Services on Demand
Journal
Article
Indicators
-
Cited by SciELO -
Access statistics
Related links
-
Cited by Google -
Similars in
SciELO -
Similars in Google
Share
Earth Sciences Research Journal
Print version ISSN 1794-6190
Earth Sci. Res. J. vol.15 no.1 Bogotá Jan./June 2011
Analysis and comparison model for measuring tropospheric scintillation intensity for Ku-band frequency in Malaysia
JS Mandeep, RM Zali
Department of Electrical, Electronic & Systems Engineering ,Faculty of Engineering & Built Environment, Universiti Kebangsaan Malaysia, 43600, UKM Bangi,Selangor Darul Ehsan,Malaysia Email: mandeep@eng.ukm.my, reeza79@yahoo.com
Record
Manuscript received: 25/01/2011 Accepted for publication: 28/05/2011
ABSTRACT
This study has been based on understanding local propagation signal data distribution characteristics an did entifying and predicting the overall impact of significant attenuating factors regarding the propagation path such as impaired propagation for a signal being transmitted. Predicting propagation impairment is important for accurate link budgeting, there by leading to better communication net work system designation. This study has thus used sample data for one year concerning beacon satellite operation in Malaysia from April 2008 to April 2009. Data concerning 12GHz frequency (Ku-band) and 40° elevation angle was collected and analysed, obtaining average signal amplitude value, % and also standard deviation ó which is normally measured in dB to obtain long-term scintillation intensity distribution. This analysis showed that scintillation intensity distribution followed Gaussian distribution forlong-term data distribution. A prediction model was then selected based on the above; Karasawa, ITU-R, Van de Kamp and Otung models were compared to obtain the best prediction model performance for selected data regarding specific meteorological conditions. This studys howed that the Karasaw a model had the best performance for predicting scintillation intensity for the selected data.
Keywords: Tropospheric scintillation, Ku-band, satellite communication, atmospheric attenuation.
RESUMEN
Este estudio se basa en la comprensión de las características y distribución de los datos de la señal de propagación local, identificar y predecir el impacto general de los factores atenuantes más significativos relacionados con la trayectoria de propagación, tal como el deterioro de una señal propagada durante su transmisión. La predicción del deterioro en la propagación es importante en la exactitud del enlace presupuesto, permitiendo mejorar la red de comunicación del sistema diseñado. Este estudio utilizo una muestra de datos de un año del funcionamiento del satélite Beacon en Malasia desde abril2008 aabril2009. Los datosserefierenaunafrecuenciade12GHz(Band Ku) y un ángulo de elevaciónde40°, recogidos y analizados, y entonces obteniendo un valor promedio de amplitud de señal, % y una desviación estándar que normalmente se mide en dB para obtener a largo plazo una distribución de la intensidad de centelleo. Este análisis mostró que la distribución de la intensidad de centelleo corresponde a una distribución Gaussiana para datos de distribución a largo plazo. Con base a lo anteriorseseleccionounmodelodepredicción;losmodelosdeKarasawa,ITU-R,VandeKamp and Otung fueron comparados para obtener el mejor modelo de predicción para los datos seleccionados para condiciones meteorológicas específicas. Este estudio mostró que el modelo Karasawa tuvo el mejor desempeño para predecir la intensidad de centelleo para los datos seleccionados.
Palabras clave: centelleo troposférico, band Ku, comunicación satelital, atenuación atmosférica.
Introduction
Radio-wave propagation through the Earths atmosphere has a major impact on system design; several propagation effects increase in importance when comparing lower frequency bands, having a high degree of accuracy and comprehensiveness concerning their prediction (Agunlejika, et al., 2007). Propagation impairment regarding satellite communication links, especially in the Ku band and signal level fluctuation caused by attenuation due to rain and tropospheric scintillation, must be is carefully considered to ensure accurate link budgeting.
Tropospheric scintillation concerns rapid signal amplitude and phase fluctuation throughout a satellite link. It is caused by irregularities and turbulence in the first few kilometres above the ground, therebyaffecting atmospheric refractive index measurement (Mandeep et al., 2006). A link for propagation through the troposphere consists of combining random absorption andscattering from acontinuum ofsignals along apathcausing random amplitude and random scintillation in the waveform being received. Scintillation effect varies as time elapses and is dependent upon frequency, elevation angle and weather conditions, especially dense cloud. The greatest effect caused by tropospheric scintillation is signal fading, thereby acting as a limiting factor on system performance (Akhondi and Ghorbani, 2005).
This is why accurate prediction is important when evaluating a link budget, especially in highly tropospheric scintillation conditions. Scintillation occurs continuously, regardless of whether the sky is clear or rainy. When it is raining, signal level fluctuation (known as scintillation) can change together with rain attenuation affecting signal level. Signal log-amplitude level will rise dramatically and such extreme level data should be carefully eliminated (Mandeep et al, 2006).
Data analysis
The measurement of data collected from a beacon satellite having 12 GHz frequency, 2.4m antenna diameter and 40° elevation angle were obtained by monitoring and collecting data from April 2008 to April 2009. Disanayake et al, (2002) have mentioned that most available beacon data has been analysed regarding clear sky conditions and this essentially removes the bulk of low-attenuation-producing phenomena. Table 1 gives measurement site specifications.
Signal attenuation due to rain is the most remarkable signal propagation effect in Ku-band frequency and this kind of loss due to the above can be greater than 15 dB over a short period of time (Otung, 1996). All data which has become changed due to attenuation caused by rain is eliminated.
Considering a clear sky (with or without rain), all data having a spike regarding extreme amplitude values due to rain attenuation has been removed by comparing it to rain gauge data values. Visual inspection was needed and performed for all data sequences to eliminate spurious and invalid data (Garcia, 2008). Full attention must be paid during inspection to ensure obtaining accurate result from studies. Scintillation variance values can be best described for scintillation intensity in the present study and have been calculated as the standard deviation of signal amplitude given in decibels (dB).
Comparison prediction model
Four prediction models were selected for this study: Karasawa (Karasawa et al, 2002), ITU-R (2009), Van de Kamp (Van de Kamp et al., 1999) Otung (Otung, 1996). The model so selected depended on its correlation with wet refractivity index value, and meteorological conditions, i.e. relative humidity (RH) and temperature, t (°C), these being suitable with scintillation data for a satellite beacon (Van de Kamp, 1998). Prediction model comparison was based on signal fading and enhancement. The chosen model was also able to predict long-term distribution propagation signals.
The Karasawa model
Karasawa has presented a prediction model for signal standard deviation regarding scintillation intensity as follows;

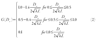
where σn is normalised intensity, f is frequency in GHz, θ is elevation angle and G(Da) is antenna aperture averaging factor as given by:

where λ is wavelength in m, is effective antenna diameter and L is the distance of the turbulent part of the path and can be determined as follows:

Concerning equation (1), Karasawa obtained the following expression for scintillation enhancement:

Signal fading can be expressed as:

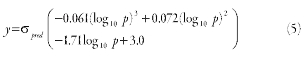
The ITU-R model
The long-term tropospheric scintillation prediction model proposed by the International Telecommunication Union-Radiocommunication sector (ITU-R) was used for calculating the standard deviation of signal fluctuation due to scintillation. This model uses the wet term of earth refractivity wet N, regarding relative humidity and temperature, averaged at least once a month as input (Agunlejika et al., 2007). This model is applicable for frequencies ranging from 7GHz to 20 GHz and 4 to 32 elevation angles. The following equation can be used for the ITU-Rprediction model;

Where,
σ = standard deviation (dB)
σ nf = reference standard deviation (dB)
g(x) = antenna averaging factor
and,


Referring to equation 6, scintillation fading can be calculated from the following equation for 0.01 < p < 50. No prediction model has been recommended by the ITU-Rfor scintillation enhancement.

The Van de Kamp model
The Van de Kamp prediction model represents a slight modification from the ITU-R model. Scintillation standard deviation for long-term distribution can be estimated from the equation given below;

The percentage of time for scintillation intensity can be identified from the above equation, as in equations 11 and 12.


Signal fading and enhancement can be determined as follows:


The Otung model
This model is similar to the ITU-R model, except for elevation angle -11
dependent value which is sin 9 12 and this is shown as equation 15;

Hence, fading and enhancement for signal level can be determined by using this equation:


The analysis and comparison model
Figure 1 shows monthly cumulative distribution for scintillation variance considering average standard deviation of scintillation intensity over a one-month time period. Such variance was determined by considering clear sky conditions without rain. Percentage time value was lower than scintillation variance value for April 2008 and that for April 2009 was slightly higher than for the other month.
Figure 2 shows that average monthly scintillation distribution followed gamma distribution for long-term distribution data collection.
Long-term distribution data should be analysed more than once a month while only a few minutes are needed for short-term data analysis. Figure 2 gives values regarding negative state for signal level enhancement while correct or positive state is for signal level fading. It obviously shows that variation in variance scintillation value for fading and enhancement was not equally likely. Signal fading had a long tail compared to enhancement and the shape was not symmetrical, as has been mentioned by Van de Kamp (1998).
Fading and enhancement represent two types of scintillation signal level. Both have the irown use and functionalities which can have a large effect on the propagation of a signal being transmitted through the atmosphere. When propagation signals are affected by rain, especially during the raining season, fading value will suffer a drastic change due to changes in signal amplitude. However, the enhancement value is not affected by rain or can become negligible.
Figure 3 represents cumulative distribution for signal level fading and enhancement.
Variance distribution for fading was slightly higher when comparing enhancement value for the lower percentage of time. Such cumulative distribution was for a local data study with specific meteorological conditions due to geographical conditions. 26°C temperature and 76% humidity were used in the present study.
Prediction model selection was based on their relationship to meteorological conditions. Comparing these four models showed that the Karasawamodelwasthebestmodelforpredictingscintillationdataintensity,as shown in Figure 4 for scintillation signal fading (~26°C temperature (t) and 76% relative humidity, (RH)).
Figure 4 shows that the Karasawa model gave good prediction, having 0.007dB minimum signal variance, 1.8% of this referring to the measured data. The Karasawa was thus a suitable model for predicting local data regarding scintillation intensity for signal fading compared to the other models while the Otung model did not perform well in predicting scintillation data (0.12dB and 35% from measured data as reference).
However, only three models performed well regarding signal enhancement, as shown in Figure 5. This was because no prediction model has been proposed by the ITU-R for signal enhancement (ITU-R, 2007); only the Karasawa, Van de Kamp and Otung models will thus be compared. Figure 5 shows signal enhancement, at ~26°C and 76% humidity value.
This comparison obviously showed that the Karasawa model also performed well for predicting signal level enhancement regarding scintillation data intensity. A small difference regarding variance value with 0.0052dB and 2.6% as reference compared to the other models. The Otung model was the worst model (0.0414dB and 20.96% referencevalues).
Conclusions
Tropospheric scintillation predication models have been reviewed and evaluated, including models for predicting signal log-amplitude cumulative distribution and models for predicting scintillation intensity. This tropospheric scintillation intensity study responded to the requirement for better understanding of propagation impairment in satellite communication systems. Better understanding can produce better system design. This study thus concluded that the Karasawa prediction model can be best used for predicting overall propagation impairment regarding scintillation on the Malaysian propagation path.
Acknowledgement
The author would like to acknowledge the Universiti Kebangsaan Malaysia, Universiti Sains Malaysia, MOSTI grant Science Fund (01-01-92-SF0670), UKM-GGPM-ICT-108-2010, the Association of Radio Industry Business (ARIB) of Japan for providing the instruments used for collecting the data and the Research University Postgraduate Research Grant Scheme (USM-RU-PGRS).
References
Agunlejika, O., T.I. Raji and O.A. Adeleke (2007). "Tropospheric scintillation prediction for some selected cities in Nigeria's tropical climate", International Journal of Basic and Applied Science, 9,10,12-19. [ Links ]
Akhondi, M. and A. Ghorban (2005). "Long-Term cumulative distribution modeling of tropospheric scintillation for the earth-satellite links in the 40/50 GHz band", 4th WSEAS International Conference on Electrical, Hardware, Wirel. and Optical Commmunication., 1, Wisconsin, USA, 56-59. [ Links ]
Dissanayake A., J. Allnutt and F. Haidara (2002). "A prediction model that combines rain attenuation and other propagation impairments along earth-satellite paths", IEEE Transaction on Antenna and Propagation, 45,10,1546-1558. [ Links ]
ITU-R Recommendation P.618-9 (2009). "Propagation data andprediction methods required for the design of earth-space telecommunication systems", [ Links ]
Karasawa,Y., M. Yamada and J. Allnutt (2002) "A new prediction method for tropospheric scintillation on earth-space paths" IEEETransaction on Antenna and Propagation, 36,11,1608 - 1614. [ Links ]
Mandeep, S. J. S., I.S.H Syed,, I. Kiyoshi, T. Kenji and I. Mitsuyoshi (2006). "Analysis of troposphericscintillation intensity one arthtospace in Malaysia",American Journal of Applied Science, 3, 9, 2029-2032. [ Links ]
Otung, I. E. (1996). "Prediction of tropospheric amplitude scintillation on a satellite link". IEEETransaction on Antenna and Propagation 44, 9, pp 1600-1608. [ Links ]
Van de Kamp, M.M.J.L, J.KTervonen, E.T. Salonen, andJ.P.V.P Baptista,. 'Improved models for long-term prediction of tropospherics cintillation on slant paths'. IEEE Transaction on Antenna and Propagation, 47,12, 249-260. [ Links ]
Van de Kamp, M.M.J.L. (1998) "Asymmetric signal level distribution due to tropospheric scintillation", Electronic Letters, 34, 17, 1145 - 1146. [ Links ]



















