Services on Demand
Journal
Article
Indicators
-
Cited by SciELO -
Access statistics
Related links
-
Cited by Google -
Similars in
SciELO -
Similars in Google
Share
Earth Sciences Research Journal
Print version ISSN 1794-6190
Earth Sci. Res. J. vol.14 no.1 Bogotá Jan./June 2010
INTEGRATED ASSESSMENTS OF POSSIBLE EFFECTS OF HYDROCARBON AND SALT WATER INTRUSION ON THE GROUNDWATER OF IGANMU AREA OF LAGOS METROPOLIS, SOUTHWESTERN NIGERIA
Ayolabi, Elijah A., Folorunso, Adetayo F. And Obende Phillips W.
Department of Geosciences, University of Lagos, Lagos, Nigeria Corresponding e-mails: eojelabi@yahoo.com, detayof@yahoo.com
Manuscript received: 05/03/2010 Accepted for publication: 28/05/2010
ABSTRACT
Vertical electrical sounding (VES) and Induced Polarisation (IP) methods of geophysical survey were incorporated with physiochemical analysis of well water samples to determine vertical extent of petroleum-product contamination in subsurface soils and groundwater from bulk-fuel storage and distribution terminals in Iganmu area of Lagos. Interpreted results of VES and IP revealed four geoelectric layers. Clay with resistivity and IP values ranging from 1.5-14 Qm and 50 - 400mV/V respectively was encountered at the last layer penetrated by the survey except in four VES stations where the clay horizon was delineated at the third layer. This implies that subsurface aquifer is sealed by impervious layer which possibly prevents it from being contaminated by hydrocarbon and other refuse materials from the surface. Borehole log and electrical resistivity survey from a control site within the area were also incorporated with the geophysical measurements and these confirm lithologic similarity and the presence of a sealant above the aquifer layer. In addition to this, the results of the physical and geochemical analyses carried out on groundwater samples from shallow wells within the pack show very negligible level of hydrocarbon contamination which has no serious environmental implications on subsurface water in the area. However, electrical conductivity, salinity and TDS values obtained show high level of dissolved minerals (salts) making the water highly saline and unsuitable for drinking being far above recommended values for drinking water. We thus inferred that Lagos lagoon must have invaded the aquifer in some places leading to high salinity observed.
Key words: contamination, hydrocarbon, electrical resistivity, physiochemical, IP sounding.
RESUMEN
Los métodos de Sondeo Eléctrico Vertical (VES) y Polarización Inducida (IP) se incorporaron al análisis físico-químico de las muestras de agua de pozo para determinar la extensión vertical de contaminación por petróleo en el subsuelo y las aguas subterráneas desde los almacenamientos de combustible y terminales de distribución en Iganmu, en la zona de Lagos. La interpretación de resultados de VES y IP revelaron cuatro capas geo-eléctricas. Arcilla con resistividad y valores IP que van desde 1,5 hasta 14 Qm y 50 - 400 mV / V respectivamente, fue encontrada en la última capa alcanzada por el estudio, excepto en cuatro estaciones de VES, donde se delineó el horizonte de arcilla en la tercera capa. Esto implica que los acuíferos del subsuelo están sellados por una capa impermeable que posiblemente impide que sean contaminados por hidrocarburos y otros materiales desechos de la superficie. Los registros de pozos y la resistividad eléctrica de un sitio de control dentro de la zona fueron incorporados con las mediciones geofísicas y éstas confirman similitud litológica y la presencia de un sellador encima de la capa acuífera. En adición, los resultados de los análisis geo-químicos y físicos llevados a cabo en muestras de agua subterránea de pozos poco profundos dentro del área muestran un nivel insignificante de contaminación por hidrocarburos que no tiene graves consecuencias medioambientales sobre el agua del subsuelo en la zona. Sin embargo, la conductividad eléctrica, la salinidad y los valores TDS obtenidos muestran el alto grado de minerales disueltos (sales) haciendo que el agua sea altamente salina y no apta para beber, ya que está muy por encima de los valores recomendados para ser agua potable. De esta manera se infiere que la laguna de Lagos ha invadido el acuífero en algunos lugares dando paso a la elevada salinidad observada.
Palabras clave: contaminación, hidrocarburos, resistividad eléctrica, físico-químico, sondeo por polarización inducida.
1. Introduction
Exploration geochemical methods may not be adequate in environmental site characterizations. In fact, these methods, developed and used by the petroleum industry have been described as invaluable because most environmental consultants and companies do not use them as the methods are unfamiliar to environmental scientists and to most regulatory agencies (Agostino et al., 2002). Additional information that must be integrated with analytical data to better characterize a site of potential hydrocarbon contamination include historical data, subsurface geology, hydrology and geophysical data of environmental importance.
Historical data involve the history of activities that relate to the source of the contaminations; and a good understanding of the subsurface stratigraphy through which the contaminants migrate. Hydrology is the scientific study of water including occurrence, distribution in space and time and its relation to people and the natural environment. Geophysical data sets would help to determine availability of water in the subsurface strata; its occurrence, quality and quantity.
Geophysical methods commonly use is the electrical resistivity method which probes far to the subsurface giving clue to the occurrence, or otherwise, of groundwater; and its quality and quantity is determined from the measured resistivity values. Though the determination is not in absolute term but relative through the interpretation of inverted electrical resistivity values compared with established resistivity values of some common substances. Many authors attest to the efficiency of vertical electrical sounding (VES) data not only in exploration but also in the determination and mapping of groundwater quality, quantity and pollution (Atekwana et al., 2003, Shevnin et al., 2005a & 2005b, Ayolabi etal., 2009).
Additional electrical method employed in this type of survey includes Induced Polarization (IP). The method is based on the study of potential measurement observed in geological formations when direct current is sent into them, when the current is suddenly switched off, the potential difference observed between the measuring electrodes does not vanished instantaneously but gradually dies down in course of a few seconds or minute. This is the chargeability measure in millisecond (ms) or in mV/V. For environmental study, it is noted that saline water prevents IP because of its high conductivity which does not allow for any ion accumulation (Ayolabi et al., 2009). The data are subjected to qualitative interpretation with reference to established chargeability of various materials as shown in Table 1.
1.1 Background of the Study Area
Iganmu is located within Lagos metropolis. It is located between latitudes 6.475200 to 6.475550 N and longitudes 3.366400 to 3.37020E (Fig 1). The pack is bulk-fuel storage and distribution terminals where petroleum products business transactions take place. Though a relatively small land-mass, various activities that pose enormous environmental challenges are carried out day in day out. These include storing fuel in surface hydrocarbon reservoir tanks, loading of fuel by tankers (Lorries), rusting of abandon fuel trucks (tankers), mixtures of black oil with other substances and collection of refuse made of various materials dumped by human being transacting one business or the other at the pack (Fig 2).
Hydrocarbon pollution here occurred mainly at the surface; however, this may find its way into the subsurface by percolation through the soil profile in the absence of a sealant such as clay or clayey layer. In addition, the site is bounded by Lagos lagoon from where it derives salty water intrusions. Residential and commercial properties are built around the park. Drops of petroleum products mainly gasoline, kerosene, and heavy oil get to the surrounding buildings from run-off during rain and from flow mechanism of the products. These are widely observed along drainage paths in the study area.
1.2 Geology
Lagos lies within the Dahomey basin. The basin extends from the eastern part of Ghana through Togo and Benin Republic to the western margin of the Niger Delta (Fig 3). It is actually the eastern part of the basin that falls within Nigeria territory and is thus referred to as Eastern Dahomey Basin. Many workers have described the stratigraphy of the basin extensively. Jones and Hockey (1964) put the oldest unit as Abeokuta group which are Maastrichtian in age. However, Omatshola and Adegoke (1981) divided the group into three lithologic units: Ise formation made of conglomerates and grits at the base overlain by coarse to medium grained sands with interbeded kaolinite; Afowo formation composed of coarse to medium grained sandstone with interbeded shale, siltstone and claystone with the sandy facies being tar-bearing while the shale is organic-rich (Enu, 1990); and the Cretaceous sediment composed of fine to medium grained sandstone at the base, overlies by shale, siltstone with interbeded limestone, marl and lignite called Araromi formation.
Overlying Abeokuta group is Ewekoro formation made of shaly limestone unit (Adegoke, 1977) the limestone is highly fossiliforous (Jones and Hockey, 1964) assigned with Paleocene age. Akinbo formation overlies Ewekoro being composed of shale and clay sequence (Ogbe, 1972) of Paleocene to Eocene age. Oshoshun formation is the next overlying Akinbo formation. It comprises pale greenish grey laminated phosphate and glauconitic shale which is Eocene in age. Ilaro formation conformably overlies Oshoshun formation and composes of massive yellowish, poorly consolidated cross-bedded sandstone while the youngest stratigraphy in the basin is the Benin formation also known as coastal plain sands (Jones and Hockey, 1964). It consists of poorly sorted sands with lenses of clays. The age is Oligocene to Recent.
The exposed rock unit in the study area is the coaster plain sand or Benin formation consists of poorly sorted sands with lenses of clays. The sands are in part cross bedded and show transitional to continental characteristics.
1.3 Hydrology
The sand, sandy clay and clayey sand deposits of Oligocene to Recent are the major aquifers in the study area. Individual boreholes in residential places around the area serve as sources of potable water for the citizens. Any unconfined aquifer in the area could easily be infiltrated by the percolating solutions because of weak protective capacity of the overlying layers. The area has a saline base whose source is the Lagos lagoon that infiltrates into the nearby subsurface strata. Unfortunately, with increasing activities of petroleum dealers and indiscriminate dumping of refuse in the area, the groundwater around the vicinity of the pack may be rendered unsuitable for domestic purposes, except for deep borehole overlain by impermeable layer.
2. Methodology Employed
A holistic method involving electrical resistivity and IP soundings, study of well log of a drilled water borehole and physicochemical analysis of two water samples from shallow wells within the study area was adopted. A control site was also chosen. The site - National Theatre - is located on latitudes 6.471730to 6.471780N and longitudes 3.370110to 3.370210 E far away in southeastern side of the main study area to ensure that it is free from any environmental challenges the study area might have been subjected to due to various human activities. The idea was to enable comprehensive reports on the environmental condition of the subsurface water, to ascertain if the hydrocarbon and other anthropogenic activities at the surface have reflection on the groundwater and for verification of results. Nine (9) VES and IP soundings were established in the study area and additional two (2) from the control site far from the study area (Fig 4). The data were collected using ABEM SAS - 1000 Terrameter with schlumberger electrode configuration. A maximum electrode separation, AB, of 300m was used owing to non-availability of space and the fact that the study focuses on shallow depth investigation of few meters below the surface. For the IP sounding, it is a common practice to measure it along with resistivity for correct interpretation of field data (Murali and Patangay, 2006).
Borehole log of a deep well drilled in National Theatre was obtained and studied alongside the two electrical soundings conducted within the National Theatre compound for comparative study. The idea is to verify the lithologic description from electrical resistivity and IP surveys since both the study and control sites are from Iganmu area of Lagos metropolis. In addition to these, two water samples were collected from hand-dug wells within the area for physiochemical analysis to confirm, or otherwise, if the anthropogenic activities described earlier have impacted negatively on water from both shallow and deep (borehole) well of the area.
3. Results and Discussions
3.1 Electrical Resistivity and IP Results
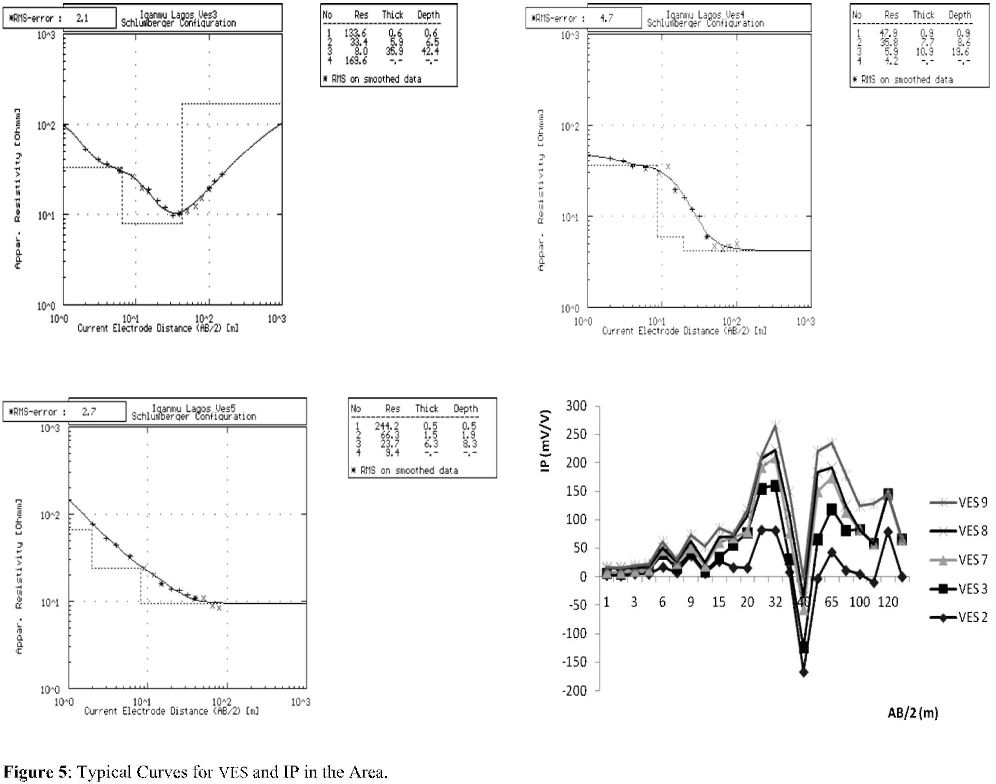
Quantitative interpretation of the VES data was carried out in stages: (1) Plotting and smoothing of the apparent resistivity field data curve and removing the noise appropriately; (2) curve matching the smooth curve on tracing paper using two layer model master and the corresponding auxiliary curves (Bhattacharya and Patra, 1968); (3) initial geoelectrical model(thicknesses and resistivities) emerging from the previous stage was prepared; and (4) entering the geoelectrical model into the Vander Velpen (1988) geoelectric modeling and inversion package. The iteration was achieved using RESIST software at a minimum root mean square error. Samples of the curves obtained after the process are shown in Figure 5.
The IP data were equally plotted against the electrode spacing and presented as sounding curves (Fig 5). Only qualitative interpretation is needed here most especially to differentiate between sand with saline water and clay formations which give the same signature in resistivity sounding (Ayolabi et al., 2009)). Murali and Pantangay (2006) noted that familiarity with the theoretical response over known geometric bodies and searching for similar characteristics features in the field data can help in detecting the location, lateral extent and depth of causative body. This starts with identifying the anomaly (usually of higher polarisability) on the background of noise created by surfacial layers and other formations.
Four (4) geoelectric layers were delineated from the interpreted VES data. Results of the nine VES and IP soundings were used complimentarily to arrive at the lithological description inferred in this work. The top soil resistivity and IP values vary from 18 - 244 Qm and 1-10 mV/V respectively with a thickness of 0.5 - 0.9 m. This layer is very sandy having very low IP values allowing percolation of liquid or solution. The envisaged pollutant in the area is a composite one from diverse sources and substances: hydrocarbon products, refuse comprising waste, metallic and nonmetallic substances, and other anthropogenically derived materials. Hydrocarbon is an insulator but when occur with saline water will have resistivity much lower than its original resistivity (Halliburton, 2001). Hence the resistivity measured in this work is not on the high side reflecting the composite nature of the pollutant even though the fuel products littered the surface as shown in Fig 2 previously. Thus, high resistivity values (133 and 244 Qm) of top soil in VES stations 3 and 5 could be due to the hydrocarbon pollutant as observed during the field survey.
The second layer is made of clayey sand having resistivity and IP values of 50 - 66 Qm and 10-100 mV/V respectively, with a thickness range of 1.2 - 2.0 m; and sand bed containing brackish water with resistivity range of 30 - 66 Qm and IP values of <20 mV/V. It is not unlikely that traces of hydrocarbon and other pollutants are also encountered in this layer being overlain by permeable (sandy) formation of relatively thin thickness but the effect is not prominent from the electrical resistivity sounding results, however, VES 8 shows traces of hydrocarbon with the resistivity value of 139 Qm. The third layer is interpreted as clay (1.5 - 14 Qm) and sand formation containing brackish or saline water (4.6 - 9.5 Qm) with IP values of >60 mV/V and < 20 mV/V respectively. The clay horizon in this layer is found to be sealant for the underlying formations (VES 1,2,3,6 and 7, Fig 6) thus preventing the aquifer in the area from surface contaminants, but may not prevent saline water from the nearby Lagos lagoon, which flow into the surrounding subsurface layers by osmosis rather than by percolation.
The last geoelectric layer comprises clay with resistivity range of 3 - 9 Qm and >50 mV/V IP value and clean sand bed containing fresh water having a resistivity range of40 -189 Qm and IP values ranging from 0-40 mV/V. Noteworthy, the VES stations where clean sand formation was encountered have clay overlying it thus preventing any possible contamination from the surface, while other VES stations have clay as the last layer penetrated by this survey. It thus means that there may not be any significant contamination of groundwater in aquifer deeper than 50 m (maximum depth probed in this study) in the area.
3.2 VES, IP and Borehole Log from the Control Site
Two VES and IP data obtained from the control site was interpreted and juxtaposed with the well log of a producing water borehole within the premises of the National Theatre. Four geoelectric layers of relatively similar lithology were also delineated here. It is worthy to note that the third layer is also clay (1.7-3.5 Qm) which acts as a seal with high value of IP (>70 mV/V). This is equally underlain by a sand of 44 - 125 Qm and <20 mV/V resistivity and IP values respectively. The borehole log reveals that aquifer here is overlain by an impervious clay layer confirming the findings of electrical sounding. However, the borehole is deeper (above 160m) than the depth probed by the resistivity soundings (Fig 7).
3.3 Hydrogeochemical Study
Two water samples collected from two hand-dug shallow wells labelled A and B were analysed and the results shown in Table 3. The pH is a measure of acidity and alkality of water. The values obtained for the two wells fall very close to the maximum permicile by WHO (2006). According to Ezeigbo (1989), the water could be classified as alkaline water. The electrical conductivity (EC) is a reflection of the degree of dissolved matters in water. Chemically pure water has a very low EC (Montgomery, 2002). Very high values of EC and chloride content from the two wells attest to its high salinity and finally confirm saline water intrussion from the nearby lagoon as delineated from electrical sounding results.
The total dissolved solute (TDS) and hardness values obtained were too high far above the minimum and maximum permicible levels proposed by WHO (2006). It also suggests high level of dissolved solids and falls within saline and very hard classes proposed by Todd (1980). Total hydrocarbon content (THC), oil and grease values observed further butress the fact that there is moderate infilteration of hydrocarbon into the shallow wells. However, it should also be noted that these values are not above the permisible WHO level. Worthy to note is the fact that THC, oil and grease contents of well A are more than that of well B. This is possiblly due to the proximity of well A to the pollution plume. Whereas, pH, EC and TDS are higher in well B perhaps due to it closeness to the lagoon. Thus, the result of physico-chemical analysis also agrees with electrical soundings that there is no significant hydrocarbon contamination of groundwater in the area.
4. Conclusions
Geophysical and hydrogeochemical methods were used to determine vertical extent of petroleum-product contamination in subsurface soils and groundwater from bulk-fuel storage and distribution terminals in Iganmu area of Lagos Metropolis. Electrical resistivity (VES) and IP results were used to delineate four geoelectric layers. Clay layer with resistivity and IP values ranging from 1.5-14 Qm and 50 -400mV/V respectively was encountered either in the third or fourth layer in all the VES points. This implies that subsurface aquifer is sealed by impervious layer which possibly prevents it from being contaminated by hydrocarbon and other refuse materials from the surface. Borehole log and electrical resistivity survey from a control site within Iganmu area also confirms lithologic similarity and the presence of a sealant above aquifer layer. A further step was taken to ascertain if groundwater from shallow wells around the pack has been affected in any way. Thus, physical and chemical characterization of the water from two hand-dug wells did indicate low to moderate -level of hydrocarbon, oil and grease contents which has no significant environmental implications. However, electrical conductivity, salinity and TDS values obtained show high level of dissolved mineral (salts) making the water highly saline. Thus, it is concluded that the water found in the subsurface of the investigated area are not suitable for human consumption.
References
Adegoke, O.S. (1977): Stratigraphy and Paleontology of the Ewekoro Formation (Paleocene) of Southwestern Nigeria. Bulls. A Paleontol, Vol. 71, No. 295, 275pp. [ Links ]
Agostino, P.N., LeBlanc Jr. R.J. and Jones III, V.T. (2002): Assessment of Subsurface Hydrocarbon Contamination Resulting from Multiple Releases at Six Former Bulk-Fuel Storage and Distribution Terminals, Austin, Texas: a Case Study. In Surface Exploration Case Histories: Applications of Geochemistry, Magnetics and Remote Sensing. D. Schumacher and L.A. LeSchack, eds.AAPG Studies in Geology No. 48 and SEG Geophysical References Series No. 11, p. 299-325. [ Links ]
Atekwana, E. A., Atekwana, E. A. and Rowe, R. S.( 2003): Relationship Between Total Dissolved Solids and Bulk Conductivity at a Hydrocarbon-Contaminated Aquifer. SAGEEPProceedings, pp. 228-237. [ Links ]
Ayolabi, E.A., Atakpo, E.A., Adeoti, L., Otobor, E.C. and Arerin, T. (2009): Groundwater Quality Assessment Using Predrilling Electrical Measurements. Journal of Environmental Hydrology, Vol, 17, pp. 1-12. [ Links ]
Bhattacharya, P.K. and Patra, H.P. (1968): Direct current Electrical sounding. Elsevier, Amsterdam. [ Links ]
Billman, H.G., (1992): Offshore Stratigraphy and Paleontology of Dahomey Embayment, West Africa. Nigerian Association ofPetroleum Explorationists Bulletin, v. 72, p. 121-130 [ Links ]
Daniels, F. and Alberty R.A., (1966): Physical Chemistry. John Wiley and Sons, Inc [ Links ]
Enu, E.I. (1990): Aspect of Rock Evaluation Studies of the Maastrichtian - Eocene Sediments. Jour. Min and Geol., Vol 40(1), pp 29-40. [ Links ]
Ezeigbo, A.A. (1989): Groundwater Quality Problem in Part of Imo State, Nigeria. Nig Jour. Min and Geol., Vol. 25, pp10 - 22. [ Links ]
Halliburton, (2001): Basic Petroleum Geology and Log analysis. Halliburton Company, 80p [ Links ]
Jones, M.A. and Hockey, R.O., 1964: The Geology of Part of Southwestern Nigeria. Nig. Geol. Surv, Bull. No. 31, 101p. [ Links ]
Keller G.V. and Frischknecht F.C. (1966): Electrical Methods in Geophysical Prospecting. Pergamon Press Inc., Oxford. [ Links ]
Montgomery, C.W. (2002): Environmental Geology. Quebeco Printing Group, Northern Illinois, p.546. [ Links ]
Murali, S. and Patangay, N. S. (2006): Principles of Application of Groundwater Geophysics. Association of Geo-physicists, Hyderabad, India, 3rd Ed. 371p [ Links ]
Ogbe, F.G.A. (1972): Stratigraphy of Strata Exposed in the Ewekoro Quarry, Southwestern Nigeria. In: T.F.J. Dessauvagie and Whiteman (Eds) African Geology, University Press, Nigeria, pp. 305 [ Links ]
Omatsola, M.E., and Adegoke O.S. (1981): Tectonic and Cretaceous stratigraphy of Dahomey Basin. Journal of Min. Geol. Vol. 54 pp. 65-87. [ Links ]
Shevnin, V., Delgado Rodríguez, O., Mousatov, A., Zegarra Martínez, H., Ochoa Valdés J. and Ryjov, A.( 2005a): Study of Petroleum Contaminated Sites in Mexico with Resistivity and EM methods. SAGEEPProceedings, Atlanta, Georgia, pp.167-176. [ Links ]
Shevnin, V., Delgado-Rodríguez, O., Fernández-Linares, L., Zegarra Martínez, H., Mousatov, A and Ryjov, A. (2005b): Geoelectrical Characterization of Oil Contaminated Site in Tabasco, Mexico. Geofís. Int., 44(3): 251-263. [ Links ]
Todd, D. K (1980): Groundwater Hydrology 2nd Ed. John Willey and Sons, New York, 555p. [ Links ]
Vander Velpen, B.P.A. (1988): RESIST Version 1.0. M.Sc Research Project, ITC, Deft, Netherlands. [ Links ]
World Health Organisation-WHO (2006): Guidelines for drinking Water quality, Geneva. [ Links ]





















