Services on Demand
Journal
Article
Indicators
-
Cited by SciELO -
Access statistics
Related links
-
Cited by Google -
Similars in
SciELO -
Similars in Google
Share
Revista Lasallista de Investigación
Print version ISSN 1794-4449
Rev. Lasallista Investig. vol.10 no.1 Caldas Jan./June 2013
Artículo original / Original article / Artigo original
Efecto de la concentración de cultivos iniciadores y dextrosa sobre la calidad de la maduración y vida útil sensorial del pepperoni*
Effect of the concentration of starter cultures and dextrose on the quality of the maturation and the sensory life of pepperoni
Efeito da concentração de cultivos iniciadores e dextrose sobre a qualidade da maturação e vida útil sensorial do pepperoni
Julio Montes Álvarez**, Claudia Restrepo Flórez***, Jairo Patiño Gómez****, Jaime Andrés Cano Salazar*****
*Artículo derivado del proyecto de investigación "Desarrollo de productos cárnicos procesados crudos semimadurados y madurados con nuevos atributos sensoriales mediante la aplicación de una cámara de maduración" Convenio N° 558 celebrado entre Colciencias, la Fundación INTAL y TECNAS S.A. Entre el 2010 y 2011.
**Microbiólogo. Director de Proyectos en el Instituto de Ciencia y Tecnología Alimentaria -INTAL-.
***Magíster en Ciencias Farmacéuticas. Directora Técnica de Servicios en el Instituto de Ciencia y Tecnología Alimentaria -INTAL-.
****Ph.D., MSc. Ciencia y Tecnología de Alimentos. Director General en el Instituto de Ciencia y Tecnología Alimentaria -INTAL-.
*****Ph.D., MSc, Ciencia y Tecnología de Alimentos. Director Científico-técnico de Proyectos en el Instituto de Ciencia y Tecnología Alimentaria -INTAL-.
Correspondencia: Jairo Patiño Gómez, email: director@fundacionintal.org
Artículo recibido: 12/05/2012; Artículo aprobado: 10/05/2013
Resumen
Introducción. La automatización de los procesos en la industria cárnica, y la combinación entre cultivos de rápida fermentación y sustratos fermentables que permitan elaborar productos madurados secos de alta calidad en corto tiempo y con nuevas características sensoriales son los factores a tener en cuenta para mejorar, estandarizar y disminuir el tiempo de elaboración tradicional de este tipo de alimentos, permitiendo a las empresas cárnicas diversificar sus productos y proporcionar al consumidor alimentos con nuevos valores agregado. Objetivo. Demostrar las ventajas de controlar los parámetros de temperatura y humedad, en cámara de estufaje, y la incorporación de diferentes dosificaciones de cultivo iniciador y dextrosa en las etapas de fermentación, maduración, y en la conservación del pepperoni. Materiales y métodos. Para evaluar el efecto de las concentraciones de dextrosa y cultivos iniciadores sobre la maduración del pepperoni, se evaluaron 4 combinaciones entre las concentraciones 0.03% y 0.05% del cultivo Bactoferm LHP, y 0.5% y 1% de dextrosa. La fermentación y maduración se realizó en condiciones controladas de humedad y temperatura. El tiempo de vida útil fue evaluado en un período de 100 días, analizando las características fisicoquímicas, microbiológicas y sensoriales del alimento cada 30 días, durante el almacenamiento a temperatura ambiente. Resultados. Las principales diferencias encontradas, durante el almacenamiento, en los pepperoni con porcentajes mayores de 0,5 de dextrosa, fue la aparición de defectos en el producto final como colores marrones, sabor ácido y graso en los productos finales. Por el contrario, concentraciones de 0,03% de cultivo starter y 0,5% de dextrosa permitieron obtener productos con mayor retención de humedad, mejorando la apariencia y textura del producto. El estudio de vida útil del pepperoni determinó que los tratamientos evaluados garantizaron la inocuidad del producto por 94 días a 26° C, como resultado del efecto sinérgico de los metabolitos de las bacterias ácido-lácticas, que evitaron el desarrollo de microorganismos alterantes y patógenos. Conclusión. La utilización de dextrosa como sustrato fermentable para los cultivos iniciadores fue esencial para controlar la velocidad de acidificación del pepperoni durante la fermentación, y evitar así el rápido descenso del pH y la formación de defectos sensoriales en el producto final; de esta manera, se logra la estabilidad sensorial del producto en condiciones de almacenamiento al ambiente.
Palabras clave: pepperoni, bacterias ácido-lácticas, maduración, estufaje.
Abstract
Introduction. The automation of processes in meat industries and the combination between rapid fermentation cultures and fermentable substrates that allow the elaboration of high quality dry maturated products in a short period of time and with new sensory characteristics, are the factors that must be taken into account in order to improve, standardize and reduce the traditional time required for such type of food, thus allowing meat industries to diversify their products and provide food with new added value to consumers. Objective. Demonstrate the advantages of controlling temperature and humidity parameters in curing chambers and incorporating different dosages of starting cultures and dextrose on the fermentation, maturation and conservation of pepperoni. Materials and methods. To evaluate the effect of the dextrose concentrations and the starter cultures on the pepperoni's maturation, four combinations were evaluated in concentrations between 0.03% and 0.05% of the Bactoferm LHP, and 0.5% culture and 1% of dextrose. The fermentation and the maturation took place under controlled humidity and temperature conditions. The life time was evaluated in a 100 days period, analyzing the physical-chemical, microbial and sensory characteristics of food every 30 days during storage at room temperature. Results. The most relevant difference found during storage for pepperoni with dextrose above 0,5, was the appearance of defects in the final product such as brown coloring and acid and greasy tastes. Concentrations of 0,03% of starter cultures and 0,5% of dextrose had just the opposite effect, with a product that had a better humidity retention and, in consequence, a better appearance and texture. The life time study of the pepperoni determined that the treatments evaluated guaranteed the safety of the product during 94 days at 26° C, as a result of the synergy effect of the acid-lactic bacteria metabolites that avoided the development of altering and pathogen microorganisms. Conclusion. The use of dextrose as a fermenting substratum for starter cultures was essential to control the acidification speed of pepperoni during the fermentation and thus avoid the rapid reduction of pH and the formation of sensory defects in the final product. This way, a sensory stability can be achieved for the product during storage at room temperature.
Key words: pepperoni, acid-lactic bacteria, maturation, curing.
Resumo
Introdução. A automatização dos processos na indústria cárnica, e a combinação entre cultivos de rápida fermentação e substratos fermentables que permitam elaborar produtos madurados secos de alta qualidade em curto tempo e com novas características sensoriais são os fatores a ter em conta para melhorar, estandarizar e diminuir o tempo de elaboração tradicional deste tipo de alimentos, permitindo às empresas cárnicas diversificar seus produtos e proporcionar ao consumidor alimentos com novos valores agregado. Objetivo. Demonstrar as vantagens de controlar os parâmetros de temperatura e umidade, em câmara de estufaje e a incorporação de diferentes dosificações de cultivo iniciador e dextrose nas etapas de fermentação, maturação, e na conservação do pepperoni. Materiais e métodos. Para avaliar o efeito das concentrações de dextrose e cultivos iniciadores sobre a maturação do pepperoni, avaliaram-se 4 combinações entre as concentrações 0.03% e 0.05% do cultivo Bactoferm LHP, e 0.5% e 1% de dextrose. A fermentação e maturação se realizou em condições controladas de umidade e temperatura. O tempo de vida útil foi avaliado num período de 100 dias, analisando as características fisicoquímicas, microbiológicas e sensoriais do alimento cada 30 dias, durante o armazenamento a temperatura ambiente. Resultados. As principais diferenças encontradas, durante o armazenamento, nos pepperoni com percentagens maiores de 0,5 de dextrose, foi a aparição de defeitos no produto final como cores marrons, sabor ácido e gorduroso nos produtos finais. Pelo contrário, concentrações de 0,03% de cultivo starter e 0,5% de dextrose permitiram obter produtos com maior retenção de umidade, melhorando a aparência e textura do produto. O estudo de vida útil do pepperoni determinou que os tratamentos avaliados garantiram a inocuidad do produto por 94 dias a 26° C, como resultado do efeito sinérgico dos metabólitos das bactérias ácido-lácticas, que evitaram o desenvolvimento de microorganismos alterantes e patogênicos. Conclusão. A utilização de dextrose como substrato fermentable para os cultivos iniciadores foi essencial para controlar a velocidade de acidificación do pepperoni durante a fermentação, e evitar assim o rápido descenso do PH e a formação de defeitos sensoriais no produto final; desta maneira, consegue-se a estabilidade sensorial do produto em condições de armazenamento ao ambiente.
Palavras importantes: pepperoni, bactérias ácido-lácticas, maturação, estufagem.
Introducción
En la actualidad el consumo de carne en Colombia está en 15 kilos de carne por habitante al año. La baja producción obedece a sistemas rudimentarios de manejo agrícola, a los altos costos de los insumos, y al manejo incorrecto de la carne en las plantas de beneficios, que resulta en la producción de productos de baja calidad1.
En búsqueda de una solución la industria cárnica, uno de los sectores más importantes de la industria alimentaria del país, ha optado por diversificar sus productos con la elaboración dederivados cárnicos madurados (pepperoni, salami, entre otros)2. Estos productos se caracterizan porque se consumen crudos, se conservan sin necesidad de refrigeración y tienen un tiempo de vida útil muy largo. Además, poseen unas cualidades organolépticas muy apreciables, entre las que destacan su color rojo, consistencia, aroma y sabor típicos, apreciados por los consumidores actuales que buscan nuevos atributos sensoriales3.
Durante la elaboración del Pepperoni, diferentes factores se deben tener en cuenta para obtener productos de alta calidad. Entre los principales factores, encontramos la temperatura y humedad durante la fermentación y secado del madurado, la concentración de las bacterias ácido-lácticas, el porcentaje de los sustratos fermentables (carbohidratos), la relación del diámetro del producto con el tiempo de maduración, la permeabilidad de las fundas artificiales y tripas naturales, y la aplicación de la teoría de obstáculos de Leistner, que especifica que para garantizar la inocuidad de estos tipos de productos en condiciones ambientales evitando las alteraciones por la pérdida de la cadena de frío, se deben controlarla concentración de sal, la presencia de nitritos, la actividad del agua, la disminución de potencial redox y la acumulación de metabolitos microbianos4.
Por lo tanto, se hace necesaria la automatización de los procesos, la utilización de empaques funcionales y la incorporación de técnicas para la aplicación de ingredientes funcionales que permitan desarrollar productos cárnicos madurados de alta calidad, en tiempos cortos y con nuevas características organolépticas que sean más atractivas.
Los ensayos realizados para determinar el efecto de las concentraciones de dextrosa y cultivos de bacterias ácido-lácticas en la maduración y vida útil sensorial del pepperoni fueron llevados a cabo en la Fundación INTAL, ubicada en el municipio de Itagüí del departamento de Antioquia, Colombia. La Fundación INTAL es un instituto sin ánimo de lucro que se desempeña en las investigaciones en el área de alimentos, empaque, tecnologías de conservación y tecnologías emergentes, con el fin de satisfacer las necesidades del sector agro-industrial a escalas regional y nacional.
Materiales y métodos
Para el desarrollo de este estudio se utilizó la carne de las paletas o brazuelos y tocino de cerdo como materia prima. La caracterización inicial de la materia prima, para determinar la calidad del producto antes de ser sometida a maduración, consistió en realizar los análisis fisicoquímicos y microbiológicos para productos cárnicos crudos, según lo establece el Instituto Nacional de Vigilancia de Medicamentos y Alimentos5.
Elaboración de pepperoni. Estudio del efecto del material y diámetro de la tripa en la maduración controlada de pepperoni
Se separaron el tejido conjuntivo y otros tejidos indeseables en la carne y tocino de cerdo, y las muestras fueron congeladas (- 18 ± 1 °C) por 24 horas. Para la elaboración de los madurados se utilizaron 73,85% de magro de cerdo, y 22,42 % de tocino. La carne se picó en cutter (Cutter-MAINCA) hasta tamaño 1 cm de diámetro aproximadamente, mientras se adicionaba el cultivo de bacterias ácido-lácticas (BactofermTM LHP) reconstituido en agua, sales, nitratos, condimentos, y dextrosa. Luego fue adicionado el tocino, y mezclado hasta obtener una distribución homogénea de 1-2 mm de diámetro.
La mezcla fue embutida (MAINCA EM30) en fundas de celulosa (2.5) y de colágeno de res (Coria 26 y 30), suministradas por la empresa ALICO S.A. Luego, los embutidos fueron colgados en la cámara de estufaje (COMERSA), donde se maduraron a 24-20 °C y 90 - 80% de HR por 4 días, hasta el final del período a 18 °C y 75% de HR, hasta merma final de 38%.
Una vez finalizada la maduración, los pepperoni fueron tajados (CI TALSA RB300 1/3HP) en rebanadas de 3 mm de espesor, dispuestas en hileras de 10 y empacadas al vacío (KOMET Plus Vac 20).
Elaboración de Pepperoni, utilizando diferentes concentraciones de cultivos starter y dextrosa
Para evaluar el efecto de las concentraciones de dextrosa y cultivos iniciadores sobre la maduración del pepperoni, se evaluaron 4 combinaciones entre las concentraciones 0.03% y 0.05% del cultivo Bactoferm LHP, y 0.5% y 1% de dextrosa. El objetivo fue determinar la formación de las condiciones apropiadas para el crecimiento y desarrollo del metabolismo de las bacterias ácido-lácticas en bajas concentraciones (0,5% - 1% es la concentración recomendada para la elaboración tradicional de pepperoni según Ricke y Keeton6, dependiendo de la disponibilidad de la fuente de carbono (dextrosa) sobre los procesos fermentativos y de maduración de los microorganismos en estos productos cárnicos.
La elaboración del pepperoni se realizó, como se describe en el numeral 1.3., utilizando la funda que mejores características mecánicas y de secado proporcionó en el ensayo preliminar. Se elaboraron 4 lotes, cada uno con 6 embutidos. El ciclo de fermentación y maduración consistió en colocar los embutidos a 35°C ± 2 °C a 95% de humedad, hasta que los valores de pH llegarán a 4,8. Luego la temperatura se disminuía a 14°C ± 2 °C con 84% - 90% por 2 días, entre 80% y 88% por 3 días; la humedad fue disminuida gradualmente, para evitar la formación de costras, al 70% hasta merma de 30%. Las formulaciones para los lotes de 7 kg de pepperoni se resumen en la tabla 1.

Evaluación de la vida útil del pepperoni en los 4 tratamientos
Para determinar la estabilidad del productos durante la fermentación, secado y almacenamiento, se realizaron los análisis microbiológicos y fisicoquímicos, especificados por el Instituto Colombiano de Normas Técnicas en la NTC 1325 para productos cárnicos procesados no enlatados7; y también el análisis sensorial para las muestras almacenadas. El tiempo de vida útil evaluado fue de 100 días, estableciendo los parámetros críticos para definir la estabilidad del producto durante el almacenamiento del pepperoni a temperatura ambiente.
Los análisis fisicoquímicos realizados al pepperoni fueron pH por potenciometría (IQ Scientific Instruments) en una muestra triturada y homogeneizada del pepperoni. La actividad de agua se determinó utilizando un higrómetro (AQUALAB-DECAGON Devices). La acidez titulable, expresada en porcentaje de ácido láctico (Bureta SCHOTT Instruments), consistió en homogeneizar 1 g de carne con 100 mL agua destilada, y se tituló con NaOH 0,1 N hasta pH 8, utilizando como indicador de pH fenolftaleína; a partir de esta solución, se determinó el porcentaje de cloruro de sodio por el método de Mohr4.
El porcentaje de humedad fue analizado por gravimetría en una lámpara de humedad halógena (OHAUS). La grasa cruda se calculó por el método de Soxhlet especificado en la AOAC 985.15. La determinación de cenizas se realizó mediante la pérdida de peso de la materia fresca, después de la incineración a 550°C en una mufa según el método AOAC 920.181. El análisis de proteína cruda se realizó por el método de Kjeldall, AOAC 928.08, 1998, y la determinación de nitritos por el método AOAC 973.31.
La evaluación de la calidad microbiológica consistió en homogeneizar 11 g (Balanza BOECO) de pepperoni en 99 ml de agua peptona estéril (0,1%), en un Stomacher (MIX 2-AES), a partir de la cual se realizaron diluciones seriadas decimales hasta 10-3. Los análisis microbiológicos realizados fueron la determinación de coliformes fecales y totales (NMP), recuento de Staphylococcusaureuscoagulasa positiva, recuento de esporas de clostridios sulfto-reductores y detección de Salmonellasp en 25g7. Para el análisis de los atributos sensoriales de los cuatro tratamientos y la determinación de la vida útil sensorial de los pepperoni durante el almacenamiento, se realizaron pruebas descriptivas y cuantitativas descritas en las normativa colombiana NTC 5328 y 3932 con un panel de 5 jueces entrenados, quienes evaluaron los atributos más relevantes que se percibieran en los pepperoni de los diferentes tratamientos. Las muestras de pepperoni eran servidas directamente del empaque, y se utilizó agua como neutralizante. Los descriptores analizados correspondieron a color, olor/aroma característico, olor/aroma objetable, sabor característico cárnico, sabor salado, sabor ácido, sabor objetable, sabor graso, humedad, masticabilidad y sensación grasa, en una escala de 0 a 7, donde 0 es ausencia, 1 y 2 leve, 3 y 4 moderado 5, 6 y 7 intenso. La calidad general del producto se evaluó como alta, media y/o baja.
Los datos fueron analizados gráfica y estadísticamente con el software StatgraphicsCenturion© XV para Windows, por medio de un análisis de varianza multifactorial con ANOVA, utilizando como parámetro los resultados fisicoquímicos, microbiológicos y sensoriales durante la maduración y almacenamiento del pepperoni.
Los criterios que se establecieron para definir el final de la vida útil de los pepperoni se basaron en los resultados del análisis sensorial, que determinaron la aparición de atributos indeseables y objetables para este tipo de productos madurados secos.
Resultados y discusión
Caracterización de la carne
Los resultados de los parámetros fisicoquímicos y microbiológicos de la carne estuvieron dentro del rango estipulado por la normativa para este tipo de alimentos, es decir, que la carne se encontraba en condiciones óptimas para ser sometida al proceso de maduración. Los valores de pH y acidez, y la ausencia de microorganismos alterantes y patógenos proporcionaron las condiciones ideales para el desarrollo de las bacterias ácido-lácticas, permitiendo que estas bacterias proliferaran y desarrollaran su metabolismo fermentativo sin ofrecer una barrera de inhibición para el cultivo iniciador. Los resultados se resumen en la tabla 2.

Ensayo preliminar de la elaboración del pepperoni con tripas de diferentes materiales y diámetros
En la figura 1 se muestran los resultados de los análisis fisicoquímicos del pepperoni embutido en tres materiales de tripa con diferentes diámetros. Como se puede observar en la gráfica, los resultados no muestran diferencias significativas (p <0,05) entre un material y otro, de las 3 tripas utilizadas. La tripa que proporcionó una mejor maduración fue la fibrosa 2.5, ya que este tipo de tripas, fabricadas de papel recubierto de celulosa regenerada8, son membranas muy permeables que proporcionan baja barrera a la humedad (permiten la pérdida de peso del embutido), y baja barrera al aire (permeable al oxígeno y respirable), propiedades que permitieron la formación de piel, una buena tasa de acidificación, intercambio de gases, y por lo tanto un secado rápido pero homogéneo en el pepperoni, obteniendo un producto de alta calidad con respecto a los pepperoni embutidos en tripas corias. Las tripas corias, a base de colágeno de res, exhiben una barrera moderada a la humedad, lo que no permite la pérdida de peso y el secado del embutido. Este tipo de tripas son más adecuadas para productos como el chorizo, la salchicha, la morcilla, entre otros productos cárnicos procesados no madurados.

Efectos de la concentración de dextrosa y cultivos starter durante la maduración del pepperoni
En la figura 2 se encuentran los resultados de los análisis fisicoquímicos más importantes de las 4 formulaciones de pepperoni durante la maduración, empleando como factor principal el tiempo transcurrido en esta etapa. La evolución global de la actividad de agua tuvo un comportamiento normal y de descenso gradual durante la maduración del pepperoni, alcanzando valores entre 0.86-0.93 de Aw en el producto final. Este descenso gradual es el resultado de la desecación del producto por el aumento de las concentraciones de cloruro de sodio en el pepperoni durante la maduración. Al utilizar concentraciones de 1% de dextrosa y 0,05% de cultivo iniciador (formulación 4) el descenso de los valores de pH es más rápido durante la fermentación, en comparación con los embutidos con concentraciones de dextrosa de 0,5% (formulaciones 1 y 3). El descenso del pH en los pepperoni de las formulaciones 1 y 3 se mantiene controlado durante la maduración, ya que las concentraciones bajas de dextrosa, de menor asimilación metabólica, permiten que el sustrato sea asimilado de forma más controlada regulando la velocidad de acidificación del embutido cárnico durante la maduración, sin llegar a descender el pH de forma abrupta y originar defectos en la calidad del producto9.

Aumentar la concentración de cultivo iniciador y dextrosa (formulación 4 0,05% cultivo y 1% dextrosa) origina una caída más rápida del pH lo que se ve reflejado en la aparición de colores y sabores objetables del producto final (figura 5). El ligero aumento de pH desde el día 12 (figura 2) en las 4 formulaciones de pepperoni es provocado por la fracción de nitrógeno no proteico junto con el amoniaco procedente del metabolismo microbiano de los aminoácidos4.
El aumento de las concentraciones de cloruro de sodio en los pepperoni de las 4 formulaciones es el resultado de la disociación de la sal con el agua disminuyendo los valores de Aw durante la maduración; este proceso se ve aumentado por la disminución del pH hasta valores entre 5 y 4,5 pH isoeléctrico de las proteínas cárnicas. Esto reduce la capacidad de retención de agua por la masa, facilitando el secado, además de promover la coagulación de las proteínas cárnicas, que aporta firmeza al producto final4, 9.
Como se puede observar en la figura 2, el aumento de la tasa de acidificación suele ir acompañado por una rápida tasa de crecimiento de los cultivos iniciadores. Sin embargo, a pesar de una tasa de crecimiento sin cambios específicos (figura 3 a y b), se concluye que la energía adicional resultante de la fermentación directa del azúcar se utiliza para otras funciones del crecimiento microbiano10.

La deshidratación es un requisito esencial para conseguir la firmeza final del pepperoni embutida. Tras la fermentación, la masa coagulada es todavía inestable y está debilitada por una capa intermedia de moléculas de agua. Para lograr la firmeza final de la masa las moléculas de agua inmovilizadas que ocupan los espacios entre los agregados de proteínas deben liberarse11. Esto se consigue con una deshidratación continua mediante el ajuste y control de las condiciones de secado en la cámara de estufaje durante la maduración del pepperoni.
Efectos de la concentración del cultivos starter y dextrosa durante el almacenamiento del pepperoni y vida útil sensorial
La variabilidad del Aw de los tratamientos durante los primeros días de almacenamiento podría explicarse por las diferencias en el pH. Disminución en el pH gradualmente disminuye la retención de agua, induciendo la agregación de las proteínas que conducen a la formación de una red de proteínas ordenada, contribuyendo a la firmeza12, 13.
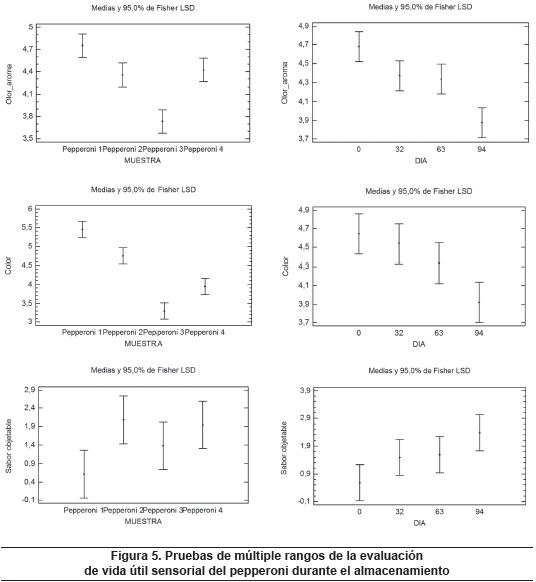
El incremento del nitrógeno no proteico (figura 4) contribuye, aparte de aumento del sabor y aroma del producto final, a su desecación pues acelera la pérdida de agua, disminuyendo los valores de Aw4, 14. El aumento del pH en las 4 formulaciones de pepperoni durante el almacenamiento al día 32 se ve afectado también por el aumento de la concentración de nitritos durante el almacenamiento a partir del día 32. En la figura 5 se encuentran los resultados de la evaluación de la vida útil sensorial de las 4 formulaciones de pepperoni durante el almacenamiento, tomando en cuenta los parámetros sensoriales críticos de estos productos cárnicos madurados.


El color característico se mantiene hasta el día 94 de estudio de las diferentes formulaciones, ya que a pH inferiores a 5,0 se produce la reducción de los nitritos a óxido nítrico, por la acción de los microorganismos reductores presentes en el cultivo iniciador, actividad favorecida por la presencia de moléculas reductoras en el medio acidificado. Posteriormente el óxido nítrico se une a la mioglobina formando la nitroso-mioglobina o nitrosil-mioglobina que constituye el pigmento característico del curado4. Este pigmento es más estable que la mioglobina original, pero aún conserva gran parte de su reactividad, por lo que es fácil que sufra reacciones de oxidación que lo transforman en metamioglobina confiriendo un indeseable color marrón14. Este color marrón se detecta para el día 94 durante la finalización del almacenamiento, siendo más perceptible en los pepperoni de la formulaciones 3 y 4.
La formación de aroma y olores característicos, originados durante la fermentación de las dextrinas y por la lipólisis de las bacterias ácido-lácticas sobre los ácidos grasos libres, genera diversas reacciones oxidativas que conducen a la aparición de sustancias volátiles y no volátiles que contribuyen al sabor y aroma del embutido; estos atributos son más apreciables en los pepperoni de la formulación 1 (cultivo 0,03% y dextrosa 0,5%).
Los sabores objetables (figura 5), como sabores ácidos y grasos, son apreciados por los panelistas a partir del día 90 de evaluación, siendo mayor en los pepperoni con la concentraciones del 1% de dextrosa (formulaciones 2 y 4), como resultado del descenso rápido del pH durante la fermentación del pepperoni.
La calidad microbiológica de los pepperoni (tabla 3) durante la fermentación y la maduración del embutido demostró la ausencia de microorganismos alterantes y patógenos. El control del crecimiento de estos microorganismos es el efecto principal de la actividad sinérgica de los productos metabólicos del cultivo iniciador; los productos finales de la fermentación de las bacterias ácido-lácticas son los ácidos orgánicos, el peróxido de hidrógeno, el dióxido de carbono, las aminas biógenas y las bacteriocinas4. Esto, junto con la disminución del pH, el aumento de acidez, la presencia de nitritos y cloruro de sodio, y el bajo contenido de agua por la desecación controlada del pepperoni, convierten al pepperoni en un sistema con capacidad de evitar el deterioro por microorganismos alterantes y patógenos, además de darle una consistencia adecuada13.

Conclusiones
La maduración es un proceso que permite la conservación de diferentes alimentos, entre ellos, los productos cárnicos. Este proceso evita el desarrollo de microorganismos que puedan alterar las características del producto (descomposición y putrefacción), como resultado de su metabolismo, y el desarrollo de microorganismos patógenos, que puedan afectar la salud del consumidor. Por lo tanto, el proceso de maduración les confiere a los embutidos un sistema de conservación natural, gracias al desarrollo de bacterias ácido-lácticas. Esto permite que las industrias cárnicas diversifiquen sus productos, para aquellos consumidores en búsqueda de nuevos y apetecibles atributos sensoriales.
La utilización de dextrosa como sustrato fermentable para los cultivos iniciadores fue esencial para controlar la velocidad de acidificación del pepperoni durante la fermentación, evitando así el rápido descenso del pH y la formación de defectos sensoriales en el producto final. La combinación entre concentraciones de 0,5% de dextrosa, y 0,03% y 0,05 de cultivo iniciador permitió obtener productos cárnicos madurados de alta calidad, con aromas y sabores característicos. Por el contrario, concentraciones de 1% de dextrosa originaron el desarrollo de colores marrones, y sabores ácidos y grasos indeseables en el pepperoni durante el almacenamiento.
La deshidratación es un requisito esencial para conseguir la firmeza y calidad final del pepperoni. Tradicionalmente esta etapa ocupa un gran período de tiempo, pero la deshidratación continua, mediante el ajuste y control de las condiciones de secado en cámara de estufaje durante la maduración del pepperoni y la utilización de tripas fibrosas, permitió la formación de piel, una buena tasa de acidificación, intercambio de gases y, por lo tanto, un secado rápido pero homogéneo en el pepperoni.
La vida útil lograda en los pepperoni se estableció de acuerdo con la aparición de atributos sensoriales indeseables en el producto durante el almacenamiento, consiguiendo una vida útil de 94 días para el pepperoni en las 4 formulaciones.
Referencias bibliográficas
1. CASTRO, C. Entrevista de los límites y fortalezas del sistema de ganados y carnes en Colombia. Asociación Colombiana de Industriales de la Carne (ACINCA), 2005. [ Links ]
2. MATEOS, M. El uso de aditivos en la industria cárnica. Red Alimentaria, Soluciones estratégicas y comerciales, 2004. [ Links ]
3. GETTY, K. y CERVENY, J. Dry and Semi-Dry Fermented and Direct Acidified Sausage Validation. En Rev. American Meat Science Association, Vol. 11. pp.2-8. [ Links ]
4. JUAREZ, B. Estudio de las comunidades microbianas de embutido fermentados ligeramente acidificados mediante técnicas moleculares. Estandarización, seguridad y mejora tecnológica. Universidad de Girona. 2005. pp. 11-16. ISBN 84-689-3758-4. [ Links ]
5. HOLGUÍN, S. HIGUERA, M. RUBIO, B. VARGAS, M. MUÑOZ, A. DÍAZ G. Manual de técnicas de análisis para control de calidad micro-biológico de alimentos para consumo humano. Instituto Nacional de Vigilancia de medicamentos y Alimentos. INVIMA, 1998. [ Links ]
6. RICKE, S y KEETON, J. Fermented meat, poultry, and fish products. Food Microbiology: Fundamentals and Frontiers. Ed. 1st. Doyle, Beuchat, y Montville (Ed.), pp. 610-628. ASM Press, Washington, DC. 1997. [ Links ]
7. INSTITUTO COLOMBIANO DE NORMAS TÉCNICAS Y CERTIFICACIÓN. Productos cárnicos procesados no enlatados. 5 ed. Bogotá. ICONTEC, 2008. NTC 1325. pp. 1-38. [ Links ]
8. ALICO. Productos ahumados, tripa fibrosa: especificaciones técnicas. ALICO Colombia, 2009. [ Links ]
9. LÜCKE, F. Fermented sausages. Microbiology of fermented foods. Ed. Wood. Londo, United Kingdom. Blackie Academic and Professional. pp. 441-483. [ Links ]
10. LIEPE, H. Starter cultures in meat production. Rev. Biotechnology, 1983 Vol. 5. pp. 399-424. [ Links ]
11. CHANG, S.; HUANG, T.; PEARSON, A. Control of the dehydration process inproduction of intermediate-moisture meat products: a review. En Advances in food andnutrition research, 1996, Vol. 39. pp. 71-161. [ Links ]
12. ANSORENA, D. y ASTIASAR, I. 2004. The use of linseed oil improves nutritional quality of the lipid fraction of dry-fermented sausages. En Food Chemistry. pp. 69-74. [ Links ]
13. FREY, W. Fabricación fiable de embutidos. Zaragoza Editorial Acribia, S.A., 1983. [ Links ]
14. CALVO, M.; GARCÍA, M. y SELGAS, M. Dry fermented sausages enriched with lycopene from tomato peel. En Meat Science, Volume 80. pp. 167-172. [ Links ]












