Services on Demand
Journal
Article
Indicators
-
Cited by SciELO -
Access statistics
Related links
-
Cited by Google -
Similars in
SciELO -
Similars in Google
Share
Earth Sciences Research Journal
Print version ISSN 1794-6190
Earth Sci. Res. J. vol.18 no.1 Bogotá Jan./June 2014
https://doi.org/10.15446/esrj.v18n1.47433
http://dx.doi.org/10.15446/esrj.v18n1.47433
HYDROCARBON POTENTIAL
Hydrocarbon Production Scenarios in Colombia. Review of Field Sizes, Hydrocarbon Reserves and Expectations of Conventional and Unconventional Resources.
Beltrán Rivas Julian Daniel y Vargas Jiménez Carlos Alberto
Universidad Nacional de Colombia
E-mail: jdbeltranr@unal.edu.co - cvargas@ciencias.unal.edu.co
Record
Manuscript received: 30/09/2013 Accepted for publication: 31/05/2014
ABSTRACT
The present research work examines three aspects of great importance for the future supply of oil and gas in Colombia. 1) The geographic and geological distribution of hydrocarbon resources for use in estimations of the contribution of different field sizes to the total supply of oil and gas in Colombia. 2) The current state of the hydrocarbon reserves in Colombia and factors that influence their increase or decrease; statistical tools are used to calculate the volume of hydrocarbons that may be found in the future. 3) The observed decline of hydrocarbon production in Colombia, which is used to estimate the amount of resources that may be extracted in the future once peak production has been reached. Based on these three aspects, we constructed different scenarios to forecast the potential production of oil and gas in Colombia. In addition, we calculated the amount of hydrocarbon reserves in these scenarios.
Key words: ultimately recoverable resources, oil production, gas production, production peak, oil reserves, gas reserves, decline rates.
RESUMEN
El presente trabajo resume tres aspectos considerados de gran importancia para el futuro suministro de petróleo y gas en Colombia. Estos son: 1) La distribución geográfica y geológica de los recursos hidrocarburiferos como herramienta para conocer la contribución de los diferentes tamaños de campo a la producción total de hidrocarburos en Colombia; 2) El estado actual de las reservas de hidrocarburos en Colombia y los factores que inciden en el incremento o disminución de las reservas, que son dos asuntos temas que inciden en el futuro suministro de estos recursos. Al respecto, por medio de herramientas estadísticas se calcula el volumen de hidrocarburo que puede ser encontrado en el futuro. 3) Las tasas de declinación en la producción de hidrocarburos observados observadas en Colombia, permiten modelar los recursos que pueden ser recuperados en el futuro una vez alcanzados los picos de producción. Bajo esta hipótesis, se construyen diferentes escenarios que resumen pronostican la posible producción de petróleo y gas en Colombia para los próximos años, además se calculan las reservas de hidrocarburos para los mismos escenarios.
Palabras clave: RFR, Producción de petróleo, Producción de gas, Pico de producción, Reservas de petróleo, Reservas de gas, Tasas de declinación.
INTRODUCTION
Hydrocarbons currently represent the primary source of energy in the world and are expected to remain the primary energy source despite discoveries of alternative energy sources. Therefore, the supply of hydrocarbons is a topic of great political, economic and academic interest.
Hydrocarbon reserves are determined by a variety of geological, technological, economic and political factors that create uncertainty for the future of hydrocarbon supply and demand. The goal of this work is to present the current state of three aspects that will influence the supply of hydrocarbons in Colombia in the coming years.
1 - The size distribution of hydrocarbon fields, which is important for determining the distribution of hydrocarbon resources in Colombia and studying the relative importance of large and small fields for the production of oil and gas in the country. The state of hydrocarbon reserves, which is a fundamental topic for the prediction of oil and gas supplies. An estimation of the size of hydrocarbon reserves in Colombia must consider all factors that may influence increases or decreases of these reserves.
2 - An analysis of the decline in hydrocarbon production. The methodology developed in this article allowed us to estimate oil and gas production for specific fields or regions over time.
2. FIELD SIZE DISTRIBUTION
The methods for evaluating recoverable resources and hydrocarbon supplies develop possible future scenarios that are usually based on the size distribution of oil and gas fields for a given region. The field sizes to which we refer in this article correspond to the ultimately recoverable resources (URR) of each field.
URR = accumulated production + recoverable reserves.
The calculation of oil and gas URR is conducted by adding the accumulated production and recoverable reserves.
Most URR in a region are concentrated in a small number of large fields and are typically discovered in the early stages of exploration. Subsequent discoveries usually correspond to smaller fields that are more difficult to find. Table 1 shows the top 5 largest oil fields in the world up to the year 2008 and their year of discovery, which indicates their advanced productive age. Only 1% of the oil fields represent 75% of the accumulated discovered resources in the world.
2.1 The Importance of Large Fields in Colombia
The size distribution of oil and gas fields in Colombia has been established based on the proposal by Ivanhoe and Luckie (1993) in which fields are grouped into ten categories according to their estimated URR (Tables 2 and 3).
As shown in Table 2, large fields dominate the supply of hydrocarbons in Colombia2 (ACP, 2012), Figs. 4 and 5, which is consistent with global trends. The five fields with a URR larger than or equal to 500 million barrels (MMbbl) are only 1% of the total fields, but they represent 35% of all accumulated discoveries. The fields with URR between 100 MMbbl and 500 MMbbl correspond to 5% of all fields and represent 70% of the accumulated discoveries.
For gas reserves, there are four fields classified as "very large" (Table 3) that exceed a URR of one Tera-cubic feet (TCF), which represent 1% of all fields and are responsible for 75% of the accumulated resources. During the development of this work, we primarily relied on demonstrated oil and gas reserves with the exception of a few fields for which the number of probable reserves was used.
The giant and very large oil fields in Colombia contribute on average 60% of the daily oil production in the country (Fig. 1). Regarding gas production, 88% of the gas delivered to the pipeline originates in large fields (Fig. 5), which indicates the strong production control exerted by large fields in Colombia.
3. OIL AND GAS RESERVES IN COLOMBIA
The increase in oil and gas reserves is a fundamental topic for the prediction of future hydrocarbon supplies. Therefore, a review of the following concepts is necessary.
Reserves are the amounts of oil and/or gas whose extraction is considered to be technologically accessible and economically feasible under given conditions. The estimation of reserves is susceptible to change because of accumulated production, revisions to the geological scenario, improvements of extraction techniques, the introduction of new technologies, or the modification of social, political and economic conditions in a given region. Considering these variables, the reserves are presented within different confidence levels, which are explained below (Salager, 2005).
• Demonstrated reserves (1P) are the amounts of oil and/or gas that have been determined (by the analysis of geological, geophysical and engineering data) to be commercially recoverable from a given date, from known deposits and under well-defined economic conditions, operational methods and government regulations. In probabilistic terms, there must be a probability of at least 90% that the real extracted quantities will be equal to or superior than the estimates.
• Probable reserves (2P) are additional reserves whose extraction has been determined (by the analysis of geological and engineering data) to be less likely than that of 1P but more likely than that of possible reserves. In probabilistic terms, there must be at least a 50% probability that the real extracted quantities will be equal to or superior than the estimates.
• Possible reserves (3P) are reserves that are less likely to be extracted than 2P. There must be a probability of at least 10% that the real extracted quantities will be equal to or superior than the estimates. (ANH, 2008).
3.1 Sources of Reserve Increases or Decreases
The factors influencing the increase or decrease of hydrocarbon reserves can be grouped into three categories.
Geological factors: These factors represent an increase or decrease in the estimations of oil originally in place (OOIP) and gas originally in place (GOIP) because of increased knowledge of the geology of a field or region. New geological knowledge may lead to the discovery of new reservoirs or extensions of known reservoirs and directly affects the volume of OOIP.
Technological factors: These factors represent activities that increase the rate of extraction of OOIP and GOIP, increasing the feasibility and economic viability of extractions from certain fields. Two techniques that stand out are related to increases the effective porosity and the injection of pressurized fluids for the mobilization of hydrocarbons, which concentrate hydrocarbons in a given zone and facilitate their extraction (Salager, 2005).
Definition factors: This term encompasses all legal definitions, economic and political factors that are independent of the hydrocarbons present at the site and extraction rates. These factors include changes in the classification schemes for the reserves, calculation of the reserves by different institutions, calculation methods and oil prices.
The increase in oil Cumulative discoveries (MMbbl) between the years 1980 and 2000 corresponds to the discovery of fields such as Caño Limón (1986), Cusiana (1988), Cupiagua (1993) and Rubiales (1988) (Fig. 6). The fields of Cusiana, Cupiagua, Chuchupa and Ballenas (1973) represent significant gas reserves in Colombia, which also increased the cumulative discoveries in the country.
3.2 Contribution of Colombian Oil and Gas Reserves to the World Reserves
The hydrocarbon industry in Colombia represents close to 60% of all export revenue thus, it is of great importance for the country's economy (DANE, 2012). The Columbian hydrocarbon reserves relative to the world's reserves are shown in Table 4.
In the last three decades, Colombia's contribution to the world's oil reserves has been 0.17% on average. The maximum contribution occurred in the 1990s when Colombia's reserves were 0.25% of the total world oil reserves (Table 4).
The contribution by Colombian gas reserves was lower, and over the last 25 years, Colombia's gas reserves have amounted to 0.11% on average of the world's reserves. This percentage does not vary significantly for the considered time interval (Table 5).
3.3 Estimation and Forecast of the Oil and Gas Reserves in Colombia
In this section, we discuss a fractal model used to estimate the oil and gas reserves that could potentially be found in Colombia. With this model, we are able to forecast the hydrocarbon reserves that may be extracted based on data for the current reserves and production. In addition, this model allows us to project the amount of hydrocarbons that may be found under a given set of technological, political, social and environmental conditions (Vargas, 2012)
The fractal method assumes that the reserves of oil and gas fields are described by an ideal distribution, given by a parabolic or linear function at a log-log scale. This function is determined from a trend analysis that considers the field sizes and ranges to group a number of major fields in a given size [MMbbl and billions of cubic feet (BCF)]. Under these conditions, the function that best fits the observed data for the size and field reserves suggests the total amount of resources that may be discovered. Based on the URR distribution, it is possible to estimate the "amount of hydrocarbon to be discovered," which corresponds to the total amount of resources still underground, defined by the fitting function minus the accumulated resources found to date, or the URR (Fig. 4, Vargas, 2012) Thus, the reserves to be discovered in a region are estimated by the difference between the curve of the observed data and their theoretical fit (parabolic or linear).
We used annual data on production and reserves from oil and gas fields to forecast the discovery of reserves using the fractal method. These data correspond mainly to fields located near the basins of the Upper Magdalena Valley (UMV) and Middle Magdalena Valley (MMV), the Eastern Llanos and the Caguán-Putumayo, Catatumbo and Guajira offshore basins. This information was provided by companies operating in Colombia as well as several institutions, including the Colombian Association of Petroleum Engineering (ACIPET), Colombian Petroleum Association (ACP), Ecopetrol, and Ministry of Mines and Energy. Fields located at other basins from which lower densities of data are available were also included in this study.
1. 4 Methodology for Reserve Calculation from the Fractal Method
1 - The data were organized into different ranges, and each range corresponds to the number of fields with URR larger than or equal to a given number of interest.
2 - The ranges are plotted on the horizontal axis, and their corresponding URR are plotted on the vertical axis (in MMbbl for oil and BCF for gas) at a log-log scale, thus providing the size distribution of the oil and gas fields in Colombia.
3 - The function that best fit the data was estimated.
According to the production and reserve data from the basins mentioned above and additional data from other basins, it is estimated that under the current technological, political, social and environmental conditions, the total volume of oil to be discovered is 21.486 MMbbl (Fig. 5). It is important to clarify that these values can be interpreted as new discoveries or reevaluations of currently known fields. The calculation of the gas volume to be discovered was conducted following the same methodology.
According to the production and reserve data from the basins mentioned above and data from other basins, it is estimated that under the current technological, political, social and environmental conditions, the total volume of gas to be discovered is approximately 49,834 BCF (Fig. 6).
4. DECLINE RATES
The production behavior of the fields over time is the determining factor for the trends of hydrocarbon supply. The hydrocarbon supply can be forecast from the decline rates observed in production. In this section, we examine the decline in hydrocarbon production, and we use this information as a tool for the prediction of future production behavior in Colombia.
4.1 Analysis of the Decline in the Hydrocarbon Production
Decline rate: By "decline", we are referring to the decrease in the production capabilities of a field. The decline rate represents the percentile decrease in production at a given time with respect to an earlier time period (Fig. 8). For Colombia, a decline rate of 9% has been proposed for oil, whereas the corresponding number for gas is 15% (ANH, 2009)
The estimated productive life of a field and the expected production during that time are two questions that can be answered in terms of volumetric calculations. However, the necessary information for an accurate prediction may or may not be available for a given field. Therefore, generating empirical models for the extrapolation of variables, such as the production levels of a given resource in time, can provide answers to these questions. One of the simplest and most readily available characteristics of a well is its production rate.
Forecasts of production can be extrapolated from a plot of known production vs. time by means of an empirical equation. From this extrapolation, it is possible to predict the hydrocarbon production at a given time in the future. The intersection of the extrapolated curve and economic limit indicates the remaining productive life of a field or region; in addition, it provides information on the volume of oil that may be extracted in the future. In other words, an equation can be generated that predicts the future hydrocarbon production trends of a region from known production data under the statistical principles of extrapolation. However, this empirical method may underestimate the values predicted by volumetric methods.
The hydrocarbon production of a field may vary according to the geological characteristics, region and technology employed for its exploitation. Nonetheless, the production cycle of a field or region can be described as a function of time, which is described below.
When extraction begins, there is a rapid increase in production until peak production is reached. The peak production is then sustained for a given time period referred to as the plateau. The duration of this plateau is proportional to the field size and may be extended or reduced by the incorporation of new extraction technologies. At a certain point, the period of peak production comes to an end, and production rates begin to decline (Fig. 7; Höök, 2009). Initially, the decline in production is very steep, but it gradually slows as time passes.
Empirical equations that model hydrocarbon production within a field or region after their production peak show that production decreases geometrically at a constant rate (Fig. 8). This statistical model assumes that the production rate at any given time is a fraction of its value at a previous instant. Therefore, the production rate forms a geometric progression at regular intervals ( Arps, 1944).
A geometric progression includes a constant ratio between successive terms. (Swokowsky, 1989)
This also explains why the decrease in production during a given time interval is given by a fixed fraction or percentage of its value at the time immediately before. This model is used for the estimation of oil and gas production in Colombia for the coming years.
4.2 Empirical Model for Hydrocarbon Production Decline
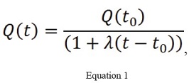
The analysis of decline curves is a method of predicting the future hydrocarbon production of a well, field or region based on production records. (Arps, 1944) introduced empirical curves based on the following principal equation:
where Q(t) is the production of oil or gas at time t during the decline stage. The production peak is given by Q(t0), where t0 is the year corresponding to peak production. The decline rate is given by λ.
4.3 Model for the Estimation of Future Oil and Gas Production in Colombia
The model described above is applicable for the stage after the production peak. Therefore, the periods of peak oil and gas production in Colombia must be established.
The Unit for Mining and Energetic Planning (UPME) has proposed three scenarios for hydrocarbon supply in Colombia based on five sources for the projected incorporation of reserves and the development of production profiles for the period 2012 to 2030 (UPME, 2012). For the construction of these scenarios, the UPME used variables specific to every aspect (technical, operational, economic, political, social and environmental) that has an impact on hydrocarbon exploration and the prospective extraction of resources.
Description of Scenarios
The proposed scenarios are Scarcity, Base and Abundance. For the construction of these three scenarios, five sources of projected incorporation of reserves and production profile development were considered.
The factors to be considered are listed below.
• Demonstrated Reserves Currently Producing: These are existing fields where oil and gas are currently being extracted.
• Additional Reserves Resulting from Improved Extraction: Added reserves and increased production because of improvements in the extraction rate resulting from the application of new technologies.
• Undeveloped Reserves: Currently known resources, re-estimations of specific fields, and probable reserves in other fields.
• Conventional Resources: Incorporation of other potential conventional resources, including heavy crude oil and off-shore gas.
• Unconventional Resources: Incorporation of resources such as shale oil, shale gas, tar sands and coal bed methane (CBM).
It is important to clarify that the Abundance and Base scenarios encompass all five items, whereas the Scarcity scenario does not consider unconventional resources.
With the aforementioned factors, the UPME estimated a time of peak production for oil and gas for each of the proposed scenarios (Table 6). These production peaks are of vital importance for the development of decline models.
Once the peak production period has been established (Table 6), the parameter t0 of Eq. (1) is known (Fig. 9) for each scenario.
The production magnitude at peak production corresponds to Q(t0) and is known because of the scenarios constructed by UPME. Therefore, we have all the information needed to develop the production model.
After the results are obtained, a production vs. time plot is constructed (Figs. 9 and 10), where the results are presented graphically so that the three scenarios can be compared. This type of plot also allows us to evaluate the oil and gas production models for Colombia in the coming years.
4.4 RESULTS
The average oil production in Colombia during 2012 was 944 MMbbl/Day (ACP, 2012) and the Base and Scarcity scenarios show a rapid increase to peak production. The Scarcity scenario reaches peak production in 2014, with a net production of 1,022.8 MMbbl/Day, which is predicted to be sustained for a period of 3 years and will subsequently decline. In 2027, the production will have been reduced to half the value at peak production, and the estimated production for 2050 is 241.8 MMbbl/Day. During the first 10 years of the decline stage, the Scarcity scenario proposed by the UPME fits well to the model proposed in the present work. However, the UPME proposes an increase in crude oil production after 2022 based on the discovery and development of yet-to-find (YTF) oil fields. Our prediction model forecasts a continued decline after that year.
The Base scenario reaches peak production in 2016, with a production of 1,273.5 MMbbl/Day. No significant difference is observed with respect to the Scarcity scenario once the decline stage has begun. The production in 2030 will have been reduced to half its peak value, and the estimated production for 2050 is 315.2 MMbbl/Day, which is only 70 MMbbl/Day better than in hat the Scarcity scenario. The proposal by the UPME shows a correlation with the Base scenario proposed in this work up to 2022. At that point, the prognoses diverge because of the increase in crude oil production proposed by the UPME.
The Abundance scenario considers unconventional resources, and it presents us with a different projection compared with the Base and Scarcity scenarios. In this case, a growth in the production rate is predicted up to 2033, where a peak production of 3,296.2 MMbbl/Day will be reached and sustained for 5 years. After this stable stage ends and the decline stage begins, the production will not return to current values for nearly three decades. The production in the year 2070 is estimated to be 797.1 MMbbl/Day under this scenario, which is much larger than the value obtained in the Scarcity and Base scenarios for the previous 20 years. For the Abundance scenario, the UPME only presents results up to 2035; therefore, our results cannot be compared. The average decline rate used for modeling the oil production in all three proposed scenarios in this work is 9% (ANH, 2009) and a similar number is expected from the UPME.
We now present our results for the developed model applied to the production of gas in Colombia (Fig. 10).
The average gas production in Colombia during 2012 was 1,169.2 MMcf/Day (millions of cubic feet per day (ACP, 2012) The Scarcity scenario shows that the production peak of 1,322.8 MMcf/Day is quickly reached in 2014 and sustained for 3 years. Production then drops to half its peak value in 2023, and in 2050, the production is estimated to be 216.9 MMcf/Day. The production proposed by the UPME for the Scarcity scenario once peak production has been reached shows production up to 2029 that is larger than what we found in the current work. Subsequently, however, the situation is inverted, and our decline model shows higher production levels than those predicted by the UPME.
The Base scenario shows an increase in production up to 2025, when a peak production of 1,743.8 MMcf is reached and sustained for 3 years. Once the decline has begun, it is predicted that production will be reduced to half the peak value after only 7 years, and in 2060, the production estimate is 293.1 MMcf/Day. For the Base scenario, the gas production proposed by the UPME after peak production is always smaller than the estimates from the decline model presented here.
The Abundance scenario, which considers unconventional resources, presents production growth up to 2025, when a peak production of 3,209.0 MMcf/Day is reached and sustained for 4 years. Both the Base and Abundance scenarios reach peak production in the same year; however, they differ because the growth rate for the Abundance scenario is on average twice that of the Base scenario. Once the 4-year period has passed and the decline stage has begun, the production predicted for 2040 shows similar numbers to current production levels. By 2070, the production is estimated to be 439.6 MMcf/Day. The decline rate for gas production in Colombia used for the production model is 15% (ANH, 2009). The proposal by the UPME shows a larger decline rate; thus, the production values predicted by the UPME decrease faster than our results. According to the UPME, gas production will be exhausted much sooner.
Once these production curves were constructed, it was possible to estimate the oil and gas reserves in Colombia according to the decline model presented in this work. This estimation is illustrated by the area under the curve corresponding to each production scenario.
CONCLUSIONS
The results and forecasted data presented in this research work correspond to state-of-the-art and highly relevant topics in the hydrocarbon industry. In addition, we presented results obtained from the application of various statistical techniques and models, which allowed us to generate an estimation of the hydrocarbon resources in Colombia.
In Colombia, 0.1% of all oil fields contain 35% of the total exploitable resources, and only 0.5% of all fields represent 70% of all ultimately recoverable oil resources. In the case of gas, 0.1% of all fields contain 75% of all exploitable resources. These numbers confirm that Colombia follows the same trend as the rest of the world, where most resources are concentrated in a small number of fields.
For Colombia, the hydrocarbon industry represents a significant economic resource, although Colombia's contribution to the world's reserves is only 0.17% for oil and 0.11% for gas. These numbers show that Colombia does not have a significant effect on the world's reserves and supply of hydrocarbons.
From decline models and based on the production curves constructed for this work, Colombian oil reserves were calculated for each scenario. For the Scarcity scenario, a total reserve of 7,018.0 MMbbl up to 2050 was calculated. For the Base scenario, the reserves calculated for the same year were 9,315.0 MMbbl, and for the Abundance scenario, our calculations predicted reserves of 39,046.0 MMbbl up to 2070.
Using the aforementioned modeling methodology, Colombian gas reserves were estimated for each scenario. For the Scarcity scenario, the total gas reserves calculated up to 2050 were 7.9 TCF. For the Base scenario, total reserves of 15.4 TCF were calculated for 2060, and for the Abundance model, the estimation was 27.6 TCF up to 2070.
The forecasted yet-to-find oil volume, which was calculated in Section 3.3 using the fractal method, was 21,486.0 MMbbl. If we add to this the 2,377.0 MMbbl corresponding to the demonstrated oil reserves up to December 31, 2012, we obtain a total of 23,863.00 MMbbl. This number lies within the range generated by the maximal reserves calculated by the Base and Abundance scenarios, which are 9,315 MMbbl and 39,046 MMbbl, respectively.
For the case of gas exploitation, the estimated yet-to-find volume was 49.834 TCF. If we add to this the 6.760 TCF corresponding to the demonstrated gas reserves up to December 31, 2012, we obtain a total volume of 56.6 TCF. This value is double that of the reserves estimated under the Abundance scenario and much larger than the gas reserves calculated for the Base and Scarcity scenarios.
Finally, the exploitation of hydrocarbons in Colombia must be incentivized, and the implementation and development of new technologies must occur so that significant increases in extraction rates can be achieved.
ACKNOWLEDGMENTS
The authors would like to thank the institutions that provided valuable information for the development of the present work: the Colombian Association of Petroleum Engineering (ACIPET), Colombian Association of Petroleum (ACP), Ecopetrol, and Ministry of Mines and Energy.
REFERENCES
Agencia Nacional de Hidrocarburos ANH (2008): Sistema gerencial para el manejo de los recursos petroleros [Management system for the management of oil resources] Acuerdo 11 de 2008 de la ANH, 19 20, Bogotá [ Links ].
Agencia Nacional de Hidrocarburos -( ANH) (2009): Colombia petróleo y futuro [Colombia oil and future]. 37p., Bogotá [ Links ].
Arps, .J.J., (1944): Analysis of decline curves. 229 230 p. [ Links ]
Asociación Colombiana del Petróleo (ACP), (2012): Informe estadístico petrolero [Statistical review on oil], Bogotá [ Links ].
British Petroleum. (2012) Statistical Review of World Energy 2012. [ Links ]
Departamento Administrativo Nacional de Estadística. DANE (2013). Colombia, exportaciones de café, carbón, petróleo y sus derivados, ferroníquel y no tradicionales según valores y pesos netos. [ Links ]
ECOPETROL S.A. (2005) - Vicepresidencia de Producción. Bogotá [ Links ].
Höök, M., 2009. Depletion and decline curve analysis in crude oil production (Licentiate thesis, Uppsala University) - 112p. [ Links ]
Ivanhoe LF, Luckie GG. Global oil, gas fields, sizes tallied, analyzed. Oil and Gas Journal 1993: 87 - 91p. [ Links ]
Salager, J., (2005): . Recuperación Mejorada del Petróleo [Enhanced Oil Recovery]. 33 p., Universidad de los Andes; Facultad de Ingeniería; Escuela de Ingeniería Química, Mérida, Venezuela. [ Links ]
Swokowsky Earl W. (1989): Calculo (Cálculo) con Geometría Analítica [Calculus (Calculus) with Analytic Geometry] - 132p., Grupo Editorial Iberoamericana. [ Links ]
UPME Unidad de Planeación Minero Energética (Unidad de Planeación Minero Energética UPME) (2012). Escenarios de Oferta y Demanda de Hidrocarburos en Colombia [Scenarios for Supply and Demand for Hydrocarbons in Colombia]. 9 -216p., La Imprenta Editores S.A, Bogotá [ Links ].
Colombia, exportaciones de café, carbón, petróleo y sus derivados, ferroníquel y no tradicionales según valores y pesos netos. [Colombia, coffee exports, coal, petroleum and petroleum products, ferronickel and non-traditional products according to their values and net weights] Departamento Administrativo Nacional de Estadística. DANE (2013) [ Links ]
Vargas, C. A., 2012. Evaluating total yet-to-find hydrocarbon volume in Colombia. Earth Sci. Res. J., Vol. 16, Special Issue (April, 2012): 1-246. [ Links ]
Agencia Nacional de Hidrocarburos (ANH) (2009): Colombia petróleo y futuro [Colombia oil and future]. 37p., Bogotá [ Links ].
Höök, M (2009: (2009) Depletion and decline curve analysis in crude oil production (Licentiate thesis, Uppsala University) - 112p. [ Links ]
Arps .J.J. (1944): Analysis of decline curves. 229 230 p. [ Links ]
Earl W. Swokowsky (1989): Calculo (Cálculo) con Geometría Analítica [Calculus (Calculus) with Analytic Geometry] - 132p., Grupo Editorial Iberoamericana. [ Links ]
Unidad de Planeación Minero Energética (UPME) (2012). Escenarios de Oferta y Demanda de Hidrocarburos en Colombia [Scenarios for Supply and Demand for Hydrocarbons in Colombia]. 9 -216p., La Imprenta Editores S.A, Bogotá [ Links ].




























