Introducción
A pesar de que Chile es uno de los países que presenta una de las menores tasas de criminalidad derivada del narcotráfico, no ha quedado exento de la influencia extranjera derivada de otros países con mayor presencia de este fenómeno delictivo, entre ellos, Colombia (Vásquez, 2017). Se estima que tal vinculación surge a mediados del siglo XX, después de que en los años 40 la ruta de contrabando del alcaloide se desplazara desde Perú hacia el norte de Chile, producto de las restricciones impuestas por Estados Unidos sobre las drogas y el circuito peruano, lo que a su vez provocó la expansión del mercado de cocaína (Fernández, 2019), probablemente como efecto de la posición territorial estratégica que presenta Chile dentro de la región (Encina, 2014). Dentro de este tránsito histórico, Alzate (2014) estima que durante el último siglo los grupos ilegales asociados al tráfico de drogas han mutado en forma paralela con los cambios sociales y económicos ocurridos a nivel global, lo que les ha permitido mantener de forma ininterrumpida el negocio de la droga.
Crimen organizado y narcotráfico
Los nuevos escenarios sociales derivados de la pandemia por Covid-19 han generado un cambio sin precedentes en la historia de la humanidad. Una muestra de ello es como las restricciones de movilidad y el cierre de fronteras perturbaron considerablemente la economía mundial. Según la Oficina de las Naciones Unidas contra la Droga y el Delito (UNODC), todavía no es posible dimensionar el impacto que tuvo la pandemia sobre las organizaciones criminales dedicadas al narcotráfico, pero se estima que podría ser de gran alcance, producto de las restricciones al libre tránsito que limitaron el acceso a los precursores y las sustancias químicas esenciales, por lo que algunos productores pudieron verse obligados a buscar nuevas formas para elaborar y distribuir la droga (UNODC, 2020). Por esta razón, el narcotráfico es considerado una de las más peligrosas y complejas manifestaciones del crimen organizado, y se instala como uno de los problemas de mayor relevancia en la historia reciente de América Latina, a la vez que, actualmente es una de las principales preocupaciones de los Estados, los cuales han transitado desde un discurso médico -la droga como un problema de salud pública- hasta un discurso jurídico-policial basado en el combate al narcotráfico como respuesta a una amenaza a la soberanía nacional y a la seguridad del Estado (Santana, 2004).
Dicho esto, hallazgos recientes han reportado que la delincuencia organizada vinculada al narcotráfico ha generado importantes efectos sobre la gobernanza (Aziani et al., 2020a, 2020b; Bauman, 2020; Brown & Hermann, 2020) y la economía de distintos países (Albanese, 2020, 2021; Battisti et al., 2020, Calamunci & Drago, 2020). Esta preocupación tiene su fundamento en el surgimiento de nuevas manifestaciones de este tipo de actividad criminal, por ejemplo, una inquietud especial ha cobrado la investigación de delitos emergentes tales como el tráfico de migrantes (Bales et al., 2020; Becucci, 2020), la trata de personas (Blom, 2020; Bryant & Landman, 2020; Churakova & Van Der Westhuizen, 2020), el lavado de activos mediante criptomercados (Albrecht et al., 2019; Breu & Seitz, 2018; Florea & Nitu, 2020), el contrabando (Bellotti et al., 2020; Dadpay, 2020; Gallien, 2020) y la explotación sexual (Grubb, 2020; Heber, 2020), entre otras nuevas manifestaciones del crimen organizado. De todas formas, se ha levantado evidencia relevante que ha permitido actualizar el conocimiento de las redes criminales, y se ha identificado un funcionamiento marcado por la flexibilidad de su estructura y la distribución dinámica de las funciones a lo largo del tiempo, a la vez que, como característica principal la resiliencia de la red y la reorganización del despliegue delictivo a corto plazo (Bright & Delaney, 2013), así como también, la presencia de múltiples roles (Natarajan, 2006) y vínculos dentro de las redes criminales (Bright et al., 2012).
Junto a esta expansión delictiva, la cual se ha vinculado con organizaciones dedicadas inicialmente al tráfico de drogas, el nuevo panorama salugénico y el surgimiento de tecnologías avanzadas, también se ha identificado la mutación del fenómeno del narcotráfico hacía nuevas prácticas delictivas que buscan asegurar el éxito de la producción y la distribución de la droga (Balcells, 2020; Bertola, 2020; Childs et al., 2020; Kruisbergen et al., 2019). En este escenario, complejo y cambiante, la Policía de Investigaciones de Chile (PDI) informó la incautación de más de 130 toneladas de droga durante el periodo 2017-2021, con un aumento anual sostenido en el tiempo. Igualmente, la Fiscalía de Chile, mediante su Observatorio del Narcotráfico, reportó que durante los últimos años ha aumentado en un 700% el ingreso de marihuana al país, principalmente del tipo creepy, la cual tiene un origen colombiano (Fiscalía de Chile, 2020). Por otra parte, al revisar el punto de salida de la cocaína que llega a Europa, la UNODC (2020) ha señalado que Chile se ubica entre los tres países -después de Colombia y Brasil- que realizan un mayor número de envíos y tránsitos de esta sustancia hacia ese continente.
En este contexto, a pesar de que existe una preocupación generalizada por el narcotráfico, se ha reportado una escasa producción científica asociada a este fenómeno delictivo. En Chile, en particular, es posible encontrar algunos estudios principalmente dirigidos a caracterizar la delincuencia organizada dedicada al narcotráfico (Catalán & Fevre, 2002; Corder & Ruiz-Tagle, 2013; Cornejo & Carnevali, 2008; Vidal, 2016), a identificar sus efectos sobre todo en la zona fronteriza del país (Castro, 2015; García, 2015; Troncoso, 2017), y a indagar sobre las repercusiones derivadas de las dinámicas de apropiación local del territorio (Ganter, 2016).
Criminología del narcotraficante
Junto al fenómeno del narcotráfico, el sujeto dedicado a esta actividad ha sido motivo de especial preocupación entre científicos de distintas disciplinas. Especialmente se han explorado las características psicológicas, los roles, la motivación y la justificación delictiva que está presente dentro de esta población forense (Li & Feigelman, 1994; Li et al., 1996). Salinero (2015), por ejemplo, a partir de una encuesta aplicada a 200 sujetos -hombres y mujeres- condenados por narcotráfico, estableció que un 35.5% de ellos declaró ser parte de una organización criminal al momento de cometer el delito. Por otra parte, también encontró que en el 87% de los casos la persona se dedicaba exclusivamente al narcotráfico, y halló que dentro de este grupo había una importante participación de mujeres (51%). Junto a este descubrimiento, el mismo estudio reportó que un alto porcentaje de sujetos indicó dedicarse únicamente a actividades ilegales (56%), pese a que no mantenían una función específica dentro de una determinada organización (55%).
En otra línea de investigación, se ha reportado que la mujer dedicada al narcotráfico tiende a formar parte de los niveles de menor jerarquía dentro de una organización (Marez, 2004). De hecho, se ha detectado que gran parte de las veces estas ignoran la complejidad y/o circunstancias de las transacciones en la que están involucradas (Schemenauer, 2012; Sudbury, 2005). Al respecto, Harper et al. (2002), encontraron que las mujeres son significativamente más propensas a asumir el papel de transportista-bajo la figura de mula o burrero-, lo que las expone a un mayor riesgo y las deja en un menor estatus dentro de la organización. No obstante, contribuciones más recientes han desafiado estos puntos de vista estereotipados y ofrecen perspectivas alternativas sobre el papel que desempeñan las mujeres traficantes, asignándoles un rol con mayor proactividad en la facilitación de drogas en los mercados locales (Holligan et al., 2019). Al respecto, Campbell (2008) señala que no existe una posición definida de las mujeres dentro de una organización criminal, pues su rol depende de distintos factores, algunos de ellos, de orden económico y cultural. De todas formas, estos factores y efectos varían significativamente dependiendo de la clase social de las mujeres, de su estatus y su vinculación con algún actor relevante dentro de la organización criminal. El mismo autor señala que las mujeres narcotraficantes de alto nivel se sienten atraídas por el poder y la mística del tráfico de drogas, y son capaces de alcanzar una relativa independencia del dominio masculino. Por su parte, las mujeres de nivel medio tienen menos libertad que los hombres, pero pueden manipular los estereotipos de género en su beneficio. Finalmente, las mujeres burreras -de bajo nivel- también manipulan los roles de género tradicionales como estrategia, pero reciben menos beneficios económicos y menos poder.
Otro grupo de especial interés es la población adolescente, dado que la actividad criminógena de este colectivo presagia un costoso contacto con el sistema judicial (Vaughn et al., 2018), derivado del ejercicio de sus funciones delictivas dentro de la primera línea de las organizaciones criminales, en las que se aprecia el mayor efecto de los problemas sociales provenientes del narcotráfico (Gomes & Coimbra, 2020; Gomes et al., 2018). Al respecto, investigaciones recientes sobre narcotraficantes adolescentes han encontrado que su participación delictiva no responde únicamente a motivaciones económicas, sino que, por el contrario, deriva de una amplia gama de conductas de riesgo delictivo (Picanço & Lopes, 2016); y, que además, dependería -entre otros factores- del tipo de droga objeto de tráfico (Little & Steinberg, 2006; Magyar et al., 2011; McCurley & Snyder, 2008; Shook et al., 2011).
De esta forma, la venta de drogas por parte de jóvenes se presenta, por una parte, como un subproducto del abuso de sustancias y, por otro lado, como resultado de la propensión al despliegue de conductas desviadas que probablemente son producto de la exposición obligatoria a factores de riesgo frente a su ingreso en el sistema de justicia penal (Vaughn et al., 2011). Por tanto, no es de extrañar que un porcentaje importante de jóvenes que entra en contacto con el sistema de justicia juvenil haya estado involucrado en tráfico de drogas (Little & Steinberg, 2006), y, contrario a lo percibido popularmente, vincularse a estas actividades no está limitado a jóvenes con deserción escolar, sino que también acontece de manera relevante entre estudiantes adscritos al sistema educativo formal (Steinman, 2005).
Otra línea de investigación está enfocada en buscar explicaciones psicológicas sobre el fenómeno del narcotráfico, y ha encontrado en esta población forense niveles más altos de desvinculación moral, deshumanización de las víctimas y comparación ventajosa con respecto a otros delincuentes (D’Urso et al., 2018). Estas características resultan similares a las identificadas dentro del perfil buscado en los procesos de reclutamiento de otras organizaciones criminales, en las que se ha reportado un funcionamiento psicológico caracterizado por las necesidades de poder, pertenencia, respeto y seguridad (Meráz, 2006).
Finalmente, pese a la evidencia reportada y que la delincuencia organizada -en especial aquella dedicada al narcotráfico- es una de las grandes preocupaciones de la sociedad, existe un escaso abordaje científico con esta población forense, lo que podría tener su origen en la dificultad para acceder a la información de sujetos implicados en estas dinámicas delictivas. Frente a este panorama científico, el siguiente artículo explora las características sociocriminógenas de los sujetos detenidos por narcotráfico, a partir de las investigaciones realizadas por la PDI durante el periodo 2017-2021, con el objeto de caracterizar el perfil actual del narcotraficante en Chile.
Método
El presente estudio se realizó bajo un diseño descriptivo ex post facto, con el fin de establecer patrones de comportamiento derivados de la recolección de datos, con base en la medición numérica y el análisis estadístico (Hernández-Sampieri et al., 2014). La población de análisis está en el territorio chileno, y deriva de los procedimientos ejecutados en las diferentes investigaciones por narcotráfico efectuadas por las distintas brigadas especializadas de la PDI, y registradas en la plataforma Cuenta Diaria de la Jefatura Nacional Antinarcóticos y Contra el Crimen Organizado.
Del universo de datos correspondiente al total de operativos policiales registrados durante el periodo de enero 2017 a diciembre 2021, los cuales se ejecutaron en el marco de la Ley 20.000 (2005) que sanciona el tráfico ilícito de estupefacientes y sustancias sicotrópicas, se obtuvo un total de 37.838 procedimientos, 32.057 detenidos y 130.672 kilogramos de drogas incautadas. Para obtener la muestra en estudio se aplicaron tres criterios de inclusión: (a) que el sujeto haya sido detenido por tráfico de drogas bajo alguno de los tipos penales contenidos en la Ley 20.000 que sanciona el tráfico ilícito de estupefacientes y sustancias psicotrópicas (tráfico (art. 3) o microtráfico, tráfico en pequeñas cantidades (art. 4)); (b) que la detención se hubiese registrado durante el periodo comprendido entre el01 de enero de 2017 y el 31 de diciembre de 2021; y, (c) que se cuente con el registro de información que contenga las variables en estudio.
A partir de estos criterios se excluyeron aquellos detenidos derivados de procedimientos policiales que no correspondían a investigaciones por tráfico de drogas, sino a otros delitos o faltas estipuladas en la Ley 20.000. De esta forma, mediante el sistema de gestión de base de datos relacional Microsoft SQL Server -a través de la interfaz de usuario SQL Server Management Studio (SSMS)- se obtuvo una muestra conformada por 28.397 detenidos, derivados de 29.475 procedimientos realizados durante el periodo en estudio (Tabla 1).
De la extracción de registros antes indicada, se obtuvo un dataset con las variables sociocriminógenas disponibles institucionalmente, y que responden a los objetivos propuestos en el presente estudio. Seguido, toda esta información fue analizada mediante el lenguaje de programación R, utilizando la interfaz RStudio, V.1.4.1 lo que permitió un adecuado manejo y visualización de los datos, sin perder de vista los resguardos éticos pertinentes mediante el anonimato de los sujetos y el aseguramiento de la confidencialidad.
Resultados
Además del fenómeno delictivo, una de las principales preocupaciones reportadas en la literatura es la figura del narcotraficante. Como primer análisis, es importante mencionar que de los 28.397 sujetos que forman parte del estudio, se encontró que se trata mayoritariamente de detenidos de nacionalidad chilena (81.8%), de sexo hombre (67.2%, n = 19.109), solteros (80.6%, n = 22.898), imputados principalmente por microtráfico (57.7%), con un historial de detenciones previas (63.3%, n = 17.978), y que no contaban con un trabajo u ocupación conocida (49.6%, n = 14.095). No obstante, al analizar el 37.7 % de los sujetos que mantenía una ocupación u oficio al momento de su detención, se estableció que estos se concentraban principalmente en los grupos 9 (39.5%), 5 (19.3%), 7 (14%) y 8 (9.3%) de la CIOU1. Por otra parte, el rango de edad de los detenidos se situó entre los 13 y los 88, presentando 32.5 años en promedio (DS = 11.9). Respecto a esto último, resulta relevante considerar que la edad promedio, tanto para hombres como para mujeres, ha disminuido -de forma poco significativa- durante los últimos cinco años (Tabla 2).
Al revisar la distribución de la muestra por edad, se obtuvo un histograma de distribución normal con un pick de detenidos en el rango entre los 20 y 40 años, lo cual es consistente con la edad promedio obtenida para la población de sujetos. Al comparar la diferencia entre ambos sexos, se halló que los hombres son más jóvenes que las mujeres (31.6 en contra de 34.4), aunque con una mayor presencia de valores outliers (Figura 1).
En cuanto a la trayectoria delictiva de la población estudiada, se logró establecer que el 39.5% de los sujetos presentaba detenciones previas (n = 11.220, de los cuales el 40.7% eran hombres y el 37% mujeres), característica que se encontró en el 46.7% de los sujetos detenidos por microtráfico y en el 29.6% de detenidos por tráfico de droga. Asimismo, al revisar la especialidad delictiva en el grupo de sujetos reincidentes, se estableció, en primer lugar, que el 92.7% presentaba detenciones por otros delitos no relacionados con el tráfico de drogas, en el caso específico de los hombres un 93.7%, y en las mujeres un 90.2%; en segundo lugar, que el 67.1% contaba con detenciones anteriores por infracción a la Ley 20.000 (n = 7.536); y, por último, que el 10.8% de los sujetos presentaba detenciones previas exclusivamente por infracción a la ley drogas.
En este mismo sentido, al analizar el historial delictivo de los sujetos en virtud de su rango etario, se encontró que la población más joven concentra las mayores frecuencias, y vale la pena resaltar que hacia los 37 años se concentra el 50% de los sujetos con antecedentes delictuales. Además, cuando se consideran aquellas detenciones previas por otros delitos distintos al tráfico de drogas, la frecuencia acumulada del 50% se alcanza a los 29 años, lo que es un hecho que ocurre cuando se consideran únicamente las detenciones previas por infracción a la ley de drogas. Con relación al grupo adolescente, se estableció que el 17.5% de los sujetos menores de 18 años presentan detenciones previas. Dentro de este grupo de reincidentes, el 58.9% de ellos presentaba detenciones previas por infracción a la ley de drogas y el 85.9% lo hacía también por otros delitos.
Frente a los primeros resultados obtenidos, y dada la conformación de distintos clústeres dentro de la población en estudio, se realizó un análisis diferenciado en virtud a los objetivos de esta investigación. En concreto, se indagaron tres grupos que resultan de especial interés criminológico, a saber: extranjeros, mujeres y adolescentes.
Extranjeros detenidos por narcotráfico
Al desagregar la muestra estudiada en virtud a la procedencia de los detenidos, se obtuvo un subgrupo compuesto por 5.157 de sujetos extranjeros, de los cuales un 94.3% de ellos provienen de distintos países de Sudamérica (Tabla 3). Dentro de esta región, los sujetos provenientes de Bolivia (50.2%, n = 2.444), Colombia (27.2%, n = 1.325) y Perú (14.8%, n = 722) acumulan el 92.2% de los detenidos.
Del total de extranjeros, el 71.8% (n = 3.707) son hombres, sin embargo, al revisar las diferencias de sexo por región de procedencia, se identificó una mayor frecuencia de hombres en los detenidos provenientes de África (100%), Asia (93.3%) y América del Norte (88.8%). Característica relevante si se compara con Sudamérica, donde los hombres alcanzan una participación delictiva del 71.6%. Al explorar una posible diferencia dentro de los sujetos originarios de Sudamérica, se identificó un mayor porcentaje de hombres dentro de los detenidos provenientes de Venezuela (86.7%), Brasil (83.3%) y Colombia (80%), en comparación con los detenidos de nacionalidad uruguaya y paraguaya, donde se identificó un mayor porcentaje de mujeres detenidas dentro del grupo de detenidos de estos dos países (50% y 36.3% respectivamente). No obstante, dada la baja cantidad de detenidos de estos países, este resultado debe observarse con cautela.
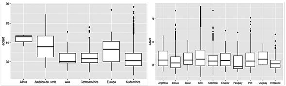
Con respecto al perfil etario de los detenidos extranjeros, se logró determinar que estos son más jóvenes que los chilenos; en concreto, presentan un promedio de 29.8 años (DS = 9.3) y de 33.1 años (DS= 12.4) respectivamente. Sin embargo, la distribución etaria es similar entre ambos grupos (Figura 2).
Al explorar la edad de los extranjeros en virtud a su nacionalidad, se logró determinar que la población más joven se encuentra en Sudamérica (29.6 años en promedio). En contraparte, África presenta el promedio de edad más alto (50 años). Por su parte, dentro de Sudamérica, Venezuela y Bolivia registraron los detenidos más jóvenes (27.6 y 28.7 años respectivamente), en oposición a Uruguay y Brasil que figuraron con los promedios de edad más altos (33.7 y 32.9 respectivamente) (Figura 3).
Con respecto al comportamiento temporal de los detenidos extranjeros durante el periodo de estudio, no fue posible identificar una tendencia clara, dado el panorama sanitario que afectó el tránsito de ciudadanos hacia Chile. De hecho, esto podría explicar la disminución del 45% de las detenciones durante los dos años siguientes al 2019. Cuando se analizó el comportamiento temporal de los detenidos de Sudamérica, se estableció que aquellos países con una mayor frecuencia (Bolivia y Perú) presentaron una disminución del 61.7% y 78.8% respectivamente. En contraparte, la variación de venezolanos y colombianos presentó un aumentó de 10 puntos porcentuales cuando se compara los detenidos registrados el año 2017 con los detenidos registrados en el 2021 (Figura 4).
Al revisar el estado civil de los detenidos se logró identificar que los extranjeros se encontraban mayoritariamente solteros (90%), y un 39.4% de ellos no contaba con un oficio u ocupación conocida al momento de su detención. Al profundizar más en esto último, encontramos que el 15.1% desarrollaba alguna ocupación laboral del grupo 9, el 11.1% del grupo 5 y el 10.2% ejercía trabajos calificados dentro del grupo 7 de la CIOU. Por otra parte, el 84% presentaba antecedentes por infracción a la ley de drogas, en tanto que un 88.7% mantenía registros policiales por otros delitos no relacionados a la Ley 20.000.
Cuando se revisó la incidencia criminógena de los extranjeros en el delito del narcotráfico, se logró establecer que su participación se concentró mayoritariamente en el tráfico de drogas, con un 85.3% (n = 4.399) dedicados a esta actividad, y un 14.7% (n = 758) que ejercía el microtráfico. En cuanto al rol de los extranjeros dentro de las organizaciones criminales, se detectó que el 39.9% realizaba tareas relacionadas con el transporte o internación de la droga en el país, y un 16.2% se dedicaba a la distribución de la droga entre comerciantes minoristas. No obstante, un 39.6% de los extranjeros no mantenía un rol definido, ni cumplía tareas específicas dentro de la organización criminal y limitaba su participación al ejercicio de labores secundarias o de acompañamiento.
Mujeres detenidas por narcotráfico
A partir de la muestra en estudio se levantó un subgrupo en virtud del sexo de los sujetos. De esta forma se analizaron los datos estadísticos de 9.288 mujeres detenidas por narcotráfico, y se encontró que el 84.3% de ellas son de nacionalidad chilena (n = 7.838), en promedio tenían 34.4 años (DS = 12.8), se encontraban mayoritariamente solteras (74%, n = 6.879), y el 49.4% (n = 4.597) no contaba con un oficio u ocupación conocida al momento de su detención. Al profundizar en este último dato se encontró que el 20.5% (n = 1.907) desarrollaba labores domésticas y el 9.6% (n = 1.031) ocupaba algún puesto laboral incluido en el grupo 9 CIOU. Por otra parte, el 37% presentaba detenciones previas, y dentro de este grupo de mujeres reincidentes el 76.6% tenía antecedentes policiales por infracción a la ley de drogas.
Asimismo, al analizar el comportamiento temporal de las mujeres detenidas por narcotráfico, no se encontraron diferencias significativas con los resultados obtenidos para la población total, así como tampoco con la variación estadística registrada para la muestra compuesta por detenidos hombres. Esto es, una frecuencia con tendencia a la baja conforme avanza el periodo en estudio, tanto para las detenidas chilenas como para las extranjeras. Por otra parte, se estableció que la edad promedio de las mujeres tiende a disminuir -aunque de manera poco significativa- durante el periodo en estudio (Tabla 4).
Por otra parte, al cruzar la edad con otras variables se pudo establecer que las mujeres extranjeras son más jóvenes que las chilenas, con promedios de 29.8 y 35.2 respectivamente. De igual forma, al desagregar la edad promedio de las mujeres extranjeras y compararla con la muestra de mujeres chilenas, se logró determinar que las mujeres más jóvenes provienen de países sudamericanos (n = 1.378; µ = 29.69) (Figura 5). Además, Venezuela y Brasil son los países que registran el menor promedio de edad dentro de la región (µ = 29.3). Por otra parte, la mayor edad promedio se registra en mujeres provenientes de países de Asia y Europa (45 y 39 años respectivamente), aunque por la baja frecuencia de detenidas este resultado debe ser interpretado con cautela.
Sobre la distribución geográfica o la movilidad delictiva de la mujer en el narcotráfico, las mayores frecuencias resultan consistentes con la densidad poblacional de cada región y con el mayor número de detenidos registrados en esos territorios (región Metropolitana, Concepción y Valparaíso). En el caso de las mujeres extranjeras, se detectó una mayor concentración en la región de Tarapacá (36%, n = 585), la cual está ubicada al norte del país, en la zona limítrofe colindante con Perú y Bolivia, lo que a su vez resulta consistente con una mayor presencia de ciudadanos extranjeros en esta zona.
Al revisar la incidencia criminógena de las mujeres en el delito del narcotráfico, se logró establecer que su participación se concentra mayoritariamente en el microtráfico (63.2%, n = 5.909). No obstante, las mujeres extranjeras fueron detenidas principalmente por el delito de tráfico de drogas (89%, n = 1.291). Por otra parte, con relación al rol de la mujer dentro del fenómeno delictivo, se logró establecer que el 31.3% se encontraba vinculada a la distribución de droga en pequeñas cantidades entre terceros dedicados a la venta minorista. En el caso particular de las mujeres extranjeras, su función estaba delimitada a tareas de transporte e internación de la droga en Chile (47%), sin embargo, un 54.1% de ellas no mantenía un rol definido ni cumplía tareas específicas dentro de la estructura delictiva, y su participación se limitaba al ejercicio de labores secundarias o de acompañamiento.
Adolescentes detenidos por narcotráfico
Al analizar las características de los menores de edad detenidos por narcotráfico, encontramos que durante el periodo en estudio se detuvo a 1.055 adolescentes, cuya edad fluctuaba entre los 13 y los 17 años con 11 meses y 29 días; justo antes de cumplir 18 años edad. Por otra parte, con respecto a la temporalidad de este fenómeno criminógeno en los adolescentes, se logró establecer que la participación delictiva de este grupo responde de la misma forma que el comportamiento estadístico de la población total de detenidos (Tabla 5).
La muestra de adolescentes en estudio corresponde en su mayoría a hombres (73.1%, n = 772), que promediaban los 16.1 años (DS = 1), sin diferencias significativas entre ambos sexos con respecto a la edad, y con una mayor concentración de casos en los 17 años (50.8%, n = 510), tal como puede apreciarse en la Figura 6. Cabe destacar que el 47% de los adolescentes declaró estar estudiando o matriculado en un establecimiento educacional al momento de su detención.
Asimismo, encontramos que la mayoría de los detenidos adolescentes son chilenos (94.3%, n = 995), con una mayor frecuencia en la Región Metropolitana (20%, n = 214) y Valparaíso (10.9%, n = 116). Además, se estableció que la participación delictiva de los adolescentes se concentra en el microtráfico, en tanto un 78.5% de éstos fue detenido bajo esa figura penal (n = 829), mientras que el 21.4% fue detenido por tráfico (n = 226), sin que se registren diferencias significativas cuando se contrastan ambos sexos. Con relación al rol de los adolescentes en el fenómeno del narcotráfico, se logró establecer que el 35.9% se encuentra destinado a tareas relacionadas con la distribución de la droga en pequeñas cantidades a terceros dedicados a la venta minorista. Sin embargo, un 58% de los adolescentes no cuenta con un rol específico o definido dentro de la organización criminal, y su participación se limita al ejercicio de tareas secundarias o de acompañamiento.
Perfilación del narcotraficante según el tipo delito
De la droga incautada en el país durante los últimos cinco años (130.6 Tm), la gran mayoría se registró bajo la modalidad del tráfico de drogas (98.5%), y de este total el 60% correspondió a cannabis sativa (78.4 Tm), el 27.9% a cocaína base (36.4 Tm) y el 12% a clorhidrato de cocaína (15.7 Tm). Pese a estos datos, es importante destacar que el 57.4% de los detenidos que fueron registrados durante el periodo en estudio corresponden a microtráfico.
Al analizar la distribución geográfica del fenómeno delictivo, es posible señalar que las regiones Metropolitana (23.9%), Coquimbo (20.3%), Valparaíso (14.6%), Antofagasta (11%) y Tarapacá (10%) acumulan las cantidades más elevadas de droga incautada durante los últimos cinco años, lo cual también pudo apreciarse el año 2021, cuando estas regiones acumularon el 73.1% del total de droga incautada en el país. En tal sentido, y derivado de la pandemia por covid-19, se ha observado una disminución de la incautación de droga en pasos fronterizos, sin embargo, este dato es independiente del panorama sanitario, ya que la cantidad de droga incautada en pasos fronterizos durante los últimos cinco años es poco significativa (1.7% del total nacional, n = 2.326 kg).
Respecto de la procedencia de la droga, cabe precisar que el 31.5% de lo incautado durante el periodo en estudio involucró la detención de grupos delictivos conformados por ciudadanos chilenos. En concreto, el 15.3% implicó a grupos delictivos extranjeros y el 33.8% a grupos compuestos tanto por ciudadanos chilenos como extranjeros. Estos resultados evidencian una baja participación de extranjeros en este fenómeno delictivo, pues, aunque no haya una tendencia clara, se muestra una disminución en la droga incautada a organizaciones criminales compuesta por ciudadanos chilenos y extranjeros, en comparación con la droga proveniente a grupos delictivos conformados únicamente por chilenos o de manera exclusiva por extranjeros.
Asimismo, cuando se desglosa la droga incautada bajo la figura penal de tráfico de drogas, se estableció que esta modalidad se asocia mayoritariamente a cannabis sativa (57%), mientras que el 29.4% corresponde a cocaína base y un 13.4% a clorhidrato de cocaína. Vale decir que la incautación de cannabis sativa tiende a aumentar durante el periodo (2017 = 41.3% vs. 2021 = 77.6%). En cuanto a los grupos analizados previamente, se estableció que la participación de las mujeres dentro de esta figura penal (27.8%) ha disminuido durante los últimos años, al pasar de un 29% en el año 2017 al 24.6% durante el año 2021. Con respecto a los extranjeros detenidos por tráfico (36.3%), también se identificó una disminución a través de los años, de un 38.1% en el 2017 a un 27.2% en el 2021. En contraparte, la participación de los adolescentes tiende a aumentar en baja medida durante el tiempo de este estudio, al escalar de un 2.2% en el 2017 a un 2.5% en el 2021.
Por otra parte, al analizar la droga incautada bajo la figura penal de microtráfico, se estableció que se trata mayoritariamente de cannabis sativa (49.2%), mientras que el 35.4% corresponde a cocaína base y un 15.2% a clorhidrato de cocaína. Esta última presenta una tendencia al aumento durante los últimos años, del 46.1% en el 2017 a un 59% en el 2021. En contraparte, el microtráfico de cocaína base ha registrado una disminución gradual y significativa dentro de este periodo, dado que su porcentaje de incautación bajó de un 40.1% en el 2017 a un 30.1% en el 2021.
Perfilación del narcotraficante según el tipo de droga incautada
Al analizar la muestra de detenidos asociados a incautaciones de cocaína base, se logró establecer que se trata mayoritariamente de sujetos chilenos (83.9%), de sexo hombre (61%), que en promedio tenían 32.4 años al momento de su detención. Al realizar una diferenciación por sexo y edad, se encontró que las mujeres tienden a ser mayores (33.9 años) que los hombres (31.4 años), y que estos últimos explican el 67.2% de la cocaína base incautada durante el periodo. Con respecto a los extranjeros dedicados al tráfico de cocaína base, se estableció que el 74.9% de ellos son de nacionalidad boliviana, el 11.7% colombianos y el 8.1% ciudadanos provenientes de Perú. Con relación a la figura delictiva asociada a esta droga, se estableció que el 90.2% de los extranjeros fue detenido bajo la figura penal de tráfico de drogas, en tanto que el 72% de los detenidos chilenos, a quienes se les incautó cocaína base, fue detenido bajo el tipo penal de microtráfico.
Por otra parte, los sujetos vinculados a la incautación de clorhidrato de cocaína son mayoritariamente hombres (65.2%), principalmente de nacionalidad chilena (75.5%) y promedian los 32 años (específicamente, las mujeres presentan un promedio de 33.1, y los hombres de 31). Igualmente, es importante resaltar que este grupo explica el 55% de la incautación de este tipo de droga. En contraparte, al explorar la muestra de extranjeros detenidos con clorhidrato de cocaína, las mayores frecuencias corresponden a sujetos provenientes de Bolivia (43.5%), Perú (27.1%) y Colombia (19.5%), quienes en su mayoría fueron detenidos bajo el tipo penal de tráfico de drogas (88.5%).
En cuanto a los sujetos detenidos con cannabis sativa, estos son mayoritariamente ciudadanos chilenos (89.2%), de sexo hombre (68.3%), que promedian los 30.3 años (mujeres = 32.8, hombres = 29.1), los cuales explican el 47.1% del cannabis sativa incautada durante el periodo. En contraparte, al explorar la muestra de extranjeros detenidos con esta droga, se estableció que mayoritariamente provienen de Colombia (52.1%), Bolivia (17.5%) y Perú (10%), quienes fueron detenidos principalmente bajo la figura penal de tráfico de drogas (73%).
Finalmente, al analizar una posible relación entre la cantidad de droga incautada y la edad de los sujetos detenidos, no se encontró una correlación estadísticamente significativa. De tal manera que no es posible establecer una vinculación entre la cantidad de droga y la edad de los sujetos detenidos, independiente del tipo de narcótico objeto de tráfico. En consecuencia, se estableció que las mayores incautaciones de droga-independientemente del tipo o naturaleza de éstas- se concentran en el grupo etario de sujetos que tiene entre 25 y 55 años (Figura 7).
Conclusión
Los resultados obtenidos permiten afirmar que no existe un perfil único del narcotraficante en Chile, dado los múltiples factores que intervienen en este fenómeno delictivo. Sin embargo, en virtud de las mayores frecuencias obtenidas frente a cada variable, es posible sostener que en general esta figura suele ser un hombre adulto, de nacionalidad chilena, mayoritariamente soltero, cuya edad promedia los 32.5 años, sin un trabajo u oficio formal conocido, con registro de detenciones previas y una trayectoria delictiva caracterizada por la versatilidad criminal.
Producto de la metodología de análisis utilizada, se logró revisar el comportamiento de tres grupos de narcotraficantes de especial interés criminológico: extranjeros, mujeres y adolescentes. Los resultados permitieron establecer que los extranjeros presentan una participación estadísticamente baja (18.1%), y son más jóvenes que los narcotraficantes chilenos. Por otra parte, las personas extranjeras que se vinculan a estas actividades suelen ser mayoritariamente solteros, con experiencia previa en la ejecución de diversos delitos, y que -por lo general- cumplen una función relacionada principalmente con el transporte e internación de la droga al país, mientras que -en menor medida- suelen vincularse directamente a la distribución de la droga entre sujetos dedicados al microtráfico. Esto resulta consistente con el alto porcentaje de extranjeros detenidos por tráfico de drogas, en comparación con microtráfico; aunque, se identificó un aumento porcentual de extranjeros detenidos por este último tipo penal a partir del año 2019.
Las mujeres implicadas en narcotráfico son mayoritariamente adultas, que promedian los 34.4 años, solteras, con experiencia delictiva versátil y una participación dentro de la organización mayormente asociada a roles secundarios. Un hallazgo de relevancia es que las mujeres chilenas detenidas por narcotráfico presentan un mayor promedio de edad que el total de la muestra en estudio, la cual está compuesta tanto por chilenos como por extranjeros. En contraparte, las mujeres extranjeras promedian menor edad que los detenidos de nacionalidad chilena, lo que ocurre tanto en hombres como en mujeres. En otro aspecto, se estableció que la participación de las mujeres dentro del narcotráfico sigue siendo mayor en comparación a otros fenómenos delictivos de mayor violencia (Fiscalía de Chile, 2022), aunque, presentan una clara tendencia a la baja durante los últimos 5 años, al disminuir de un 35% en el 2017 a un 28.8% en el 2021.
Por otra parte, los adolescentes detenidos por narcotráfico son mayoritariamente hombres, de nacionalidad chilena, con estudios regulares y compromiso delictivo previo. Su participación dentro del fenómeno delictivo está principalmente asociada al microtráfico y se encuentra acotada al cumplimiento de tareas secundarias, similar al rol que cumplen las mujeres dentro de la estructura delictiva. Por otra parte, a pesar de que se detuvo a una menor cantidad de adolescentes durante el último año, su participación -dentro del narcotráfico- registró un aumento desde el año 2018.
Asimismo, otro de los hallazgos criminológicos reportados en el presente estudio es que en edades más tempranas se concentran los grupos que presentan un mayor compromiso delictivo previo, lo que visibiliza la existencia de trayectorias delictivas con mayor versatilidad y menor especialización. Estos hallazgos resultan consistentes con la evidencia reportada en investigaciones previas en el campo de la criminología del desarrollo.
Finalmente, es necesario mejorar el registro de variables socio criminógenas para robustecer el procesamiento y gestión de la información, con el fin de mejorar la producción de conocimiento científico en esta materia, lo que favorecería la identificación de nuevos componentes dentro de la organización criminal, así como también una intervención policial mayormente efectiva en los distintos niveles que conforman la estructura criminal.


























