1. INTRODUCCIÓN
Los deslizamientos superficiales son un fenómeno de inestabilidad que afecta principalmente depósitos superficiales de espesor reducido, general-mente menores a 2 m. Estos son desencadenados por eventos de lluvia de alta intensidad y/o de larga duración (Montrasio, Schilirò y Terrone, 2015). Si bien movilizan pequeños volúmenes de suelo, pueden distribuirse abundantemente a lo largo de grandes territorios, ocasionando muchas veces daños en cultivos, estructuras e incluso pérdidas de vidas humanas (Bordoni et al., 2015a; Bordoni et al., 2015b).
Existen diversos modelos físicos que pueden analizar la distribución espacial y temporal de deslizamientos superficiales a escala de cuenca, pero el éxito de estas modelaciones depende de una apropiada simulación de las características del terreno y de los mecanismos que desencadenan este fenómeno (Cascini, Cuomo y Della Sala, 2011). De esta manera, la predicción espacial y temporal de la ocurrencia de deslizamientos superficiales inducidos por lluvia es una difícil tarea; sin embargo, diferentes autores han adoptado diferentes métodos, entre los cuales se destacan (Raia et al., 2013; Salciarini et al., 2006):
Métodos empíricos (por ejemplo Godt, Baum y Chleborad, 2006; Guzzetti et al., 2008).
Métodos estadísticos (por ejemplo Coe et al., 2004; Crovelli, 2000; Guzzetti et al., 2006).
Métodos basados en los procesos físicos (por ejemplo Burton y Bathurst, 1998; Montgomery y Dietrich, 1994; Montrasio, Valentino y Losi, 2011; Pack, Tarboton y Goodwin, 1998; Wu y Sidle, 1995).
Combinación de los anteriores (por ejemplo Frattini, Crosta y Sosio, 2009; Raia et al., 2013).
Entre los factores que influencian los deslizamientos superficiales desencadenados por lluvias, las propiedades de la vegetación tienen una contribución importante. Los efectos de la vegetación en la estabilidad de laderas se pueden agrupar en dos tipos de mecanismos principales: hidrológicos y mecánicos. Hidrológicamente, la vegetación actúa reduciendo el agua disponible para infiltración y la humedad del suelo a través de la interceptación, evaporación y transpiración. Por otro lado, incrementa la capacidad de infiltración al aumentar la rugosidad del suelo y propiciar la generación de grietas de desecación. Mecánicamente, el anclaje de las raíces en estratos de suelo más estables puede beneficiar la estabilidad, así como el anclaje lateral en superficies susceptibles a fallar. De igual forma, las raíces pueden aumentar la resistencia cortante del terreno proporcionando una membrana de refuerzo a la capa del suelo. Por otra parte, los árboles constituyen una sobrecarga que incrementa los componentes de fuerza normales y paralelos a la ladera, lo que puede desfavorecer la estabilidad. Las fuerzas dinámicas transmitidas por el viento a través del tronco de los árboles también pueden representar un mecanismo adverso a la estabilidad (Gray y Sotir, 1996; Morgan y Rickson, 2003; Sidle y Ochiai, 2006; Stokes et al., 2008).
Si bien los efectos de la vegetación en la estabilidad de laderas han sido ampliamente estudiados alrededor del mundo, se han realizado pocas aproximaciones a nivel de cuenca o a escala regional que evalúen cuantitativamente la contribución de los árboles asociada a la susceptibilidad de ocurrencia de movimientos en masa (Kim et al., 2013). El presente artículo propone un método para evaluar la susceptibilidad a ocurrencia de deslizamientos superficiales inducidos por lluvia, en grandes áreas de terreno (a escala de cuenca hidrográfica), cuantificando el efecto de los árboles a partir de tres parámetros principales: interceptación de lluvia, refuerzo aportado por las raíces y sobrecarga debida al peso de los árboles.
2. DESCRIPCIÓN GENERAL DEL MÉTODO
El análisis de la estabilidad en la cuenca a evaluar se representa mediante el factor de seguridad (FS). Por medio de las herramientas disponibles con el uso de un sistema de información geográfica se elaboran, adecúan e introducen los datos de entrada, los cuales pueden ser variables con valores únicos en toda la cuenca o que se presentan en forma de mapas, representando su variabilidad espacial. Por medio de una configuración de celdas, los cálculos de presión de poros y del factor de seguridad se obtienen para cada una de ellas.
Para incorporar los efectos de los árboles en la estabilidad se implementa un método que acopla modelos existentes (modelos de interceptación, hidrológico y geotécnico). De esta manera, se utiliza el modelo de interceptación de lluvia de Liu (1997), el cual estima la lluvia disponible para infiltración, reduciendo la cantidad que es interceptada y evaporada desde el dosel arbóreo. Seguidamente, se emplea un modelo de infiltración transitoria para calcular la variación de la presión de poros durante el evento de lluvia simulado; en este caso se empleó el componente hidrológico de TRIGRS 2.0 (Baum, Savage y Godt, 2008). Finalmente, se utiliza el modelo revisado de estabilidad de taludes infinitos, propuesto por Kim et al. (2013), para determinar el factor de seguridad en cada celda, cuantificando la sobrecarga y el refuerzo aportado por las raíces de los árboles. A continuación se muestran con más detalle los modelos implementados.
2.1. Modelo de interceptación de lluvia
El modelo de interceptación de Liu (1997) se basa en la utilización de parámetros físicos para estimar la interceptación de lluvia, de acuerdo a la siguiente ecuación:
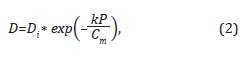
donde C m es la capacidad de almacenamiento del dosel, D. el índice de sequedad del dosel antes de la lluvia, D el índice de sequedad del dosel, b0 el coeficiente de escurrimiento libre, è la tasa de evaporación promedio del dosel húmedo, R la intensidad promedio y T el periodo de tiempo.
En el presente estudio, la Ecuación (1) se aplica para cada intervalo de tiempo (al que se le asocia un valor de precipitación o intensidad promedio) que compone el evento de lluvia, obteniendo el índice de sequedad del dosel de cada periodo de acuerdo a la ecuación que se muestra a continuación, iniciando con un valor de D. = 1, lo que asume un dosel seco antes del evento de lluvia:
donde k=1-b0 es la cobertura del suelo y P la precipitación promedio en el periodo de tiempo.
2.2. Modelación de deslizamientos superficiales
TRIGRS es un software diseñado para modelar la distribución espacial y temporal de deslizamientos superficiales inducidos por lluvia. El programa calcula los cambios de presión de poros y determina la variabilidad del factor de seguridad, debidos a la infiltración de la lluvia (Baum, Savage y Godt, 2008). Este programa acopla un modelo hidrológico que simula la infiltración de la lluvia con un modelo de estabilidad de taludes infinitos, el cual representa la estabilidad de celdas individuales por medio del factor de seguridad. El método de análisis de susceptibilidad a ocurrencia de deslizamientos de la presente investigación adopta únicamente el modelo hidrológico de TRIGRS 2.0, mientras que el componente geotécnico (es decir, una simulación aplicando todo el modelo de TRIGRS) se emplea para comparar los resultados obtenidos.
2.3. Modelo hidrológico
El modelo asume flujo en suelo homogéneo e isotrópico y se modela únicamente infiltración unidimensional vertical. TRIGRS 2.0 incluye modelos para condiciones iniciales saturadas y no saturadas. Para condiciones saturadas, los modelos de infiltración son basados en la solución lineal de la ecuación de Richards (1931), propuesta por Iverson (2000). Esta solución está compuesta por un componente estacionario y otro transitorio. Para el cálculo de presión de poros el programa permite una solución para el caso de frontera basal de profundidad infinita y para profundidad finita, las cuales representan diferentes condiciones bajo la superficie. La primera aplica donde las condiciones hidráulicas son uniformes en la profundidad, mientras que la segunda representa el caso en el cual se tiene una reducción considerable de la conductividad hidráulica en una profundidad finita.
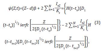
La solución generalizada para frontera basal de profundidad infinita está dada por la Ecuación (3):
donde l es la presión de poros (en unidades de cabeza de presión); t el tiempo; con Z-z/cos S, siendo Z la coordenada en dirección vertical (positiva hacia abajo) y la profundidad bajo la superficie del suelo, z la coordenada en dirección normal al talud (positiva hacia abajo), y S es el ángulo del talud; d es la profundidad en estado estacionario del nivel freático medido en dirección vertical.
Asimismo, ß=cos2S - (l ZLT /K s ), siendo K s la conductividad hidráulica saturada en la dirección Z, l ZTT la tasa de infiltración estacionaria (inicial) en la superficie, l nZ la tasa de infiltración a una intensidad dada para el n-ésimo intervalo de tiempo.
A su vez, D1-D0/cos2S, siendo D0 la difusividad hidráulica saturada (D 0 -KJS s , donde S s es el almacenamiento especifico); N el número total de intervalos. Los términos H(t-t n ) representan la función de paso de Heaviside, donde t n es el tiempo en el n-ési-mo intervalo en la secuencia de infiltración de lluvia.
La función ¡erfc tiene la forma
donde iercf (n) es la función de error complementario.
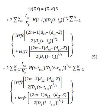
Por su parte, la solución para presión de poros en el caso de frontera basal impermeable, para una profundidad finita d LZ , se ilustra en la Ecuación (5), donde se adopta la misma notación de la Ecuación (3) y el término d LZ es la profundidad de la frontera basal impermeable, medida en la dirección Z.
Así mismo, el programa permite utilizar una solución analítica para flujo no saturado para la estimación de la infiltración. En esta condición se analiza el suelo como un sistema de dos capas, en donde una zona saturada con una franja capilar encima del nivel freático limita con una zona no saturada que se extiende hasta la superficie del suelo. Para esto, TRIGRS utiliza una transformación de coordenadas descrita por Iverson (2000) de la solución analítica unidimensional de la ecuación de Richards (1931), que describe la infiltración y el flujo vertical a través de la zona no saturada, como se muestra a continuación:
con K(xp)=Kexp (cn|*), siendo | la cabeza de presión, con l *- l - l 0 , siendo l 0 una constante (|0-0 o |0=-1/a); K(|) una función de conductividad hidráulica, K s la conductividad hidráulica saturada; con 0 - 6+(6- 6 r )exp(a |*), siendo 0 el contenido volumétrico de agua, 6 r el contenido volumétrico de agua residual, 0 s el contenido volumétrico de agua en saturación y a un parámetro que se obtiene ajustando K(|) a una curva característica del suelo.
2.2.2. Modelo geotécnico empleado en TRIGRS
TRIGRS modela la estabilidad de las laderas mediante un análisis de estabilidad de talud infinito unidimensional, de acuerdo a Taylor (1948). En este análisis, la falla en un talud infinito se caracteriza por la relación entre las fuerzas resistentes de fricción con las fuerzas desestabilizadoras que son inducidas gravitacionalmente. Esta relación representa el factor de seguridad, el cual se calcula a una profundidad Z, como se muestra a continuación:
donde c es la cohesión efectiva del suelo, V el ángulo de fricción efectivo, Y w el peso específico del agua, Y s el peso específico del suelo, ip (Z,t) la presión de poros (en unidades de cabeza de presión). FS se calcula para presiones de poros a diferentes profundidades del suelo Z. Se predice falla cuando FS < 1 y estabilidad cuando FS > 1, con equilibrio límite en FS = 1. Ya que TRIGRS permite calcular FS a diferentes profundidades, la profundidad de iniciación del deslizamiento se predice en la mínima profundidad en la cual FS es menor que 1.
En Baum, Savage y Godt (2008), se tiene información adicional que describe de forma detallada tanto los modelos hidrológicos como el modelo geotécnico que se adoptan en el programa.
2.3. Modelo revisado de estabilidad de taludes infinitos deKim et al. (2013)
Kim et al. (2013) integran un modelo hidrológico (Baum, Savage y Godt, 2002), un modelo de interceptación de lluvia (Rutter et al., 1971; Rutter, Morton y Robins, 1975) y una modificación a un modelo de estabilidad de taludes infinitos (Hammond et al., 1992), el cual cuantifica el aporte de los árboles a la estabilidad de taludes para analizar la susceptibilidad de grandes áreas de terreno a deslizamientos superficiales. La ecuación modificada de FS, la cual incluye los términos de refuerzo de las raíces y sobrecarga arbórea, permite integrar los cambios espaciales y temporales de la presión de poros modelados mediante TRIGRS, como se muestra en la siguiente expresión:
en donde c r es el refuerzo aportado por las raíces de los árboles, c la cohesión efectiva, m t la sobrecarga arbórea, y s el peso específico del suelo, Z la profundidad del suelo, S el ángulo del terreno, l(Z,t) la presión de poros en función del tiempo y de la profundidad del suelo, y w el peso específico del agua y V el ángulo de fricción efectivo del suelo.
De esta manera, el método propuesto acopla el modelo de interceptación de lluvia de Liu (1997), empleado para determinar la lluvia disponible para infiltración que se utilizará en la simulación con uno de los modelos hidrológicos de TRIGRS 2.0, el cual se selecciona de acuerdo a las condiciones iniciales de frontera y saturación. De la modelación hidrológica se obtienen los cambios espaciales y temporales de la presión de poros y este término se incluye en la ecuación de FS del modelo revisado de estabilidad de taludes infinitos de Kim et al. (2013), la cual incluye los términos de refuerzo aportado por las raíces de los árboles y la sobrecarga. El método propuesto se prueba simulando diferentes escenarios de densidad arbórea sobre una cuenca y comparando los resultados con una modelación realizada en TRIGRS 2.0, sin incluir los efectos de los árboles en la estabilidad.
3. CASO DE ESTUDIO
3.1. Sitio de estudio
Se estudia una pequeña cuenca del Valle de Aburrá, subregión del departamento de Antioquia (Colombia). Está ubicada en la vereda El Cabuyal, en el municipio de Copacabana. Tiene un área de 2,94 km2 y un rango de elevaciones de 1674 m en la salida de la cuenca y 2554 m en la parte superior de la divisoria de aguas. La precipitación promedio es de 1875 mm/año, con pluviosidad relativamente constante. La temperatura media es de 22,5 °C. Los tipos de suelo de la vereda El Cabuyal se encuentran clasificados en superficies aluviales, montañas y suelos coluviales (ISEA Ltda, 2006).
3.2. Condiciones geotécnicas e hidrológicas
La modelación se realizó con una tormenta de diseño de 4 horas de duración. Este evento de lluvia se elaboró a partir de curvas IDF definidas para la zona de estudio (Smith y Vélez, 1997). El hietograma fue construido mediante el método de los bloques alternos (Chow, Maidment y Mays, 1988), eligiendo un periodo de retorno de 750 años. La lluvia obtenida tiene una precipitación acumulada de 95,7 mm distribuidos en 8 intervalos de 30 minutos, cada uno con determinada intensidad promedio (Figura 1).

Figura 1 Hietograma sintético del evento de lluvia a modelar. Se muestra la precipitación (mm) en intervalos de 30 minutos y la precipitación acumulada (mm).
Para las simulaciones, se generaron mapas digitales del terreno con una resolución espacial de 10 m x 10 m. Utilizando ArcGIS, se elaboraron un modelo digital de elevación (Figura 2), un mapa de direcciones de flujo y un mapa de pendientes del terreno.
Marín y Castro (2015) analizaron la susceptibilidad a deslizamientos superficiales en esta misma cuenca, implementando el modelo de infiltración de TRIGRS 2.0, en condiciones saturadas, adoptando un valor constante de profundidad del suelo y definiendo la altura del nivel freático en esta misma profundidad. Así mismo, definieron las variables geotécnicas (c, y s ) e hidrológicas (K, D 0 , K, d , 0., I ZLT ) de acuerdo a valores encontrados en la literatura para el tipo de suelo encontrado en la zona.
Debido a que en muchos casos existen limitaciones para obtener suficiente información de las condiciones del suelo, en otras modelaciones con TRIGRS se ha definido la profundidad de la superficie deslizante (asumida como la profundidad del suelo o frontera entre depósitos superficiales y roca madre) constante (Liao et al., 2011; Montrasio, Valentino y Losi, 2011; Park, Nikhil y Lee, 2013; Vieira y Fernandes, 2010), generalmente con valores entre 1 m y 2 m, ya que la mayoría de los deslizamientos superficiales se producen entre estas profundidades (Meisina y Scarabelli, 2007). Por su parte, otros autores que han empleado TRIGRS han optado por utilizar funciones exponenciales que relacionan esta frontera con el ángulo del talud (Baum, Godt y Savage, 2010; Salciarini et al., 2006).
La presente modelación considera la profundidad del suelo con un límite inferior de 1,5 m y uno superior de 1,8 m, implementando la función exponencial utilizada por Baum, Godt y Savage (2010), en donde la profundidad de la frontera basal impermeable d LZ está en función del ángulo del talud (S), dLZ= 5,0exp (-0,048).
Por su parte, la profundidad del nivel freático previo a la tormenta la han simulado en el mismo nivel (Kim et al., 2013; Kim et al., 2010; Montrasio, Valentino y Losi, 2011; Park, Nikhil y Lee, 2013; Vieira y Fernandes, 2010) o como una fracción (Liao et al., 2011; Raia et al., 2013; Salciarini et al., 2006) de la profundidad del suelo. En el presente estudio, se simula la profundidad inicial del nivel freático (d) como una fracción de esta frontera basal impermeable. Así, d = 0,75dLZ.
Ya que a escala de cuenca no es fácil contar con información precisa de la variabilidad espacial de las propiedades del suelo, en este tipo de modelaciones se suele asignar valores promedio para muchos de los parámetros geotécnicos e hidrológicos. En este caso se definieron las variables requeridas a partir de información tomada de estudios geotécnicos realizados en esta cuenca, facilitados por otros investigadores, y de valores tomados de la literatura para el tipo de suelo encontrado en la zona. Tales estudios de campo constaron de 29 sondeos exploratorios en los cuales se determinaron la profundidad del nivel freático y, por medio de pruebas de laboratorio, se obtuvieron parámetros geotécnicos, de humedad y resistencia del suelo. Con base en esto, se asignó un valor de cohesión efectiva de 9 kN/ m2, un ángulo de fricción efectiva de 24° y un peso específico del suelo de 15 kN/m3, constantes en toda la cuenca. Por su parte, la simulación de las variables hidrológicas se basó en la dependencia (correlación) existente entre algunas de estas variables (Raia et al., 2013), los estudios de campo y laboratorio mencionados, y una búsqueda en la literatura.
De esta manera, se determinó un valor de 5,0 x 105 m/s para la conductividad hidráulica saturada (K s ). Algunos autores han establecido el término de difusividad hidráulica (D0) como un múltiplo de la conductividad (Baum, Godt y Coe, 2011; Baum, Godt y Savage, 2010; Bordoni et al., 2015b). Park, Nikhil y Lee (2013) y Liu y Wu (2008) afirman que D0 suele estar entre 10 y 500 veces del valor de Ks; en ambas investigaciones adoptan un valor de D0 = 200 K. En esta investigación, se toma esta relación, por lo que D0 = 1,0 x 10-5 m2/s. Asimismo, ambas investigaciones definieron la tasa de infiltración inicial como IZLT=0,01 K s . Para esta investigación se adopta esta expresión, de tal manera que I ZLT = 5,0 x 107 m/s. Finalmente, se establecen el contenido de agua saturada (6s) y residual (6r) con valores de 0,45 y 0,1, respectivamente, y al parámetro a, el cual se aproxima a la inversa de la altura de la franja capilar sobre el nivel freático, se le asigna un valor de 1 m_1, por lo cual la simulación supone una franja capilar de gran espesor.
Los valores que se asignan a cada uno de los parámetros requeridos en la modelación de la presión de poros y del modelo geotécnico de TRIGRS 2.0 se resumen en la Tabla 1. Aunque algunas de las variables se modelan como valores constantes en toda la cuenca, cada una de ellas se puede incluir en la modelación como un parámetro variable espacialmente. Cabe destacar que esta modelación utiliza la solución de infiltración para flujo no saturado, de modo que la condición inicial simula un estrato de suelo saturado debajo del nivel freático, sobre el cual se tiene una franja capilar. Encima de la franja capilar, se sitúa una zona no saturada hasta la superficie del terreno.
De forma similar, se definen las variables requeridas en el modelo de interceptación de lluvia. Aunque los parámetros del modelo dependen de las especies de vegetación, densidad vegetativa, índice de área superficial, capacidad de almacenamiento de las hojas, ramas y tallos, entre otras propiedades, se realiza una única modelación de la interceptación para todos los escenarios de densidad arbórea simulados. La Tabla 2 muestra los valores adoptados para estas variables.
El refuerzo aportado por la raíces (cr) y la sobrecarga arbórea (m) se modelaron en tres escenarios distintos, para los cuales varían los valores de c y m ( de acuerdo al caso de densidad arbórea que es simulado, con base en rangos de valores encontrados en la literatura (por ejemplo Hammond et al., 1992; J. E. Norris et al., 2008). Estos escenarios y los valores adoptados se muestran en la Tabla 3. En los escenarios 1 y 2, se consideran valores de c r y m t constantes en toda la cuenca. En el primer escenario, se supone una baja densidad arbórea; en el segundo escenario, una alta densidad arbórea. Por su parte, el tercer escenario considera la variabilidad de la densidad arbórea sobre la cuenca mediante cuatro zonas en las que se tienen diferentes valores de c r y m, como se muestra en el mapa de la Figura 3.
TABLA 3 VALORES DEL REFUERZO DE LAS RAICES (cr) Y SOBRECARGA ARBOREA (mt) PARA LOS ESCENARIOS MODELADOS: ESCENARIO 1: BAJA DENSIDAD ARBOREA EN TODA LA CUENCA; ESCENARIO 2: ALTA DENSIDAD ARBOREA EN TODA LA CUENCA; ESCENARIO 3: DENSIDAD ARBOREA VARIABLE EN LA CUENCA
4. RESULTADOS Y ANÁLISIS
La lluvia simulada, obtenida tras evaluar la cantidad interceptada por el dosel arbóreo, se compara con la lluvia total en los hietogramas mostrados en la Figura 4. La lluvia total representa la tormenta de diseño que se utiliza en la simulación con TRIGRS 2.0, en la que no se considera ningún efecto de la presencia vegetal. Por su parte, la lluvia simulada constituye los datos de entrada para la modelación en la que se considera la interceptación de lluvia mediante el modelo de Liu (1997). En esta simulación, la cantidad total de lluvia interceptada durante toda la tormenta es de 2,1 mm, lo que corresponde al 2,2% de la precipitación total. Se observa que la mayor cantidad de agua interceptada se presenta en la primera hora del evento de lluvia, hasta que se reduce significativamente el índice de sequedad (D). De esta manera, en los primeros treinta minutos se intercepta el 24,4% de lo que se intercepta en todo el evento de lluvia y en el segundo intervalo de tiempo (30-60 min) el 20,4%.

Figura 4 Hietogramas de la lluvia total y de la lluvia simulada. Intensidad promedio (mm/h) en intervalos de tiempo de 30 minutos
Cuando el índice de sequedad inicial se aproxima a cero (para los intervalos de tiempo definidos), es decir D0 ~ 0, la capacidad de almacenamiento casi que ha llegado a su capacidad máxima y el aporte de interceptación de lluvia se debe principalmente al efecto de evaporación, dado por la tasa de evaporación promedio del dosel (e). Por lo tanto, la interceptación de lluvia es muy baja en estos intervalos de tiempo.
Las Figuras 5 y 6 muestran el factor de seguridad (FS) en las cuatro simulaciones, antes y después del tiempo de duración (4 h) de sus tormentas de diseño. Las Figuras 5a y b muestran la modelación con TRIGRS 2.0, sin considerar el efecto de los árboles, desde el inicio de la tormenta (t = 0, Figura 5a) hasta el final de la misma (t = 4 h, Figura 5b). De igual forma, las Figuras 5c y d presentan FS en el escenario 1, donde se simula una baja densidad arbórea en toda la cuenca (c = 0,4 kN/m2, mt= 0,5 kN/ m2). Asimismo, las Figuras 5e y f muestran FS en el escenario 2, el cual representa una alta densidad arbórea a lo largo de la cuenca (cr = 2,0 kN/m2, m t = 1,8 kN/m2). Finalmente, la Figura 6 muestra FS al inicio y al final de la tormenta para el escenario 3, donde se tiene variabilidad espacial de la densidad arbórea sobre la cuenca.
En estas simulaciones, se predice que ocurre falla en las celdas en las cuales FS es menor que 1,0. En todas las modelaciones se observa una reducción de FS en múltiples celdas debido a la infiltración del agua de la lluvia. Asimismo, se presentan valores más altos de FS en los escenarios con mayor densidad arbórea; es decir, en los que se modela con valores más altos de c . y m . De esta manera, en la modelación sin considerar el aporte arbóreo (Figura 5a, b) se obtuvieron los valores más bajos de FS y se presentó el mayor número de celdas con FS<1 (se predice falla en el 6,5% del área de la cuenca). Por su parte, en el escenario en el cual se emplean valores relativamente bajos de c . y m , simulando baja densidad arbórea en toda la cuenca (Figura 5c, d), las celdas que fallan al término de la tormenta se disminuyen aproximadamente en la mitad (3,3% del área de la cuenca con FS<1), con respecto a la simulación en TRIGRS. En contraste, al simular una muy alta densidad arbórea a lo largo de toda la cuenca (Figura 5e, f), nuevamente al finalizar la tormenta se reducen los valores de FS; sin embargo, ninguna de las celdas falla.

Figura 5 Factor de seguridad al inicio (A, C, E) y al final de la tormenta (B, D, F). (A - B) Modelacion con TRIGRS. (C - D) Escenario 1. (E - F) Escenario 2.
Finalmente, en el escenario en el que se delimitan diferentes zonas de acuerdo a la presencia arbórea en áreas diferenciadas de la cuenca (Figura 6a, b), variando espacialmente los valores de c . y m , se obtienen pocas zonas que presentan inestabilidad al final de la tormenta (con 93 celdas en donde FS<1; es decir, el 0,3% del área de la cuenca).

Figura 6 Factor de seguridad al inicio (A) y al final (B) de la tormenta. Escenario 3, con variabilidad espacial de la densidad arbórea sobre la cuenca. (A) t = 0; (B) t = 4 h .
Al comparar las demás modelaciones con el último escenario (Figura 6), en donde c . y m varían en la cuenca de acuerdo a la densidad arbórea de las diferentes zonas definidas, se evidencia la influencia de dicha delimitación en los resultados obtenidos. Todas las celdas en las que se predice falla en los escenarios de densidad arbórea simulados corresponden a áreas inestables en la modelación realizada con TRIGRS. En los escenarios 1 y 3 se predijo un 50,4% y 4,9%, respectivamente, de las áreas que fallan en la modelación con TRI-GRS. Por otra parte, entre estos escenarios se observa que, si bien es muy pequeña el área inestable en el escenario 3 (densidad arbórea variable; Figura 6b), el 44,1% de estas se predicen como áreas estables en el escenario 1 (baja densidad arbórea; Figura 5d). Esto se debe a que en algunas zonas con pendientes pronunciadas, en las cuales se tiene alta densidad arbórea (escenario 3), se tienen valores altos de c y m t que contribuyen a la estabilidad; por su parte, en la mayor parte de terreno en la que hay muy baja densidad arbórea las pendientes no son tan pronunciadas como para que se produzcan deslizamientos superficiales.
La posibilidad de delimitar pequeñas áreas dentro de la cuenca para asignar valores del refuerzo aportado por las raíces (c ) y la sobrecarga (m t ), de acuerdo a la densidad arbórea observada u otra información adicional, permite simular la contribución arbórea de una manera más precisa a como se haría asignando valores constantes a estas variables. Los resultados mostrados indican que el método propuesto es muy sensible a los valores de m t y cr, principalmente a este último. Una inspección visual de la Ecuación (8) muestra que en el presente análisis, c . puede considerarse como una cohesión adicional aportada por las raíces de los árboles. En otras investigaciones, en las cuales no se incluyen términos asociados al efecto de los árboles, se aumentan los valores de cohesión y ángulo de fricción para considerar el efecto de las raíces de los árboles en ciertas áreas (por ejemplo Chien-Yuan et al., 2005). En la utilización de TRIGRS se tiende a sobreestimar inestabilidades debido a la falta de información detallada de las propiedades topográficas y del suelo a lo largo del área estudiada (Jelínek y Wagner, 2007; Kim et al., 2010). Muchas veces la sobreestimación de deslizamientos, en modelos de este tipo, se debe a que en áreas con vegetación con sistemas de raíces que contribuyen a la estabilidad no se cuantifican sus efectos (Zizioli et al., 2013).
5. CONCLUSIONES
Se propone un método para analizar la susceptibilidad a ocurrencia de deslizamientos superficiales, a escala de cuenca, incluyendo el aporte de los árboles mediante tres parámetros principales: interceptación de lluvia, refuerzo de las raíces y sobrecarga. Se presenta el modelo de Liu (1997) como el modelo de interceptación de lluvia que permite determinar la cantidad de agua disponible para infiltración y su distribución temporal durante la duración de la misma. Así mismo, se describen los modelos hidrológicos de TRIGRS 2.0 para la simulación de la infiltración transitoria, de acuerdo a los tipos de condiciones iniciales que permite simular el modelo: saturadas y no saturadas, en los tipos de frontera basal (finita e infinita) que este admite. La presión de poros se calcula con el modelo de infiltración seleccionado y se emplea en el modelo revisado de estabilidad de taludes infinitos de Kim et al. (2013), el cual incluye los términos de refuerzo de las raíces y sobrecarga, y representa la estabilidad en términos del factor de seguridad (FS). FS se calcula para cada una de las celdas que en su conjunto constituyen la totalidad de la cuenca.
En la aplicación del método en una cuenca del Valle de Aburrá, se emplearon valores promedios para muchas de las variables geotécnicas e hidrológicas, las cuales en realidad varían espacialmente. En modelaciones a escala de cuenca son necesarias este tipo de simplificaciones debido a la dificultad para obtener información precisa de su variabilidad a lo largo del terreno. Sin embargo, información más precisa de estas variables mejoraría ampliamente los resultados obtenidos, por lo cual muchas de las investigaciones de este tipo suelen contar con información de campo mejor detallada. Esto mismo sucede con la resolución espacial (10 m x 10 m) del modelo digital de elevaciones empleado. Una mayor resolución espacial puede permitir la obtención de mejores resultados en la predicción de deslizamientos superficiales en este tipo de simulaciones (Montrasio, Valentino y Losi, 2011).
La simulación de diferentes escenarios de densidad arbórea y la modelación usando el modelo de TRIGRS permiten observar ciertas tendencias y resultados importantes. Por un lado, se obtuvo un valor pequeño de interceptación de lluvia (2,1 mm) en la simulación realizada, observando que en el modelo la interceptación no representa un componente significativo en la estabilidad, al evaluarse lluvias de alta intensidad y corta duración. En cambio, el refuerzo aportado por las raíces y la sobrecarga de los árboles tienen una mayor influencia en la estabilidad, de acuerdo a los resultados obtenidos, para las condiciones simuladas. La posibilidad de simular la variabilidad espacial de la densidad arbórea permite describir más adecuadamente las condiciones reales de campo y obtener mejores resultados en la modelación del aporte de los árboles a la estabilidad.
El método propuesto presenta básicamente las mismas desventajas potenciales que se reconocen en el modelo revisado de Kim et al. (2013), al igual que otros métodos que emplean un modelo de estabilidad de talud infinito para la predicción de deslizamientos superficiales. La principal de ellas es que estos modelos aplican para deslizamientos superficiales planares y no para movimientos en masa profundos o con fallas circulares. Por su parte, el método descrito se diferencia en que el modelo de interceptación de lluvia empleado utiliza únicamente parámetros físicos (ningún parámetro empírico) con significados físicos específicos. Igualmente, difiere en que los modelos de infiltración de TRIGRS 2.0, que se proponen en nuestro método, son aplicables a un rango más amplio de condiciones iniciales. Si bien en el modelo revisado de Kim et al. (2013) se utiliza el modelo hidrológico de la primera versión de TRIGRS (Baum, Savage y Godt, 2002), en su modelo es perfectamente aplicable el modelo hidrológico de TRIGRS 2.0.
Para estudiar de forma más profunda los efectos de los árboles en la estabilidad de taludes, se requieren llevar a cabo más investigaciones de los mecanismos que influyen en la estabilidad, así como realizar modelaciones en diferentes condiciones topográficas y eventos de lluvia. Por su parte, el método propuesto requiere ser aplicado con estimaciones más precisas de las variables y un evento de lluvia real que haya causado movimientos en masa en las laderas de una cuenca, de tal manera que las condiciones reales sean simuladas de la forma más aproximada posible y los resultados se puedan comparar con registros existentes del fenómeno.

























