1. Introduction
Stone surfaces suffer alteration processes when exposed to surface agents (water, atmospheric chemical components, etc) resulting in the formation of coatings and/or weathering. Such alteration occurs at variable rates on natural outcrops but faster on urban environments (Amoroso and Fassina, 1983; Sanjurjo-Sánchez et al., 2012; Sanjuijo-Sánchez and Alves, 2012a. 2012b), being necessary to take conservation measures (Alves and Sanjurjo-Sánchez, 2015). Weathering produces modifications in the structure, texture, mineral and chemical components of rocks. It results in increasing stone porosity (and weakening) and the disintegration of the rock and minerals. These changes have been extensively observed by petrological, physical and chemical studies (Meunier et al., 2007; Moses et al., 2014).
Chemical weathering leads to the decomposition of the original minerals of fresh (unweathered) rocks. Some authors (Topal, 2002) have postulated that weathering can occur on the Earth surface in geologically short time periods (even decades or centuries). Depending on the rock composition, environmental factors (temperature, pH, Eh, ionic potential) and the previous weathering degree, some ions can be leached from minerals preferably in relation to others. The leaching processes are linked to other effects such as mineral transformations, porosity increase and mechanical strength decrease (Meunier et al., 2007; Chiu and Ng, 2014; Moses et al., 2014).
Chemical variations have been considered by many researchers in the definition of chemical weathering indices to assess quantitatively the degree of weathering (Reiche, 1943; Ruxton, 1968; Irfan, 1996; Ng et al., 2001; Duzgoren-Aydin et al., 2002; Otha and Arai, 2007). According to Gerrard (1998), Miller proposed in 1961 the following mobility sequence for ions of igneous rocks: Ca>Mg>Na>Ba>K>Si>-Fe=Mn>Ti>Al. However, other different sequences have been proposed for granites as that of Gupta and Rao (2001): Na>Ca>K>Mn>Mg>Si>Fe>Al>Ti.
Several weathering indices have been successfully applied to assess the weathering degree on igneous rocks (Ng et al., 2001). Some indices have also been tested on building stones (Topal and Sõzmen, 2003; Lee and Yi, 2007; Lee et al., 2009), where surface weathering occurs and can be assessed for periods of decades or centuries (Meunier et al., 2007; Smith, 2003; Moses et al., 2014). However, to our knowledge, such indices have not been tested on stones applied in buildings located in the urban environment, despite the fast decay observed on them mainly due to interaction of minerals with different pollutants (Amoroso and Fassina, 1983; Sanjurjo-Sánchez and Alves, 2012a). Fast decay in buildings is observed in urban areas as well as high weathering rates that could result in chemical and physical erosive processes. In addition, the built environment entails specific weathering processes namely salt weathering. Contributing sources to salt contamination and weathering are variable leading to different geochemical signatures (Sanjurjo-Sánchez and Alves, 2012a). The possible sources can be related to surrounding natural sources such as sea spray (whose impact is enhanced in some portions of the built environment according to erosion) and human-related pollution either from the ground (capillary rising), atmospheric (air pollution) and other building materials such as joint mortars (Sanjurjo-Sánchez et al., 2010). These sources can contribute diverse substances such as carbonates, sulphates, chlorides and nitrates or alkaline and earth alkaline elements (Sanjurjo-Sánchez and Alves, 2012a). Previous studies on buildings regarding chemical weathering indices have been focused on the surface and subsurface weathering (comparing weathering vs. depth), but not in the weathering rates (comparing weathering vs. time). To assess such rates, it is important to check the suitability of different weathering indices to assess the relation age/weathering for these stones and buildings. For this purpose, the behaviour of major and minor components of rock minerals was previously studied on building granite in an urban area (Sanjurjo-Sánchez et al., 2011a). Depending on the considered elements, different weathering indices provide variable results in the leaching of some mobile elements. The aim of this paper is to compare the suitability of weathering indices to study the weathering rates on granite surfaces in a polluted environment and to assess them (relation age/weathering) for granitic stones taken from different parts of four historical buildings (built in different historical time periods) of an urban area. Such comparison must be taken carefully as the weathering process could be variable in different time periods. In this sense, the exposition of the rock ashlars to strong air pollution conditions has been limited, above all, to the last century or half-century.
2. Determination of Weathering Indices
Several chemical weathering indices have been proposed for quantification of weathering (table 1) and tested to assess weathering depth profiles in natural outcrops or weathering rates after exposure to artificial weathering tests. In general, a good result has been observed for most indices to assess weathering (Irfan, 1996; Kim and Park, 2003), but they usually provide scattered data depending on the type of weathering (chemical or not), heterogeneity of the studied rocks and the rate of weathering. The indices that have been proposed can be classified as either absolute or relative. Relative indices allow determining the weathering degree of different samples from the same rock type by comparing the proportion of some mobile and immobile oxides. Absolute indices are based on the assumption that the fresh rock composition is known. They assume that some elements (i.e. Al, Ti) remain constant during the weathering process. Thus, the degree of weathering can be measured by the loss of mobile oxides from the analysis of a reference non-weathered rock sample (Kim and Park, 2003).

Figure 1 Pictures of the studied granitic rocks: (a) San Pedro leucogranite quarry front (left fresh rock. right weathered rock). (b) W façade of Colegiata de Santa Maria built with San Pedro leucogranite. (c) Detail of a wall of the S façade of Colegiata de Santa Maria built with San Pedro leucogranite (bottom) and Bregua granodiorite (top). (d) Bregua granodiorite ashlars of Casas de Paredes (note erosive features on the window lintel).
Multiple relative indices have been proposed and tested from the first insight of Reiche (1943) who proposed several weathering indices to assess weathering, taking into account a decrease in mobile cations. Relative indices are based on the decrease ofsome mobile cations (Ca, Na, K) compared with immobile ones (Al, Fe, Si), expressed as ratios (Parker, 1970; Irfan, 1996; Gupta and Rao, 2001; Ng et al., 2001;Arel and Tugrul, 2001; Kim and Park, 2003). In other cases, the indices compare the loss ofmajor cations (Harnois and Moore, 1988; Jayaverdena and Izawa 1994; Sing et al., 1998).Alternative indices consider the loss on ignition (LOI) or the water content, reflecting the increase of weathering caused by hydration of clays, and they are considered as sensitive to weathering under humid conditions (Ng et al., 2001; Kim and Park, 2003). Other authors have proposed absolute indices such as the Lixiviation Index (β), insensitive to mild chemical weathering processes, but useful to compare the evolution of mobile cations to Al (Ng et al., 2001). Irfan (1996) identified the different behaviour of mobile and immobile elements during weathering and devised an index that is considered a good indicator of weathering, known as the Mobiles Index (Imob) (Guan et al., 2001).
The use of weathering index on building stones has been scarce. Esaki and Jiang (2000) used the LOI index in the study of the weathered condition of tuffs (vs. depth) applied in historical bridges, inferring that chemical weathering attained around 10 cm of depth. Topal and Sözmen (2003), in a study of tuffs in the Midas monument (carved in tuffs in a little village of Central Anatolia, Turkey) compared diverse chemical indices and refer that LOI and WPI indices were good indicators for weathering depth quantification. Lee and Yi (2007) studied the weathering degree of diverse igneous rocks (tuffs, granites, andesitic and basaltic rocks) used in a stone pagoda located in a rural area of South Korea (near a medium-size city), concluding that the chemical index values were high for all the rock types. They also observed that weathering indices showed very active potential for studying chemical weathering in all the stone materials presented (basaltic and andesitic rocks being the most sensitive). Lee et al. (2009), in a study of granite stones in an historical building (located 10 km far from the city of Gyeongju, South Korea), stated that the weathered stones presented slightly higher weathering index than the fresh granite.
The scarcity of studies performed on historical buildings is due to the difficulties to get and analyse samples from materials considered of high cultural value. In the last years, non-destructive techniques such as portable XRF have allowed obtaining chemical analyses on the surface of stones of historical buildings. However, the non-destructive techniques do not allow obtaining information in depth or they can be difficult to apply in heterogeneous rocks. To consider reference values (unweathered samples) to compare the indices, we have used quarry samples as an alternative to surface-depth comparison. Thus, the study of quarry samples provides essential information to assess the weathering degree of building stones.
Despite some weathering indices were tested on building rock surfaces some aspects must be considered in urban environments that not occur either on natural outcrops or buildings in non-urban environments. These are pollution sources and façade orientations. Several pollution sources lead to different geochemical signatures (Sanjurjo-Sánchez and Alves, 2012a) being the sources correlated to natural sources, such as sea spray or anthropic sources such as air pollution due to human activities (e.g., traffic exhaust, industrial emissions, heating system emissions). Moreover, water inputs in building materials can come either from the ground (capillary rising), atmospheric water (air pollution) or other building materials, being the pollutants present in the water different, but dissolving and transporting carbonates, sulphates, chlorides or nitrates to the building rocks (Sanjurjo-Sánchez and Alves 2012a, 2012b). These effects must be considered in the interpretation of the results of the use of weathering indices.
Moreover, some aspects must be taken into account referring rock weathering in buildings. The direct or not direct exposure to sunlight of could result in more or less marked thermal and wetting/drying cycles (Wendler et al., 1990). Wetter conditions can cause stronger dissolution and leaching of some mobile elements in the rock while more marked thermal cycles can cause more physical weathering. Besides, the exposure of façades to pollutants can be variable depending on their distance and orientation to air pollution sources (e.g. sea spray, atmospheric pollution) as it has been observed (Sanjurjo-Sánchez et al., 2009, 2011a, 2012).
3. Study Area
The studied building stones are located in A Coruña, a town on the NW coast of Spain with approximately 250 000 inhabitants and about 600 000 in the metropolitan area. The downtown is located on a peninsula with the seacoast to the north, east and west and dominant winds came from the SSW and N. Thus, the climate of the city is mild, sub-humid Mediterranean with Atlantic trend and strong seaside influence, average annual temperatures of 13.9°C and average annual rainfall of 1000 mm. Air pollution in the town is not very high but important in some urban areas due to industrial activities and car traffic. Previous studies have referred a marked occurrence of gypsum-rich black crusts (Sanjurjo-Sánchez et al., 2009, 2011b), a feature generally considered as indicator of the effect of air pollution. Heritage buildings of the city have been constructed with two types of granitic rocks from local quarries: San Pedro leucogranite and Bregua granodiorite. The San Pedro leucogranite is the most used rock in the historic buildings of the town. It is a white-yellowish fine-grained granite with quartz (forming heterogranular aggregates), feldspars (with plagioclase > microcline) and muscovite, while biotite is absent (IGME, 1975). Feldspars and muscovite grains are slightly deformed and oriented. In the quarry, near the town centre (3 km W) and abandoned in the middle 20th Century, two granitic varieties can be observed in relation to natural rock weathering. In the NW part of the quarry, the leucogranite is white and hard (fresh leucogranite) and few joints are observed. In the SE part, the granite is white-yellowish, weathered and joints are very frequent. Both parts of the quarry were historically used for buildings. It has been observed that weathering sharply decreases the mechanical strength of the rock surface and increases the porosity from in the non-weathered leucogranite to ~4% in weathered specimens (Sanjurjo-Sánchez and Alves, 2006).
The Bregua granodiorite (IGME. 1975) is a milky gray coarse-grain rock with biotite and muscovite. Plagioclase is dominant but it shows major microcline megacrystals. It also shows biotite as well as muscovite, apatite, zircon, epidote and opaque minerals. When weathered, the granodiorite shows a reddish colour. This can be observed in most ashlars of buildings and most areas of the present quarry front, located about 8 km S from the town centre, and abandoned in the early 20th Century. The mechanical strength of the weathered rock is lower than that of the weathered leucogranite (in both cases building ashlars and quarry surfaces) and porosity is around ~4% (Sanjurjo-Sánchez and Alves. 2006).
The studied buildings are Las Capuchinas Church (CAP), the Colegiata de Santa Maria del Campo (CSM), the Church of Santiago (SC) and the Casas de Paredes (P). The first one was built using only San Pedro leucogranite ashlars and the last one only using Bregua granodiorite, while the others were built with both rock types. The studied buildings were constructed in different historic periods and re-buildings were made with the same rock type (table 2). This fact allows us to get rock samples exposed to surface weathering during different periods from one to more than seven centuries. They are also exposed to different air pollution intensities, at least in the last decades, due to traffic exhaust and industrial air pollution, as data from previous studies have shown (Sanjurjo-Sánchez et al., 2009, 2011b, 2012). Exposure to sea spray should be similar as the studied buildings are between 50 and 500 m from the seaside. To define a weathering geochemical baseline, samples from both quarries were taken. Samples CSP-1 and CSP-2 correspond to the fresh (unweathered) and weathered rock of San Pedro leucogranite in the quarry, respectively. The sample BRE-1 corresponds to the Bregua granodiorite quarry. In this last quarry the rock shows a red pale colour indicating some weathering effects.
4. Methods
To compare the weathering indices and the age of exposition of building stones, samples were taken from façades of known age (construction period) and this information is presented in Table 1. For our study, samples taken from the quarries are considered as no exposed in the built environment (that is zero age). Sampling was carefully carried out on the studied buildings causing the least possible damage to the façades. Material was removed from the surface of ashlars (about 1 cm in depth) with a chisel by gentle hammering. Quarry samples were taken by taking rock blocks in order to use the sample for other analyses (water absorption) being results previously published (Sanjurjo-Sánchez and Alves, 2006). The samples were taken at least 10 cm far from ashlars joints, to minimise contamination from nearby joint mortars. About 40 samples were taken from the façades. Major and trace elements were estimated by X-ray Fluorescence (XRF). Thirty grams of every sample were taken and two 10 g aliquots were powdered and analyzed in a Fluorescence Spectrometer S4 Pioneer of wavelength dispersion Bruker-Nonius. Two other 5 g aliquots were fired to 975°C to obtain loss on ignition (LOI).
5. Results
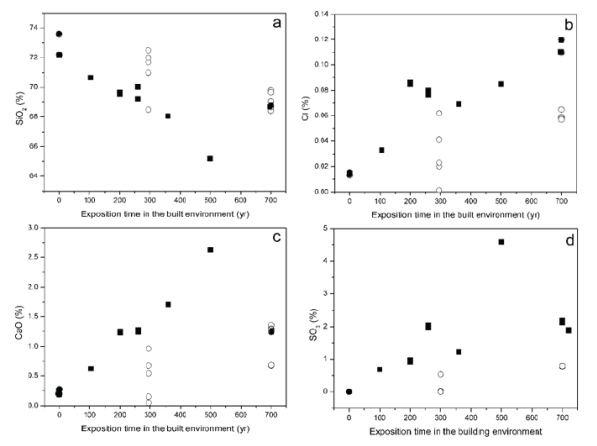
The results obtained must be analysed considering the behaviour of all the analysed elements with increasing weathering and the suitability of the used indices to assess such weathering. Values of different oxides (Table 3) show some overlapping between samples of both considered lithologies, Bregua samples present higher values of iron, calcium, titanium, potassium, zirconium and magnesium (which has null results in most of the San Pedro samples) while San Pedro samples present higher sodium and rubidium content. These differences might be explained by primary mineralogical differences between the considered rock types, with Bregua being richer in mafic minerals while San Pedro having higher albite content as is frequent in leucogranitic rocks. The oxide with higher variation is SO3 (between 0% and 4.59%), probably reflecting the effects of weathering processes in the built environment. The possible correlations between oxides and the time elapsed since the sampled ashlars have been placed in the building façades are discussed considering the plots presented in Figures 2 and 3 as well as tables 3 and 4. For the San Pedro leucogranite changes in the content in most of the studied oxides did not showed correlation with the exposure time. Thus, no clear correlation between oxides and the exposition time in the built environment is observed to assess if leaching progress with time at a more or less constant rate. However, a decrease in Si is observed with time for San Pedro samples (correlation coefficient of -0.56), being clearer in façades not oriented to South (table 3 and figure 2). There seems to be some positive trend with time in relation to SO3 (correlation coefficient = 0.49), a result that might represent the effect of sulphate contamination in more recent works. Soluble elements such as Cl and Ca seem to show increase with time, above all in façades not oriented to South. It must be considered that, depending on the orientation of the studied façades, different erosive patterns are commonly observed on buildings due to the different weathering rates because the different exposure to possible leaching effects by rainwater (and/ or capillary rise), wind (with the consequent transport of pollutants), hydration-dehydration and thermal cycles (depending on direct exposure to sunlight). In relation to the Bregua granodiorite samples, it is observed that some oxides, such as Al2O3 and P2O5, show a negative correlation with age (correlation coefficients of -0.85 and -0.81, respectively), that is, it seems that there is a leaching of such cations with increasing exposure and weathering. In this case, this seems not to be correlated with the orientation of façades. However, the correlation of other ions with age is positive, as occurs again in the case of Cl, SO3 and this time with MnO (correlation coefficients of 0.61, 0.45 and 0.81, respectively). Some scatter can be observed in most of these correlations, significantly increased due to the deviation of some samples (above all the quarry sample BRE-1 and the sample from Casas de Paredes, P-08), but evident in the figure 3 and table 3. Despite the low number of samples in relation to the considered orientations of façades, it is noteworthy the good correlation of some ions with age in both rocks, such as Cl and SO3, as this could result from salts typically found in the building environment (Arnold and Zehnder. 1989), namely in coastal regions and in the urban environment (and uptake with time).

Figure 2 Plots of oxides content vs. exposition time in the built environment for San Pedro leucogranite. Key: Open circles (south façades). filled squares (other façades). filled circles (quarry).
Table 4 Pearson’s correlation coefficient (r) of the elements in oxides for samples with the time exposure in the building environment.

Figure 3 Plots of oxides content vs. exposition time in the built environment for the Bregua granodiorite. Key: Open circles (south façades). filled squares (other façades). filled circles (quarry).
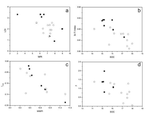
As expected, the calculated weathering indices showed different trends. There is some overlapping of values between the two rock types and the only one that shows a clear separation is the ALK index for which San Pedro presents lower values (between 45.7 and 57.1) than the Bregua type (between 59.00 and 69.23). Regarding the San Pedro leucogranite samples, it is observed a good correlation (correlation coefficients > 0.90) for some indices (figure 4, tables 5 and 6), especially because several of them consider some same elements. The observed differences can be attributed to the variation in the concentration of some oxides. For the Bregua granodiorite (tables 5 and 7. figure 5), absolute weathering indices (Imob and Lc) show a good correlation with most relative weathering indices as the Pearson's correlation coefficient shows (it can achieve 0.99 between Imob , and Lc). Thus, absolute indices seem to be more consistent and considerable to assess weathering in such complex environment. The relative indices based on the consideration of Al2O3 and/or LOI as reference parameter (Hc, ACN, AKN, LOI, VR and CIA) show several low correlation values in this rock type. This can be indicative of leaching of some elements in the built environment (and not previously in the quarry). Moreover, the results indicate that hydration effects related to weathering of minerals are negligible.
Table 6 Pearson's correlation coefficient (r) and squared coefficient (r2) of the weathering indices for the San Pedro leucogranite
Table 7 Pearson’s correlation coefficient (r) and squared coefficient (r²) of the weathering indices for the Bregua granodiorite.

Figure 5 Plots of selected weathering indices (indices that show similar trend) for the Bregua granodiorite. Key: Open circles (south façades). filled squares (other façades). filled circles (quarry).
Regarding the possible correlation between weathering degree and exposure time in the built environment, only some indices show a weak correlation (r=-0.48 to +0.43) for the San Pedro leucogranite (Imob. MWPI. Lc and SiO/R2O3 Index). In addition, the rate of variation of the indices observed in south façades seems to be lower than for other façades, indicating a slower weathering rate and leaching of some elements (figure 6). If we consider that south façades are more exposed to direct sunlight and dry environments (and water remains in the porous systems of the rock surface and subsurface) than north façades, this weaker trend would indicate that south façades could be affected to lower weathering rates. Moreover, it must be remarked that the granite of this buildings comes at least from two varieties of the rock with different weathering degrees. This certainly affects to the obtained result and it can be observed by visual inspection of the ashlars surfaces on the buildings that show very variable states of decay.

Figure 6 Plots of weathering indices vs. exposition time in the built environment for the San Pedro leucogranite. Open circles (south façades). filled squares (other façades). filled circles
For the Bregua granodiorite, a very good positive correlation (correlation coefficient of 0.90) is found for ALK (it considers K2O and Na2O) and a weak (more scattered) correlation for PI. SA. SOC Hc. LOI. RR. R2O3 and SiO/R2O3 index. The correlation of some indices is also different if we consider south and other façades (figure 7), as occurs with the leucogranite. Thus, this consideration must be taken into account for the discussion of the results. It is remarkable that the number of samples considered for this granodiorite is lower (n=13) than the number of samples used for the San Pedro leucogranite (n=21). In this case, the use of an only rock type (an only weathering degree observed in the quarry) is an important factor for the final results that provide the weathering indices. From these, index that consider K, Al and H2O seem to provide a weathering vs. age correlation.
6. Discussion
6.1. Variability of the chemical composition of samples
Although some substances are not typically considered to assess most weathering indices, it is very interesting the apparent correlation between Cl and SO3 with age in the Bregua granodiorite samples (and weaker for CaO). For the San Pedro leucogranite, a good correlation is observed for CaO and SO3, and weaker for Cl. This cannot be correlated with the distance to the seaside, as can be observed in the table 1. In the case of the built environment, such substances can be considered indicators of weathering effects, and thus should be included in the weathering assessment, as they are due to uptake from the atmospheric environment (seaside air and air pollution in the case of Cl and SO3, respectively) or other sources (joint mortars and capillarity rise for SO3). In the case of building walls made with the San Pedro leucogranite it has been observed that gypsum coatings are present sometimes due to the migration of calcium from mortars (Sanjurjo-Sánchez et al., 2008; Sanjurjo-Sánchez et al., 2009). Considering that the porosity of the weathered granite increases about four times (with reference to the fresh granite), the uptake of calcium and sulphate from joint mortars is possible through the porous system. Air pollution in the area also supports the presence of sulphates (Sajurjo-Sánchez et al., 2011). Thus, it is plausible that joint mortars are an important source of salts and weathering, but difficult to assess by most weathering indices. It would be considered that the Ca and S content must be considered in similar cases (building stones in urban environments). The porosity of the Bregua granodiorite is similar to the weathered leucogranite. Thus, these elements (Ca and S) could also be used to assess the uptake of pollutants in granite rocks in buildings and to assess the risk of damage due to salt growth, responsible for some typical decay features in these kinds of stone and environments (Amoroso and Fassina, 1983; Sanjurjo-Sánchez et al., 2009; Sanjurjo-Sánchez and Alves, 2012b).
6.2. Variability of the Chemical Indices
The weathering indices calculated for a same rock type should reflect the degree of weathering of every sample. Comparing the most common indices in the studied samples, a good correlation (among them) is observed for the most part (tables 6 and 7). However, an important scatter is observed.
For the San Pedro leucogranite, we cannot dismiss the leaching of some elements due to in situ chemical weathering (as observed in the case of Si) and two probable causes are considered for the scatter. The first one is related to the previous weathering of the rock in the massif, as can be observed in the quarry. As referred above this rock quarry shows two varieties regarding weathering (fresh and weathered). Both varieties show slight differences in some minor and major components (table 3, CSP-1 and CSP-2). This makes difficult the identification of both types within the buildings. However, the porosity observed in the studied samples implies that some of the sampled rock ashlars probably come from the weathered variety of the quarry and some others from the fresh variety (Sanjurjo-Sánchez and Alves, 2006; Sanjurjo-Sánchez and Vidal Vázquez, 2013). Thus, differences would be more significant in the weathering indices than in the oxides. This is due to the different starting point of the weathering process when the rock ashlars are placed in the façades. The higher differences found in the relationship between weathering indices and age for this rock type could be due to the rate of weathering not being high enough to affect significantly the weathering state of the rock in comparison with the quarry rock (either for an initial weathered or fresh variety). Moreover, the samples taken from both Las Capuchinas Church (CAP) and from the oldest part of the Colegiata de Santa Maria de Campo (CSM) are more scattered than the others. This may be attributed to two reasons. On one hand, the two different varieties found in the quarry and the different weathering progress, as related above. This can be observed in the present state of conservation of Las Capuchinas Church, with strong decay of most ashlars and as the building was plastered with gypsum after construction as it has been demonstrated (Sanjurjo-Sánchez et al., 2009). On the other hand, some samples have been taken from façades of different orientation. While the samples taken from younger façades (one to five centuries) come from North façades, the older samples come from South (Las Capuchinas Church and some Colegiata de Santa Maria del Campo samples) or East (only the CSM-13 sample) façades and this is a typical cause of different rates of decay (Sanjurjo-Sánchez and Alves, 2012a, 2012b).
The most important source of scatter for Bregua granodiorite samples are the samples taken from the quarry (BRE-1) and from Casas de Paredes (P-08). In the first case, the quarry front shows that the rock has suffered some weathering, as can be observed in its pale red colour. The Casas de Paredes were built some years after the other considered buildings, and thus some scatter can be expected as the rock used was taken from other parts of the quarry, where some differences in the weathering processes could occur. Moreover, the weathering of a façade can also vary depending on its relation to the sources of air pollution. In this sense, P-08 corresponds to a building located in a street which supports intense car traffic (Sanjurjo-Sánchez et al., 2009, 2011b), being more exposed to some pollutants (higher concentration of air pollutants) that cause decay (Amoroso and Fassina, 1983; Sanjurjo Sánchez and Alves. 2012a, 2012b). This is the most probable cause of the gypsum crusts observed in that building (Sanjurjo-Sánchez et al., 2008), despite analysed sample P-08) does not show an important uptake of Ca and S. However, another source of scatter is the different orientation of façades. The weathering degree seems to occur at different rates depending on the orientation of façades that is different in several studied buildings (figures 2 and 3). Despite this, some of the used indices provided good results (figure 4) and a good weathering vs. exposure age correlation, due to the leaching of some elements (Al, K) and the increase of porosity (H2O content). Thus, these elements must be considered to choose reliable indices to assess weathering on building rock surfaces in urban environments.
In buildings, the direct exposition to the sun of south façades could result in marked wetting/drying cycles (Wendler et al., 1990). Wetter conditions can cause stronger dissolution and leaching of some mobile elements in the rock. However, the concentration of some mobile elements, such as Ca, increase with exposition time to weathering (Figure 2). The increase of CaO with exposition time could be due to the dissolution of Ca from lime mortars (joint mortars) and uptake within the rock ashlars' porous system. This hypothesis is also supported by the uptake of SO3 observed on samples, as the lime of mortars easily gives origin to the neoformation of gypsum under polluted air conditions in buildings of A Coruña (Sanjurjo-Sánchez et al., 2009). Therefore, indices that do not consider CaO as a mobile oxide would be independent from influence of dissolution of Ca form mortars. Other mobile elements do not show this or any other clear trend.
Regarding again the scatter of indices, despite the considered questions it seems that relative weathering indices using a high number of elements will usually be more consistent than those that consider a few oxides (tables 6 and 7). Moreover, indices that consider the leaching of some elements (Si, Al, K) or the water content (that can be directly correlated with the increase of porosity) seem to be more consistent. Thus, it must be considered in future studies that the use of weathering indices to assess weathering in buildings constructed with granite rocks in urban environments should consider: (i) any causes of the scatter observed in this study (façade orientation, exposure to direct air pollution, inherited weathering of rock in the quarry) previously to sampling, (ii) indices that include alkaline elements (mainly, Ca, S and Cl) will show the effects of pollution and interaction with building materials that will cause some physical and chemical weathering processes (e.g. salt weathering), and (iii) indices that include some elements (such as Si, Al and K) seem to be generally more consistent in these complex environments.
7. Conclusions
The applicability of weathering indices to the weathering of rocks used as building materials of historic buildings in urban environments has been assessed considering two igneous rock types in buildings of a coastal region with a certain amount of atmospheric pollution. Theoretically, the progress of weathering on the stone surfaces can be assessed due to the leaching of some mobile elements. However, this effect is not clearly observed in the studied granite rocks from the considered urban environment in most elements. This is due to different factors that cause scatter of results. In this case, previous rock weathering in the quarry, the different orientation of façades and the different exposure to pollutants are proposed as the cause of such scatter. Also, at the considered timescale (from one to seven centuries), weathering rates in south and other façades seem to be different. Thus, future studies should consider these questions before sampling. If possible it is also recommended the use of a significant number of samples, as the use of 13-21 samples in this case is not very conclusive due to the referred scattering factors. In addition, the interference of some mobile ions that migrate from other building materials, as occurs with Ca dissolved from lime joint mortars, does not advise the use of weathering indices that consider CaO for the assessment of weathering losses. Some other mobile oxides, such as SO3 or Cl, commonly related with other building materials, air pollution or other environmental factors should be monitored and used to assess the influence of such factors on the decay and weathering in the built environment.
Despite scattering, the use of weathering indices can be useful to assess the degree of surface weathering of granitic rocks used as construction materials in historical buildings of urban environments, as it has been observed in one of the studied rocks. Moreover, indices that include some elements (such as Si, Al and K) seem to be more consistent.



















