Services on Demand
Journal
Article
Indicators
-
Cited by SciELO -
Access statistics
Related links
-
Cited by Google -
Similars in
SciELO -
Similars in Google
Share
Revista EIA
Print version ISSN 1794-1237On-line version ISSN 2463-0950
Rev.EIA.Esc.Ing.Antioq no.7 Envigado Jan./June 2007
ENERGÍA DE ENLACE DE EXCITONES EN POZOS CUÁNTICOS DE GaAs/Ga1-xAlxAs
Parménides Aristizábal1, Ricardo León Restrepo2, Walter Antonio Ospina3, Carlos Alberto Duque4
1 Físico, Universidad de Antioquia. Profesor EIA. pfparme@eia.edu.co
2 Físico, Universidad de Antioquia. Profesor EIA. pfrire@eia.edu.co
3 Físico, Universidad de Antioquia. Profesor EIA. pfwalter@eia.edu.co
4 Físico y Magister en Física, Universidad de Antioquia. Doctor en Física, Universidad del Valle. Profesor Instituto de Física, Universidad de Antioquia. cduque@fisica.udea.edu.co
Artículo recibido 15-III-2007. Aprobado 2-VI-2007
Discusión abierta hasta diciembre de 2007
RESUMEN
El uso de las estructuras de baja dimensionalidad es un elemento tecnológico clave en la creación de nuevos dispositivos cuánticos funcionales de la siguiente generación de circuitos integrados electrónicos, fotónicos y espintrónicos y muchos otros dispositivos nanotecnológicos que son necesarios para la sociedad de la información del siglo XXI. Una de las propiedades ópticas más importante es la fotoluminiscencia producida por agentes tales como impurezas y excitones en pozos, hilos y puntos cuánticos de arseniuro de galio GaAs con dimensiones nanométricas bajo la influencia de campos eléctricos y magnéticos y presiones externas. Se presenta la energía de enlace para los tres primeros estados excitónicos en pozos cuánticos de GaAs/Ga1-xAlxAs describiendo el sistema por medio de la teoría cuántica, en la aproximación de masa efectiva y usando el método variacional.
PALABRAS CLAVE: estructuras de baja dimensionalidad; nanotecnología; excitón; pozo cuántico; hilo cuántico; punto cuántico.
ABSTRACT
The use of low dimensional structures is a key technological element in the creation of new quantum functional devices in the development of the next generation of the electronic, photonic, and spintronic integrated circuits and many other nanoscaled devices that are necessary for the information society of 21st century. One of the most important optical properties is the photoluminescence produced by agents as impurities and excitons in GaAs quantum wells, wires, and dots with nanometric dimensions under the influence of electric and magnetic fields and external pressures. The binding energy for the first three excitonic states in GaAs/Ga1-xA1xAs quantum wells describing the system through quantum theory in the effective mass approximation and using the variational method is presented.
KEYWORDS: low dimensional structures; nanotechnology; exciton; quantum well, quantum wire; quantum dot.
1. INTRODUCCIÓN
El desarrollo tecnológico ha permitido diseñar dispositivos electrónicos, tales como teléfonos celulares, equipos de transmisión satelital, codificadores de fibra óptica, chips para el almacenamiento de información, diodos emisores de luz ahorradores de energía, computadores más rápidos y económicos, láseres de semiconductor y detectores de infrarrojo, entre otros, basados en las estructuras de baja di-mensionalidad (EBD), el estado sólido y la materia condensada. Al presente se ha logrado diseñar dispositivos a una escala del orden de los nanómetros para dar así origen a una nueva tecnología llamada nanotecnología. En el estudio físico de las EBD, la estructura semiconductora de GaAs ha despertado un gran interés por sus propiedades optoelectróni-cas, entre ellas la de la fotoluminiscencia asociada a impurezas y excitones.
En las estructuras semiconductoras, uno de los parámetros más importante del sistema y que aparece en la estructura de bandas es la brecha de energía (gap) prohibida entre las bandas de valencia y de conducción, de modo tal que cuando un electrón en la banda de valencia supera dicha brecha pasa a la banda de conducción y puede moverse por el material.
Cuando un electrón (de carga negativa) pasa a la banda de conducción y presenta un estado ligado a un hueco (deficiencia de carga, es decir, carga neta positiva), en la banda de valencia, se forma un par electrón-hueco conocido como excitón. Ha sido tratado el excitón como una configuración similar a la del átomo de hidrogeno, conocido como modelo hidrogenoide, es decir que las funciones que describen el estado ligado son funciones de onda de átomo de hidrógeno en términos de un parámetro que se puede variar para que se ajuste y dé el valor exacto de la energía de enlace del par electrón-hueco. Este parámetro se hace necesario, puesto que el hamil-toniano que describe el sistema no tiene solución exacta. Se conoce como parámetro variacional, es decir que la energía se calcula en términos de éste y luego se minimiza cumpliendo con el principio de mínima.
Los primeros cálculos teóricos para los estados fundamental y excitados de excitones en pozos cuánticos basados en GaAs fueron reportados por Bastard et al. [1] y Greene et al. [2] usando el método variacional. El modelo hidrogenoide usado por Bastard et al. [1] para calcular la energía de enlace del estado tipo 1s de un excitón confinado en un pozo cuántico de GaAs mostró que ella decrece monótonamente con el incremento del ancho del pozo.
En este trabajo hay interés en calcular variacionalmente y dentro de la aproximación de masa efectiva la energía de enlace para los estados tipo 1s, 2s y 3s de excitones de Wannier confinados en un pozo cuántico de GaAs/Ga1-xA1xAs. Esta energía de enlace proveerá información de importancia en el momento de clasificar las diferentes estructuras de picos que aparecen en un espectro de fotoluminiscencia de pozos cuánticos. En particular, permitirá diferenciar las estructuras asociadas a impurezas (donadoras y aceptoras), excitones de huecos pesados y excitones de huecos livianos.
2. MARCO TEÓRICO
El hamiltoniano para un excitón, bien sea de hueco liviano o de hueco pesado, confinado en un pozo cuántico de GaAs/Ga1-xA1xAs puede escribirse de acuerdo con Bastard et al. [1] en la forma

donde
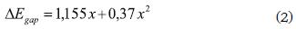
es la distancia electrón-hueco, ε = 12,5 es la constante dieléctrica, m*e = 0,067 m0 es la masa efectiva del electrón, m*h = 0,45 m0 es la masa efectiva del hueco pesado, m*h = 0,08 m0 es la masa efectiva del hueco liviano, m0 es la masa efectiva del electrón libre y µ es la masa reducida del par electrón-hueco en la dirección transversal del pozo según los trabajos de Luttinger y Kohn [3] y Petroff et al. [6]. Ve(ze) y Vh(zh) son los potenciales de confinamiento para el electrón y el hueco, respectivamente. Se supone que éstos son pozos de potencial cuadrados de ancho L y dependen de la diferencia de brechas (gap) de energía entre la banda de valencia y la de conducción en el punto r de la estructura de bandas, tanto para los materiales de la barrera (Ga1-xAlxAs) como para los materiales del pozo (GaAs). La energía de la brecha en función de la concentración de aluminio está dada por Lee et al. [7]

El potencial de confinamiento para electrones y huecos es, respectivamente:

y

Debido al término de Coulomb en la ecuación (1) y a la ruptura de la simetría esférica por efecto de los potenciales unidimensionales que confinan los portadores en la región del GaAs, no es posible resolver de manera exacta la ecuación de Schródin-ger asociada al hamiltoniano en la ecuación (1). Como variante se usa un procedimiento variacional y se propone como función de prueba excitónica un producto entre las soluciones unidimensionales para electrón [fe(ze)] y hueco [fh(zh)] y una función tipo hidrogenoide [φnl(ρ,ze,zh]; es decir, la función de prueba que se propone tiene la forma

donde Nnl es una constante de normalización y los subíndices nl son los números cuánticos principal (n) y orbital (l). La función fe(ze) tiene la forma

con una forma similar para la función fh(zh) donde los parámetros kle, Be y k2e se determinan con la continuidad de la función y la de su derivada en los límites del pozo. Para los tres primeros estados tipo s (n=1, 2, 3 y l=0), las funciones hidrogenoides son de la forma

y deben cumplir con la condición de ortogonali-dad para estados con el mismo número cuántico orbital l y diferente número cuántico principal n. Los parámetros variacionales λnl, βnl y αnl se toman de acuerdo con Chaudhuri y Bajaj [4] y Latgé et al. [5]. Estos parámetros se determinan por el método variacional y la relación entre ellos se encuentra haciendo cumplir la condición de ortogonalidad, lo que implica que βnl es función de λnl y αnl es función de los dos anteriores.
La energía de enlace para los estados tipo s aquí calculados se obtiene de la siguiente forma

donde E(e) y E(h) son las energías del estado base del electrón y el hueco, respectivamente, en el pozo cuántico.
En la siguiente sección se presentan los resultados para la energía de enlace de los excitones tipo ls, 2s y 3s en función de la anchura del pozo cuántico, para diferentes concentraciones de aluminio y considerando simultáneamente los casos de excitones de huecos livianos y huecos pesados.
3. ANÁLISIS DE RESULTADOS
Se muestran los resultados para la energía de enlace de excitones en pozos cuánticos de GaAs/Ga1-xA1xAs en función de la anchura del pozo y para tres valores de la concentración de aluminio en las barreras de potencial. El valor máximo de x = 0,45 preserva que el sistema sea de gap directo, es decir, que los excitones aquí reportados estén confinados en una heteroestructura de tipo I. Los anchos de pozos se han variado desde cero hasta 400 Å y se han tomado valores de concentración de aluminio de 0,15, 0,30 y 0,45, lo cual se manifiesta en una variación de la altura de las barreras que confinan los portadores. En cada caso la energía de enlace en función de la anchura del pozo presenta un máximo para anchuras cercanas a 50 Å. Este comportamiento se debe a que la función de onda del excitón presenta su máxima compresión dentro de la región del pozo por efectos de las barreras de potencial.
Como comportamiento general, se puede observar que para un valor fijo de la anchura del pozo la energía de enlace aumenta con la concentración de aluminio. Esto se debe al incremento de las barreras de potencial que impiden que las funciones de onda desborden la región del material de las barreras. Es claro que este comportamiento con la concentración de aluminio se hace más notorio para anchos de pozo pequeños donde la función de onda excitónica está realmente afectada por las barreras de potencial. Para anchos de pozo del orden de 400 Å los efectos de las barreras prácticamente han desaparecido y, por ello, tanto el modelo finito como el infinito deben ir al mismo límite, tal como se muestra en la figura 1, donde se reportan nuestros resultados para la energía de enlace del estado 1s de un excitón confinado en un pozo cuántico de GaAs/Ga0,55A10,45As en función del ancho del pozo y adicionalmente se presentan los resultados para el modelo de barreras de potencial infinitas.

En la figura 1 puede observarse que cuando la anchura del pozo tiende a cero la energía de enlace para el caso de confinamiento finito decrece hacia el valor límite de un excitón libre en Ga1-xAlxAs. Esto se debe a que para estas anchuras la función de onda desborda la región de las barreras y el sistema adquiere nuevamente la simetría esférica de un átomo hidrogenoide, que había sido rota por efecto del potencial unidimensional impuesto por el pozo cuántico. Este comportamiento puede claramente apreciarse en las figuras 2 y 3, tanto para todos los estados ls (figura 2) como para los estados 2s y 3s (figura 3) aquí reportados. En las figuras 2 y 3 los resultados se muestran para diferentes concentraciones de aluminio en las regiones de las barreras.


Para el caso de confinamiento infinito y para los anchos de pozo que tienden a cero nuestros resultados van al límite exacto de un átomo de hidrógeno bidimensional, como lo reportaron Bastard et al. [1], es decir, tanto para huecos pesados como livianos, la energía de enlace va al límite de 4 rydbergs efectivos (17,76 meV y 13,93 meV para huecos livianos y pesados respectivamente.). En el caso de modelo finito, tanto en el límite de anchos de pozo pequeños como en el de pozos muy grandes, la energía de enlace va al límite de un átomo hidrogenoide libre, es decir, de 1 rydberg efectivo. Este mismo límite de 1 rydberg efectivo se alcanza en el caso del confinamiento infinito para anchos de pozos grandes, puesto que, como se dijo allí, desaparecen los efectos de las barreras de potencial.
Finalmente, como comportamiento general, mostrado en todas las figuras, la energía de enlace de estados excitónicos de hueco liviano es mayor que la de estados excitónicos de hueco pesado.
4. CONCLUSIONES
Usando el método variacional en la aproximación de masa efectiva, se ha calculado la energía de enlace para los estados excitónicos 1s, 2s y 3s, tanto de hueco pesado como liviano, en pozos cuánticos de GaAs/Ga1-xAlxAs para diferentes concentraciones de aluminio y dimensiones del pozo cuántico. Como característica general, en el modelo de confinamiento finito se observa un máximo en la energía de enlace para anchura de pozo alrededor de 50 Å. Nuestros resultados, tanto en el límite de anchos pequeños como grandes, reproducen los valores de la energía de enlace del excitón libre, bien sea en el material del pozo como en el material de la barrera. Esperamos que este trabajo estimule nuevas investigaciones en sistemas excitónicos y de impurezas confinados en heteroestructuras de tipo II tales como GaSb-InAs-GaSb, particularmente en propiedades tales como energías de enlace, densidad de estados de impureza, picos de fotoluminiscencia para el sistema correlacionado y no correlacionado. Esta línea de investigación aporta a los fundamentos físicos de la nanotecnología.
AGRADECIMIENTOS
Este trabajo ha sido parcialmente financiado por el CODI de la Universidad de Antioquia y la Dirección de Investigación de la Escuela de Ingeniería de Antioquia (EIA).
REFERENCIAS
(1) G. Bastard, E. E. Mendez, L. L. Chang and L. Esaki. Exciton binding energy in quantum wells. Phys. Rev. B 26, 1974-1979 (1982). [ Links ]
(2) R. L. Greene, K. K. Bajaj and D. E. Phelps. Energy levels of Wannier excitons in GaAs-Ga1-xA1xAs quantum-well structures. Phys. Rev. B 29, 1807-1812 (1984). [ Links ]
(3) J. M. Luttinger and W. Kohn. Motion of electrons and holes in perturbed periodic fields. Phys. Rev. 97, 869883 (1955). [ Links ]
(4) S. Chaudhuri and K. K. Bajaj. Effect of nonparabolicity on the energy levels of hydrogenic donors in GaAs-Ga1-xAlxAs quantum-well structures. Phys. Rev. B 29, 1803-1806 (1984). [ Links ]
(5) A. Latgé, N. Porras-Montenegro and L. E. Oliveira. Infrared transitions between hydrogenic states in cylindrical GaAs-(Ga,Al)As quantum-well wires. Phys. Rev. B 45, 9420-9423 (1992). [ Links ]
(6) P. M. Petroff, A. C. Gossard, R. A. Logan and W. Wiegmann. Toward quantum well wires: fabrication and optical properties. Appl. Phys. Lett. 41, 635-638 (1982). [ Links ]
(7) H. J. Lee, L. Y. Juravel, J. C. Woolley and A. J. Spring Thorpe. Electron transport and band structure of Ga1-xA1xAs alloys. Phys. Rev. B 21, 659-669 (1980). [ Links ]













