el tiempo, lo irreflexivo, el hecho, el lenguaje, la percepción- es primero en el sentido de que lo fundado se da como una determinación o una explicitación de lo fundante, lo que le impide reabsorberlo y, sin embargo, lo fundante no es primero en el sentido empirista y lo fundado no deriva simplemente de ahí, puesto que es a través de lo fundado que se manifiesta lo fundante. De este modo puede decirse indiferentemente que el presente es un esbozo de la eternidad y que la eternidad de lo verdadero no es sino una sublimación del presente. (Merleau-Ponty, 1945, p. 451)
¿Qué nos indica Merleau-Ponty en este pasaje? Lo que aquí se esboza no es más que la explicitación de aquello que ha ido trasluciéndose en los dos casos que hemos tratado acerca del fenómeno de la institución de un saber, esto es, la verdad de la que hablamos debe ser comprendida siempre como una sublimación del término fundante en aquello que es fundado; sin embargo, esta primacía de lo fundante no es advertida sino en lo fundado que manifiesta lo fundante y que es primero en el orden del saber pero segundo en el ontológico. Lo fundado, aquella significación que no es más que la cristalización de lo que se ha intuido, vive de lo fundante, de la experiencia del cuerpo propio, sin embargo, solo a través de lo fundado puedo descubrir lo fundante. Esta reciprocidad en la que primero y segundo se hacen indistintos porque uno vive del otro, porque uno es en el otro (Ineinender), es lo que se trasluce en nuestra experiencia de la verdad. Porque al estar en el mundo:
No tenemos la experiencia de un verdadero eterno y de una participación en lo Uno, sino de actos concretos de reasunción, por los cuales, en el azar del tiempo, establecemos relaciones con nosotros mismos y con el otro, en una palabra, la experiencia de una participación en el mundo, el 'ser-en-la-verdad' no es distinto del ser en el mundo. (Merleau-Ponty, 1945, p. 452)





















