Services on Demand
Journal
Article
Indicators
-
Cited by SciELO -
Access statistics
Related links
-
Cited by Google -
Similars in
SciELO -
Similars in Google
Share
Tabula Rasa
Print version ISSN 1794-2489
Tabula Rasa no.11 Bogotá July/Dec. 2009
Siete tesis sobre la descolonización de los derechos humanos en Karl Marx: Un diagnóstico popular para evaluar la calidad de la democracia en América Latina1
Seven theses on human rights de-colonization in Karl Marx: A diagnosis to assess the quality of democracy in Latin America
Sete teses sobre a descolonização dos direitos humanos em Karl Marx: um diagnóstico popular para avaliar a qualidade da democracia na América Latina
José Carlos García Ramírez2
Universidad Estatal del Valle de Ecatepec, México mzen357@yahoo.com.mx
Recibido: 03 de agosto de 2009 Aceptado: 14 de octubre de 2009
Resumen:
El presente artículo pretende invitar al lector a emprender un nuevo giro hermenéuticopolítico en cuanto a las lecturas sobre Marx. Analizo el concepto de derechos humanos tradicionalmente estigmatizado por el marxismo estándar o dogmático. Para cumplir ese objetivo, tenemos que entender su contexto, luego, observar su transformación y superación. Si bien es cierto que dicho concepto es un mecanismo ideológico que permite la reproducción política y jurídica del capital, también puede ser direccionado, a partir de los intereses de emancipación, por las víctimas del sistema. Por eso es importante regresar a Marx para rediseñar relatos o epistemologías que permitan el «giro descolonizador» de los derechos humanos recurriendo a la ética de la responsabilidad, a la crítica de la propiedad privada, de la teoría jurídica y al empoderamiento del pueblo organizado. Por eso la necesidad de recurrir a las narrativas que justifican la resistencia civil, es condición necesaria para la instauración de una «democracia verdadera», popular.
Palabras clave: derechos humanos, positivismo jurídico, resistencia civil, popular, democracia.
Abstract:
This paper aims to invite readers to undertake a new hermeneutic-political turn on the readings on Marx. I will examine the concept of human rights, traditionally stigmatized by the standard or dogmatic Marxism. To accomplish this purpose, we have to understand its context, then looking at its transformation and overcoming. Albeit it is true that such a concept is an ideological mechanism permitting the political and legal reproduction of capital, it may also be addressed, on the basis of an interest of emancipation, by the system’s victims. That is why it is important to come back to Marx in order to redesign narratives or epistemologies permitting the “decolonizing turn” of human rights by recourse to the ethics of responsibility, to critic to private property, to judicial theory and to empowerment of people organized. That is why there is a need to resort to the narratives vindicating the civil resistance; that is a necessary condition to the establishment of a “real democracy”, a people’s democracy.
Key words: human rights, legal positivism, civil resistance, people, democracy.
Resumo:
O presente artigo busca convidar o leitor a empreender um novo giro hermenêuticopolítico no que tange às leituras sobre Marx. Analisa o conceito de direitos humanos que tradicionalmente tem sido estigmatizado pelo marxismo padrão ou dogmático. A fim de alcançar esse objetivo é preciso entender seu contexto para, então, observar sua transformação e superação. Ainda que tal conceito seja um mecanismo ideológico que permite a reprodução política e jurídica do capital, ele também pode ser redirecionado a partir dos interesses de emancipação das vítimas do sistema. Daí a importância de voltar a Marx e reconstruir relatos ou epistemologias que permitam o «giro descolonizador» dos direitos humanos, recorrendo à ética da responsabilidade, à crítica da propriedade privada da teoria jurídica e ao empoderamento da sociedade organizada. Assim, a necessidade de recorrer às narrativas que justificam a resistência civil torna-se condição fundamental para a instauração de uma «verdadeira democracia» popular.
Palavras-chave: direitos humanos, positivismo jurídico, resistência civil, popular, democracia.

«Nos pusieron muchos engaños y envidias. Bien viste que nunca nos estimaron como humanos. Quisieron herirnos, quisieron que no tuviésemos honra, nos hicieron a un lado. Nunca hubo en esos hombres comprensión adecuada, ni de afecto, ni de estimación propios de un comportamiento de humanos». Emiliano Zapata, Tlaltizapán, Morelos, 27 de abril de 1918.
Tesis 1. El contrarelato del derecho: el deber humano
1.0. Un texto, a modo de carta, poco estimado por la crítica marxista es aquel elaborado por el joven Marx entre el 10 y el 16 de agosto de 1835 titulado «Reflexiones de un joven al elegir profesión», publicado por primera vez en el “Archiv für Geschichte des Sozialismus und der Arbeiterbewegung”, en 1925 e integrado años posteriores a las Obras Fundamentales cuya traducción del alemán al castellano la hizo el jurista asturiano, preso político y exiliado en México, Wenceslao Roces. En esa carta de cuatro hojas, Karl Heinrich Marx, proyecta sus ideales eudemónicos y su sentido utilitarista por la vida3. Escribe al respecto: «El hombre más feliz es el que ha sabido hacer felices a los demás (...), la meta general al servicio de la cual todas las profesiones son solamente un medio (…), si somos capaces de sacrificar la vida y todas nuestras aspiraciones (…), debe ser la de servir a la humanidad» (Marx, 1982: 3-4). Indudablemente que estamos frente a un texto primigenio, en términos de postura política, de lo que será la estrategia crítica marxiana. Veamos por qué.
1.1. Marx tenía dieciocho años de edad y consideraba que el proyecto de vida de cualquier persona tiene que comenzar asumiendo posturas concretas, existenciales, de servir y hacer el bien al mayor número de personas posibles. Aunque esa postura primigenia pueda ser evaluada como posición acrítica, políticamente hablando, sin embargo, no deja de tener un contenido sustancial en términos de responsabilidad social. Educación significa para nuestro joven bachiller el primer paso de un individuo que no está en la búsqueda de la adquisición de conocimientos para explotarlos egoístamente y vivir aisladamente en la cómoda contemplación de la realidad (se está refiriendo al proyecto educativo hegeliano, a la institucionalización del idealismo en las universidades alemanas y a la estrategia pragmático-liberal perteneciente a los planes de estudio ingleses y escoceses de los siglos XVIII y XIX).
1.2. Para Marx existe una división entre el trabajo teórico y el trabajo práctico. A temprana edad comienza a desconfiar del eufemismo hegeliano de que el pensamiento por sí mismo es acción transformadora. En dicha carta nos indica que el profesionista que se entrega únicamente a la producción de conceptos abstractos sin que éstos tengan una aplicabilidad socialmente hablando, realiza una tarea insuficiente y pobre.
1.3. El conocimiento tiene una faceta práctica y útil que depende del grado de conciencia y de responsabilidad del sujeto quien lo produce. A través del conocimiento los individuos privilegiados en tener acceso a una educación o instrucción profesional, están obligados, moralmente, servir a la humanidad. Esa posición de Marx, es comprensible, quizás, por la influencia de la tradición rabínica de su padre, quien seguramente marcó su ethos familiar (Leopold, 2000: 29-35;).
§ 1.4. Más aún, velar por la felicidad de la otredad, es una posición radical de promover el bienestar ajeno que implícitamente genera la satisfacción de aquél que lo posibilita. Estamos frente a una ética de las acciones directas cuyas decisiones se mide por la actitud consciente de trabajar por el bien común.
1.5. La oferta que nos propone el joven Marx, es la de una actitud comprensiva que plantea el inicio de la fundamentación de ciertos principios con pretensión de universalidad que son: racionalidad práctica y felicidad o bienestar como condiciones necesarias de la vida humana. Al parecer Marx, como buen conocedor de la filosofía clásica greco-latina, especialmente de Aristóteles, ubica el problema de la racionalidad práctica como aplicación teleológica para arribar al reino de la felicidad. Pero también es deudor de Kant al considerar que el acto racional de un sujeto está regulado por principios universales.
1.6. Contra el particularismo de R. Rorty4 quien considera actualmente que las acciones humanas son el correlato de perspectivas particulares contextualizadas culturalmente y de las cuales es imposible inferir postulados universales (Rorty, 1982: 77-79) para el joven Marx, fue lo contrario: los postulados universales son ideas compartidas históricamente que regulan el devenir humano y condicionan los actos subjetivos. Para los postmodernos, como es el caso de Rorty, el lenguaje universalista (de la filosofía continental, especialmente los argumentos de Marx) es un abuso de las reglas de conversación que atenta contra el sentido común de aquellos que dialogan para buscar respuestas prácticas ante problemas particulares. El universalismo es una narrativa tediosa, absurda y abstracta (metafísica), que no sirve para resolver problemáticas sociales. Rorty tiene una visión contextualista y neopragmática. Marx tiene una perspectiva histórica y emancipatoria donde el lenguaje que utiliza para referirse al problema de la modernidad y al capitalismo en su fase de desarrollo histórico, sirve para localizar incipientes referentes conceptuales básicos tales como «miseria», «riqueza», «humanidad» «responsabilidad». Dichas referencias con el paso del tiempo Marx las irá madurando hasta alcanzar las categorías como «pobreza», «capitalista», «proletariado», «clase social», «marginado».
1.7. Aunque Marx y Rorty pudiesen coincidir en cuanto a la crítica de lenguajes universalistas instrumentalizados para ocultar las contradicciones sociales e imponer criterios particulares (la episteme de los grupos dominadores), sin embargo, Marx se desmarcaría de Rorty y lo cuestionaría al decirle que su propuesta deja sin palabras, sin razón y sin referentes epistemológicos a las víctimas (ya sea a nivel de organización comunitaria o de una praxis de la responsabilidad individual) de un sistema histórico-social determinado. Los sujetos sociales víctimas de una injusticia socioeconómica al no tener categorías que pretendan ser universales y con las que se puedan identificar, sus responsabilidades sociales (transformadoras, por ejemplo), pierden relevancia, dejan de ser útiles y por tanto deseables. Obviamente que para el orden burgués la propuesta de Rorty es bien recibida pues ambos dirán que un discurso descolonizador o de transformación carece de destinatarios y éstos carecen de razones para cuestionar a un partido político/clase hegemónica/Estado/ Imperio/sistema colonial/capitalismo. Marx descubre las premisas que permiten la construcción de postulados universales al decir que, mientras existan en cualquier parte del mundo condiciones objetivas similares (de sufrimiento humano), las ideas universales (la responsabilidad o incluso la «solidaridad» de Rorty) serán directrices regulativas a seguir (Marx, 1982: 5).
1.8. La responsabilidad por el bien común no es una cuestión de preferencias, de ocurrencias opcionales contextualizadas (Rorty), ni mucho menos un «juego de lenguaje»: es un deber irrenunciable, pues es la condición de posibilidad de vivir humanamente. Por ejemplo, decir hoy día «opción preferencial por los pobres» y «optar por la protección del medio ambiente», es una cursilería, cuando realmente se trata de una obligatoriedad, de una exigencia solidaria para con los otros y de un deber para la sostenibilidad del planeta. Se trata, pues, de la postulación de juicios de hecho y no simples recomendaciones de juicios de valor.
1.9. Los juicios de hecho se refieren a las consecuencias indirectas de las acciones directas del ser humano. Eso lo comprendió Marx a temprana edad. De ahí que haya derivado los postulados de los deberes humanos como condiciones de posibilidad para la convivencia y sustentabilidad de la vida humana. Postulados como acciones racionales, decisiones prudenciales, juicios responsables, bienestar común, emancipación de lo humano, son las demandas que Marx comenzará a delinear para su arquitectura crítico-conceptual en los años posteriores.
Tesis 2. La corporalidad como matriz fundante
2.0. En la carta dirigida a su padre en 18375, Marx le da cuenta de sus estudios y le dice lo siguiente: «Toda nuestra vida ha sido un conflicto desventurado entre el principio físico y el principio espiritual» (Marx, 1982: 7). Ironizando a los intelectuales amantes del mundo de las ideas, como lo fueron los hermanos Bauer (Bruno y Edgar), K. F. Köppen y R. Rutemberg, quienes eran especialistas en el «correr» tras los conceptos y la verdad, sin atender las demandas de la vida material, afirma que no hacen más que «reclinarse en su sillón para tratar de ver claro y penetrar espiritualmente (...) en la carrera del espíritu» (Marx, 1982: 5).
2.1. Desde un planteamiento crítico, epistemológicamente hablando, el joven Marx presupone que el «espíritu» desencarnado de la vida material o el «concepto» desarraigado de los problemas de la humanidad, por sí solos no pueden ser criterios de conmensurabilidad. Atender las exigencias que nos plantea el diario devenir humano es una premisa ineludible. De ahí que concluya que «me he dedicado a buscar la idea en la realidad misma (...). Quise sumirme una vez más en este mar proceloso, pero con la decidida intención de encontrar la naturaleza espiritual tan necesaria, tan concreta, tan claramente definida como la naturaleza física» (Marx, 1982: 7).
2.2. Durante sus estudios como bachiller identificó que uno de los problemas de la modernidad es haber escindido y generado perspectivas binarias de la realidad: lo humano versus naturaleza, cuerpo versus alma, esencia versus materia, mente versus sensibilidad. Marx ubica una primera crisis de la modernidad europea cuando ésta postula un dualismo antropológico fundamentado en la hegemonía de la racionalidad como vía legítima de acceso al conocimiento de la realidad. Marx intenta superar el falso debate entre racionalismo y empirismo, entre idealismo y materialismo y comienza a postular un hontanar antropológico novedoso desde donde emerge la complejidad de lo real: la corporalidad humana.
2.3. El cuerpo humano no es solamente una entidad biológica organizada a partir de órganos y sistemas autorregulados por impulsos bioquímicos que producen estímulos y reacciones. La corporalidad (Leiblichkeit) es una totalidad orgánica que presupone determinaciones socio-culturales. “Unser Körper ist alles” decía Marx. Y por ser todo, es el punto de partida para poder hablar de aquello que afecta a la vida humana (Marx, 1974: 12-25). En su tesis doctoral, Differenz der demokritischen und epikureischen Naturphilosophie6, nos indicará que en la estructura de nuestra corporalidad acontece todo: los pensamientos, las emociones, las fantasías, las alegrías, las pesadumbres. Nuestro cuerpo es una totalidad multifuncional e interactiva (Schmied-Kowaezik, 1981: 89,95-105). Marx presupuso que la corporalidad es lo que define nuestra personalidad. La persona no es la máscara, ni mucho menos una representación teatral. Por el contrario, ella es la inmediatez fáctica de nuestra existencia. La historia, por tanto, tiene que ver con la historia de los cuerpos reunidos en comunidad.
2.4. Nuestro joven bachiller comienza escribir desde el nivel de la positividad de la vida humana y de la felicidad como máxima aspiración social, pero también comenzará a elucidar el tema de la negatividad en cuanto que impedimento de la realización emancipatoria (Marx, 1988: 92) es decir, Marx comienza a perfilar sus categorías analíticas al estudiar las causas que producen dolor y sufrimiento en las relaciones humanas. Descubre que el dolor y el sufrimiento no son una cuestión romántico-existencial, sino determinaciones históricas que impactan y vulneran la vida corporal del sujeto.
2.5. Cuando Marx finaliza sus estudios de jurisprudencia en 1836 e inicia su experiencia crítica en el periodismo, localiza otros referentes epistemológicos. Así comenzará indicando que el ser humano se define por su actividad vital y esta última es “leibliche Arbeit” (trabajo corporal) (Marx, 1987: 45). La ponderización de la praxis corporal es una crítica epistemológica al idealismo alemán, pues la autoconciencia no es un momento absoluto de la razón que se autocomprende y se autosatisface a sí misma, sino un proceso afirmativo del ser humano como ser corporal existente. Por «afirmación» Marx entiende un derecho de la persona a vivir plenamente en la satisfacción de sus necesidades materiales y por ende trabaja para asegurar la reproducción de su ser corporal.
2.6. Marx cuestionó el hecho de que ciertas religiones (pensando en el protestantismo calvinista) utilizadas por el Estado (refiriéndose al Estado prusiano) y legitimadas ideológicamente (aludiendo al intelectualismo conservador inspirado en Hegel y Schelling), son los responsables de abstraer los contenidos materiales de la vida humana en el nombre del espíritu (Marx, 1988: 52), del despotismo y del racionalismo academicista (Marx, 1987: 14). Por eso que para quienes detentaban el poder de gobernar o dirigir la vida espiritual, social y educativa, les haya sido necesario declarar las miserias de la vida corporal (en cuanto a su sensualidad, sus instintos y sus carencias) como causante del mal y del desorden. La crítica a la aristocracia clerical, monárquica e intelectual, serán los motivos para que el joven Marx comenzara su labor desmistificadora de la realidad.
2.7. No debemos olvidar que Marx se ubica en el contexto donde las perspectivas del mundo estaban en conflicto: por un lado se encuentran quienes reivindican posturas tradicionalistas que buscan la restauración de los cánones divinos, por otro lado están quienes sostienen que el iluminismo metafísico es la base para ordenar la convivencia humana. Ambas posturas tienen una idea del mundo estático que no necesariamente debe ser alterado o violentado. Por eso el vitalismo y el historicismo fueron las fuentes de inspiración de Marx para proyectar una imagen del mundo distinta, dinámica, contradictoria, transformable.
2.8. Desde el Diario Literario de Könisberg y de la Gaceta Renana, Marx se deslinda de Los Liberados, avecinados en la gran urbe berlinesa convencidos de su superioridad intelectual. Freiligrath, vocero de esa logia literaria conservadora, proclamaba que los poetas, por ejemplo, son quienes han de ser la clase dirigente del partido y los que tendrán que imponer la armonía y la paz social. Dicha perspectiva era un romanticismo especulativo cuya visión unipolar del mundo ocultaba las desigualdades. Por eso también Marx desconfió inicialmente de Engels quien perteneció a ese grupo durante su servicio militar. La cruzada contra el «cuerpo humano y el no reconocimiento de sus necesidades, era una forma de omitir u ocultar las demandas del cuerpo social» (Friedenthal, 1981: 69). Por tal motivo, el ideario kantiano del reino del deber y de la paz perpetua, era necesario en la Alemania prusiana pues era el instrumento ideal para ocultar las contradicciones sociales y perseguir, reprimir y torturar, los cuerpos de los disidentes (especialmente simpatizantes de la Revolución Francesa y los jóvenes de la izquierda hegeliana) críticos del statu quo.
2.9. Marx se enfrenta al cinismo de aquellos que piensan de que el humanismo sui generis equivale a orden monárquico. Logra ubicar uno de los problemas de la modernidad: la deshumanización. En el «Fragmento al apéndice de la tesis doctoral» de 1841 indica que las sociedades modernas han desvirtuado sus lasos de reciprocidad. Las cosas y el deseo por poseerlas han conllevado al extravío de la emancipación humana. Y lo peor es que se han edificado instrumentos jurídicos y esquemas epistemológicos que justifican el acto de posesión de un conjunto de individuos sobre ciertos bienes materiales. La posesión de los «bienes terrenales» y el control de los cuerpos o de las personas, se convirtió en uno de los negocios más redituables en la historia moderna. Marx entendía muy bien cómo el tráfico de esclavos negros, la explotación de indios y el saqueo de las riquezas en las colonias de América, constituyó uno de los orígenes del desarrollo de las metrópolis de Europa. De ahí que Marx no haya tenido en buena estima a John Locke, el filósofo de la libertad, quien era accionista de la Royal African Company, dedicada a la compra-venta de esclavos (Yolton, 1969: 38-41).
Tesis 3. Crítica a la propiedad privada
3.0. Conforme pasan los años juveniles de Marx y ante su situación privilegiada de haberse visto apoyado económicamente por su padre para culminar con sus estudios profesionales y las dificultades que va teniendo al no contar con un trabajo estable, nuestro joven pensador también se enfrentó al cuestionamiento de los intelectuales socialistas de su época. Especialmente la Gaceta General de Ausburgo lo describió como «hijo de papi» que juega con las ideas socialistas sin compartir jamás su suerte con los obreros (Híjar, 1994: 6). El argumento ad hominem incomodó a Marx más como confusión entre la ética, las determinaciones históricas y la práctica social, que como insulto. A nuestro joven pensador no le inquietaba ser insultado por aquellos que eran incapaces de argumentar. «Ser insultado es señal de buen camino», solía decir Marx (Schöt, 1997: 56).
3.1. Sus artículos «Robo de leña» y «Delitos de pastaje y caza», obligaron a Marx a concretar sus posiciones teórico-prácticas y así ir superando las ambigüedades políticas de su pensamiento.
3.2. En los primeros meses de 1843, Marx comienza a explorar las categorías político-ideológicas con las que analiza las problemáticas de la corporalidad y por primera vez comienza a utilizar la categoría de «derechos de las personas» que posteriormente la denominará «derechos humanos» y de manera más concreta «derechos del trabajador». Para esas fechas, insiste en dos cosas importantes: por un lado señala que por encima del «derecho a las cosas» o el derecho a la propiedad privada (postura central de la filosofía del derecho de Hegel), debe estar el «derecho de las personas», que no es otra cosa sino el «derecho al goce humano en toda su corporalidad viviente» (Marx, 1974: 47) y, por otro lado, apunta a que la formalización jurídica de la propiedad privada es el primer mecanismo histórico de despojo de los bienes materiales para usufructo de una minoría. Desmantelar la propiedad comunal en beneficio de la propiedad privada y la consolidación de un parlamento feroz que dictamina como delitos calificados con penas de trabajo forzado a las acciones habituales del campesinado pobre en bosques y campos abiertos, conducen a Marx a criticar por primera vez un problema social concreto.
3.3. El despojo de las tierras de los campesinos y leñadores alemanes, Marx lo interpreta como una cuestión injusta del derecho privado. El derecho de propiedad privada implica que quienes son despojados de las propiedades comunales comiencen a soportar en sus cuerpos las injusticias de un sistema jurídico que pone por encima la voluntad del poderoso y ponderiza el sistema de propiedad. El dolor que experimentan amplios sectores sociales (pensando que en el primer cuarto del siglo XIX el 75 por ciento de la población alemana era rural y semiurbana) es producto del desmantelamiento de las relaciones comunitarias.
3.4. La problemática del derecho alemán Marx la traduce como una cuestión del derecho privado que comienza a reconfigurarse desde un iusnaturalismo de corte clerical. Precisamente descubre que los sufrimientos de la humanidad se determinan o historifican en ciertos portadores materiales de «carne y hueso»: el lumpen marginal de la Europa de mediados del siglo XIX. El derecho privado alemán es el derecho conservador que proclama la libertad de propiedad y justifica el hurto, la expropiación de las riquezas comunales, la restauración de los tronos y el statu quo. En ese sentido, el joven Marx ubica el tema de la pobreza como una problemática de injusticia jurídica que genera dolor y sufrimiento en el cuerpo de los desposeídos.
3.5. Gracias a la recepción del pensamiento jurídico de Burke en la Universidad de Göttingen y Berlín, Marx comienza lo que hoy se denomina «descolonización» —utilizando la terminología de Orlando Fals Borda— del derecho. Contra la idea del derecho positivo o formal, Marx indica que las formas jurídicas deben estar al servicio desde, por y para, las necesidades materiales del pueblo despojado que también es una parte de la humanidad. Eso nos hace pensar que para Marx la ley es para el ser humano y no el ser humano es para la ley. Por tal motivo nos recuerda lo siguiente: «Que el ser humano viva en la naturaleza quiere decir que la naturaleza es su corporalidad con la cual ha de mantenerse en proceso continuo para no morir. La actividad vital, la vida productiva misma, aparece ante el ser humano como medio para la satisfacción individual» (Marx, 1987: 45).
3.6. En abril de 1843 es suprimida la Gaceta Renana y junto con sus colegas Ruge y Herweg, buscan darle continuidad a la Gaceta en Zurich bajo un nuevo título. De ese proyecto de edición aparecen Los anales franco-alemanes (publicados en París). Desde el exilio en París, Marx comienza a trabajar sus apuntes sobre Crítica a la filosofía del Estado de Hegel7. Para los últimos meses de ese año, nuestro joven de Tréveris encara a la intelectualidad dominante que sólo se ocupaba del desarrollo pseudocientífico de las ideas (legitimadoras de la opresión terrenal) y a los miembros de la Dieta comprometidos con la «privatización» de los recursos naturales. Y es en La Ideología alemana (Marx, 1978: 40-70) donde nos dirá que el derecho privado se ha desarrollado históricamente con el desarrollo de la propiedad privada y con la disolución de la comunidad: “Das Privatrecht entwickelt sich zu gleicher Zeit mit dem Privateigentum aus der Auflösung des naturwüchsigen Gemeinwesens”, repetidas veces escribía Marx8.
3.7. El proyecto del Estado de derecho prusiano ganaba terreno conforme se extendía la creencia de que el egoísmo del «hombre privado» es la clave civilizatoria y las formas legales son su justificación. Indudablemente que Marx diagnosticaba correctamente la emergencia de un nuevo sujeto social que se escondía detrás de la oxidada maquinaria prusiana: el sujeto burgués. La defensa de sus intereses (de la incipiente burguesía) quizás fue la razón de la ambigüedad de los resultados de la Revolución Francesa y del éxito de los esquemas estatales y comerciales de Inglaterra difundidos por Europa, ya que al darse cuenta de los riesgos de popularizarse las ventajas de las reformas radicales, decidieron contravenir el significado revolucionario optando nuevamente por el ancien régime. La racionalidad del derecho liberal anglosajón terminó convirtiéndose en derecho conservador que penetraba profundamente en la conciencia de la clase propietaria y comerciante alemana.
3.8. El pensamiento hegeliano como filosofía institucional, al señalar que la persona libre (ilustrada) es aquella que es propietaria y que la primera tarea del derecho es salvaguardar los intereses de los individuos propietarios, le cayó como anillo al dedo al modelo jurídico anglosajón. Los no propietarios son los no talentosos, los incultos, los marginales, quienes en sus cuerpos llevan el estigma de ser una especie de condenados en la tierra. Lo único con lo que cuentan es con su cuerpo para venderlo durante las jornadas de trabajo y con su inocencia que les hace doblar las rodillas para que la mano de quien detenta el poder clerical, redima sus miserias materiales. De ahí la crítica a un cierto tipo de religión aliada al poder dominante. Al respecto dice Marx: «Al hombre desposeído (...) su vida corporal le ha sido arrebatada, sustituida por una generalidad irreal» (Marx, 1987:51). Lo que la cita nos indica es que a las masas pobres se les ha negado sus necesidades humanas, corporales y en donde las formas legales del Estado prusiano (el capitalismo emergente) no está diseñado para satisfacerlas. A cambio se les ha ofrecido un paraíso imaginario donde sus almas encontrarán regocijo.
3.9. Era la época en donde la crítica al orden existente tomaba diversas tonalidades en ensayos, artículos y panfletos. Baste leer dos títulos para notar el contexto donde Marx se desenvolvió: La Biblia insolentemente amenazada y milagrosamente salvada o el triunfo de la fe (1842), Historia terrible y sin embargo verídica y atrayente del exlicenciado Bruno Bauer que muestra cómo éste, seducido por el Diablo cayó en la herejía, se convirtió en el jefe de los diablos y fue finalmente destronado (1844). No fue de poca monta burlarse de dios, del diablo y de sus mediadores: «¡abajo los reyes!, ¡abajo las leyes!», gritaba un personaje harapiento frente a los amantes del derecho privado anglosajón y hegelianos conservadores.
Tesis 4. Crítica al positivismo jurídico y a la economía-política
4.0. Marx critica seriamente los postulados jurídico-normativos de la tradición consuetudinaria anglo-germana. La crítica al derecho es un cuestionamiento a la ley. Es importante señalar que, grosso modo, el problema de la ley no es que sea «injusta» o «mala», sino que es un instrumento utilizado para obtener algo o justificar acciones derivadas a partir de su interpretación y aplicación. Esa es la raíz que encontró Marx cuando denuncia los usos y abusos del derecho que realizaron los grupos de poder que lo conceptualizaban y aplicaban para sus fines. Además, es interesante saber que durante el siglo XIX, lo que estaba también en pleno conflicto eran perspectivas jurídicas con pretensiones de ordenar el mundo de las emergentes metrópolis. Así, el conflicto entre lo privado y lo público representó para Marx la génesis de las contradicciones sociales. Indudablemente que el derecho privado era la perspectiva del «hombre individualista y calculador» de sus intereses personales, mientras que la perspectiva del derecho público se orientaba a las formas de equilibrar la convivencia en términos de justicia social.
La propuesta de Marx no es la de instaurar un mundo sin leyes. Eso último era la visión anarquista de Bakunin, quien siempre fue visto por Marx como un personaje interesante en cuanto a su espontaneidad poco reflexiva.
4.1. Marx enfrentó primeramente a la razón jurídica de la pandectística (Windscheid, 1990: 1, 34-40) que era una perspectiva dogmática de la jurisprudencia que buscaba recuperar y restaurar las viejas tradiciones del ancien régime. Marx logra desarmar correctamente al ideario filosófico kantiano-hegeliano y a la retórica liberal anglosajona cuando éstos indicaban que el derecho es el fundamento de la ciudadanía y que el ciudadano libre es la primera premisa a salvaguardar por el Estado. También denunció el estratagema liberal, el cual sostenía que el ciudadano libre, guiado virtuosamente por sus intereses particulares, es el hombre (nunca la mujer), ilustrado y propietario. Efectivamente, estamos frente a la irrupción del sujeto burgués y del nacimiento del paradigma de la ciudadanía liberal moderna.
4.2. Exiliado en París entre 1843-1844, Marx siguió trabajando sobre la base del humanismo abstracto de Feuerbach (criticando la religión y la filosofía especulativa). Por su parte, Engels convenció a Marx de la importancia de profundizar en los estudios económicos. Junto al hegeliano Arnold Ruge editó en 1844 el Deutsch- Französische Jahrbücher (Anuario Alemán-Francés o Anales franco-alemanes), que incluía dos extensos artículos de Marx: «La cuestión judía»9 y «La filosofía hegeliana del derecho». Fue durante ese año cuando redactó los famosos Manuscritos económicofilosóficos10, que dejó en borrador y no publicó en vida. Sin embargo, independientemente de sus estudios en los años siguientes en economía, política, matemáticas e historia, mantuvo su crítica al derecho subjetivo.
4.3. Marx localizó tres conceptos centrales del corpus iure de la modernidad:
• La norma jurídica.
• El sujeto jurídico.
• La relación jurídica.
4.4. Sobre ese trinomio se edificó el paradigma liberal jurídico de todo el siglo XIX en el cual se estructuraron los mecanismos legales que le dieron forma al:
• Estado Moderno burgués.
• Legitimidad a los instrumentos administrativo-comerciales de las relaciones de producción del sistema capitalista.
• Instrumentalización de esquemas penales orientados a la prohibición, persecución y castigo, contra los contestatarios del orden y de la ley.
4.5. La «norma jurídica» es interpretada por Marx como imperativo que exige la obediencia. Es un imperativo convertido en ley que demanda cumplimiento. Por tanto, es un conjunto de prescripciones que conforman un estatuto o sistema organizado de tal forma que se despliega desde la introyección de la norma en el nivel subjetivo o de la conciencia, recorre el campo de las relaciones intersubjetivas a través del cual se define el ethos de una comunidad y llega finalmente hasta los niveles de complejidad donde se estructuran el Estado y sus órganos de representación. Efectivamente, Marx visualiza el despliegue de la norma jurídica como un proceso dialéctico que va de lo abstracto (la subjetivación de la ley) a lo concreto (el Estado) y viceversa. Precisamente, las normas son mediaciones que hacen posible dicho proceso. Marx logra detectar el conflicto de las narrativas jurídicas contrapuestas: por un lado observa que la norma puede hacerse pasar como una exigencia moral (basada en el deber y la axiología) y por otro lado indica que la normatividad quiere ser un campo autónomo e independiente de la moral o de los valores. Esa última perspectiva, que es el positivismo jurídico, Marx la pondrá en cuestión hasta los últimos años de su vida.
4.5.1. La validez de la norma vista desde el positivismo jurídico consiste en la formación de un poder soberano capaz de ejercitar el monopolio de la coacción.
4.5.2. El positivismo jurídico de mediados del siglo XIX se sustenta en un fuerte racionalismo que promueve la idea de que las normas son reglas preexistentes dadas y administradas por el Estado. Además el positivismo normativo pretende ser ahistórico e independiente de las contingencias sociales. Ese planteamiento indudablemente que inquietaba a Marx, ya que esa interpretación se aproximaba a una especie de sacralización de las leyes y, por ende, del Estado que es la instancia suprema del monopolio del poder y de la producción de normas. La apropiación de las normas por parte del Estado y éste como monopolio de aquéllas, se convierten en fuentes sagradas del poder. De ahí que Marx nos diga que «la propiedad privada se convierte (…..), en la propiedad del Estado o bien, respectivamente, en la propiedad del derecho» (Marx, 1978: 420). A partir de lo mencionado, la liquidación del Estado prusiano conllevó a la construcción de un Estado moderno cuyos contenidos eran dictaminados por la burguesía apoderada del Estado.
4.5.3. Marx reconoció la fuerza progresista de la burguesía al haber desmantelado el ancien régime y ser la causal del proceso civilizatorio industrial europeo, pero a la vez, reconoció que dicho progreso, instituyó formas más sofisticadas de alineación y explotación de la vida de los individuos arrastrados por las megalópolis automatizadas con sus procesos de producción: «Incluso la necesidad del aire libre deja de ser en el obrero una necesidad; el hombre retorna a la caverna, envenenada ahora por la mefítica pestilencia de la civilización y que habita sólo en precario» (Marx, 1970: 158;).
4.5.4. La modernidad necesitaba ser fundamentada desde una legalidad indubitable. La razón de ser del Estado se funda en la legalidad colocada por encima de los intereses y contradicciones sociales. Marx exhibe al Estado moderno como un pouvoir neutre et intermédiaire, una instancia de arbitraje dotada de poder absoluto. En realidad lo que se está cuestionando es la tesis clásica de Thomas Hobbes del Estado soberano instituyente. Por eso el Estado moderno autoritario tiene que nutrirse de una voluntad dominante y de reglas impuestas por el poder que ejerce el monopolio de la fuerza independiente de los valores morales.
4.5.5. De lo anterior podemos inferir que la crítica al positivismo jurídico implica el cuestionamiento al Estado autoritario y no al Estado democrático constitucional. Obviamente que el Estado autoritario es el resultado de una compleja interacción de mediaciones normativas, administrativas, judiciales y comerciales. Es decir, el Estado autoritario conservador representa la síntesis de los intereses económicos burgueses. Curiosamente, las normas positivistas burguesas limitan la función del Estado al servicio de la sociedad en general, pero lo amplían como instrumento legal protector de los negocios. Dice Marx al respecto: «porque los burgueses no permiten al Estado inmiscuirse en sus intereses privados y sólo le confieren el poder necesario para su propia seguridad y para la salvaguardia de la competencia» (Marx, 1978: 421).
4.5.6. Las normas encarnadas en el Estado moderno autoritario son utilizadas para justificar:
a. la propiedad privada,
b. el respeto a las leyes mercantiles,
c. el temor a la sanción/represión,
d. la pretensión de legitimidad del statu quo.
4.5.7. De ahí que Marx concluya con la ecuación de que «propiedad privada = no Mi propiedad = propiedad sagrada = propiedad ajena = propiedad respetada o respeto a la propiedad ajena = propiedad del hombre» (Marx, 1978: 411-412). Efectivamente, ese «hombre», no es cualquier hijo de vecina, es el sujeto burgués, por eso indicará desde una primera perspectiva negativa que los «derechos humanos (...), son derechos burgueses, es decir, del hombre egoísta, separado de otros hombres y de la comunidad y de todo interés común» (Marx, 1987: 54).
4.6. El «sujeto jurídico» tiene nombre y apellido. En su localización histórica, por un lado se trata del sujeto burgués y por el otro del sujeto proletario. El sujeto jurídico se refiere al campo relacional formal donde se definen las prácticas y los roles de los individuos. Por ejemplo, en el plano del intercambio de mercancías uno es el dueño de los medios de producción y el otro es el dueño de la fuerza de trabajo. El sujeto jurídico permite ubicar el encuentro asimétrico del «cara-a-cara», bajo el esquema normativo que formaliza dicha confrontación. Sin embargo, el sujeto jurídico -en el sentido fuerte-, es la voluntad de aquel que ejerce el monopolio del poder. Quizás Marx tiene en mente la famosa dialéctica del amo y el esclavo pero ahora vista bajo un régimen consuetudinario. El sistema jurídico moderno será finalmente un diseño para operativizar las relaciones mercantiles y, por ende, para justificar las ventajas de quienes detentan el dominio político-económico.
4.6.1. Bajo el esquema de asignación del rol que juega cada sujeto jurídico, el sujeto que obedece según las reglas del derecho, está imposibilitado para transgredir el orden legal el cual está por encima de él. La coercitibilidad es una herramienta de la clase posicionada en el Estado. De ahí que el ejercicio de la violencia sobre los transgresores del sistema sea legal. Desde esa perspectiva Marx visualizó el hecho de que el Estado moderno amparado en las leyes, tiene el derecho de convertirse en un «Estado de excepción» capaz de retirarle el reconocimiento jurídico al sujeto rebelde y por tanto reprimirlo o aniquilarlo. Eso le quedó muy claro a Marx con las revueltas en Francia durante los años de guerra civil. Investir al proletario como sujeto jurídico desde la óptica positivista burguesa, significa inmovilizar cualquier intento contestatario de su parte.
4.6.2. Marx indica que los derechos humanos han sido tergiversados históricamente. Esos derechos humanos universales basados en la justicia social y la emancipación de lo humano, fueron traslapados por los estrategas del derecho privado del siglo XVIII y XIX, al desplazar los derechos humanos por los derechos de propiedad. La lógica es diametralmente opuesta. Por eso es que en 1875, en las «Glosas Marginales» de la Crítica al programa de Gotha11, diga que la burguesía considera que las desigualdades sociales son un hecho natural y el derecho de la propiedad sea un «derecho humano» a respetar. Ahora la lógica del derecho burgués basada en la axiomática de la propiedad privada será el ideal regulativo que jerarquiza todos los derechos subsecuentes (Marx, 1972: 109-112).
4.7. La «relación jurídica» no es un principio de concordancia e igualdad material que establecen las contrapartes a través de reglas o normas. Ella es un procedimiento que ayuda a coordinar el nexo formal establecido entre uno o varios individuos bajo dispositivos legales. La relación jurídica se compone de tres ámbitos interactivos:
- Empírico.
- Formal.
- Histórico.
4.7.1. El primero se define a partir de las relaciones materiales de reciprocidad de los sujetos y de sus intereses individuales en la vida diaria; el segundo hace alusión al arbitraje de las normas o procedimientos legales para establecer obligaciones, derechos y sanciones; el tercero es la confrontación de intereses de grupo o de clase en la búsqueda de las ventajas comparativas y, por ende, de la obtención del poder. Marx logra evidenciar el simulacro del Estado moderno cuando indica que la relación jurídica es una construcción mercantil orientada a favorecer los intereses económicos de la burguesía. Por eso es que «las relaciones jurídicas cambian y civilizan su expresión con el desarrollo de la sociedad civil, es decir, al desarrollarse los intereses personales como intereses de clase» (Marx, 1978).
4.7.2. El objetivo central de la relación jurídica establecida por las reglas del juego del Estado autoritario o conservador, consiste en volver perentorias las relaciones intersubjetivas que en el mundo cotidiano son transitorias. Es decir, la relación jurídica tiene como figura fundamental al «contrato» que es el responsable de validar la puesta en relación de los individuos otorgándoles un reconocimiento permanente mientras se ajusten a las reglas estipuladas del formato contractual. Efectivamente, Marx descubre que la estrategia jurídica burguesa ha sido capaz de inventar todos los procedimientos esenciales para legitimar e instrumentalizar sus intereses de clase.
4.8. En 1848 se publica en Londres el Manifiesto del partido comunista, obra en la que muchos de sus contenidos respondían a las preocupaciones de la Liga de los Justos, logia masónica operativo-revolucionaria alemana con la que Marx tuvo acercamiento directo. Las ideas de libertad, igualdad y fraternidad, eran pasos perdidos en la Alemania del siglo XIX. Sobre esos ideales se montaron los interese de clase burguesa. De tal forma que al concepto de libertad se le deformó su significado emancipatorio y libertario. Ahora, «por libertad en las condiciones actuales de la producción burguesa, se entiende la libertad de comercio, la libertad de comprar y vender» (Marx, 1973: 72,).
4.9. Por su parte la categoría de igualdad es el momento ideológico por excelencia de la economía política burguesa, ya que considera que todos los sujetos son iguales y viven en una «posición originaria», homogénea y equitativa. Precisamente esa es la función de la relación jurídica a través del contrato. Dice Marx en su critica al proceso de producción del capital: «considerando como sujeto de intercambio, la relación es de igualdad. Imposible hallar en ellos cualquier diferencia o una contraposición, ni siquiera una disparidad» (Marx, 1981: 1, 179).
4.10. Es en su madurez cuando Marx, en todo lo que serán sus estudios de 1857 en adelante, nos estará recordando que la relación jurídica es una relación económica desigual donde los individuos establecen intercambios de compra-venta y en donde social e históricamente se confrontan los dueños del capital que compran el trabajo de aquellos que únicamente son dueños de sus cuerpos necesitados de trabajar para comer y sobrevivir: «el poseedor del dinero abre la marcha convertido en capitalista y tras él viene el poseedor de la fuerza de trabajo, transformado en obrero suyo; aquél, pisando recio y sonriendo desdeñoso, todo ajetreado; éste tímido y receloso, de mala gana, como quien va a vender su propio pellejo y sabe la suerte que le aguarda: que se lo curtan» (Marx, 1981: 1, 129).
4.11. La ciencia del positivismo jurídico se cohesionó con la ciencia de la economía política burguesa. «Por lo demás, en la relación de la determinación monetaria (…), las contradicciones de la sociedad burguesa parecen borradas. Esto se convierte en el refugio de la democracia burguesa, y más aún de los economistas burgueses (…), para hacer la apología de las relaciones económicas existentes» (Marx, 1981: 2, 179). Después de sus conferencias publicadas en 1847 y 1848 bajo el titulo Trabajo asalariado y capital y, posterior a su expulsión, se instala nuevamente en Francia en 1850 y es ahí donde realiza su balance sobre la historia de las luchas de clase y en donde continúa arremetiendo contra el legalismo conservador.
4.12. La libertad y la igualdad son categorías de la política de la Ilustración. El concepto de fraternidad también lo es. Bajo la ideología burguesa de la Europa del siglo XIX, la fraternidad fue considerada un recurso moral hipócrita utilizado por quienes lograban la felicidad por encima de la infelicidad de otros. La fraternidad era una especie de templo donde la burguesía imperante asistía para darse «golpes de pecho» y expiar sus culpas e irresponsabilidades ante la expoliación del trabajo asalariado y la generación de marginales: la fraternidad es la hipocresía disfrazada de humanismo. Con justa razón señala Marx: «la frase que correspondía a esta imaginaria abolición de las relaciones de clase era la Fraternité, la confraternización y la fraternidad universal. Esta idílica abstracción (…), esto de conciliar sentimentalmente los intereses de clase, de elevarse en alas de la fantasía por encima de las luchas de clase (…), ha sido un crimen» (Marx, 1979: 69,). Por tanto, toda relación jurídica, desde el esquema de la racionalidad jurídica conservadora del Estado moderno, encubre formalmente (bajo la figura del contrato) la desigualdad material disolviendo las contradicciones socio-históricas de clase.
Tesis 5. Las antinomias del contractualismo
5.0. La figura jurídica primordial del Estado moderno es el contrato. El contrato es el instrumento estelar por excelencia que proporciona legalidad a las relaciones intercambiarias entre los dueños de los medios de producción y los obreros. El contrato al interior de la lógica del capital, es la correa de transmisión que articula las partes que intercambian sus mercancías (trabajo por salario). El Estado es la «mano visible» que participa directamente en cuanto obliga al cumplimiento contractual y actúa como guardián del desarrollo de las «fuerzas productivas».
5.1. Marx descubre que el contrato es una condición necesaria para la realización de los procesos de producción y de la «valorización del capital», es decir, de la ganancia: pues constituye una pieza jurídica clave para la reproducción y permanencia del sistema capitalista. Además, el contrato construye el escenario idílico donde las partes en el proceso de intercambio de los valores de uso (fuerza de trabajo representada por el obrero) y los valores de cambio (dinero representado por el poseedor de los medios de producción), se enfrentan «caraa- cara» creyendo o presuponiendo que ambos son libres y que independientemente marchan rumbo al mercado para comprarse y venderse en términos de igualdad fraterna. Dice Marx: «en las relaciones monetarias, en el sistema de cambio desarrollado (…) los individuos parecen independientes (esta independencia que en sí misma es sólo una ilusión que podría designarse más exactamente como indiferencia), parecen libres de enfrentarse unos a otros en esta libertad (…). Considerando como sujetos de intercambio, su relación es pues la de igualdad. Imposible hallar en ellos cualquier diferencia o una contraposición, ni siquiera una disparidad» (Marx, 1981: 1, 95, 179).
5.2. Marx señala que el proceso de desarrollo del capitalismo condujo a que los contratos comerciales, surgidos para maximizar las ganancias entre alguna de las partes de los negociantes (eso gracias a la experiencia exitosa de Inglaterra, Holanda y Francia, durante los siglos XVII y XVIII donde el comercio de textiles, minerales y venta de esclavos negros, producían jugosas ganancias), fuesen el paradigma para el diseño de los contratos laborales. Es decir, el contrato laboral contendrá cláusulas donde estarán inscritas las obligaciones formales del trabajador y del empleador. Sin embargo, los derechos favorecerán más al dueño de los medios de producción. Por eso, el contrato desde la perspectiva del capitalismo, es una herramienta indispensable que legaliza las condiciones desiguales de la relación real entre trabajador y empleador o capitalista.
5.3. El contrato no significa para nada el pacto de voluntades libres que concede iguales oportunidades y cuya finalidad es la cohesión de intereses comunes, ni mucho menos el acuerdo o consenso ideal de los contratantes.
5.4. El contrato es el presupuesto del derecho burgués cuyo objetivo es justificar la desigualdad social y legitimar cierta pragmática de dominación al apropiarse, primeramente, de la capacidad del trabajo corporal («trabajo vivo») subsumido por el contrato de compra-venta, es decir: «la condición es que el trabajador, en primer término, disponga de su capacidad de trabajo a título de propietario libre, se conduzca con ella como mercancía (…). En segundo término (…) disponga (…) de la mercancía que tenga para ofrecer, para la venta, sea precisamente su capacidad laboral viva, existente en su corporalidad viva» (Marx, 1981: 2, 216). Ante esa cita nos preguntamos: ¿es condición necesaria que el trabajador acepte como única vía la relación contractual? Bajo la óptica de que está de por medio su subsistencia, sí está obligado aceptarla, de lo contrario, será un «fantasma» que deambulará como desempleado, marginal o delincuente. Por tanto, el simulacro formal del contrato como supuesta legalidad es una ilegalidad ventajosa.
5.5. La economía política burguesa indica que el contrato de compra-venta de mercancías es moralmente aceptable que no tiene, según sus apologistas, nada de ventajoso. Por el contrario, es un instrumento que ayuda a que las partes estén obligados a cumplir lo contraído, o sea, que el contrato es una figura civilizatoria porque promueve y obliga a cumplir lo convenido evitando las acciones aviesas. Sin tapujos dice Marx lo siguiente: «pero en la medida en que el dinero se presenta aquí como material, como mercancía general de los contratos, se borra más bien toda diferencia entre partes contratantes (…). De modo que un individuo acumula y el otro no (…). Uno disfruta de la riqueza real; el otro es posesión de la forma general de la riqueza. Si el uno empobrece, el otro enriquece» (Marx, 1981: 1, 185).
5.6. Las cortapisas que se derivan del contractualismo es que no solamente justifica la relación desigual entre trabajador y dueño de los medios de producción, sino que también hace pasar como invisible la apropiación del trabajo ajeno a través de la plusvalía generada durante el tiempo laborado, luego, en cuanto al salario en el que solamente se paga una parte de trabajo laborado y nunca la totalidad del tiempo trabajado ni el desgaste físico, corporal del trabajador (Dussel, 1988: 47, 52-63).
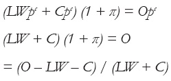
5.7. Indudablemente que Marx, al estar desmitificando el contrato, tiene en mente las hipótesis de David Ricardo sobre “wages, rents and profits”. En una de sus cartas en 1815 intitulada “Essay on the Influence of a low Price of Corn Profits of Stock, shewing the Inexpediency of restrictions on Importation: with Remarks on Mr. Malthus’ Two Last Publications”, David Ricardo sostiene que los salarios, la renta y las ganancias, constituyen los principios básicos de la economía política. Para David Ricardo, el salario es la parte justa que recibe el trabajador por lo que produce (Ricardo, 1, 1951, 18-35). Mientras que la ganancia obtenida al finalizar el proceso de producción, es una cuestión «externa» al trabajador y es competencia del capitalista hacer uso de ella ya que es un resultado que le pertenece.
5.8. Para tal efecto, David Ricardo se apoya en dos elementos fundamentales: valor y precio. Bajo la ecuación ricardiana se hace pasar el salario (W) del obrero como igual a la ganancia (C) del capitalista. ¿Qué es lo que hace igualar a las mercancías (salario y ganancia)? Según David Ricardo, la renta (π), a través de los precios (pc) que paga el capitalista por la materia prima y por la fuerza de trabajo. A final de cuentas, la ganancia es un elemento derivado de la renta que se paga en el proceso de producción. La fórmula matemática que propone David Ricardo y que será la utilizada hasta el tiempo actual (con variaciones o sofisticaciones) es la siguiente:

5.9. La fórmula ricardiana de que la ganancia en el proceso de producción es igual al talento virtuoso del capitalista, constituye un principio económico liberal que Marx pondrá en cuestión cuando nos dice que el precio pagado por la fuerza de trabajo es inferior a la ganancia obtenida, luego, el trabajo asalariado es la mercancía más barata. Después, no existe una teoría del «precio natural», pues ésta deriva del trabajo producido en un determinado tiempo laboral de la jornada de trabajo. Además, el salario pagado al obrero lo recuperará el capitalista con unas cuantas horas trabajadas por aquél, entretanto, el excedente de trabajo (producción) será una determinante del «plusvalor». Por tal motivo, la tasa de ganancia siempre será mayor a la renta y al salario pagado, de lo contrario, no se podría hablar de empresas, ni mucho menos de expansión (globalización) del modo de producción capitalista.
5.10. Según los cálculos aritméticos de Ricardo señalan que el salario es un costo sumado a los precios (pi) que paga el dueño de los medios de producción (pb). Por tanto, la ganancia no tiene que ser relacionada con alguna forma de trabajo no pagado (pi). De esa manera, Ricardo establece una ecuación para demostrar que la tasa de ganancia siempre es mínima a la inversión (pi) que realiza el capitalista:

5.11. Posteriormente, Ricardo nos presenta la conclusión de sus observaciones utilizando una serie de variables que demuestran la legalidad económica con la que operan ciertos procesos de producción capitalista.
5.12. Sin embargo, la retórica economicista liberal estará insistiendo en que los ingresos del trabajador y del capitalista son siempre igual, en términos de justicia distributiva. Pues el salario, según la percepción de quien paga, es la parte justa que sirve para compensar el esfuerzo. De esa manera, el contrato de trabajo, permite formalizar jurídicamente los derechos y deberes de las partes en términos de igualdad y libertad. Igualdad, porque el obrero y el capitalista son semejantes en cuanto que poseedores de mercancías: uno posee potencialmente la fuerza de trabajo y el otro el dinero y los medios de producción, por lo tanto, ambos están colocados en una posición originaria simétrica e interdependiente. Libertad, porque el obrero es libre de decidir si acepta la oferta y los precios (salarios) que el empleador fija.
5.13. Por supuesto que la elucidación y la crítica marxista al contrato, dará pié al surgimiento de las asociaciones de sindicatos en todo el mundo, especialmente en Estados Unidos a finales del siglo XIX. Pues lo que estaba en juego era la búsqueda de participación real de los obreros en los contenidos y directrices del contrato de trabajo. El derecho a un contrato colectivo de trabajo, la revisión de las cláusulas, la incorporación de beneficios para el trabajador, el acceso a la salud y a la educación, la asociación y la revisión periódica contractual, entre representantes obreros y mandos empresariales, fue un logro derivado de los análisis de Marx y su crítica a las antinomias de la teoría liberal del contrato.
Tesis 6. Violencia institucional y desmovilización social
6.0. Un planteamiento problemático de la obra de Marx es el de su concepción sobre la violencia. Ya desde los Manuscritos económico-filosóficos de 1844, el Manifiesto del Partido Comunista, La ideología alemana y Las luchas de clase en Francia, se refiere inicialmente a la violencia como una acción de fuerza emprendida por un pueblo inconforme de su miseria real. La violencia, en esos escritos, es identificada como una práctica de protesta y una actividad fundamental para transformar ciertas estructuras de dominación y empobrecimiento. Esa perspectiva que Marx tiene sobre la violencia12 corresponde al contexto de las luchas de emancipación de los obreros emergentes en la Europa del siglo XIX. Sin embargo, también existen otras consideraciones que Marx elucida o presupone conforme avanza su pensamiento crítico.
6.1. Por ejemplo, considera que la violencia sui generis constituye un elemento consustancial al desarrollo histórico. Presupone que la violencia antecede a las leyes y a la civilización occidental. En sus reflexiones históricas llega a decir que la violencia tiene un pasado mítico. Para eso, describe el frontón occidental del Templo de Zeus en Olimpia: la guerra entre los centauros y los lapitas. Como buen lector que era de la literatura clásica griega, encontró que las leyes son un momento necesario para superar el estado de barbarie. Las leyes aparecen en la historia de occidente como instrumentos coactivos que no por ello dejan de ser violentos. La violencia es sublimación expresada en ley. La violencia, como impulso primitivo y destructor, ha devenido violencia a través de las instituciones encargadas de asegurar el orden y la civilización. Marx encuentra una perspectiva positiva de la violencia en cuanto que origen de la civilización y génesis de las leyes.
6.2. Pero también Marx desfetichiza el concepto positivo de violencia al indicar que ésta no solamente ha sido una figura histórica reordenadora de todo proceso socio-cultural. En la modernidad o en el campo de las relaciones económicas, también la violencia ha tenido un desempeño innegable, pues a través de ella, se ha construido la estructura de apropiación del trabajo y por ende del despojo de las riquezas de las comunidades por parte de los particulares para satisfacer intereses de grupo (de clase social). La violencia coadyuva entonces al surgimiento de la relación social capitalista, cuya reproducción se efectúa por otros medios, como lo es la ley, el derecho y el contrato e, incluso, por vía de la cultura dominante –como diría posteriormente A. Gramsci o como muy bien lo hacen explícito en la actualidad los representantes más importantes de los estudios postcoloniales, como es Ramón Grosfoguel13 (Grosfoguel, 2006: 17-48)–. De esa manera, solamente en situaciones excepcionales (cuando el orden del statu quo está en riesgo) la violencia salta a la escena, abandona el campo económico y se expresa a través del campo político y social, como coacción o represión. No olvidemos que una figura central de los Estados modernos es la conformación de ejércitos y fuerzas policiacas que representan, por un lado, la soberanía y la custodia del orden legal, pero por otro lado, son la personificación potencial de la violencia institucionalizada.
6.3. Refiriéndose al Estado napoleónico, Marx decía «La violencia del Estado no está en el aíre» (Marx, 1972: 62). Marx nos habla de la violencia encarnada en el Estado la cual es necesaria para la reproducción del capital. Localiza el éxito que ha tenido la clase dominante al hacer uso de la violencia: primeramente han sabido procesarla, instrumentalizarla (racionalizarla) y aplicarla a través de múltiples figuras jurídico-comerciales. En segundo lugar, han desarticulado paulatinamente los esquemas de organización y protesta de las mayorías inconformes. En cambio, en la clase desposeída, la violencia ha sido mal canalizada, desordenada y con resultados desastrosos (Marx, 2003: 79). En los conflictos de clase, la violencia desorganizada, sin propósitos, ni objetivos constructivos (planificados), socialmente hablando, es un caos, un exterminio desgastante e infructuoso. De ahí que Marx percibiera la guerra civil en Francia como un fracaso sangriento donde las ejecuciones se tornaron acciones desesperadas por los grupos civiles. El resultado final de la guerra civil en Francia sirvió para fortalecer la violencia institucional del Estado bonapartista y para condenar cualquier pretensión subversiva popular.
6.4. Quizás las preguntas que podrían planteársele a Marx son: ¿la violencia es una opción política que le compete exclusivamente al Estado?, ¿la violencia es una opción que puede usar una comunidad o un pueblo en defensa de sus intereses?, ¿cuándo es legitima la violencia?, ¿la violencia «legal» es también legítima?, ¿la violencia legítima puede ser también legal?, ¿la transformación de un estado de cosas puede darse sin uso de la violencia?
6.5. Indudablemente que el presupuesto marxista de la violencia se circunscribe en el espacio de las relaciones económicas, en el análisis de las convulsiones sociales, especialmente cuando analiza La guerra civil en Francia (Marx, 2003: 37-42) y en el campo de la legalidad14. De esos tres niveles se deriva una concepción del derecho y, por ende, del Estado. En el sentido fuerte, Marx infiere que la violencia, es un prerrequisito constitutivo de todo Estado moderno, mientras que el orden legal es la prolongación de la violencia procesada por otros medios (normas, contrato y leyes). Eso significa que la violencia es utilizada como opción político-legal de un orden social determinado y como un recurso simbólico articulador de las relaciones sociales de producción. Pero a la vez, es estilizada para criminalizar a los grupos sociales irreverentes proclives al desacato y a la crítica social.
6.6. En lo que respecta al mundo de la reproducción de las ideas, Marx es más exigente al asociar violencia con transformación. En el mundo de las ideas también se reproducen las prácticas reales de los individuos. Por tal motivo, los pensamientos y las posturas teóricas tienden a buscar patrones normales estabilizadores. De ahí que puedan actuar como instrumentos analíticos que justifican un orden de dominación determinado.
6.7. Violentar el mundo de los conceptos y de toda actividad intelectual significa «romper» paradigmas epistemológicos neutrales o justificadores de prácticas del poder como represión. Marx, en su edad madura, no olvida su crítica, cuando era joven, al intelectualismo academicista que solamente hacía abstracción de la realidad a través de sus elucubraciones teóricas. La realidad social, política, económica, no solamente se interpreta, sino que también se transforma, solía decir Marx.
6.8. Hermenéutica y transformación real, exige Marx de aquellos que realizan actividades de análisis teórico. La «Tesis XI» sobre Feuerbach, será una premisa constantemente retomada por Marx para poner a prueba el análisis discursivo, la capacidad crítica de los argumentos y las posturas concretas de sus productores. De ahí que el trabajo intelectual pueda ser cómplice del statu quo o denunciante y propositivo de otras formas de racionalidad y de convivencia humana.
6.9. Al regresar al terreno de las contradicciones sociales, Marx detecta que la «violencia organizada» por parte de los desposeídos, carece de tradición y de eficacia en cuanto a los resultados esperados. Recordemos que, incluso en sus comentarios sobre las luchas de independencia en Hispanoamérica, Marx encontró ciertas incertidumbres en cuanto al uso de la violencia y la transformación real de las estructuras coloniales. Llegó incluso a considerar al caudillo independentista, Simón Bolívar, como un criollo ladino sin más perspectiva histórica que el cambio de mando y propiedad para quitarle a los colonizadores lo que tenía que ser de los criollos americanos mas nunca de los indígenas.
6.10. Marx cuestionó a temprana edad la violencia institucional como condición necesaria para la reproducción del poder económico y político de la clase burguesa y como instrumento de sujeción ante cualquier inconformidad o crítica pública (Marx, 2003: 51): la «conspiración» y la violencia («contrarrevolución») le pertenecen al Estado (bonapartista). Sin embargo, a pesar de la inconsistencia y falta de planeación de las asociaciones civiles o de los movimientos populares para contrarrestar los efectos negativos de los agentes decisorios del sistema capitalista, Marx reconoce que la actividad contestataria (política) y revolucionaria (militar), son condiciones necesarias para transformar una praxis sistémica de dominación. Aunque no todo proceso social debe ajustarse a la premisa revolucionaria en cuanto que acción violenta. Por el contrario, los procesos de transformación social pueden ser ejecutados por otras vías como lo es la democracia participativa (a esa democracia participativa Marx la llama «Comuna» y la medicación política que la hace posible es la Asamblea Nacional –en manos del pueblo–). Claro es que ni la democracia ni la revolución deben ser negadas a priori (Marx, 2003: 57, 64, 70).
6.11. Marx nunca se inclinó a favor de la extinción del derecho y del Estado. Lo que sí señaló es que la transformación social, ya sea por vía de la democracia participativa o revolucionaria, apunta a la liquidación de un poder opresor o dictatorial, desde donde surgirán nuevas estructuras de reordenamiento social e institucional (Sánchez Vázquez, 1999: 45). Ese dato último es importante recalcarlo debido a que se ha querido poner en boca de Marx palabras que abogan por la extinción del Estado y del derecho, postura, desde mi interpretación, anarco-reduccionista incorrecta.
Tesis 7. La resistencia civil como derecho humano
7.0. Las categorías político-estratégicas de la arquitectónica de Marx no son únicamente la «revolución» y/o «transformación», sino también lo es la «resistencia». Aunque las voces expertas del marxismo de corte leninista han querido hegemonizar el método revolucionario como vía única de transformación social, sin embargo, no han problematizado suficientemente la cuestión de la resistencia civil. Aunque Marx no le haya dedicado una minuciosa reflexión, sin embargo, es un presupuesto básico de sus planteamientos en su crítica a la política, al derecho y a la economía.
7.1. La resistencia es el hontanar desde donde se edificará la praxis revolucionaria (vía armada o vía democrática). Para una lectura postmarxista (especialmente para América Latina), volver a Marx significa deconstruir algunos conceptos inoperantes y revitalizar otros que pueden ayudar a redimensionar ciertas prácticas sociales y desafíos políticos.
7.2. Marx utiliza el sustantivo Widerstand (resistencia) para referirse a las acciones sociales de oponerse o combatir un régimen despótico y dominador. Con el desarrollo de las contradicciones sociales, esa acepción será desplazadas por tres términos: revolutionäre Aktivität (actividad revolucionaria), Bürgerkrieg (guerra civil) y Bürgergehorsam (desobediencia civil), que utilizará en los textos de la Ideología alemana (Marx, 1978: 69, 76, 139-142), La guerra civil de Francia (Marx, 2003: 14, 53, 83) y en El 18 brumario de Luís Bonaparte (Marx, 1978b: 34, 43,52-54). Sin embargo, el tema de la resistencia estará implícito en la argumentación sobre el tema de la revolución democrática que fue una especie de suspiro que alentaba a Marx a seguir direccionando otras formas de pensar y hacer economía política.
7.3. La resistencia civil no sólo es la consigna política para confrontar decisiones institucionales que en sus efectos directos o indirectos generan inconformidad social porque producen efectos negativos en la vida de los gobernados, sino que asumida seriamente, ella es la base en toda programática de acción política. Marx descubre desde sus primero artículos de crítica social, como por ejemplo, «Robo de leña», que la inconformidad generalizada por un conjunto de sujetos afectados y organizados de tal forma que cuestionan las disposiciones normativas, deriva en una resistencia civil, la cual puede tener varios momentos evolutivos. La evolución de la resistencia civil depende de la complejidad del fenómeno a enfrentar o a resistir: o bien se puede llegar a equilibrios en las fuerzas políticas contrapuestas o, en su defecto, se puede emprender acciones violentas. La resistencia civil es el medio más nunca el fin. La finalidad de cualquier proceso de transformación social es la emancipación de lo humano. Y por emancipación de lo humano Marx entiende la posibilidad real, fáctica, histórica de poder disolver las desigualdades sociales generadoras de pobreza relativa y absoluta.
7.4. Si bien es cierto que Marx no tematiza ampliamente la categoría de resistencia civil, sin embargo, sí da testimonio con relatos de confrontaciones sociales de los revolucionarios franceses (y de América también). Durante los siglos XVIII y XIX, intuirá que, en un primer momento, la resistencia civil fue representada por el incipiente ciudadano (comerciante) organizado que se opuso a la tiranía del monarca y al Estado bonapartista. Ese ciudadano asentado en los burgos de la Francia vendrá a ser el sujeto burgués (figura histórica con ciertos méritos que Marx reconoce). La lucha civil en Francia es el mejor testimonio para hablar positivamente de la resistencia civil burguesa. Pero Marx también plantea que las luchas del campesinado alemán o ruso son tan importantes como la emprendida por los ciudadanos burgueses.
7.5. Con el desarrollo de las fuerzas productivas y la reproducción política del capitalismo, la nueva burguesía enquistada en los órganos de representación institucional y en la estructura de las decisiones del Estado, instrumentará toda una parafernalia que legitimará su ascenso histórico al poder, pero a la vez deslegitimará cualquier pretensión popular de resistencia que intente poner en cuestión la lógica del capital y su reproducción política. A los «amigos» del sistema se les trata con beneplácito. A los «enemigos» del sistema se les trata con la ley y la represión. Eso lo comprendió muy bien Marx cuando en una de sus cartas a Engels le dice que «la burguesía actúa con una moral política contradictoria: por un lado se autoinstituye como poder inmaculado pero por otro lado reprime al proletariado en su búsqueda por derribar las contradicciones de clase que lo asfixia» (Marx, 1979: 20).
7.6. Marx indica que lo que esconden los argumentos de Bruno Bauer y Max Striner al calificar al sujeto proletario como «violento» o «rebelde», son cuatro cosas:
e. Un modelo de ciudadanía que busca un tipo de «ciudadano» leal a las disposiciones del Estado burgués.
f. Una «democracia» (liberal) sin contenidos en la cual no necesariamente se busquen soluciones a las demandas públicas o se respondan a los intereses populares, sino ante todo, se necesita de una democracia que ayude, políticamente, a maximizar las ventajas del capital y a reforzar el Estado policiaco.
g. Lo que Bruno Bauer y Max Striner defienden –según Marx– es el sistema de propiedad privada y el monopolio del poder y de la violencia institucional.
h. Crear un sistema judicial que se encargue de sofocar intentonas de desobediencia popular y, por tanto, desmantelar cualquier tipo de organización de lucha de resistencia civil.
7.7. Marx detecta motivos centrales en las posturas de los hermanos Bauer y de Striner (que históricamente es la perspectiva del Estado burgués): el origen del poder político, el fundamento de la autoridad, la cuestión a la obediencia de las leyes civiles (implantadas por un sistema de administración de la justicia desde los intereses de la clase burguesa), los límites y la disolución del pacto social, la problemática del tiranicidio (del Estado o la democracia liberal) y la tipificación penal, son en el fondo los temas que pueden desarrollarse con la problemática de la resistencia civil y que también denominará «resistencia del proletariado»15.
7.8. El significado que encierra la resistencia civil fue abortado de la historia de la filosofía política por quienes se encargaban de restaurar los viejos privilegios del statu quo y por los defensores de las oligarquías y plutocracias de la modernidad capitalista. De ahí que cualquier pretensión de fundamentarla éticamente sea contra iure o contra el derecho burgués.
7.9. La resistencia civil, tal y como la percibe Marx, tiene un fundamento ético y no jurídico-positivista. La resistencia civil ahora será aquella praxis organizativa representada no sólo por el proletario o el campesinado, sino por todos aquellos que son víctimas de los efectos negativos del modo de producción capitalista y de su instrumento político que es el Estado liberal. Dicha resistencia es simplemente una estrategia asumida por quienes quieren salvar sus vidas del tiranicidio, de la pobreza y de la explotación del trabajo. Dice Marx al respecto: «Allí donde el proletariado reclama la disolución del orden universal anterior, no hace sino pregonar el secreto de su propia existencia, ya que él es de hecho la disolución de este orden universal» (Marx; 1987: 14-18).
7.10. La crítica teórica al sistema capitalista que emprende Marx es equivalente a la praxis de resistencia que asumen las víctimas al oponerse a las condiciones materiales que los empobrece. De la misma manera en que el sujeto burgués irrumpe en la historia moderna al combatir el Estado monárquico, también los afectados o las víctimas del sistema pueden y deben asumir el mismo derecho que les dio a los primeros. Señala Marx: «cuando el proletario reclama la negación de la propiedad privada, no hace más que elevar a principio de la sociedad lo que la propia sociedad ha elevado a principio suyo (...) El proletariado se halla asistido, así, ante el mundo que nace del mismo derecho» (Marx, 1987: 15). Ese «mismo derecho» es el derecho a la resistencia.
7.11. Marx utiliza el concepto «derecho de resistencia» (Widerstandsrecht) como un momento ético de aquellos que toman conciencia, se organizan y repelen los efectos negativos cuestionando a los agentes decisorios quienes los producen. Hablamos de que la resistencia está sustentada en un nivel ético porque es una actividad pública que pretende limitar las agresiones de un sistema políticoeconómico generador de represión y pobreza.
7.12. La protesta contra la «miseria real» que señala Marx, no es un simple enunciado carente de significado. Ella es la génesis del ius resistendi o de la conciencia ética de las víctimas u olvidados de la tierra. Buscar las condiciones materiales que aseguran la reproducción de la vida de una comunidad, no es cosa que la ley positiva permita o no permita, sino es un deber humano asegurar las condiciones fácticas de vivir humanamente. Por eso es que son necesarias instituciones al servicio de la vida comunitaria. Obviamente, esas instituciones son momentos históricos necesarios para la disolución de las asimetrías sociales. Quizá valga la pena en señalar que el extincionismo del Estado y de sus órganos de representación es otro tipo de argumentación en la que Marx no necesariamente debe ser reducido (Sánchez Vázquez, 1999: 66). Por el momento basta con indicar cómo también las instituciones deben y pueden ser transformadas al servicio de la vida, especialmente, de las víctimas históricas del sistema capitalista. Lo que sí hay que remarcar es la disolución o extinción del sistema generador de pobreza, de empobrecimiento y de pobres.
7.13. La resistencia civil es un derecho a la vida porque pretende construir esquemas de inclusión social con justicia, equidad y dignidad para todos los participantes de una comunidad política. Para lograr una vida digna hay que enfrentar a la historia y aquellos que desde el poder dicen que las multitudes empobrecidas son sujetos sin historia. Posiblemente tengan razón siempre y cuando el sujeto afectado no demuestre lo contrario a través de la acumulación de fuerzas para la organización y la resistencia (García, 2006). Marx se pregunta: «¿Dónde reside, pues, la posibilidad positiva de la emancipación alemana? En la formación de una clase (…) a la que sus sufrimientos universales imprimen carácter universal» (Marx, 1987: 12). La «posibilidad positiva» es la capacidad de resistencia y combate contra la negatividad que produce pobreza. La «formación de una clase» es simplemente la acumulación de fuerzas humanas articuladas por principios y objetivos comunes, decididas a transformar la lógica y el contexto que vulneran la vida humana en general y la vida de los pobres en particular.
Síntesis: derechos humanos emancipatorios y democracia popular
[1] Hablar de los derechos humanos en Marx significa por lo menos dos cosas: o comprenderlos como categoría programática de la emergente burguesía europea del siglo XVIII y como recurso político-jurídico idealizado durante el proceso de consolidación del sistema de producción capitalista, o bien, circunscribirlos como aspiraciones y «epistemes» populares que se oponen a la miseria, a la barbarie de la economía de mercado y a los crímenes y castigos del Estado «secuestrado» por minorías entrenadas para usufructuar del poder. La forma concreta del pueblo (die konkrete Gestalt eines Volkes) requiere, para su emancipación, emplear su derecho de resistencia estratégica (strategische Widerstand). La categoría de pueblo es revalorada por Marx. Para Hegel, por ejemplo, el término de pueblo tiene una connotación deficitaria pues la asocia con «populacho» y éste, según Hegel es «incapaz de pensar y actuar» (Roig, 2004: 78).
[2] Para que los «derechos humanos» dejen de ser instrumento funcional/colonial que justifique ideológica y jurídicamente la reproducción política del capitalismo, hay que descolonizarlos, «desprivatizarlos», deconstruirlos, y devolverlos a su matriz original, a la fuente viva del poder: el poder como potentia, es decir, al «poder popular instaurador» que es el fundamento legítimo de todo Estado o institución posible (Dussel, 2006: 18).
[3] Los derechos humanos por los que opta Marx son aquellos que sirven para la «emancipación de lo humano». La emancipación significa «transformación» de un orden de cosas a otro con mayor calidad de vida y donde se asegure la producción y reproducción de la vida humana en términos de justicia social, libertad política y racionalidad en la distribución de los bienes materiales.
[4] Los olvidados de la historia: los pauper, los miserables, los desempleados, los obreros explotados, los campesinos sin tierra, los indígenas folclorizados, los migrantes despreciados, los niños de la calle, los presos políticos, los ancianos vituperados, el intelectual orgánico o responsable de sus deberes sociales, las mujeres silenciadas, los jóvenes sin futuro, la diversidad sexual estigmatizada, los profesionistas sin trabajo, representan lo que Marx denomina «popular». Lo popular es el pueblo (la plebe como le gusta referirse al pensamiento conservador) con sus múltiples rostros heridos y ofendidos por una clase que ha monopolizado el poder político-económico y ejercido la violencia institucional. Sin duda alguna que ese es el referente material que Marx tuvo presente hasta sus últimos años de vida.
[5] Los derechos humanos «emancipatorios» son principios regulativos fundados en normas éticas, en exigencias materiales, cuya fundamentación no reside en la legalidad y pureza del precepto jurídico, sino en la legitimidad de las demandas y reivindicaciones populares históricamente negadas.
[6] La pregunta que formularía Marx al respecto sería: ¿cómo construir derechos humanos emancipatorios y, por ende, una democracia basada en los intereses populares? Por lo menos se respondería desde cuatro niveles articulados programáticamente: toma de conciencia de clase (históricamente hablando), acumulación organizada de fuerzas para la resistencia civil, transformación de la realidad social y organización de la «nueva esperanza» o «reino de la libertad».
[7] Marx introduce el problema de lo popular cuando analiza la obschina o comuna rural rusa primitiva. En ella indica que lo popular es una consecuencia de la acumulación originaria del capital en las metrópolis (Dussel, 1998: 400-413). El empobrecimiento fue siempre algo ligado a lo popular y eso último es originado por el desarrollo de las fuerzas productivas y la concentración del capital en las metrópolis (pensando en el empobrecimiento de Irlanda con respecto a Inglaterra y de las colonias de América con respecto a España, Portugal, Inglaterra y Holanda). Lo popular no es lo subalterno, ni la multitud, ni las masas, ni siquiera el proletariado; es la matriz fundante de todo campo político. Lo popular es la génesis del Estado y de toda la cartografía constitucional (a pesar de que los Estados modernos y las instituciones políticas actúen y violenten ese origen fundacional).
[8] Si se quiere pensar en una reforma constitucional radical, o en un proyecto de Nación, tendrá que hacerse desde las directrices populares, es decir «desde abajo».
[9] Para Marx la «democracia verdadera» es aquella gestada desde, para y por lo popular. En la democracia popular el bien normativo se sustenta en la soberanía popular y la autodeterminación (equivalente al concepto de emancipación de Marx) con estrategias institucionales radicalmente distintas a lo que sería la democracia liberal. La predicción de Marx resultó ser verdadera en cuanto que la democracia popular o emancipatoria de lo humano ya que ella está más allá del sufragio universal, del sistema representativo o procedimental, del racismo, de la primacía de los derechos individuales en función del derecho privado, de una economía altamente jerarquizada e incluso, más allá de la retórica del «populismo» partidista.
[10] La negación de la negación (derechos humanos burgueses/leyes del capital) es la afirmación de los derechos humanos emancipados, es decir, la liberación del ser humano. Marx propone la superación de esos esquemas de la modernidad (a través de la crítica, la resistencia civil -que para nosotros ahora será popular-). Una democracia que no cree en el pueblo es un remedo condenado a la tiranía o a la extinción. La democracia popular debe ser otra forma de pensar y hacer política y economía distinta, es decir, un modo de vida anclado en la satisfacción de las múltiples necesidades de las mayorías. Con justa razón Marx nos indica que «el hambre es una necesidad natural, exige pues una naturaleza fuera de sí, para satisfacerse, para calmarse» (Marx, 1970: 113). El acto ético de la resistencia popular comienza a partir de la demanda de los satisfactores de necesidades básicas que ha negado la economía de mercado: «Las necesidades de los pueblos son las supremas razones de su contentamiento (...) la teoría de un pueblo se alcanza a realizarse, en cuanto logra la realización de sus necesidades» (Marx, 1987: 11, 16). Anunciar hoy día un paradigma emancipatorio postcapitalista, significa inevitablemente, volver a Marx que está más allá del dogmatismo y del estigma insensato de los postmodernos.
1 Este artículo es producto de la investigación del autor sobre derechos humanos en América Latina.
2 Profesor de la Universidad Estatal del Valle de Ecatepec, Edo. de México. Es doctor en Filosofía Política por la Universidad Autónoma Metropolitana-Iztapalapa, Ciudad de México; Estudios en Políticas Públicas por la University of Washington (“Master Jr. Program 2005-2006”). Es autor de las obras La vejez: el grito de los olvidados (2003) y Los derecho y los años. Otro modo de pensar y hacer política en Latinoamérica: adultos mayores (2006). Su investigaciones giran en torno a los derechos humanos, movimientos sociales, políticas públicas y grupos vulnerables (etnia, género y edad).
3 Durante sus años de adolescente, Marx decidió presentarse en el “Friedrich Wilhelm Gymnasium” como parte de su proyecto profesional para estudiar jurisprudencia en Bonn.
4 Es acertada la parte primera de la propuesta de Rorty al indicar que todo individuo actúa y reflexiona a partir de contextos culturales particulares. Sin embargo, eso justifica que las diferentes concepciones sobre el mundo se reduzcan a particularismos o subjetivismos incapaces de formular principios, normas o reglas válidas para una comunidad. Además, todo principio o norma tiene como fundamento condiciones discursivas orientadas o reguladas por criterios de pretensión universal. En ese sentido, Marx había indicado que lo universal no se opone a lo particular, sino que lo fundamental es la realización de eso particular en lo universal. En ciertos aspectos, Marx propone un utilitarismo donde el mayor de los bienes, la felicidad que produce un acto justo por ejemplo, puede ser vivido particularmente por un sujeto, pero el ideal regulativo es que la justicia social es un bien universal que reclama ser experimentado individualmente o comunitariamente.
5 Esa carta la escribió Marx el 10 de noviembre de 1837 en Berlín y fue publicada por primera vez en 1897 Die Neue Zeit con el título “Brief von Karl zu seinem Vater In Trier”, MEW, 7. En esa carta Marx realiza un hermoso trabajo de comunicación con su padre al precisarle los conceptos esenciales del «jus privatum» y del «jus publicum». Marx se inclinará por el jus publicum ya que es el origen del “der Personenrechte”.
6 En ese ensayo, que fue su tesis doctoral, Marx se ocupa por encontrar los fundamentos epistemológicos de la propuesta de los presocráticos para entender la totalidad de las cosas. Para Marx lo central es pasar de lo epistemológico a lo ontológico (ayudado con el método fenomenológico hegeliano) y descubrir que el leit motiv por el cual se comprende de totalidad o la relatividad de lo real, es una actividad ejecutada por un sujeto pensante que posee una corporalidad concreta, real. Todo se desenvuelve en el interior del cuerpo humano: el concepto de las cosas, la idea de Dios, de felicidad o de dolor. Las dudas y las certezas, son realidades que «viven» en el cuerpo humano. Por eso dirá Marx en el apéndice de su tesis de que el “Idealismus ist real” o sea, los pensamientos, las ideas, habitan en la carne, en el cuerpo humano.
7 Indudablemente que el aspecto de la emancipación alemana, reside en su capacidad positiva del pueblo al resistir e interpelar la negatividad generada por el modo de producción capitalista.
8 Entre otras múltiples críticas, también Marx seguirá insistiendo que el trabajo corporal es la fuente inmediata, empírica, capaz de transformar el mundo: “Als Bildnerin von Gebrauchswerten, als nützliche Arbeit, ist die leiblich Arbeit daher eine von allen Gesellschaftsformen unabhängige Existenzbedingung des Menschen, ewige Naturnotwendigkeit, um den Stoffwechsel zwischen Mensch und Natur, also das menschliche Leben zu vermitteln”.
9 En esa obra nos dirá que “Alle Emanzipation ist Zurückführung der menschlichen Welt, der Verhältnisse, auf den Menschen selbst”.
10 En esa obra comienza a desplegar la crítica a la economía política donde nos dirá que “Die Akkumulation der Kapitalien auslösen paupertas”.
11 En esa obra Marx cuestiona radicalmente la idea de que la riqueza que genera la acumulación del capital, sea producto del ingenio y la laboriosidad de la clase burguesa (tesis contra Adam Smith). El monopolio jurídico, político y económico, de la clase burguesa, socializa inevitablemente la pobreza: “In der heutigen Gesellschaft sind die Arbeitsmittel Monopol der Kapitalistenklasse; die hierdurch bedingte Abhängigkeit der Arbeiterklasse ist die Ursache des Elends und der Knechtschaft in allen Formen”.
12 Efectivamente, la violencia institucionalizada no «está en el aíre»: “Und dennoch schwebt die Staatsgewalt nicht in der Luft”.
13 Grosfoguel muestra con precisión cómo el sistema mundo moderno/patriarcal/colonial capitalista, ha logrado su reproducción sistémica no solamente a través de los dispositivos políticoeconómicos, sino también y fundamentalmente por medio de la cultura, a través de sus instituciones educativo/universitarias donde muchas veces se reproduce la epistemología (¿ideología?) de la «colonialidad del poder» y de toda la parafernalia jurídico-administrativa. Eso Marx ya también nos había alertado en su crítica a la institucionalidad formativa del sistema filosófico hegeliano.
14 En esa obra estratégica Marx indica que uno de las múltiples causales de la violencia del campesinado francés durante la Revolución Francesa, es que los intereses del capital buscarán la forma de imponerse gracias al rol que juega cierto tipo Estado al servicio de los intereses de la burguesía. Dice al respecto: “Die Revolution von 1830 übertrug die Regierung von den Grundbesitzern auf die Kapitalisten und damit von den entfernteren auf die direkteren Gegner der Arbeiter”. También nos señala, entre otras cosas, que la resistencia popular es clave para la emancipación del pueblo (se refiere campesinado pobre) francés. Sin embargo, nos advierte y, posiblemente es uno de los límites de la praxis de resistencia civil, el hecho de que si la resistencia se prolonga sin obtener resultados sociopolítico y económicos, contundentes, ésta puede ser regresiva para los movimientos de resistencia civil, ya que pueden claudicar en sus objetivos o fortalecer las estructuras del poder. Dice Marx: “’Plan’ verlängerten Widerstand die Grundlage eines hartnäckigen Verteidigungskriegs in den Provinzen geliefert hatte. Und Paris sollte jetzt entweder seine Waffen niederlegen auf das beleidigende Geheisch der rebellischen Sklavenhalter von Bordeaux und anerkennen, daß seine Revolution vom 4. September nur die einfache Übertragung der Staatsmacht von Louis Bonaparte”.
15 Con respecto a la resistencia civil, popular o del proletariado, indica Marx que es el pueblo quien debe tomar en «sus manos» la defensa de sus intereses, pues es su deber y una de las responsabilidades más altas en la vida de cualquier persona. Esa responsabilidad popular debe instalarse más allá de la cooptación o traición de sus representantes o lideres. Apunta Marx: “Die Volkes von Paris, sagte das Zentralkomitee in seinem Manifest vom 18. März, "inmitten der Niederlagen und des Verrats der herrschenden Klassen, haben begriffen, daß die Stunde geschlagen hat, wo sie die Lage retten müssen, dadurch, daß sie die Leitung der öffentlichen Angelegenheiten in ihre eignen Hände nehmen ... Sie haben begriffen, daß es ihre höchste Pflicht und ihr absolutes Recht ist, sich zu Herren ihrer eignen Geschicke zu machen und die Regierungsgewalt zu ergreifen”.
Bibliografía
Dussel, Enrique. 2006. 20 Tesis de Política, México: Siglo XXI. [ Links ]
Dussel, Enrique. 1988. La producción teórica de Marx. Un comentario a los Grundrisse, México: Siglo XXI. [ Links ]
Friedenthal, Richard. 1981. Karl Marx. Sein Leben und seine Zeit, München: Piper Verlag. [ Links ]
García Ramírez, J. Carlos. 2006. Los derechos y los años. Otro modo de pensar y hacer política en Latinoamérica: los adultos mayores, México: UNEVE-Plaza y Valdés. [ Links ]
Grosfoguel, Ramón. 2006. «La descolonización de la economía política y los estudios postcoloniales: transmodernidad, pensamiento fronterizo y colonialidad global», en Tabula Rasa, 4:17-48. [ Links ]
Híjar, Alberto. 1994. «De cómo Marx se hizo radical (1843-1844)», Ponencia presentada el 15 de junio de 1994 durante el Ciclo de Mesas Redondas sobre «Capitalismo Mundial y Crítica Total de la Sociedad Burguesa: Karl Marx 1844-1994. A 150 años de los Manuscritos de París», México: Facultad de Filosofía y Letras, UNAM. [ Links ]
Leopold, David. 2000. The Young Karl Marx. German Philosophy, Modern Politics and Human Flourishing, Cambridge: Cambridge University Press. [ Links ]
Marx, Karl. 2003. La guerra civil en Francia, Madrid: Fundación Federico Engels; (1971), Der Bürgerkrieg in Frankreich, Werke, 17,1, Berlín. Dietz Verlag. [ Links ]
Marx, Karl. 1988. La cuestión judía, Bogotá: Linotipo; (1969), Zur Judenfrage, MEW, 16. [ Links ]
Marx, Karl. 1987. Crítica a la filosofía del derecho de Hegel, México: Juan Pablos; (1970), Zur Kritik der Hegelschen Rechtsphilosophie, MEW, 17. [ Links ]
Marx, Karl. 1981. Elementos fundamentales para la crítica de la economía política (Grundrisse) 1857-1858, 3 Tomos, México: Siglo XXI; Grundrisse der Kritik der politischen Okonomie, Berlin: Dietz.
Marx, Karl. 1979. Las luchas de clase en Francia de 1848-1850, México: Ediciones Roca; Die Klassenkampfe in Frankreich 1848-50, MEW, 47, Berlin: Dietz Verlag. [ Links ]
Marx, Karl. 1974. Sobre la filosofía de epicúreos, estoicos y escépticos, Moscú: Progreso; Differenz der demokritischen und epikureischen Naturphilosophie, MEW, 15. [ Links ]
Marx, Karl. 1972. Crítica al programa de Gotha, Linotipo: Bogotá; Kritik des Gothaer Programms, Berlin: Dietz Verlag. [ Links ]
Marx, Karl. 1972bis. El dieciocho Brumario de Luis Bonaparte, México: Ediciones Roca; Der achtzehnte Brumaire des Louis Bonaparte, Berlin: Dietz Verlag. [ Links ]
Marx, Karl. 1970. Manuscritos económico-filosóficos de 1844, Madrid: Paulinas, Para referirme a sus obras en alemán será de la siguiente manera; Ökonomisch-philosophische Manuskripte aus dem Jahre 1844, MEGA 2, Berlin: Dietz Verlag . [ Links ]
Marx, Karl y Friedrich Engels. 1982. «Carta al Padre» en Obras Fundamentales. México: FCE. (1972), MEW, 2, Berlín: Dietz Verlag. [ Links ]
Marx, Karl y Friedrich Engels. 1982. «Reflexiones de un joven al elegir profesión» en Obras Fundamentales. México: FCE. (1972), MEW, 2, Berlín: Dietz Verlag. [ Links ]
Marx, Karl y Friedrich Engels. 1978. La Ideología alemana, México: FCE; Die deutsche Ideologie, Berlin: Dietz Verlag. [ Links ]
Marx, Karl y Friedrich Engels. 1973. Manifiesto del Partido Comunista, México: Ediciones Roca; Manifest der Kommunistischen Partei, Berlin: Akademie Verlag. [ Links ]
Ricardo, David. 1951. Works and Correspondence of David Ricardo, 11 Volumes, Ed. Piero Sraffa, Cambridge: Cambridge University Press. [ Links ]
Roig, Arturo. 2004. «Las filosofías de denuncia y la crisis del concepto», en Teoría y crítica del pensamiento latinoamericano, México: Fondo de Cultura Económica. [ Links ]
Rorty, Richard. 1982. Consequences and Pragmatism (Essays: 1972-1980), Brighton: The Harvester Press. [ Links ]
Sánchez Vásquez, Adolfo. 1999. Entre la realidad y la utopía. Ensayos sobre política, moral y socialismo, México: Fondo de Cultura Económica. [ Links ]
Schmied-Kowarzik, Wolfdietrich. 1981. Die Dialektik der gesellschaftlichen Praxis. Zur Genesis und Kernstruktur der Marxschen Theorie, Freiburg/München: Alber Verlag. [ Links ]
Schöt, Roland. 1991. Das Leben des jungen Marx, Frankfurt: Suhrkamp. [ Links ]
Yolton, J. William. 1969. John Locke: Problems and Perspectives, Cambridge: Cambridge University Press. [ Links ]
Windscheid, B. Max. 1990. Lehrbuch des Pandektenrechts, Vol. 1 Frankfurt a.M.: Th. Kipp. [ Links ]













