SciELO - Scientific Electronic Library Online

 
vol.41 issue3Effects of Covid-19 on the Psychological Well-Being and Ill-Being of Migrant University StudentsEmotional Decision Making Negatively Affects the Effectiveness of Psychological First Aid, Irrespective the Rescuer’s Psychological Profile author indexsubject indexarticles search
Home Pagealphabetic serial listing  

Services on Demand

Journal

Article

Indicators

Related links

  • On index processCited by Google
  • Have no similar articlesSimilars in SciELO
  • On index processSimilars in Google

Share


Avances en Psicología Latinoamericana

Print version ISSN 1794-4724On-line version ISSN 2145-4515

Av. Psicol. Latinoam. vol.41 no.3 Bogotá Sep./Dec. 2023  Epub June 08, 2024

https://doi.org/10.12804/revistas.urosario.edu.co/apl/a.12725 

Artículos

Evidencias de validez de una escala para evaluar el ajuste a la vida universitaria

Evidence of Validity of a Scale to Assess College Adjustment

Evidências de validade de uma escala para avaliar a adaptação à vida universitária

Tania Elena Moreira-Mora1 
http://orcid.org/0000-0002-8955-0804

Adriana Mata-Salas1  * 
http://orcid.org/0000-0001-5896-3836

Laura Vanesa Pizarro-Aguilar1 
http://orcid.org/0000-0003-2738-8837

1 Departamento de Orientación y Psicología, Instituto Tecnológico de Costa Rica


Resumen

El propósito de la investigación fue desarrollar una escala para medir el proceso de ajuste a la vida universitaria. Este constructo multifactorial se basa en un modelo teórico de tres dimensiones: académica, social e institucional. La muestra principal estuvo conformada por 673 estudiantes: 42.1 % mujeres, 57.7 % hombres y 0.3 % otro, con un promedio de 18.29 años. En el primer análisis se encontraron evidencias asociadas al contenido de las dimensiones de la escala denominada AjusteU. En el análisis de validez convergente se halló una correlación de 0.582 a un nivel de significancia del 0.01 (bilateral) con el instrumento CAVU, otra medida del ajuste a la vida universitaria. En el tercer análisis se validó el planteamiento teórico con los datos empíricos mediante un modelo de ecuaciones estructurales. Finalmente, en el análisis predictivo se comprobó que la puntuación de la escala AjusteU se asoció significativamente con el rendimiento del primer período universitario. Se concluye que estas evidencias empíricas permiten un uso adecuado de los resultados, especialmente en la toma de decisiones oportunas para favorecer el proceso de transición de secundaria a la educación superior. La principal limitación fue la aplicación de la escala en modalidad remota en el contexto de pandemia, por lo que las experiencias del estudiantado podrían ser diferentes en un entorno presencial.

Palabras clave: ajuste escolar; validez; ambiente académico; ambiente social; ambiente institucional

Abstract

The purpose of the research was to develop a scale to measure college adjustment. The theorical model was based on three dimensions: academical, social and institutional. The principal sample was conformed for 673 students: 42.1 % women, 57.7 % men and 0.3 % other, with an average of 18.29 years old. In the first analysis were found evidence associated to the content of the dimensions of the scale denominated AjusteU. In the validity convergent analysis was found a correlation of 0.582 to a significance level of 0.01 (bilateral) with the instrument CAVU, other measure that is related to the adjustment process. In the third analysis, the theoretical approach was validated with empirical data using a structural equation model. Finally, in the predictive analysis was proved that the scoring of the scale AjusteU was associated significantly with the performance of the first period of college. The conclusion is that this empirical evidence allows an appropriate use of their results, specifically in the opportune decision making to favor the transition process from high school to higher education. The main limitation was the application of the scale in the remote modality in the pandemic context, therefore the experiences of the students might be different in an on-site experience.

Keywords: School adjustment; test validity; academic environment; social environment; college environment

Resumo

O objetivo da pesquisa foi desenvolver uma escala para medir o processo de adaptação à vida universitária. Este construto multifatorial é baseado em um modelo teórico de três dimensões: acadêmica, social e institucional. A amostra principal foi composta por 673 estudantes, sendo: 42.1 % mulheres, 57.7 % homens e 0.3 % outros, com idade média de 18.29 anos. Na primeira análise, foram encontradas evidências associadas ao conteúdo das dimensões da escala denominada AjusteU. Na análise de validade convergente, uma correlação de 0.582 foi encontrada em um nível de significância de 0.01 (bilateral) com o instrumento CAvu, outra medida de adaptação à vida universitária. Na terceira análise, a abordagem teórica foi validada com dados empíricos usando um modelo de equações estruturais. Por fim, na análise preditiva verificou-se que a pontuação da escala AjusteU esteve significativamente associada ao desempenho do primeiro período universitário. Conclui-se que estas evidências empíricas permitem uma utilização adequada dos resultados, sobretudo na tomada de decisões oportunas que favoreçam o processo de transição do ensino médio para o superior. A principal limitação do estudo foi a aplicação da escala de forma remota no contexto de pandemia, de modo que as experiências do corpo discente poderiam ser diferentes em um ambiente presencial.

Palavras-chave: adaptação escolar; validade; ambiente acadêmico; ambiente social; ambiente institucional

El ajuste a la vida universitaria es un proceso complejo y crítico en el desarrollo psicosocial (Soares et al., 2007), que enfrenta al estudiantado al reto de adaptarse a un entorno nuevo (Duche et al., 2020), lleno de dudas, decisiones, expectativas y exigencias (Gairín et al., 2009). Representa, además, un factor clave para la permanencia estudiantil (Tinto, 1975), que podría estar asociado a mayores índices de deserción durante el primer año (Figuera & Torrado, 2012) y a problemas académicos, de adaptación social e institucional (Rodríguez-Ayan & Sotelo, 2014).

En el presente estudio el proceso de ajuste a la vida universitaria se analiza como un constructo multifactorial, específicamente en la literatura se han estudiado varias dimensiones, entre estas la académica, social e institucional. En la dimensión académica se han identificado dificultades tales como las exigencias de una mayor autonomía, una adaptación a los nuevos mecanismos de evaluación y la cantidad de contenidos de planes de estudio (Gairín et al., 2009).

Una mayor carga académica y el ingreso a un contexto totalmente diferente y diverso a la secundaria (Duche et al., 2020) pueden implicar un alto grado de exigencia e incertidumbre para la población estudiantil (Gairín et al., 2009). Estos nuevos retos se encuentran permeados por factores como la motivación (Figuera & Torrado, 2012), la autoeficacia (Van Rooij et al., 2018) y la autorregulación (Van Rooij et al., 2018; García-Ros & Pérez-González, 2011).

En el ámbito social las investigaciones han reportado que el estudiantado experimenta vulnerabilidad ante una menor protección familiar (Velasco & Benito, 2011) y se enfrenta al complejo desafío de generar y mantener nuevos soportes sociales con sus pares y el personal de la universidad (Wilcox et al., 2005). En esta línea, la construcción de redes sociales entre pares es uno de los factores protectores significativos para alcanzar una adaptación adecuada a la universidad y favorecer la permanencia estudiantil (Molina, 2015; Arrieta, 2018), ya que influye en el sentido de pertenencia y en la motivación para alcanzar sus metas (Figuera et al., 2003).

Además, se ha identificado la importancia del apoyo familiar como variable protectora, por cuanto brinda soporte y confianza al estudiantado ante los retos que la universidad les presenta (Figuera & Torrado, 2012), convirtiéndose en un elemento clave para motivar el ingreso a la educación superior (Ortiz et al., 2013) y disminuir el abandono (Arrieta, 2018).

En la dimensión institucional se ha comprobado que el apoyo docente a la autonomía del estudiante predice la motivación (Moreno-Murcia et al., 2015; Hernández et al., 2015). Adicionalmente, la realización de actividades extracurriculares altamente estructuradas se ha asociado con un mejor ajuste a la universidad, por cuanto brindan una experiencia de alta calidad a la población estudiantil (Tieu et al., 2010), así como las estrategias institucionales dirigidas a la población de primer ingreso, como programas de mentoría entre pares (Mata-Salas, 2018).

Proceso de ajuste a la vida universitaria como constructo multifactorial

La construcción de la escala AjusteU se fundamenta en un modelo teórico de tres dimensiones: académica, social e institucional. Específicamente, vida académica es delimitada en cuatro indicadores: gestión del tiempo, regulación metacognitiva, metas de aprendizaje y metas de rendimiento.

La gestión del tiempo supone el establecimiento y regulación de metas (Umerenkova et al., 2017) e implica procesos de planificación, establecimiento de espacios temporales para el estudio, utilización de herramientas para la gestión eficaz del tiempo y la percepción del control del tiempo de estudio (García-Ros & Pérez-González, 2011).

En este proceso, según destacan García-Ros y Pérez-González (2011), la regulación metacognitiva contribuye con la planificación (establecimiento de objetivos, análisis de tareas), monitorización (autoevaluación periódica y desarrollo de autoexplicaciones) y regulación (ajuste continuo de actividades). Así mismo, la autorregulación en el manejo del tiempo académico se ha considerado como un factor determinante para medir la autonomía en el estudiantado, dado que requiere de una tarea reflexionada y planificada que implica responsabilidad (Durán-Aponte & Pujol, 2013).

Igualmente, el ajuste a la vida académica se ve permeado por variables de tipo psicológico, como las expectativas de resultados y la motivación (Figuera et al., 2003). En el ámbito de la motivación, la teoría orientada a la meta brinda importantes aportes en relación con la motivación de logro y el aprendizaje autorregulado. Dentro de esta teoría se plantean dos tipos de metas: las sociales y las académicas; para el presente estudio se consideraron dos metas académicas: de aprendizaje y de rendimiento (De la Fuente, 2004).

Las metas de aprendizaje orientan al estudiantado hacia un aprendizaje caracterizado por la satisfacción por el dominio y realización de la tarea (Lozano et al., 2005) y están referidas a una motivación de tipo intrínseca, a partir de la satisfacción inherente a la ejecución de la propia tarea (Naipe et al., 2017). En tanto que las metas de rendimiento implican en el estudiantado la búsqueda de juicios positivos acerca de su competencia y habilidades (Lozano et al., 2005) y parten de estrategias motivacionales más extrínsecas, vinculadas con estímulos o reconocimientos externos (Naipe et al., 2017).

Por otro lado, en vida social el estudiantado enfrenta retos en su interacción con un nuevo entorno, cobrando relevancia el apoyo social que suele entenderse a partir de la percepción que tienen las personas sobre la existencia de recursos sociales a su alcance (Gottlieb & Bergen, 2010), concentrándose en lo que se denomina "apoyo social percibido", que puede describirse como "la valoración cognitiva de que existe una reunión de confianza con los otros, con los que se puede contar en caso de necesidad" (Martínez-López et al., 2014, p. 102).

Desde el modelo de James House se plantean cuatro tipos de apoyo social, descritos por García-Martín et al. (2016): emocional (confianza, amor, empatía y cuidado), instrumental (intervenciones explícitas en términos de dinero, tiempo, etc.), informacional (sugerencias, consejos, guías) y valorativo (realimentación o información en términos de comparación social). Con base en este modelo se definieron los indicadores de apoyo de pares y de la familia.

El apoyo familiar se comprende como el apoyo percibido del estudiantado a partir de su interacción con el grupo familiar, incluyendo comprensión, escucha, motivación, consejos y ayuda económica. Mientras que el apoyo de pares apunta más hacia la percepción de los apoyos brindados por parte de sus amistades y grupos de clase, tales como comprensión, disponibilidad, valoración, escucha y el ofrecimiento de consejos para el ajuste a la vida universitaria.

En la vida institucional se incluyeron dos categorías: la relación docente-estudiante y el soporte institucional. La primera engloba la motivación y el apoyo para la resolución de dificultades, así como el estímulo al aprendizaje autónomo, que puede concretarse con acciones como tiempo dedicado a escuchar al estudiante, brindar expresiones de empatía, preguntar al estudiantado sobre lo que desean hacer, no utilizar lenguaje controlador o coercitivo (Fernández, 2007).

El soporte institucional se refiere al apoyo percibido por parte de la institución en relación con el proceso de ajuste, consiste en la percepción y satisfacción del estudiantado hacia esa institución que seleccionó para su educación superior (Gravini et al., 2021). Considera la participación en actividades extracurriculares y la relación que se desarrolla con los miembros de la facultad (Tinto, 1975), al igual que el sentido de pertenencia, entendido como el "sentimiento de arraigo e identificación de un individuo con un grupo o con un ambiente determinado" (Brea, 2014, p. 15), y que puede ser clave en el éxito académico y la vida universitaria (Ahn & Davis, 2020).

Medición del constructo

En lo que respecta a la medición del ajuste a la vida universitaria, uno de los instrumentos más utilizados es el Student Adaptation to College Questionnaire (SACQ) de Baker y Siryk (Credé & Niehorster, 2012). Este cuestionario, en su versión ampliada creada por Baker, Mcniel y Siryk en 1985, contiene 67 ítems que evalúan cuatro dimensiones: académica, social, personal/ emocional e institucional (Rodríguez-Ayan & Sotelo, 2014).

El SACQ ha sido ampliamente utilizado y ha generado múltiples análisis teóricos (Rodríguez-Ayan & Sotelo, 2014), por lo que, a pesar de las críticas en relación con su estructura interna y la falta de un modelo teórico de base, se ha logrado posicionar como una de las herramientas con mayor potencial en relación con la detección temprana del riesgo de deserción (Domínguez-Lara et al., 2021).

Sin embargo, existen pocos instrumentos que permitan medir de manera estandarizada este constructo en América Latina (Gravini et al., 2021). Uno de ellos es el Cuestionario de Adaptación a la Vida Universitaria (CAVU) (Rodríguez-Ayan & Sotelo, 2014), el cual se basa en el SACQ y consta de 11 ítems enfocados en tres dimensiones: académica, social e institucional.

A este instrumento se le cuestiona la sobreestimación de la magnitud de las cargas factoriales, la confiabilidad relativamente baja en 2 de sus 3 dimensiones (Domínguez-Lara et al., 2021), así como el procedimiento exploratorio utilizado en su construcción (análisis de componentes principales), lo que debate su uso potencial en contextos universitarios (Gravini et al., 2021).

Tomando en cuenta que el SACQ fue construido hace aproximadamente 40 años, que las versiones completas para su aplicación no se encuentran disponibles de manera gratuita y que adaptaciones como el CAVU han recibido críticas en torno a su proceso metodológico de construcción, se considera relevante desarrollar otros instrumentos de medición del constructo de acceso abierto y gratuito, que cuenten con evidencias de validez para un uso adecuado de sus resultados en población universitaria en contextos latinoamericanos. Al respecto, O'Donnell et al. (2018) destacan que el SACQ ha sido muy valioso en la investigación y ha demostrado su utilidad clínica, no obstante, es importante desarrollar instrumentos más cortos y accesibles para mejorar la evaluación del ajuste universitario.

Método

Este es un estudio correlacional desarrollado en varias etapas con la finalidad de recolectar las evidencias de validez de la escala del modelo propuesto de ajuste a la vida universitaria, en el cual se implementaron diversas técnicas de recolección y análisis.

Consideraciones éticas

En nuestra universidad no se cuenta con un comité de ética, sin embargo, se cumplió con las normas éticas de la investigación. A las personas participantes se les brindó información de los objetivos del estudio y, en el consentimiento informado, incluido en la escala, se les comunicó que su participación no representaba ningún riesgo, ni físico, ni psicológico, ni legal, ni académico; además del carácter de confidencialidad del uso de los datos y la libertad de dejar de participar en cualquier momento.

Etapa 1: evidencias asociadas al contenido de la escala AjusteU

Esta etapa inició con una revisión bibliográfica para delimitar el referente conceptual de los ocho indicadores de la escala (denominada AjusteU). Posteriormente, se redacta un conjunto de ítems (65 en total) para medir las distintas percepciones y actitudes observables de esos indicadores. Para recolectar las primeras evidencias asociadas a la validez de contenido, se utilizó la técnica de jueces, el grupo focal y una aplicación piloto.

Técnica de jueces

La selección de los jueces se basó en el criterio de su formación profesional, específicamente expertos en psicología, orientación y docencia universitaria con experiencia en población de primer ingreso. En total participaron 10 jueces, quienes revisaron los 65 ítems mediante una guía elaborada para evaluar su relevancia con la definición conceptual de vida académica, social e institucional, según la tabla operativa de la escala del ajuste a la vida universitaria. Los jueces clasificaron los ítems en tres categorías: relevancia total (3), relevancia parcial (2) y sin relevancia (1). El criterio de estos expertos fue fundamental para el juzgamiento del dominio de contenido de los ítems de la escala.

Existen numerosos métodos para cuantificar el grado de acuerdo entre los jueces con respecto a la relevancia y pertinencia del contenido medido en un instrumento. En este estudio se utilizó el índice de validez de contenido (Content Validity Index, CVI). Conforme con Polit y Tatano (2006), para obtener el CVI de cada ítem la escala ordinal de 3 o 4 se divide en relevante y no relevante, y luego se divide por el número total de expertos.

Por ejemplo, un ítem que fue calificado como bastante o muy relevante por 4 de 5 jueces tendría un CVI de 0.80. Según estos autores, una preocupación sobre el CVI es que, al ser un índice que expresa la proporción de acuerdo entre jueces, puede inflarse por factores aleatorios, por lo que se asume en este estudio la recomendación de aumentar el número de jueces a 6 o más.

Estudio piloto

En este estudio la escala AjusteU fue aplicada a una muestra intencionada de estudiantes de Integratec, programa institucional de mentoría de pares y de liderazgo universitario del Instituto Tecnológico de Costa Rica (TEC), que, por sus características, resultó ser una muestra apropiada para esta etapa de validación. En particular, los criterios de selección fueron: provenir de carreras impartidas en los distintos campus y centros universitarios; además, por recibir una capacitación sobre temas relacionados con la vida universitaria y por su sensibilidad y conocimiento del proceso de ajuste.

La escala fue enviada a una muestra intencionada de 70 mentores y aceptaron participar 47: 51 % mujeres y 49 % varones, quienes provenían de las siete provincias de Costa Rica, aunque el 62 % eran de San José y Cartago. Esta aplicación piloto permitió la verificación de la calidad psicométrica de los ítems y del procedimiento, al igual que la orientación en la toma de decisiones sobre la aceptación o rechazo de los ítems que conformarían la escala AjusteU para la aplicación principal.

Grupo focal

Para realizar esta técnica se escogieron 12 estudiantes, quienes habían participado en la aplicación piloto, de los cuales 6 confirmaron su participación y aceptaron los términos del consentimiento informado. Entre los criterios de selección se consideró a quienes estudiaban en distintas carreras y campus, residían en diferentes provincias y obtuvieron diferentes puntuaciones (altas, intermedias y bajas) en la escala AjusteU. Como lo destacan Bonilla-Jiménez y Escobar (2009), esta técnica trata de explorar experiencias compartidas de un grupo homogéneo, sin embargo, "la heterogeneidad puede ser ventajosa porque facilita la profundización con base en diferentes perspectivas del problema" (p. 65).

La técnica tuvo una duración de 90 minutos y con preguntas abiertas se guio la discusión sobre aspectos generales del formato de la escala, experiencias, apoyos y retos durante su primer año en la universidad. La información recolectada fue relevante para identificar ambigüedades en la redacción de algunos ítems y comprobar la comprensión de las instrucciones y del contenido.

Etapa 2: evidencias asociadas a la validez convergente

Para obtener las evidencias asociadas a la validez convergente, se estimó el coeficiente de correlación de Pearson (r) entre la puntuación total de la escala AjusteU y otra medida que está teóricamente relacionada con el proceso de adaptación a la vida universitaria. Si las correlaciones entre ambas medidas resultan positivas, es un indicador fiable de que los instrumentos miden el mismo constructo con distintos modelos de medida.

En particular, para hacer el análisis convergente se aplicó el CAVU de Rodríguez-Ayan y Sotelo (2014). La selección del CAVU se justifica por estar fundamentado en el SACQ; por evaluar tres dimensiones: académica, social e institucional, las cuales coinciden con las dimensiones del objeto de esta investigación; por sus propiedades psico-métricas (evidencias de una estructura trifactorial con un adecuado porcentaje varianza explicada del 55.4 %); por ser un cuestionario corto de 11 ítems; y por estar diseñada para estudiantes de una universidad pública.

Para la recolección de datos del CAVU, se envió el formulario a la población de 2024 estudiantes de primer ingreso. En total participaron de manera voluntaria 383 estudiantes (201 hombres, 178 mujeres, 1 intersexual y 3 otro), con un promedio de 18.4 años de edad. El 77 % estudiaba en el campus central de Cartago y el 23 %, en los otros. El coeficiente de confiabilidad fue de 0.795 y los 11 ítems mostraron índices de discriminación superiores a 0.35; por lo tanto, este cuestionario fue aceptable para estimar el análisis convergente.

Etapa 3: evidencias de constructo mediante un modelo de ecuaciones estructurales

En esta etapa se estima el efecto y las relaciones de los factores con el constructo de ajuste a la vida universitaria mediante un modelo de ecuaciones estructurales (Structural Equation Models, SEM). La estimación del modelo comienza con la formulación de la teoría que lo sustenta, según lo descrito en la primera etapa de esta investigación.

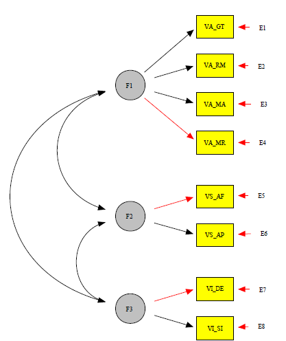
Para Ruiz et al. (2010), este modelo teórico debe especificar las relaciones que se espera encontrar entre las variables y lo normal es formular el modelo en formato gráfico, a partir de ahí es fácil identificar las ecuaciones y los parámetros. En el caso de esta investigación, el diagrama para especificar el modelo de medida del constructo se ilustra en la figura 1.

Fuente: elaboración de los autores.

Figura 1 Modelo de segundo orden reflexivo del constructo ajuste a la vida universitaria 

En la que se tiene:

F1 vida académica (VA): gestión del tiempo (GT: 5 ítems), regulación metacognitiva (RM: 5 ítems), metas académicas (MA: 3 ítems) y metas de rendimiento (MR: 3 ítems)

F2 vida social (VS): apoyo familiar (AF: 6 ítems) y apoyo de pares (AP: 8 ítems)

F3 vida institucional (VI): relación docente-estudiante (DE: 3 ítems) y soporte institucional (SI: 4 ítems)

Según Ruiz et al. (2010), el modelo de medida contiene la manera en que cada constructo latente está medido mediante sus indicadores observables, los errores que afectan a las mediciones y las relaciones que se espera encontrar entre los factores cuando están relacionados entre sí. Para estos autores, una vez formulado el modelo, cada parámetro debe estar correctamente identificado.

Por ello, se usó la estrategia de utilizar al menos tres indicadores e igualar la métrica de cada variable latente con uno de sus indicadores, lo que se consigue fijando arbitrariamente al valor 1 el peso de uno de los indicadores (Cea-D'Ancona, 2002). En el caso de este modelo se incluyeron ocho indicadores para el constructo.

Para la recolección de datos se envió en marzo de 2022 la escala AjusteU a la población de 2024 estudiantes de primer ingreso. El formulario fue respondido por 742 estudiantes, de los cuales 69 no aceptaron participar en la investigación, según lo indicado en el consentimiento informado. La muestra quedó conformada por 673 estudiantes: 42.1 % mujeres, 57.7 % hombres y 0,3 % otro, con un promedio de edad de 18.29 años. Además, el 83.1 % ingresaba al TEC como su primera universidad y el 16.9 % provenía de otra institución de educación superior; el 80.6 % estudiaba en el campus central y los restantes en centros y campus locales.

En el modelo se aplicó el método de máxima verosimilitud y luego se comprobó su ajuste de acuerdo con los índices de ajuste global, de parsimonia y comparativos. Para una descripción más detallada de este procedimiento, se recomienda consultar a Escobedo et al. (2016), quienes apuntan que el software EQS (abreviatura de Equations), creado por Bentler, ha tenido gran aceptación en este tipo de estudios.

Etapa 4: evidencias asociadas a la validez predictiva

En esta última etapa se efectuó un análisis predictivo mediante un modelo de regresión lineal simple usando el programa IBM SPSS 19 ( IBM Corporation, 2010), en el que se incluyó la variable predictora, sumatoria de los ítems de la escala, y el criterio estimado como un promedio simple de las notas del primer semestre de 2022 del estudiantado de primer ingreso del TEC. El modelo que se busca probar es el siguiente:

Y: es la variable respuesta, el promedio del primer período universitario de 2022.

ß o : es la intersección que determina el valor de Y cuando X es cero.

B 1 : es la pendiente que determina la cantidad en la que cambia Y cuando X se incrementa en una unidad.

X: es la variable explicativa del modelo: puntuación total de la escala AjusteU.

ε i : componente de error aleatorio.

Para la estimación del modelo, se realiza una segunda aplicación de la escala AjusteU a la población de 2024 estudiantes de primer ingreso en mayo de 2022, un mes antes de concluir el primer período lectivo. Esta segunda muestra quedó conformada por 262 estudiantes, de los cuales el 62 % provenía de colegios públicos y el 38 %, de privados y subvencionados; en tanto que el 39 % eran mujeres y el 61 %, varones, con un promedio de 18.15 años.

Resultados

Etapa 1

En esta primera fase se obtuvieron las primeras evidencias asociadas al contenido con base en la técnica de jueces, la prueba piloto y el grupo focal. A partir de las recomendaciones hechas por el equipo de jueces y del criterio del grupo de investigación, más la medida del cvi de los ítems, se decidió conservar la misma redacción en 38 ítems, modificar 16 y eliminar 11 por inadecuada formulación, ambigüedad y similitudes de contenido con otros ítems.

Entre los principales cambios hechos a toda la escala tipo Likert se destacan: el aumento del rango de valores de 1 a 7 (desde completamente en desacuerdo a completamente de acuerdo), el uso de lenguaje inclusivo y de la primera persona gramatical en la redacción de los ítems. Otras más específicas fueron en la organización y contextualización de algunas ideas, y el cambio en la dirección del ítem (de negativo a positivo).

Posterior a esta evaluación de la pertinencia y relevancia de contenido de los ítems y del nivel aceptable (0.86) del índice de validez de contenido de la escala AjusteU (S-CVI), se generó la primera versión para estudiantes (E1) del instrumento con un total de 54 ítems, la cual se empleó para el piloto en noviembre de 2021 con una muestra de 47 estudiantes mentores de primer ingreso.

Con los resultados de esta aplicación se analizó el nivel de dificultad y discriminación de los ítems con la herramienta SPSS 19.0 (IBM Corporation, 2010). El coeficiente de confiabilidad alfa de Cronbach fue de 0.914, valor aceptable para efectos de la investigación. No obstante, aquellos ítems que mostraron un índice de discriminación menor a 0.25 se eliminaron, por presentar bajas discriminaciones, sumado a la inadecuada formulación del ítem y ambigüedades. En total 8 fueron eliminados y la escala quedó con 46 ítems (segunda versión E2), la cual se usó en la aplicación principal en marzo de 2022.

A partir del análisis de las personas del grupo focal, se lograron identificar las posibles causas de la formulación inadecuada de algunos ítems, verificar la comprensión del contenido de estos, las instrucciones, la facilidad de responder en línea y el tiempo de respuesta. También la pertinencia de la redacción en primera persona y el uso de la escala de 1 a 7, que les permitió una mayor amplitud para responder.

Etapa 2

El coeficiente de Pearson entre las puntuaciones de la escala AjusteU (la versión E2) y el CAVU de Rodríguez-Ayan y Sotelo (2014) fue 0.582 a un nivel de significancia del 0.01 (bilateral) con una muestra de 250 participantes que completaron ambos instrumentos. Si bien es cierto que el coeficiente de correlación no fue alto, evidencia cierto grado de asociación entre ambas medidas, sumado a la correlación entre sus factores, que también fue positiva y estadísticamente significativa, como se muestra en la tabla 1.

Tabla 1 Coeficientes de correlación Pearson entre las dimensiones de la escala AjusteU y el CAVU 

Dimensiones Vida académica Vida social Vida institucional
Académica CAVU 0.401** 0.293** 0.349**
Social CAVU 0.348** 0.480** 0.382**
Institucional CAVU 0.342** 0.321** 0.260**

** La correlación es significativa al nivel 0.01 (bilateral).

Fuente: elaboración de los autores.

Etapa 3

Este estudio inicia con el análisis de confiabilidad de los resultados de la escala AjusteU versión E2, cuyo coeficiente aumentó a 0.922 con un total de 46 ítems y por baja discriminación dos ítems fueron eliminados. Con los 44 restantes se llevó a cabo el análisis factorial exploratorio, usando el método de factorización de ejes principales con una rotación Varimax con normalización Kaiser para corroborar el agrupamiento de los ítems y sus cargas factoriales.

El porcentaje de la varianza total explicada fue de 56.75; como umbral para la extracción de los factores se suele establecer un mínimo del 60 % (Hair et al., 2010). Con estos resultados se realizó un análisis sustantivo y psicométrico de los ítems, por lo que se eliminaron siete al no contribuir en la medición de los factores debido a la ausencia de cargas factoriales y a las similitudes entre algunos ítems.

Luego de esta última depuración de la escala, es estimado el modelo SEM para comprobar el efecto y las relaciones de los factores con el constructo de ajuste a la vida universitaria teniendo en cuenta los datos recolectados en marzo de 2022, para un total de 37 ítems (versión final disponible en https://repositoriotec.tec.ac.cr/handle/2238/14458), cuyo coeficiente de confiabilidad fue de 0.913. Con este análisis también se comprobó que, con excepción de un ítem (VS6.AF), los índices de discriminación fueron iguales o superior a 0.30. Los coeficientes del modelo de medida se exponen en la figura 2.

EQS 6 modelo 3 factores ChiSq. = 60.51, P = 0.00, CFI = 0.98, RMSEA = 0.07

Fuente: elaboración de los autores.

Figura 2  Diagrama del modelo de medida de la escala AjusteU  

Como se observa, las cargas factoriales en el modelo de medida resultan aceptables, iguales o superiores a 0.50, lo que comprueba que hay una relación entre las variables latentes (académica, social e institucional) y los respectivos indicadores. Por otra parte, el ajuste del modelo hipotético a los datos empíricos en su conjunto se validó con los índices GFI (0.98), AGFI (0.94), NFI (0.97) y CFI (0.98), superiores al valor deseable de 0.90. Además, la RMSEA fue de 0.07, inferior al valor deseable de 0.08 (Byrne, 2006).

Etapa 4

El modelo de regresión lineal simple fue calculado con el promedio simple del primer período de 2022 (dependiente) y la puntuación total en la escala AjusteU (independiente), que se aplicó en el mes de mayo. La variancia explicada (R Square) fue de 0.131, valor que resulta bajo, pero esperable en constructos sociales, cuyos coeficientes se presentan en la tabla 2.

Como los coeficientes no estandarizados muestran significancia estadística, esto es una evidencia de validez predictiva del modelo de ajuste universitario de la escala, y, por cada aumento de 10 puntos en la escala AjusteU, el promedio simple de los estudiantes incrementa en 1.4 puntos (en una escala de 0-100). En tanto que el tamaño del coeficiente estandarizado fue de 0.361, superior al umbral mínimo de 0.10 necesario para declarar un resultado como relevante o de importancia práctica (Montero-Rojas et al., 2021).

Discusión

Los resultados de este estudio permiten afirmar que la escala AjusteU cuenta con evidencias de fiabilidad y validez que respaldan un uso adecuado de sus resultados en el contexto de la educación superior. De hecho, el desarrollo de este instrumento está fundamentado en un referente conceptual y en evidencias empíricas asociadas a la vida académica, institucional y social, como lo señalan Rodríguez (2017) y Soares et al. (2011), quienes reconocen que estos factores están altamente asociados al proceso de adaptación a la vida universitaria.

En estudios similares también se concluyó que las condiciones académicas (Gairín et al., 2009), el apoyo de docentes, padres de familia y pares (García-Martín et al., 2016), la dimensión motivational (Lozano et al., 2005), el soporte institucional (Wilcox et al., 2005) y el soporte social (Figuera & Torrado, 2012) son relevantes y representativos del constructo ajuste a la vida universitaria.

Una primera conclusión es que las evidencias asociadas al contenido, basadas en criterios subjetivos y objetivos, son relevantes en la construcción de un instrumento, tanto para mejorar elementos del formato como del dominio de contenido, al permitir un muestreo representativo del universo de ítems posibles del constructo de ajuste a la vida universitaria.

Tabla 2 Modelo de regresión lineal simple entre la escala AjusteU y el promedio simple del primer período 2022 

Modelo Coeficiente no estandarizado Coeficiente estandarizado t Sig.
B Error tip. Beta
1 (Constante) i 54.967 4.374 12.566 0.000
Puntuación total 0.142 0.023 0.361 6.251 0.000

Variable dependiente: promedio simple

Fuente: elaboración de los autores.

Como lo destacan Sireci y Faulkner-Bond (2014), la validez de contenido se puede respaldar si existen sólidos procedimientos de control de calidad durante el desarrollo de la prueba y si existe una sólida justificación para los formatos de los ítems; por ejemplo, revisión de expertos y prueba piloto para seleccionar los ítems más apropiados con base en los análisis estadísticos, entre otros procedimientos.

El planteamiento teórico generó un modelo de medida, el cual fue validado con un modelo de ecuaciones estructurales, cuyas cargas factoriales resultaron aceptables, lo que comprueba que existe una relación entre las variables latentes (académicas, social e institucional) y los ocho indicadores. A pesar de que el apoyo familiar ha sido menos estudiado, emerge como una variable asociada a las expectativas de logro y motivación (Figuera et al., 2003), de ahí su importancia de mantenerla en el modelo.

Como lo destacan González-Montesinos y Backhoff (2010), cuando esta etapa se realiza con rigor, se puede concluir que el instrumento captura los rasgos de interés conforme con la teoría sustantiva que orientó su diseño. Entre los resultados del SEM sobresale el grado de asociación entre vida social e institucional, probablemente porque en ambos interviene un proceso común de interacción social, pero en contextos diferentes: uno con familiares, pares y amigos del círculo social y otro con docentes en el ámbito institucional.

Como lo explica Maya et al. (2018), en estas transiciones educativas existe una transformación que afecta los roles del estudiantado con su familia, pares y docentes. También en estudios previos del SACQ se ha encontrado correlaciones fuertes entre ajuste social y apego institucional, sin embargo, mantienen la distinción entre ambas para efectos de análisis (Credé & Niehorster, 2012).

Igualmente, el grado de asociación de la escala AjusteU con otro instrumento (CAVU) aporta evidencias del constructo, al comprobarse que los constructos de ambos están relacionados. Como lo destaca Moral de la Rubia (2019), este tipo de validez hace referencia al grado de certeza que se tiene en que los indicadores propuestos miden una misma variable latente o factor.

A pesar de las diferencias entre ambos instrumentos, se halló una asociación estadísticamente significativa entre sus dimensiones, de las cuales vida institucional resultó la más baja (0.26), posiblemente debido a que los ítems de AjusteU están enfocados en la relación docente-estudiante, en el sentido de pertenencia a la universidad y en el apoyo institucional, mientras que el CAVU hace más referencia al quehacer universitario y a los programas de bienestar estudiantil.

El factor vida social mostró la más alta correlación entre ambos instrumentos (0.48), lo que se explica por medir contenidos comunes de la relación de pares, tales como la construcción de nuevos vínculos, la participación en actividades sociales, la colaboración y comunicación entre pares, aunque en el CAVU no se mide el apoyo familiar. Así mismo, en vida académica se reportó una asociación moderada (0.40), pese a que en el CAVU se mide el uso de la información de cursos, contenidos y expectativas docentes, mientras que en AjusteU se enfoca en la gestión del tiempo, la regulación metacognitiva y las metas académicas y de rendimiento.

Otra conclusión es que la escala aporta evidencia predictiva de que el proceso de ajuste incide en el rendimiento del estudiantado. Mamani (2017) también observó que la adaptabilidad en la transición a la vida universitaria constituye un buen predictor del rendimiento académico.

En suma, el proceso de validación de la escala permitió acumular evidencias para apoyar las inferencias de sus resultados y un uso adecuado para la toma de decisiones, el desarrollo de políticas y de acciones concretas que favorezcan la transición del estudiantado en su primer año.

La principal limitación fue la aplicación de la escala en modalidad remota en el contexto de pandemia, por lo que las experiencias del estudiantado podrían ser diferentes en un entorno presencial, por lo tanto, una recomendación es la aplicación de la escala en modalidad presencial, así como en diversas poblaciones y momentos de la vida universitaria, para identificar posibles diferencias en cada una de las dimensiones.

Finalmente, surgen temas emergentes como el género y el desarraigo, que, si bien es cierto en este estudio se comprobó que no hay diferencias en la adaptación a la vida universitaria según sexo, al igual que en otros (Cuadros, 2021), en la discusión del grupo focal se comentó que a veces en los equipos de trabajo tomaban menos en cuenta las ideas de las mujeres.

Del mismo modo, el desarraigo puede ser de interés para nuevos estudios, en especial en pospandemia, puesto que el estudiantado puede experimentar sentimientos de pérdida, en mayor o menor intensidad, al dejar familia, amigos y lugar de residencia. Como lo indica Donoso (2009), el sentirse integrado a la universidad puede contribuir a disminuir el desarraigo.

Referencias

Ahn, M. Y., & Davis, H. H. (2020). Four domains of students' sense of belonging to university. Studies in Higher Education, 45(3), 622-634. https://doi.org/10.1080/03075079.2018.1564902Links ]

Arrieta, A. (2018). Vivir la universidad: manual para población indígena de primer ingreso de la Universidad Nacional de Costa Rica. Congreso Clabes, Panamá. https://revistas.utp.ac.pa/index.php/clabes/article/view/1976/2914 Links ]

Bonilla-Jiménez, F. I., & Escobar, J. (2009). Grupos focales: una guía conceptual y metodológica. Cuadernos Hispanoamericanos de Psicología, 9(1), 51-67. https://issuu.com/universidadel-bosque/docs/vol9Links ]

Brea, L. M. (2014). Factores determinantes delsentido de pertenencia de los estudiantes de Arquitectura de la Pontificia Universidad Católica Madre y Maestra, Campus Santo Tomás de Aquino [tesis de doctorado]. Universidad de Murcia. http://biblioteca.udgvirtual.udg.mx/jspui/handle/123456789/963 Links ]

Byrne, B. M. (2006). Structural equation modeling with EQS. Basic concepts, applications, and programming (2nd ed.). Routledge Taylor & Francis Group. [ Links ]

Cea-D'Ancona, M. A. (2002). Análisis multivariable. Teoría y práctica en la investigación social. Síntesis. [ Links ]

Credé, M., & Niehorster, S. (2012). Adjustment to college as measured by the Student Adaptation to College Questionnaire: a quantitative review of its structure and relationships with correlates and consequences. Educational Psychology Review, 24, 133-165. https://doi.org/10.1007/s10648-011-9184-5 Links ]

Cuadros, J. (2021). Adaptación a la vida universitaria de los estudiantes de la Universidad Peruana Los Andes de Huancayo [tesis de maestría]. Universidad Nacional del Centro del Perú. https://repositorio.uncp.edu.pe/bitstream/han-dle/20.500.12894/7740/T010_45488221_M.pdf?sequence=1&isAllowed=yLinks ]

De la Fuente, J. (2004). Perspectivas recientes en el estudio de la motivación: la teoría de la orientación de meta. Electronic Journal of Research in Educational Psychology, 2(1), 35-61. https://www.redalyc.org/pdf/2931/293152878003.pdf Links ]

Domínguez-Lara, S., Prada-Chapoñan, R., & Gravini-Donado, M. (2021). Estructura interna del Student Adaptation to College Questionnaire (SACQ) en universitarios de primer año. Educación Médica, 22, 335-345. https://doi.org/10.1016/j.edumed.2019.06.004Links ]

Donoso, I. (2009). Consecuencias del desarraigo en los estudiantes universitarios migrantes de la Universidad Politécnica Salesiana [tesis de maestría]. Universidad Politécnica Salesiana. https://dspa-ce.ups.edu.ec/bitstream/123456789/10485/1/UPS-QT08426.pdfLinks ]

Duche, A., Paredes, F., Gutiérrez, O., & Carcausto, L. (2020). Transición secundaria-universidad y la adaptación a la vida universitaria. Revista de Ciencias Sociales, XXVI(3), 244-258. https://www.redalyc.org/jatsRepo/280/28063519018/index.htmlLinks ]

Durán-Aponte, E., & Pujol, L. (2013). Manejo del tiempo académico en jóvenes que inician estudios en la Universidad Simón Bolívar. Revista Latinoamericana de Ciencias Sociales, Niñez y Juventud, 11(1), 93-108. https://www.redalyc.org/articulo.oa?id=77325885022Links ]

Escobedo, M. T., Hernández, J. A., Estebané, V., & Martínez, G. (2016). Modelos de ecuaciones estructurales: características, fases, construcción, aplicación y resultados. Ciencia & Trabajo, 18(55), 16-22. https://scielo.conicyt.cl/pdf/cyt/v18n55/art04.pdfLinks ]

Fernández, A. G. (2007). Modelos de motivación académica: una visión panorámica. REME, 10(25), 1-25. http://reme.uji.es/articulos/numero25/article1/article1.pdfLinks ]

Figuera, P., & Torrado, M. (2012, 18 al 20 de octubre). La adaptación y la persistencia académica en la transición en el primer año de universidad: el caso de la Universidad de Barcelona. I Congreso Internacional e Interuniversitario de Orientación Educativa y Profesional: "Rol y retos de la orientación en la universidad y en la sociedad del siglo xxi", Barcelona, España. http://hdl.handle.net/2445/32417Links ]

Figuera, P., Dorio, I., & Forner, A. (2003). Las competencias académicas previas y el apoyo familiar en la transición a la universidad. Revista de Investigación Educativa, 21(2), 349-369. https://revistas.um.es/rie/article/view/99251Links ]

Gairín, J., Muñoz. J., Feixas, M., & Guillamón, C. (2009). La transición secundaria-universidad y la incorporación a la universidad. La acogida de los estudiantes de primer curso. Revista Española de Pedagogía, 67(242), 27-44. http://www.jstor.org/stable/23766220Links ]

García-Martín, M., Hombrados-Mendieta, I., & Gómez-Jacinto, L. (2016). A multidimensional approach to social support: the Questionnaire on the Frequency of and Satisfaction with Social Support (QFSSS). Anales de Psicología, 32(2), 501-515. https://www.redalyc.org/articulo.oa?id=16745250022Links ]

García-Ros, R., & Pérez-González, F. (2011). Validez predictiva e incremental de las habilidades de autorregulación sobre el éxito académico en la universidad. Revista de Psicodidáctica, 16(2), 231-250. https://www.redalyc.org/articulo.oa?id=17518828002Links ]

González-Montesinos, M., & Backhoff, E. (2010). Validación de un cuestionario de contexto para evaluar sistemas educativos con modelos de ecuaciones estructurales. Relieve, 16(2), 1-17. https://ojs.uv.es/index.php/RELiEvE/article/view/4133/3753Links ]

Gottlieb, B. H., & Bergen, A. E. (2010). Social support concepts and measures. Journal of Psychosomatic Research, 69(5), 511-520. https://doi.org/10.1016/j.jpsychores.2009.10.001Links ]

Gravini, M. L., Mercado-Peñaloza, M., & Domínguez-Lara, S. (2021). College adaptation among Colombian freshmen students: internal structure of the Student Adaptation to College Questionnaire (SACQ). Journal of New Approaches in Educational Research, 10(2), 251-263. http://dx.doi.org/10.7821/naer.2021.7.657Links ]

Hair, J. F., Black, W. C., Babin, B. J., & Anderson, R. E. (2010). Multivariate data analysis (7th ed.). Prentice Hall. [ Links ]

Hernández, A., Silveira, Y., & Moreno, J. A. (2015). Adquisición de las competencias profesionales según el soporte de autonomía, mediadores psicológicos y motivación. Bordón, Revista de Pedagogía, 67(4), 61-72. https://doi.org/10. 13042/Bordon.2015.67406Links ]

IBM Corporation. (2010). IBM SPSS statistics for Windows (19.0) [software de cómputo]. [ Links ]

Lozano, A. B., Rioboo, A. P., Paz, R. S., & Enríquez, E. B. (2005). Motivación académica, orientación a metas y estilos atribucionales: la escala CEAP-48. Revista de Psicología y Educación, 1(2), 103-136. http://www.rpye.es/pdf/20050102.pdf#page=103Links ]

Mamani, T. H. (2017). Efecto de la adaptabilidad en el rendimiento académico. Educación Superior, 2(1), 38-44. http://www.scielo.org.bo/scielo.php?pid=S2518-82832017000100004&scrip-t=sci_arttextLinks ]

Martínez-López, Z., Páramo, M. F., Guisande, M. A., Tinajero, C., Da Silva, L., & Rodríguez, M. S. (2014). Apoyo social en universitarios españoles de primer año: propiedades psicométricas del Social Support Questionnaire-Short Form y el Social Provisions Scale. Revista Latinoamericana de Psicología, 46(2), 102-110. https://doi.org/10.1016/S0120-0534(14)70013-5Links ]

Mata-Salas, A. (2018). La mentoría de pares como herramienta para el proceso de integración a la vida universitaria: un análisis desde la percepción de estudiantes de primer ingreso inscritos en el programa Integratec del Instituto Tecnológico de Costa Rica. Congreso Clabes, Panamá. http://revistas.utp.ac.pa/index.php/clabes/article/view/1988Links ]

Maya, I., Holgado, D., & Lubbers, M. (2018). Efectos de la estructura de las redes personales en la red sociocéntrica de una cohorte de estudiantes en transición de la enseñanza secundaria a la universidad. Universitas Psychologica, 17(1), 1-12. https://doi.org/10.11144/Javeriana.upsy17-1.eerpLinks ]

Molina, N. (2015). Población estudiantil de la Universidad de Costa Rica: características socio-personales e interés en torno a su desarrollo personal. Revista de Actualidades de Investigación en Educación, 15(1), 1-26. https://doi.org/10.15517/aie.v15i3.20985Links ]

Montero-Rojas, E., Moreira-Mora, T. E., Zamora--Araya, J. A., & Smith-Castro, V. (2021). Una nueva mirada teórica y metodológica a diferencias de género en pruebas de matemática: razonamiento, actitudes psicosociales y modelos multinivel. Revista Electrónica Educare, 25(1), 1-21. http://doi.org/10.15359/ree.25-1.8Links ]

Moral de la Rubia, J. (2019). Revisión de los criterios para validez convergente estimada a través de la varianza media extraída. Psychologia, Avances de la Disciplina, 13(2), 25-41. https://dialnet.unirioja.es/servlet/articulo?codigo=7873319Links ]

Moreno-Murcia, J. A., Silveira-Torregrosa, Y., & Alias-García, A. (2015). Modelo predictivo para la mejora de la percepción de competencia y rendimiento académico en estudiantes universitarios. REDU: Revista de Docencia Universitaria, 13(2), 173-188. https://doi.org/10.4995/redu.2015.5443Links ]

Naipe, M. C., Salabert, I., Morales, M., Mestre, V. A., Garriga, N. E., & Toledo, T. E. (2017). La motivación en los estudiantes de primer año de la carrera de Medicina. Revista Médica Electrónica, 39(4), 906-915. http://scielo.sld.cu/pdf/rme/v39n4/rme060417.pdfLinks ]

O'Donnell, M. B., Shirley, L. A., Park, S. S., Nolen, J. P., Gibbons, A. M., & Rosén, L. A. (2018). The college adjustment questionnaire: a measure of students' educational, relational, and psychological adjustment to the college environment. Journal of College Student Development, 59(1), 116-121. https://doi.org/10.1353/csd.2018.0009Links ]

Ortiz, M., Andrade, S., Corrales, K., Delgado, R., Obando, J., & Víquez, M. F. (2013). El papel de la familia en la decisión de ingresar a la educación universitaria de las y los estudiantes de primer ingreso de la Universidad de Costa Rica [memoria de seminario de graduación]. Universidad de Costa Rica. http://repositorio.sibdi.ucr.ac.cr:8080/jspui/handle/123456789/2161Links ]

Polit, D. F., & Tatano, C. (2006). The content validity index: are you sure you know what's being reported? Critique and recommendations. Research in Nursing & Health, 29, 489-497. https://doi. org/10.1002/nur.20147Links ]

Rodríguez, M. M. (2017). Adaptación a la vida universitaria y procrastinación académica en estudiantes de Psicología. Revista Electrónica del Desarrollo Humano para la Innovación Social, 4(8). https://www.cdhis.org.mx/index.php/CAGI/article/view/121/181Links ]

Rodríguez-Ayan, M. N., & Sotelo, M. E. (2014). Cuestionario de adaptación a la vida universitaria (CAVU): desarrollo, estructura factorial y validación inicial. Revista Argentina de Ciencias del Comportamiento, 6(3), 40-49. https://www.redalyc.org/articulo.oa?id=333432764006Links ]

Ruiz, M. A., Pardo, A., & San Martín, R. (2010). Modelos de ecuaciones estructurales. Papeles del Psicólogo, 31(1), 34-45. https://www.redalyc.org/articulo.oa?id=77812441004Links ]

Sireci, S. G., & Faulkner-Bond, M. (2014). Validity evidence based on test content. Psicothema, 26(1), 100-107. https://www.psicothema.com/pdf/4167.pdfLinks ]

Soares, A. P., Almeida, L. S., & Guisande, M. A. (2011). Ambiente académico y adaptación a la universidad: un estudio con estudiantes de 1° año de la Universidad do Minho. Revista Iberoamericana de Psicología y Salud, 2(1), 99-121. https://repositorium.sdum.uminho.pt/handle/1822/12101Links ]

Soares, P., Guisande, A., & Almeida, L. (2007). Autonomía y ajuste académico: un estudio con estudiantes portugueses de primer año. International Journal of Clinical and Health Psychology, 7(3), 753-765. http://aepc.es/ijchp/articulos_pdf/ijchp-250.pdfLinks ]

Tieu, T. T., Pancer, S. M., Pratt, M. W., Wintre, M. G., Birnie-Lefcovitch, S., Polivy, J., & Adams, G. (2010). Helping out or hanging out: the features of involvement and how it relates to university adjustment. Higher Education, 60(3), 343-355. https://doi.org/10.1007/s10734-009-9303-0Links ]

Tinto, V. (1975). Dropout from higher education: a theoretical synthesis of recent research. Review of Educational Research, 45(1), 89-125. http://www.jstor.org/stable/1170024Links ]

Umerenkova, A. G., & Flores, J. G. (2017). Gestión del tiempo en alumnado universitario con diferentes niveles de rendimiento académico. Educação e Pesquisa, 44. https://doi.org/10.1590/S1678-4634201708157900Links ]

Van Rooij, E. C., Jansen, E. P., & Van de Grift, W. J. (2018). First-year university students' academic success: the importance of academic adjustment. European Journal of Psychology of Education, 33(4), 749-767. https://doi.org/10.1007/s10212-017-0347-8Links ]

Velasco, P. J., & Benito, A. (2011). La mentoría entre iguales en la Universidad Europea de Madrid: una estrategia educativa para el desarrollo de competencias generales y específicas. Higher Learning Research Communications, 1(1), 1032. http://hdl.handle.net/11268/2014Links ]

Wilcox, P., Winn, S., & Fyvie-Gauld, M. (2005). 'It was nothing to do with the university, it was just the people': the role of social support in the first-year experience of higher education. Studies in Higher Education, 30(6), 707-722. https://doi.org/10.1080/03075070500340036Links ]

Para citar este artículo: Moreira-Mora, T. E., Mata-Salas, A., & Pizarro-Aguilar, L. V. (2023). Evidencias de validez de una escala para evaluar el ajuste a la vida universitaria. Avances en Psicología Latinoamericana, 41(3), 1-16. https://doi.org/10.12804/revistas.urosario.edu.co/apl/a.12725

Recibido: 17 de Febrero de 2023; Aprobado: 15 de Agosto de 2023

*Dirigir correspondencia a Adriana Mata-Salas. Correo electrónico: admata@itcr.ac.cr

Creative Commons License Este es un artículo publicado en acceso abierto bajo una licencia Creative Commons