Services on Demand
Journal
Article
Indicators
-
Cited by SciELO -
Access statistics
Related links
-
Cited by Google -
Similars in
SciELO -
Similars in Google
Share
Revista Lasallista de Investigación
Print version ISSN 1794-4449
Rev. Lasallista Investig. vol.10 no.1 Caldas Jan./June 2013
Artículo original / Original article / Artigo original
Primer proceso de rehabilitación y reintroducción de un grupo de titís cabeciblancos (Saguinus oedipus)*
First rehabilitation and reintroduction process of a cotton top tamarins group (Saguinus oedipus)
Primeiro processo de reabilitação e reintrodução de um grupo de titís cabeciblancos (Saguinus oedipus)
Heidi Liliana Arango Guerra**, Sandy Ballesteros Ruíz***, Francisco García Castillo****, Santiago Monsalve Buriticá*****
*Artículo derivado del proyecto de investigación "Evaluación del comportamiento de un grupo de titís cabeciblanco (Saguinus oedipus, linnaeus 1758) durante un proceso de rehabilitación y reintroducción en un remanente de bosque seco tropical del Bajo Sinú", realizado en el departamento de Córdoba entre octubre de 2008 y octubre de 2009 y financiado por Conservación Internacional, CVS y la Universidad de Córdoba.
**Bióloga Centro de Rehabilitación de fauna silvestre del oriente de Caldas, CRFSOC
***Bióloga, Cogestora Social de la Red Unidos Moñitos
****Biol. MSc. Investigador en consultoría y medio ambiente.
*****MVZ, Esp., MSc. Docente Investigador, Universidad de Córdoba
Correspondencia: Santiago Monsalve Buriticá, e-mail: santiagomonsalve@gmail.com
Artículo recibido: 22/03/2012; Artículo aprobado: 10/05/2013
Resumen
Introducción. El Tití cabeciblanco (Saguinus oedipus) está calificado como uno de los 25 primates más amenazados del mundo. La pérdida de hábitats, la cacería, la ampliación de la frontera agrícola y ganadera, la captura para el mercado ilegal de mascotas, su restringida distribución en el noroeste de Colombia son las razones más importantes de amenaza. Adicional a esto, no existen reportes sobre la rehabilitación y reintroducción de esta especie a su hábitat natural. Objetivo. Se evaluaron patrones de comportamiento de un grupo de titíes cabeciblancos que ingresaron al Centro de Atención y Valoración de Fauna Silvestre (CAV) de Montería, Córdoba, para su rehabilitación y reintroducción a la vida silvestre. Metodología. Un grupo de titís cabeciblancos fue sometido a un programa de rehabilitación que se llevó a cabo en 3 fases seguidas de la liberación y seguimiento. Cada fase fue evaluada utilizando el método ad libitum y muestreo exploratorio como métodos de observación. Resultados. Las actividades que se presentaron con mayor frecuencia durante el proceso de rehabilitación fueron las relacionadas con forrajeo, vigilancia y descanso; las de menor frecuencia fueron agresión, eliminación y marcaje; estas, a su vez, presentaron variaciones de frecuencias de acuerdo con la edad de los individuos. La actividad de acicalamiento fue importante dentro del comportamiento social del grupo debido a que presentó una correlación positiva con el estatus jerárquico del individuo. En la primera fase se utilizaron productos como frutas, verduras y algunos subproductos utilizados en alimentación humana; sin embargo, en las fases 2 y 3 hubo mayor preferencia por algunos frutos silvestres, insectos y pequeños vertebrados (lagartijas y ranas). Conclusiones. La liberación blanda fue una herramienta que favoreció el proceso de rehabilitación. El grupo reintroducido respondió exitosamente al estrés post-liberación. Este es el primer proceso de rehabilitación y reintroducción con seguimiento en campo de la especie.
Palabras clave: comportamientos, rehabilitación, etogramas, reintroducción.
Abstract
Introduction. Cotton top tamarins (Saguinus oedipus) is one of the 25 most threatened primates in the world. The loss of habitats, the hunting activities, the widening of the agricultural and livestock frontier, the capture for the illegal pet market and their restricted distribution in the Northwest of Colombia are the most important reasons for such a threat. In addition, there are no reports of rehabilitation or re-introduction of this species into their natural habitat. Objective. The behavioral patterns of a cotton top tamarins group taken to the Centro de Atención y Valoración de Fauna Silvestre (CAV) in Montería, Córdoba, were evaluated for their rehabilitation and reintroduction into wild life. Methodology. A group of cotton top tamarins was subjected to a rehabilitation program performed in three phases followed by their release and tracing. Each phase was evaluated by the use of the ad libitum method and an exploratory sampling as observation methods. Results. The most frequent activities during the rehabilitation process were those related to foraging, surveillance and rest. The least frequent were aggression, elimination and marking. These, at the same time, had frequency variations according to the ages of the individuals. The grooming activity was important within the social behavior of the group, due to the fact that it had a positive correlation with the hierarchical status of the individual. In the first phase products such as fruits, vegetables and some sub products common in human feeding were used. Nevertheless, in phases 2 and 3 there was a higher preference for wild fruits, insects and small vertebrae (lizards and frogs). Conclusions. The soft release was a tool that favored the rehabilitation process. The re-introduced group responded successfully to the post-release stress.
Key words: behaviors, rehabilitation, ethograms, reintroduction.
Resumo
Introdução. O titi cabeciblanco (Saguinus oedipus) está qualificado como um dos 25 primatas mais ameaçados do mundo. A perda de habitats, a caçada, a ampliação da fronteira agrícola e de gado, a captura para o mercado ilegal de mascotes, sua restringida distribuição no norte-oeste da Colômbia são as razões mais importantes de ameaça. Adicional a isto, não existem reportes sobre a reabilitação e re-introdução desta espécie a seu habitat natural. Objetivo. Avaliaram-se padrões de comportamento de um grupo de titíes cabeciblancos que ingressaram ao Centro de Atendimento e Valoração de Fauna Silvestre (CAV) de Montería, Córdoba, para sua reabilitação e reintrodução a vida silvestre. Metodologia. Um grupo de titís cabeciblancos foi submetido a um programa de reabilitação que se levou a cabo em 3 fases seguidas da libertação e seguimento. Cada fase foi avaliada utilizando o método ad libitum e amostragem exploratório como métodos de observação. Resultados. As atividades que se apresentaram com maior frequência durante o processo de reabilitação foram as relacionadas com forrageio, vigilância e descanso; as de menor frequência foram agressão, eliminação e marcação; estas, a sua vez, apresentaram variações de frequências de acordo com a idade dos indivíduos. A atividade de acicalamento foi importante dentro do comportamento social do grupo devido a que apresentou uma correlação positiva com o status hierárquico do indivíduo. Na primeira fase se utilizaram produtos como frutas, verduras e alguns subprodutos utilizados em alimentação humana; no entanto, nas fases 2 e 3 teve maior preferência por alguns frutos silvestres, insetos e pequenos vertebrados (lagartixas e rãs). Conclusões. A libertação macia foi uma ferramenta que favoreceu o processo de reabilitação. O grupo reintroduzido respondeu com sucesso ao estresse pós-libertação.
Palavras importantes: comportamentos, reabilitação, hectogramas, reintrodução.
Introducción
Colombia es uno de los países más biodiversos, posee más de 30 especies de primates de las cuales tres son endémicas; una de estas es Saguinus oedipus, calificado como uno de los 25 primates más amenazados del mundo, en Peligro Crítico según IUCN1 y, además, calificado en CITES I como en grave estado de conservación en vida silvestre2.
La pérdida de hábitats, la cacería, la ampliación de la frontera agrícola y ganadera, la captura para el mercado ilegal de mascotas, su restringida distribución en el noroeste de Colombia, y la importación de entre 20.000 y 40.000 individuos para la industria biomédica3 en la década de los años 704 son, en gran medida, las razones más importantes por las cuales este primate está amenazado en Colombia. A pesar de los controles de las autoridades y la conciencia que se ha generado por años de labor educativa de instituciones y programas como la Fundación Proyecto Tití, el tráfico en el ámbito nacional ha continuado, aunque en el internacional es casi nulo; por tal razón, es importante la búsqueda de medidas de conservación como la protección de áreas naturales, el refuerzo de las acciones legales locales para disminución del tráfico, programas de reintroducción, educación ambiental y recuperación de bosques5. La información existente en Colombia sobre los procesos de rehabilitación y liberación de fauna silvestre es escasa; adicionalmente, no existen reportes sobre la liberación y seguimiento en campo de esta especie, por lo que este protocolo de rehabilitación podría ser considerado como una medida de conservación para los primates extraídos del medio silvestre6.
Materiales y métodos
Programa de rehabilitación
Este programa de rehabilitación se realizó en tres fases, cada una con una duración de 45 días, entre octubre de 2008 y febrero de 2009. Se hicieron observaciones preliminares de patrones de comportamiento con el fin de identificar las actividades de los titíes y construir un catálogo. A partir de este, se definió la metodología de observación, que consistió en realizar registros diarios de una hora con intervalos de cinco minutos entre cada observación, y se inició a diferentes horas cada día, se empleó el método Ad libitum y muestreo exploratorio7, 8. La fase 1 se realizó en el Centro de Atención y Valoración de Fauna Silvestre (CAV) de la CVS, en el municipio de Montería, vereda El Ceibal, ubicado geográficamente al N 08°48' y W 075°50', en donde se manejó el protocolo interno del mismo para el arribo, la cuarentena, evaluación médico-veterinaria y biológica de cada individuo. Los animales fueron marcados con microchip marca AVID en la zona subescapular y con tinte SchwarzkopfIgora Vital N1 1-O Negro en diferentes partes del cuerpo para facilitar el registro individual de los comportamientos. Se conformó un grupo de 5 individuos que ingresaron provenientes de decomisos preventivos y entregas voluntarias entre 2007 y 2008; estos fueron ubicados en una jaula de 6.2 m de largo, 3.5 m de alto y 3.2 m de ancho; allí se utilizaron diferentes técnicas de enriquecimiento ambiental adaptadas a centros de rescate y rehabilitación9; estas técnicas fueron utilizadas en todo el proceso. En la fase 2 se trasladaron los animales a un parche de bosque, ubicado en la Subsede CVS en el municipio de Santa Cruz de Lorica, ubicada geográficamente al N 9°14' y W 75°49'. Dentro del parche boscoso fueron ubicados en una jaula de 2 m de alto, 2 m de largo y 1m de ancho fabricada en malla metálica, donde se aplicaron las técnicas de enriquecimiento ambiental adaptadas de la fase 1. La dieta suministrada en el CAV consistía en frutas estacionales como banano, mango, papaya, guayaba, patilla y otras como uva, uchuva, granadilla y otros como huevo cocido y carne; esta etapa fue complementada gradualmente por frutos encontrados en el parche de bosque identificados como alimento de vida silvestre para esta especie como insectos y pequeños vertebrados que ingresaban a la jaula10, 11. Con el fin de continuar con el proceso de adaptación al medio natural, los titíes fueron trasladados al lugar escogido para su liberación; se consideró para tal efecto un relicto de bosque seco tropical llamado La Montañita ubicado dentro del área de distribución histórica y natural de la especie, con poca población humana, acceso a recursos hídricos, en el bajo Sinú en el municipio de Santa Cruz de Lorica, corregimiento Nariño, vereda Ceiba Pareja, ubicado geográficamente al N 9°10' y W 75°54' con 2.4 ha. El encierro fue el mismo utilizado en la fase 2, el cual se ubicó sobre una plataforma de 3 m de largo, 3,6 m de ancho y 1,5 m de alto utilizando troncos de madera de Crataeva tapia (Naranjuelo), Cordia lucidula (Muñeco), Astronium graveolens (Santa Cruz), Libidibia coriaria (matarratón) y Calycophyllum candidissimun (guayabo macho). En esta fase se incrementó la proporción de alimento silvestre encontrado en el bosque, suministrado en forma de ramas con frutos y/o flores, gomas, insectos y algunos pequeños vertebrados que ingresaban a la jaula. Terminado el proceso de rehabilitación se establecieron los patrones de comportamientos del grupo mediante etogramas que permitieran tomar la decisión con respecto al destino de los animales y hacer una liberación blanda, mientras se suplementó alimento en 2 plataformas a 6 m de altura dentro del bosque (foto 1).

Seguimiento en vida silvestre
El seguimiento de los animales en el bosque tuvo una duración de un mes a partir de la liberación; se realizó mediante observación directa utilizando binoculares (Basco Offishore 18). Se registraron observaciones diarias y continuas durante una semana, comenzando con la primera hora de actividad y terminando con la hora de dormida de los animales; se identificaron y marcaron los árboles de dormida con pintura amarilla (Esmalte Bler sintético Tipo 1).
En las siguientes tres semanas se realizaron 2 horas de observaciones por la mañana y 2 por la tarde hasta registrar el árbol de dormida. Durante este período se les proporcionó alimentación dos veces al día en las plataformas.
Análisis de los datos
Las matrices fueron construidas en Excel 2007donde se registraron las frecuencias de las actividades realizadas por cada individuo del grupo de titís cabeciblancos. Para el análisis estadístico se utilizó el software R Project versión 2.91 donde se aplicaron las siguientes pruebas:
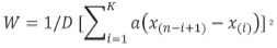
Para determinar la normalidad de los datos se aplicó la Prueba de Shapiro - Wilks:

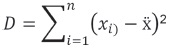
Donde: a1= representa los coeficientes K= n/2 = si k es par y (n –1)/2 si k es impar, en esta prueba se estima un estadístico D según la expresión:

Donde: xi= la observación centrada i, se obtiene restando a cada valor su respectiva media aritmética dentro de cada concentración evaluada,
= la media total de todas las observaciones centradas (de todas las concentraciones), n= el total de las observaciones centradas. Para determinar si la distribución de las frecuencias de ocurrencia de las actividades del grupo presentaba diferencias significativas, se aplicó el análisis de varianza de una vía de Kruskal - Wallis:

Donde: Ri es la suma de los rangos de la estación i-ésima, ti : suma de elementos de la estación i-ésima, L: número de estaciones.
Resultados y discusión
Durante la fase 1 los individuos presentaron una buena condición física, médica y biológica establecida por los resultados obtenidos en los exámenes clínicos (hemograma, ecocardiograma, electrocardiograma y coprológico), las medidas morfométricas evaluadas en el CAV) (tabla 1) (foto 2).


Se realizaron cambios en la dieta pasando de una porción de aproximadamente 600g de frutas diarios, a dos porciones de 400g al día para las tres primeras semanas, y para las tres semanas siguientes se dividió la dieta en tres porciones con un total de 1000g. De esta manera se estableció que la ración ideal fue la de dos porciones, ya que así se evitaba que los titíes bajaran al piso en busca de sobras que caían de los canastos y contaran con alimento fresco. Se realizaron treinta horas de observación, las cuales arrojaron que las actividades se diferenciaron significativamente, n, valor prueba, (p < 2.2e-16), siendo forrajeo la actividad con mayor frecuencia debido a la introducción de nuevos materiales de enriquecimiento ambiental que les permitían a los titíes buscar alimentos. También se presentaron actividades de frecuencias intermedias como alimentación, acicalamiento, descanso, desplazamiento, exploración, juego, vigilancia y vocalización; estas actividades estimularon la cohesión del grupo y la continuidad de las jerarquías de dominancias evidenciadas desde las observaciones previas de comportamiento.
Las actividades de menores frecuencias fueron: agresividad dada por el recurso alimenticio, el cual fue monopolizado por los dominantes; la actividad de comportamientos estereotipados fue principalmente evidenciada por la infante del grupo la cual ocasionalmente bajaba al piso de la jaula en búsqueda de alimentos que caían de los canastos al piso; las demás actividades fueron eliminación, marcaje, simulación de cópula y la actividad de cópula no fue observada durante esta fase (figura 1).

La actividad de forrajeo se distribuyó durante todo el día con porcentajes similares entre 10% y 25% en 8 de las 10 horas observadas, mientras que las actividades alimentación, vigilancia, juego, exploración, descanso, desplazamiento, comportamientos estereotipados y vocalización se presentaron con 5 a 6 horas.
La actividad de eliminación se presentó con una frecuencia entre el 35% y 50% hacia el medio día, y estuvo regulada por la actividad de alimentación la cual se realizó con mayores porcentajes hacia al medio día y en la tarde debido a que el suministro de la dieta en el CAV condicionaba esta conducta.
El marcaje fue una actividad que se realizó con mayores porcentajes hacia las horas de la tarde, tiempo en que eran ingresados los nuevos enriquecimientos. La actividad de agresión se presentó debido a la presencia de personal en el CAV, que era mayor en las horas de la mañana, generando estrés en los titís, mientras que acicalamiento y simulación de cópula estuvieron relacionados con las actividades de juego y descanso (tabla 2) (foto 3).


La fase 2 se realizó con el fin de estimular diferentes comportamientos naturales como el forrajeo, orientación, reconocimiento a predadores y fortalecimiento de las relaciones sociales dentro del grupo, combinando las diferentes alternativas de enriquecimiento ambiental utilizadas en la primera fase como cajón de dormida, canastos de comida, plataforma de alimentación, cuerdas, ramas de diferentes grosores y altura, agua, esteras para protegerlos de las lluvias y para aislarlos del contacto y actividad humana.
El encierro diseñado fue ubicado dentro del parche de bosque de la estación de la CVS en Lorica, en un espacio aireado, soleado, con cobertura vegetal alta y poca intervención antrópica, sobre una plataforma de madera de 20 cm de altura, para evitar la acumulación de alimento en el piso y facilitar la limpieza de residuos. La dieta en esta etapa estuvo compuesta por frutas, algunos insectos como libélulas, y pequeños vertebrados como lagartijas y ranas. La alimentación estuvo dividida en dos porciones diarias no sobrepasando un total de 1000g ubicada en dos canastos de alimentación y en una pequeña plataforma de madera (a modo que se familiarizaran con este tipo de elementos que serían usados en el proceso de seguimiento para ofrecerles alimento complementario después de la liberación). Durante las treinta horas de observación realizadas en esta fase, se encontró que las actividades presentaron diferencias significativas (p < 2.2e-16), siendo forrajeo la que tuvo una mayor frecuencia, influenciado por las técnicas de enriquecimiento ambiental y por la ubicación del nuevo encierro diseñado, el cual permitió la entrada de insectos a esta. Las actividades con frecuencias medias fueron alimentación, acicalamiento, descanso, desplazamiento, exploración y vigilancia, mediante las cuales se reforzaron comportamientos sociales e individuales, preparando al grupo para un medio menos condicionado por las actividades antrópicas. Las de menor frecuencia fueron agresión, eliminación, juego, simulación de cópula y vocalización. Las actividades comportamiento estereotipado y marcaje no fueron representativas. La actividad de cópula no fue registrada en las horas de observaciones (figura 2).

Para esta fase se registró que, con excepción de las actividades de juego, eliminación, marcaje y simulación de cópula, el resto de las actividades se presentaron con más del 50% de las horas del día con porcentajes entre 10 y 25%. Marcaje es una actividad que se realizó cercana a las horas de los cambios de enriquecimientos que comenzaban después de las 9 horas con porcentajes entre 35 y 50%. La actividad de descanso estuvo intercalada con las actividades de juego y simulación de cópula por parte de los juveniles y el infante en las horas de la mañana. Al igual que en la fase 1 la actividad de eliminación se distribuyó hacia las horas del medio día, después de las horas de alimentación (tabla 3).
En la fase 3 se trasladó la jaula al lugar de liberación, donde se utilizaron elementos del enriquecimiento ambiental de las fases anteriores, y la dieta estuvo complementada con frutos encontrados en el bosque como Randia formosa (María angola), Spondias mombin (jobo), Guazuma ulmifolia (guasimo), Solanum enoplacalix (rasguña gato), gomas de los árboles Samanaea saman (campano) y Albizia niopoides (guacamayo); vertebrados como Hypsiboas crepitans (rana platanera), Ganotodes albogularisy Anolis tropidogaster (sala-manqueja común y lagartija respectivamente) e insectos (Odonatos, Ortópteros, Lepidópteros, Dípteros, Coleópteros, Himenópteros). Los comportamientos de los animales estuvieron regulados por la presencia de fauna nativa del lugar, lo cual influenció en la cohesión del grupo y las actividades naturales de especies con las cuales el tití cabeciblanco tiene relaciones interespecíficas positivas y que fueron registradas en esta investigación como Alouatta seniculus (mono aullador rojo), Alouatta palliata (mono aullador negro), Sciurus granatensis (ardilla), Sylvilagus brasiliensis (conejo), Cho-loepus hoffmani (perezosos de dos uñas) y Bradypus variegatus (de tres uñas). Así mismo, ante predadores como Buteo magnirostris (gavilán caminero) y Geranospiza caerulescens (aguililla zancona) y otras aves a las cuales los titíes presentaron temor a pesar de que no son predadores de ellos como Coragyps atratus (goleros),Cathartes aura (auras) y Sarcoramphus papa (rey gallinazo).
Las treinta horas de observaciones realizadas para esta fase dieron como resultado, al igual que en la fase 1 y 2, diferencias significativas entre las actividades (p < 2.2e-16). La actividad con mayor frecuencia fue forrajeo, seguida de descanso, vigilancia y alimentación, debido a la búsqueda de insectos y lagartijas que eran atraídos por las frutas, esteras y los troncos de madera que se encontraban sosteniendo la jaula, y dentro de esta, el reconocimiento del sitio conllevó a establecer espacios de descanso alternados con vigilancia por el constante paso de aves del orden Falconiformes.
Las actividades de acicalamiento, vocalización y exploración se realizaron con frecuencias menores a 30 y mayores a 10. Agresión, desplazamiento, juego, simulación de cópula y eliminación tuvieron frecuencias menores a 10, algunos debido a que el espacio de la jaula no permitía largos desplazamientos, mientras que marcaje fue la actividad de menor frecuencia debido a que el grupo ya había utilizado la jaula en la fase anterior (figura 3).

Actividades como forrajeo, vigilancia y vocalización se observaron entre 6 y 7 horas de las 10 registradas con porcentajes entre 10 y 25%, lo que indica que estas actividades fueron realizadas durante todo el día con frecuencias similares. La actividad de eliminación fue realizada seguida de la actividad de alimentación con porcentajes entre 25 y 35% entre las 10 y 12 horas como proceso digestivo al igual que en las fases anteriores. Otra actividad como la de agresión se presentó en las horas de la mañana donde los titíes dedicaron mayor tiempo a la alimentación (tabla 4).

Las actividades sociales como las de acicalamiento y las de juego se realizaron en horas similares durante el día, al igual que simulación de cópula y exploración, que estuvieron asociadas con las horas de descanso. El marcaje a pesar de ser la actividad con mayor porcentaje (100%) entre las 14 y 15 horas no fue significativo durante el día.
Liberación y seguimiento
La liberación fue realizada el 27 de febrero de 2009, con acompañamiento de miembros de la comunidad de Ceiba Pareja, funcionarios de la Corporación Autónoma de los Valles del Sinú y San Jorge y de Conservación Internacional.
Para estimular la salida de los individuos fueron dispuestas frutas de la dieta dentro, sobre la jaula y en las plataformas de alimentación ubicadas dentro del bosque; posteriormente se abrió el encierro para que los animales salieran a voluntad de la jaula. Los individuos que mostraron más curiosidad por explorar el medio fueron inicialmente los juveniles y la infante, mientras que el macho y la hembra dominante se mostraron prevenidos para salir del encierro, ubicándose en una rama cerca de la salida de la jaula para observar el entorno; cuando los dominantes se sintieron seguros salieron. La primera actividad que realizaron los animales fue trepar en las ramas de un árbol cercano a la jaula y subirse por el techo del encierro para alimentarse de frutas que ahí se encontraban. El grupo utilizó el estrato más bajo como recurso inicial para forrajeo, usando ramas y tallos cercanos a la superficie. Durante la primera semana utilizaron la jaula para dormir y tomar agua mientras afianzaban sus movimientos en el bosque, aumentaron las actividades de marcaje, forrajeo, desplazamiento, descanso y alimentación; esta última actividad ya no estaba determinada exclusivamente por la dieta suministrada por los investigadores puesto que los animales cazaban insectos (adultos y huevos), ranas y lagartijas, además de la suplementación alimenticia ofrecida. En la segunda semana los titíes comenzaron a desplazarse por el medio del bosque formando rutas para llegar a los árboles de forrajeo; a partir de la semana tres el grupo dejó de llegar a la jaula para dormir y comenzaron a utilizar árboles de dormida (tabla 5). Al finalizar el mes de seguimiento se notó el aumento en el uso de estratos altos, con saltos entre ramas del mismo árbol o entre árboles y desplazamientos hacia diferentes partes del bosque.

Durante el seguimiento las observaciones realizadas presentaron diferencias significativas (p < 1.361e-12), donde las actividades de mayor frecuencia fueron forrajeo, desplazamiento y alimentación, debido a la búsqueda de alimento como insectos, lagartijas, ranas y la fruta proporcionado en las plataformas, también al reconocimiento del sitio como adaptación del grupo de titíes al bosque. Otras actividades con frecuencias intermedias como descanso, vigilancia y vocalización, estuvieron sujetas a factores externos como el paso de algunas aves de gran tamaño. Las actividades de acicalamiento, exploración, marcaje, simulación de cópula, juego, cópula, agresión y eliminación aunque fueron menos frecuentes tienen importancia para el grupo en el aspecto social, reconocimiento del sitio, reproducción y territorialidad (figura 4).

Según el patrón de actividades calculado por Savage12, entre el 31 y 44 % del tiempo los individuos forrajeaban, entre el 29 y 37% del tiempo los individuos descansan y entre el 19 y 40 % del tiempo los individuos se desplazan13. Aunque las frecuencias más altas en esta investigación corresponden al forrajeo y desplazamiento, estas frecuencias no son comparables con el patrón de actividad calculado por Savage12, debido a la necesidad de adaptación del grupo rehabilitado al entorno y al reconocimiento del lugar donde fueron liberados.
Conclusiones
La valoración médico-veterinaria y biológica sobre los comportamientos fue indispensable para realizar una evaluación del estado físico y biológico en los miembros del grupo, lo cual se convirtió en pieza clave para las posteriores decisiones tomadas durante la rehabilitación y reintroducción. Durante el proceso, pintar a los individuos temporalmente (metodología utilizada en estudios por la Fundación Proyecto Tití) con tinte fue una herramienta eficaz y no invasiva que permitió estudiar los comportamientos individuales y grupales para establecer patrones etológicos. Las actividades que se presentaron con mayor frecuencia durante el proceso de rehabilitación fueron las relacionadas con forrajeo, vigilancia y descanso, y a su vez las de menor fueron agresión, eliminación y marcaje, con variaciones de frecuencias de acuerdo a la jerarquía y edad de los individuos. La actividad de acicalamiento fue muy importante dentro del comportamiento social del grupo; los animales dominantes fueron los que recibieron mayor cantidad de acicalamiento por parte de los juveniles.
Durante el programa de rehabilitación, los titíes cabeciblancos mostraron preferencia por el banano (Musa sp.) como primera opción de la dieta proporcionada; sin embargo, en las fases 2 y 3 hubo mayor preferencia por algunos frutos silvestres, insectos y pequeños vertebrados anteriormente nombrados. Asimismo, el uso de elementos naturales y las variaciones en la dieta dieron resultados positivos aumentando actividades exploratorias hacia el entorno. Las condiciones del medio alteraron de manera significativa los porcentajes de duración de las diferentes actividades comportamentales de los individuos, ya que en cautiverio, a pesar de los enriquecimientos, se ven disminuidas las conductas de alimentación y desplazamiento, mientras que en medios naturales estas aumentan significativamente. Los seguimientos posliberación, después de culminar esta investigación, han permitido la verificación de la adaptación del grupo a su nuevo medio silvestre. Los factores más importantes que se han tenido en cuenta son el uso de dormideros naturales, así como el consumo de frutos y fauna silvestre existentes en el fragmento de bosque. Es recomendable dedicar más tiempo a la continuidad de las observaciones posliberación y así obtener más datos de la especie para este tipo de procesos.
Agradecimientos
Se agradece a la comunidad de Ceiba Pareja en Lorica por su gran interés en la conservación de varias especies, en especial a Miguel, Mardeys, Alejandro y Zenaida. A la CVS, Universidad de Córdoba y a Conservación Internacional por la financiación del proyecto y todo su equipo de trabajo (Alejandro Mejía, Wilfredo González, Pedro Galvis y a José Vicente Rueda).
Referencias bibliográficas
1. UNIÓN INTERNACIONAL PARA LA CONSERVACIÓN DE LA NATURALEZA - IUCN. Red List of Threatened Species. Version 2009.1. [En línea], Gland, Suiza: IUCN, 2009. [Recuperado el 25 de julio de 2009]. Url disponible en: http://www.iucnredlist.org. [ Links ]
2. MITTERMEIER, Russell Alan y MAST, R. B. Conservación y diversidad biológica en Colombia y el mundo. En: Ecobíos Colombia 88. J. V. Rodríguez & H. Sánchez Páez, eds. Bogotá: Biblioteca Andrés Posada Arango. 1990. p. 143. [ Links ]
3. MAST, R. B. & PATIÑO, A. F. Aid for a native Colombian. Nature conservancy magazine. January - February 1988. [ Links ]
4. HERNÁNDEZ-CAMACHO, J. y COOPER R. W. The nonhuman primates of Colombia. En: Neotropical primates, field studies and conservation (R. Thorington, Jr., & P. G. Heltne, eds.). Proceedings of a symposium on the distribution and abundance of neotropical primates., United States, Washington, D.C.: National Academy of Sciences, 1976. p. 35-69. [ Links ]
5. RODRÍGUEZ-MAECHA, Jose Vicente; et al. Libro rojo de los mamíferos de Colombia. Serie Libros Rojos de Especies Amenazadas de Colombia. Bogotá, Colombia: Conservación Internacional Colombia & Ministerio de Ambiente, Vivienda y Desarrollo Territorial, 2006. 433 p. [ Links ]
6. SEGONDS-PICHON, A. A. Classification Attempt of Environmental Enrichment Devices. Dissertation Submitted for the Diploma in Endangered Species Management, Jersey Wildlife Preservation Trust. Jersey: Channel Islands, 1994. [ Links ]
7. MARTIN, P. y BATESON, P. Measuring behabiour, an introductory guide. Great Bretain: Cambridge University Press, 1986. 238 p. [ Links ]
8. ZERDA, Enrique. Comportamiento Animal: Introducción, Métodos y Prácticas. Notas de clase. Bogotá: Universidad Nacional de Colombia - Unibiblios, 2004. [ Links ]
9. LOZANO-ORTEGA, Iván. Managing Animal Behaviour through Environmental Enrichment with Emphasis in Rescue and Rehabilitation Centres. Dissertation Submitted for the Diploma in Endangered Species Management, Jersey Wildlife Preservation Trust. Jersey: Channel Islands, 1999. [ Links ]
10. GARCÍA-CASTILLO, Francisco. Contribución al conocimiento de la ecología y etología del tití de cabeza blanca (Saguinusoedipus- Linnaeus 1758) en La Coraza, Montes de María, Colosó, Sucre, Colombia. Trabajo de grado. Universidad Nacional de Colombia. 1996. [ Links ]
11. _____. Dispersión de semillas y preferencias alimenticias de grupos silvestres de Tití cabeciblanco en un relicto de bosque seco tropical. Santa Catalina Bolívar. Tesis de Maestría. Universidad Nacional de Colombia. Departamento de Biología. Instituto de Ciencias Naturales. 2004. [ Links ]
12. SAVAGE, Anne. There productive biology of thecotton-top tamarin (Saguinusoedipusoedipus) in Colombia. Unpublished Ph.D. thesis, University of Wisconsin, Madison. 1990. [ Links ]
13. DEFLER, Thomas. Primates de Colombia. Conservación Internacional. Serie de guías tropicales de campo 4 (J. V. Rodríguez-Mahecha, ed.). Conservación Internacional, Bogotá, D.C., Colombia, 2003. 5430 p. [ Links ]












