Services on Demand
Journal
Article
Indicators
-
Cited by SciELO -
Access statistics
Related links
-
Cited by Google -
Similars in
SciELO -
Similars in Google
Share
Earth Sciences Research Journal
Print version ISSN 1794-6190
Earth Sci. Res. J. vol.14 no.1 Bogotá Jan./June 2010
ENSO MODULATIONS ON STREAMFLOW CHARACTERISTICS
Ali Ihsan Marti1, Cahit Yerdelen2, and Ercan Kahya3
1 Assistant Prof., Civil Engineering Department Hydraulic Division, Selcuk University Campus, 42035 Konya-Turkey. Phone: +90 332 223 22 44, Fax: +90 332 241 06 35 E-mail: alihsan@selcuk.edu.tr
2 Assistant Prof., Civil Engineering Department Hydraulic Division, Ege University Phone: +90 232 388 60 26/131. Fax: +90 232 342 56 29 E-mail: cahit.yerdelen@ege.edu.tr
3 Prof., Civil Engineering Department Istanbul Technical University Hydraulics Division, Maslak, 34469 Istanbul-Turkey Work Phone: +90 212 285 30 02, Fax: +90 212 285 65 87 E-mail: kahyae@itu.edu.tr
Manuscript received: 12/12/2009 Accepted for publication: 16/05/2010
ABSTRACT
El Niño Southern Oscillation (ENSO) has been linked to climate and hydrologic anomalies throughout the world. This paper presents how ENSO modulates the basic statistical characteristics of streamflow time series that is assumed to be affected by ENSO. For this we first considered hypothetical series that can be obtained from the original series at each station by assuming non-occurrence of El Niño events in the past. Instead those data belonging to El Niño years were simulated by the Radial Based Artificial Neural Network (RBANN) method. Then we compared these data to the original series to see a significant difference with respect to their basic statistical characteristics (i.e., variance, mean and autocorrelation parameters). Various statistical hypothesis testing methods were used for four different scenarios. Consequently if there exist a significant difference, then it can be inferred that the ENSO events modulate the major statistical characteristics of streamflow series concerned. The results of this research were in good agreement with those of the previous studies.
Key words: Streamflow, ENSO Modulation, Radial Based Artificial Neural Network Model, Turkey
RESUMEN
La Oscilación Sureña de El Niño (ENSO) se ha relacionado con anomalías climáticas e hidrológicas en todo el mundo. Este artículo presenta cómo ENSO modula las características estadísticas básicas de las series de tiempo. Para ello, primero se revisaron las series hipotéticas que se pueden obtener de la serie original en cada estación, asumiendo la no-ocurrencia del fenómeno El Niño en el pasado. En cambio, los datos que pertenecen a los años con ocurrencia de El Niño fueron simulados por el método Red Neuronal Base Radial (RNBR). Luego comparamos estos datos con la serie original para ver diferencias significativas con respecto a sus características estadísticas básicas (por ejemplo, la varianza, la media y los parámetros de auto-correlación). Varios métodos para la prueba de hipótesis estadísticas se utilizaron para cuatro escenarios diferentes. En consecuencia, si existe una diferencia significativa, entonces se puede inferir que los eventos ENSO modulan las principales características estadísticas relacionadas a las series de caudales. Los resultados de esta investigación concordaban con los de estudios anteriores.
Palabras clave: caudales, modulación ENSO, red neuronal artificial base radial, Turquía.
1. Introduction
The El Niño-Southern Oscillation (ENSO) occurrence is a well-known natural element of the global climate system. It results from the interactions between large-scale atmospheric and oceanic circulation processes in the equatorial Pacific Ocean, and related to inter-annual variations in precipitation, temperature, streamflow, evaporation in some regions of the world. El Niño refers to describe warm sea surface temperature anomaly conditions in the tropical-subtropical Pacific Ocean, whereas the Southern Oscillation refers to the see-saw of pressure differences of atmospheric mass between the Australian/Indonesian region and the eastern tropical Pacific Ocean. The warm phase of ENSO, so-called El Niño, is of particular interest in this study.
Global and regional scale of ENSO influences on hydrologic and climatologic variables have been extensively documented in the relevant literature. The most comprehensive global-scale studies were carried out by Ropelewski and Halpert (1987) using data from over 2000 rainfall stations worldwide. For streamflow variable, Dettinger et al. (2000) studied multi-scale streamflow variability in relation to ENSO events using over 700 stations worldwide. Similarly Chiew and McMahon (2002) investigated the global ENSO-runoff teleconnections using data from 581 catchments. It is probable that the ENSO-streamflow relationship is more noticeable than the ENSO-rainfall relationship for the reason that precipitation variability is higher than that in streamflow due to the fact that streamflow integrates information spatially.
On the other hand, the number of regional-scale (i.e., a selected area like a river basin or national borders) studies regarding the ENSO-climate variability outnumbers the global-scale studies, including more diverse variables and topics. Among those, Redmond and Koch (1991), Kahya and Dracup (1993), Dracup and Kahya (1994), Maurer, Lettenmaier et al. (2004), Twine et al. (2005), and Gobena and Gan (2006) exemplify streamflow variability in the North America and its relationship to ENSO occurrences. A recent research tendency is to examine the intended ENSO relations together with other large-scale climatic oscillations, like Pacific Decadal Oscillation (PDO) and North Atlantic Oscillation (NAO) (e.g., Kim et al., 2008; Tootle and Piechota, 2006). In other domains of the world, among those, Nazemosadat and Ghasemi (2004) quantified the SO-precipitation relation in Iran using precipitation composites during warm, cold and neutral phases of the SO. Shrestha and Kostaschuk (2005) examined the impacts of ENSO on mean-monthly streamflow variability in Nepal and found that ENSO-related below normal streamflow in two core regions. Sen et al. (2004) proposed ENSO templates that can be used for streamflow prediction. For the relationships between ENSO and droughts; among those, Vicente-Serrano (2005) and Karabörk et al. (2007) documented important evidences for the Iberian Peninsula and Turkey, respectively.
In our earlier works, such as Kahya and Karabörk (2001); Karabörk and Kahya (2003); Kalayci et al., (2004; Karabörk et al., (2005), the relations between the both extreme phases of the Southern Oscillation and surface climate variables (i.e., streamflow, precipitation and temperature) across Turkey were well documented using various techniques. The objective of this study is to determine whether ENSO events modulate the basic statistical characteristics of streamflow data in Turkey. Furthermore, the results of this study are compared with those of Karabörk and Kahya (2001), particularly in two large regions in western and eastern Turkey, where they determined significant ENSO signal seasons. For this, we have here developed an empirical approach for analysis which consists of three basic phases: (i) simulation based on an ANN method, (ii) defining scenarios, and (iii) hypothesis testing. To our best knowledge, this work presents the first approach and findings in its kind in the germane literature.
2. Data and methodology 2.1 Data
The data network consisting of 78 streamflow gauging stations, approximately uniformly distributed around Turkey (Figure 1), initially is of primary interest in this study. The streamflow data set spans from 1962 to 2000. Owing to the main idea of this investigation, however we pay more attentions to the stations within the Western Anatolia (marked by WA) and Eastern Anatolia (marked by EA) regions (Figure 1) where Karabörk and Kahya (2001) previously determined coherent and consistent ENSO related streamflow signals. The timing and sign of significant signals are also indicated in Figure 1. Karabörk and Kahya (2001), who used the same data set having a period 1964-1994, set the selection criteria for the stations to be included as: (i) homogeneous distribution; (ii) no missing record; and (iii) no major upstream interference. Moreover how this data fulfills the homogeneity condition was discussed in-depth by Karabörk and Kahya (2001). We here considered the following ENSO years: 1963, 1965, 1969, 1972, 1976, 1982, 1987, 1991, 1993, and 1997 in the simulation phase of our analysis.
2.2 ANN simulation of monthly streamflow records
The methodology adapted here requires at the first place the assumption of non-occurrences of ENSO events in the past records; therefore, original monthly streamflow values corresponding to El Niño years should be removed and need to be replaced by another reasonable assumed values using some statistical means. For this reason, we applied the Radial Based Artificial Neural Network (RBANN) model (Govindaraju and Ramachandra Rao, 2000) for the simulation of mean monthly streamflow records.
In order to generate synthetic streamflow data by the RBANN model, the input variables were taken as the first and second years' mean monthly records (Xi, t-1; Xi, t-2) (i: year, t: month) and the mean monthly value of that month (Xi) not including any records during El Niño years. The reason for considering data of the first two years prior to the ENSO event as input variables is that they have a high correlation with the values of the estimated year. Furthermore we checked the possibility of considering similarly preceding third and fourth data values as additional input variables; but we noticed that the length of data becomes small to treat, causing decreased training performance of ANN. The mean of each month was calculated without taking in El Niño years in the data set. The RBANN model was formed by an input unit, a hidden unit and an output unit. The synthetic data generation with the RBANN was executed by MATLAB computer program. As a result, we have two time series at hand at each station: the original (historical) and the synthetic (whose historical data during El Niño year were replaced by those generated by the ANN model).
2.3 Defining Scenarios
In order to compare the two time series at each station from different perspectives, we first need to define testing scenarios that will be used in the hypothesis testing phase of our analysis. In our earlier study (Kahya and Marti, 2007) we used two, but here we increased it to four as follows.
Scenario A: This involves two time series: the original mean annual streamflow records of 39 years and the hypothetical time series whose El Niño years were filled with the synthetic data generated by the RBANN.
Scenario B: This involves two time series: the original mean annual streamflow records of 39 years and the hypothetical time series whose values comprises of the mean values of the ENSO signal seasons specified for the stations existing in the WA and EA regions.
Scenario C: This involves two time series, the original and the hypothetical, each having 10 values (data points) formed with the mean annual streamflow data ofthe original El Niño years and the synthetic El Niño years.
Scenario D: This involves two time series: the original and the hypothetical, each having 10 values (data points) formed with the mean of the signal season specified for the WA and EA regions in Figure 1 identified by Karabörk and Kahya (2001).
2.4 Hypothesis Testing
Having the scenarios known, the following four tests were applied to seek for a statistically significant difference between the two series. In our earlier study (Kahya and Marti, 2007) we used three tests, but we here added one more test in our analysis as follows.
a) Testing variances
The F-test was used to test the variances of the original and hypothetical series for all testing scenarios. F statistics can be determined using Eq. (1) (Haan, 1977).

where s: the standard deviation and s2: the variance. The calculated F value was compared with the critical value from the F-distribution table for the required significance level. The difference between the variances was accepted as significant when the F-value exceeds that critical value.
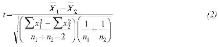
b) Testing means
The t-test was used to test the mean values of the two data sets (Haan, 1977). The length of the data sets was the same in all scenarios (n1 = n2). When no positive correlation between the samples was detected, the following t-model should be used.

where n1, n2: the sample lengths and X: the sample mean. In case of positive correlation, the following formula should be used.

c) Testing populations
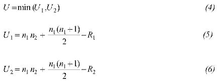
After testing the samples in terms of variances and means, a non-parametric test, so-called Mann-Whitney U test, was applied to analyze our original and hypothetical series whether or not they come from the same populations? The U-statistics of the Mann-Whitney Test is defined as (Popham, 1967)

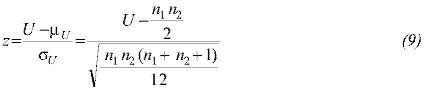
where n1, n2: the sample lengths. Considering the both series together and arranging them from lowest value to the highest, then assigning a rank value to each element of the series. Later R1 and R2 values were calculated by summing the ranks of the first and the second data sets separately. Since the calculated U-statistic follows the normal distribution asymptotically, its expected value and standard deviation can be expressed as

and finally the standard normal variable can be computed by

Testing this calculated standard normal variable using two-tailed test, a decision can be made on the significance difference between the two samples.
d- Testing the autocorrelations
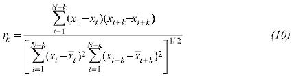
The original and hypothetical streamflow series were examined to see whether ENSO events influence the autocorrelation structure of the observed series. The existence of statistically significant positive lag-1 autocorrelation coefficient (r1) is the important indication of the persistence characteristic of a streamflow time series. Therefore, we assume that the r1 is a representative of the autocorrelation structure of the original and hypothetical series and can be expressed as Eq. (10) (Haan, 1977).

Here, k = 1, xt is the mean of the first N-k terms and xt+k is the mean of the last N-k terms. The confidence intervals at the 95% significance level can be determined by Eq. (11).

3. Results
We have carried out the analysis procedures described in the previous section for all streamflow stations in our data set and presented the results of the hypothesis testing phase in figurative (map) and tabular fashion in this section and make their relevant discussion in the subsequent section. For comparing the variances of the original and hypothetical series, the F-test results are given in Figure 2 for the stations in the WA and EA regions. There was no significant variance difference between the two series in the both regions according to Scenario A. For comparing the means of the original and hypothetical series, the results of the t-test are illustrated in Figure 3. In this case, we found more or less significant results for each of scenarios. For comparing the populations of the original and hypothetical series, the Mann-Whitney U test was applied to the both series to find out whether they belong to the same population. Scenarios A and B did not show any statistically significant differences between the original and hypothetical series. On the other hand we found important distinction of population results for the scenarios C and D and presented the results in Figure 4. For comparing the autocorrelation structures based on the lag-1 correlation of the original and hypothetical series, the possible changes in streamflow data due to ENSO events were analyzed using equations 10 and 11 for calculating correlation coefficients and Anderson's limits for the scenarios A and B. The results of this comparison are presented in Table 1.
4. Discussion and conclusions
a) Variances
The hypothetical and original time series did not differ statistically for Scenario A in the both regions. The both time series exhibited significant differences for Scenario B in six stations at the 95% significance level in the WA region (Figure 2a); however, none of the stations located in the EA region exhibited any difference for the same scenario. It is worthwhile to note that these identified stations are distinctive in reflecting the ENSO modulation on streamflow variance among all stations in the entire study domain. The noted number of stations in Figure 2a in comparison to the results for Scenario A confirms the importance ofpreviously detected regions in association with the ENSO events.
For Scenario C, the EA region comprises of 7 stations (corresponding to 41% of the entire EA stations) at the 95% significance level as the WA region had 10 stations at the same significance level (Figure 2b). The WA region contains additional 9 stations when considering the 90% significance level, implying that 60% of the entire WA stations demonstrate the ENSO modulation on streamflow variance. There are stations located other than these regions, mostly in mid-southern Turkey, having significant signals for the implied modulation. For Scenario D, the number of significant stations dramatically increased in the WA region compared to the results of all other scenarios (Figure 2b). Among those 19 stations revealed the implied variance modulation at the 95 significance level. This scenario was tailored for the seasonal average considering only the event years and produced an extra confidence on the reliability of the WA region.
b) Means
The computed t-values for the scenarios A and B were determined considering positive correlation between the hypothetical and historical series. The significance of these t-values was then evaluated based on the two-tailed t-distri-bution. We mapped the results of testing means with respect to the both 90% and 95% significance levels in Figure 3. Except a few stations, the observed streamflow values in El Niño years were greater than those generated by the RBANN model (that is to say, wet anomaly responses to El Niño events was confirmed in most of the stations). In Scenario A (Figure 3a), the EA region showed six stations (35% of the total stations in the EA) having a significant difference in the mean and two of them significant at the 95% level. Similarly the WA region also showed six stations (19% of the total stations in the WA) having statistically significant difference in the mean, but only one station at the 95% level. On the other hand, the results of Scenario B exhibit more stations in the WA region having significant t-values as a result of using ENSO signal season in the original streamflow series (Figure 3b). At the same time the EA region exhibited almost same number of significant stations as in Scenario A with better results. It is important to note that the number of significant stations in the WA region outnumbers that of the EA region in this case, implying more sensible ENSO influences streamflow in western Turkey.
For Scenario C, significant differences in the mean were found in about a quarter of the entire stations in the EA region as a slightly high value of percentage was observed in the WA region likewise (Figure 3c). As expected, the whole picture was noticeably improved in terms of more and strong signs of the ENSO modulation on streamflow mean for Scenario D (Figure 3d). This observation is true for the both regions. It is interesting that the outer stations along the northern border of the EA region indicated highly significant ENSO modulation on streamflow mean for all scenarios, which was not the case in the ENSO modulation on streamflow variance. An overall evaluation can be said that the number of significant stations in this analysis reached a maximum for the scenarios B and D that both are based on the ENSO signal season considered versions of the scenarios A and B. This fact once again approves the importance of the WA and EA regions previously identified by Karabörk and Kahya (2001).
c) Populations
The hypothetical and original streamflow time series in Turkey were subjected to the Mann-Whitney U test for all the scenarios and the results of this phase are illustrated in Figure 4. Since significant correlations occur between the two samples for the scenarios A and B, the application of Mann-Whitney U test with this condition leads the unconformity of "unrelated samples" rules in the theory. The recommended test for the comparison of two such related sample sets is the non-parametric Wilcoxon rank sum test. In this case if there are equal samples in the data set, they should be removed from the data set. However, this elimination turns our samples in the scenarios A and B to be the same as those in the scenarios C and D. The other non-parametric tests available in the literature could be cited as the two-sided variance analysis of Friedman and the single-sided variance analysis of Kruskal Wallis, but they are recommended for comparing more than two sample sets (Popham, 1967). As a result, we here performed the comparison of the populations using the Mann-Whitney U test for the scenarios A and B.
The results of this phase showed that the WA and EA regions did not reveal any significant differences in the population for the scenarios A and B. However the analysis of Scenario D (Figure 4b) indicated more significant results than those of Scenario C (Figure 4a) due to the consideration of the ENSO signal season. In particular the dominant character of region WA is evident in exhibiting the ENSO modulation on streamflow population characteristics. Meanwhile, the WA region did not show any significant differences for Scenario C, while the EA region had three stations having statistically significant results.
d) Autocorrelations
Following our earlier results (Kahya and Marti, 2007) for this analysis phase, we here prefer to present the results of autocorrelation calculations in a tabular fashion (Table 1). It is known that the first autocorrelation coefficient (r1)is the most important component of autocorrelation structure of hydrologic time series concerned. Therefore we consider only this statistic, to some extent, as a representative of autocorrelation characteristics for the practicability purposes, and calculated for the mean streamflow time series in the DA and BA regions for the scenarios A and B. We evaluated the computed r1 values at the 95% significance level and summarized our results according to the following four possible cases concerning the calculated r1 values..
(a) Case 1: When the computed r1 values of both the hypothetical and original series fall within the 95% confidence intervals, the both series has no serial dependency property at lag-1. Thus this implies that ENSO events have no influences on the internal dependency of the original streamflow series. We found that 4 stations in the EA region and 2 stations in the WA region confirmed this conclusion for the scenarios A and B.
(b) Case 2: When the computed r1 value is not significant for the original series, but significant for the hypothetical series. In this case, our perception is that ENSO events might modify the autocorrelation structure of streamflow series in the form of elimination. In our analysis, this situation was not observed in the EA region, but occurred in the station 1307 in the WA region (Table 1).
(c) Case 3: The computed r1 value of the original series appears to be significant while that of the hypothetical series does not. In this case, our perception is similar to Case 2 in such a way that ENSO events might modify the autocorrelation structure of streamflow series in the form of generation. This case has occurred in 8 stations in the EA and 14 stations in the WA according to Scenario A. Moreover 6 stations in each the EA and WA regions showed a significant difference in the first autocorrelation coefficient at the 95% level according to Scenario B (Table 1). For these stations, it can be speculated that ENSO events modify some feature of autocorrelation structure of the series, in the manner of increasing the internal dependency.
(d) Case 4: The computed r1 value of the both series exceeds the 95% confidence intervals. In this case, our perception is that ENSO events have no influences on the autocorrelation structure of streamflow series unless the opposite sign of the computed significant r1 values emerges. For Scenario A, 5 stations in the EA region and 15 stations in the WA region confirmed this case. For Scenario B, 10 stations in the WA region and none in the EA region confirmed this case.
In general, the results from evaluating the opposite cases b and c lead us to deduce a speculation of ENSO modulation on streamflow autocorrelation structure. Furthermore it can be said that ENSO events caused modification in the persistency characteristic of Turkish streamflow patterns.
In order to explain the physical mechanisms behind the observed changes in basic streamflow statistical characteristics in Turkey, it is worthwhile to review pertinent discussions presented by Kahya and Karabörk (2001) who sought some clues based upon the cyclonic activities affecting the overall Turkish precipitation regime. In the same context, Karabörk and Kahya (2003) speculated that the occurrence of ENSO signals resulted from the interactions between ENSO events and North Atlantic Oscillation (NAO) as NAOjias direct impacts on Turkish precipitation and streamflow patterns. Marshall et al. (2001) indicated that climatic variability in the North Atlantic sector is composed of three main phenomena: (i) tropical Atlantic variability (TAV), (ii) NAO, and (iii) Atlantic meridional overturning circulation (MOC). They argued that the NAO, the TAV and the MOC are intimately connected and should be considered together. The NAO may exert extratropical influences on TAVandthe TAV may feedback to the NAO by rearranging the Hadley circulation. In addition, the Pacific ENSO events influence the tropical Atlantic and, in turn, the Atlantic influence the eastern equatorial Pacific. Since the TAV is subjected to remote influences of the NAO and ENSO, a feedback effect on the NAO by rearrangement of Hadley circulation may carry ENSO signals to mid-latitudes (see Marchall et al. (2001: figure 15) for the proposed mechanism). It is important to note that this mechanism needs to be further investigated. Terray and Cassou (2002) pointed out that when the removed ENSO global data are considered in the analysis, the resulting forced atmospheric SLP responses on the North Atlantic sector showed a stronger than usual subtropical high and a deeper than normal Icelandic low, namely, a typical positive NAO phase. Their findings explained how the tropical Atlantic acts as a bridge to transfer ENSO signals to mid-latitudes. This simulated ENSO-NAO relationship indicated by Terray and Cassou (2002) was also stressed by Bojariu and Gimeno (2003) in the context of external factors that affect the NAO variability. In this perspective, Karabörk and Kahya (2009) stated that the findings of Wang (2002) could be considered noteworthy as the Hadley circulation is closely related to the NAO, and the NAO has significant negative correlations in association with tropical North Atlantic SSTs. Therefore Karabork et al. (2005) stated that 'As both the El Nino phase of the SO and NAO can influence the tropical Atlantic climatology, it is reasonable to expect that this sector can play a key role in carrying El Nino signals to midlatitudes by means of a feedback mechanism.
In conclusion, all results from above statistical tests performed in this study showed that ENSO events have significant influences on the modulation of streamflow statistical characteristics in Turkey. This clear-cut conclusion provides a solid incentive for the water resources planners to consider the large-scale atmospheric oscillation patterns like the Southern Oscillation and/or North Atlantic Oscillation for planning and managing purposes.
5. Acknowledgements
We appreciate Dr. Karabörk who helped us conduct the hypothesis testing and reviewed the manuscript. This work was supported by the TUBITAK under research project no: YDABAG 102Y146.
6. References
Bojariu R. and Gimenok, L. (2003). Predictability and numeric modelling of the North Atlantic Oscillation. Earth-Science Reviews, 63, 145-168. [ Links ]
Chiew, F.H.S. and McMahon, T.A. (2002). Global ENSO-streamflowteleconnection, streamflowforecasting and interannual variability. Hydrological Sciences Journal-Journal Des Sciences Hydrologiques, 47(3), 505-522. [ Links ]
Dettinger, M. D., Cayan, D. R., McCabe, G.J. and Marengo, J.A. (2000). Multiscale streamflow variability associated with El Niño/Southern Oscillation. H.F. Diaz and V. Markgraf (editors) El Nino and the Southern Oscillation: Multiscale Variability and Global and Regional Impacts, Cambridge University Press, Cambridge, UK, 113-147. [ Links ]
Dracup, J.A. and Kahya, E. (1994). The relationships between United States streamflow and La Nina events. Water Resources Research, 30(7), 2133-2141. [ Links ]
Gobena, A.K. and Gan, T.Y. (2006). Low-frequency variability in southwestern Canadian stream flow: Links with large-scale climate anomalies, International Journal of Climatology, 26(13), 1843-1869. [ Links ]
Haan, C.T. (1977). Statistical methods in hydrology, Iowa State University Press, Ames. [ Links ]
Kahya, E. and Dracup, J.A. (1993). United States streamflow patterns in relation to the El-Nino Southern Oscillation. Water Resources Research, 28(8), 2491-2503. [ Links ]
Kahya, E. and Marti, A.I. (2007). Do El Niño events modulate the statistical characteristics of Turkish streamflow?, Hydrology Days 2007, Colorado State University, CO, USA, March, 122-128. [ Links ]
Kahya, E. and Karabörk, M.C. (2001). The analysis of El Nino and La Nina signals in streamflows of Turkey. International Journal of Climatology, 21(10), 1231-1250. [ Links ]
Kalayci, S., Karabörk, M.C. and Kahya, E. (2004). Analysis of El Nino signals on Turkish streamflow and precipitation patterns using spectral analysis. Fresenius Environmental Bulletin, 13(8), 719-725. [ Links ]
Karabörk, M.C. and Kahya, E. (2003). The teleconnections between the extreme phases of the southern oscillation and precipitation patterns over Turkey. International Journal ofClimatology, 23(13), 1607-1625. [ Links ]
Karabörk, M.C., Kahya, E., Karaca, M. (2005). The influences of the Southern and North Atlantic Oscillations on climatic surface variables in Turkey. Hydrological Processes, 19(6), 1185-1211. [ Links ]
Karabörk, M.C., Kahya, E. and Komuscu, A.U. (2007). Analysis of Turkish precipitation data: homogeneity and the Southern Oscillation forcings on frequency distributions. Hydrological Processes, 21(23), 3203-3210. [ Links ]
Karabörk, M.C. and Kahya, E. (2009). The links between the categorized Southern Oscillation indicators and climate and hydrologic variables over Turkey. Hydrologi-calProcesses, 23,1927-1936, DOI: 10.1002/hyp.7331. [ Links ]
Kim, T.W., C. Yoo and Ahn, J.H. (2008). Influence of climate variation on seasonal precipitation in the Colorado River Basin. Stochastic Environmental Research and Risk Assessment 22(3), 411-420. [ Links ]
Marshall J, Kushnir Y., Battisti D., Chang P., Chaja A., Dickson R., Hurrell J., McCartney M., Saranavan R., Visbeck M. (2001). North Atlantic climate variability: phenomena, impacts and mechanisms. International Journal ofClimatology, 21, 1863-1898. [ Links ]
Maurer, E.P., Lettenmaier, D.P., Mantua, N.J. (2004). Variability and potential sources of predictability of North American runoff. Water Resources Research, 40(9), W09306.1-W09306.13 [ Links ]
Nazemosadat, M.J. and Ghasemi, A.R. (2004). Quantifying the ENSO-related shifts in the intensity and probability of drought and wet periods in Iran. Journal ofClimate, 17(20), 4005-4018. [ Links ]
Popham W.J., (1967). Educational Statistics, Harper & Row, New York. [ Links ]
Redmond, K.T. and Koch, R.W. (1991). Surface climate and streamflow variability in the western United-States and their relationship to large-scale circulation indexes. Water Resources Research, 27(9), 2381-2399. [ Links ]
Ropelewski, C.F. and Halpert, M.S. (1987). Global and regional scale precipitation patterns associated with the El-Nino Southern Oscillation. Monthly Weather Review, 115(8), 1606-1626. [ Links ]
Sen, Z., Altunkaynak, A. and Ozger, M. (2004). El Nino Southern Oscillation (ENSO) templates and streamflow prediction. Journal of Hydrologic Engineering, 9(5), 368-374. [ Links ]
Shrestha, A. and Kostaschuk, R. (2005). El Nino/Southern Oscillation (ENSO)-related variablity in mean-monthly streamflow in Nepal. Journal of Hydrology, 308(1-4), 33-49. [ Links ]
Terray, L. and Cassou, C., (2002). Tropical Atlantic sea surface temperature forcing of quasi-decadal climate variability over the North Atlantic-European region. Journal of Climate, 15, 3170-3187. [ Links ]
Tootle, G.A. and Piechota, T.C. (2006). Relationships between Pacific and Atlantic ocean sea surface temperatures and US streamflow variability. Water Resources Research, 42(7) W07411, doi:10.1029/2005WR004184. [ Links ]
Twine, T.E., Kucharik, C.J. and Foley, J.A. (2005). Effects of El Nino-Southern Oscillation on the climate, water balance, and streamflow of the Mississippi River basin. Journal of Climate, 18(22), 4840-4861. [ Links ]
Vicente-Serrano, S.M. (2005). El Nino and La Nina influence on droughts at different timescales in the Iberian Peninsula. Water Resources Research, 41 (12), W12415, DOI 10.1029/2004WR003908 [ Links ]
Wang, C. (2002). Atlantic climatic variability and its associated atmospheric circulation cells. Journal of Climate, 15, 1516-1536. [ Links ]


















