Introduction
As one of the main energy sources for human life and economic development, coal occupies a very important position in the world energy consumption structure. Although with the continuous promotion of global clean energy, the proportion of coal in primary energy continues to decline. Anyway, coal is still the main component of the world's primary energy consumption structure (29.2%) ("Geo-informatics," 2019). As the world's largest energy producer and consumer, coal has always dominated the primary energy structure in China. It is expected that by 2030, the proportion of coal will remain above 50%. Coal can drive the country's economic growth, but the problem of irreversible impact on the surface during mining and even for a long time after mining cannot be ignored. Because the underground coal seam is artificially destroyed, the original stress balance of the rock layer is destroyed, then the phenomenon of surface subsidence and movement occurs when the impact is propagated to the surface, resulting in geological disasters such as damage to landmark buildings and water accumulation. So It is particularly important to predict the surface movement and deformation that it may cause before mining.
The subsidence prediction methods established by mining subsidence workers in China mainly include probability integral method, negative exponential function method, typical curve method, integral grid method, Weibull distribution method, spline function method, hyperbolic function method, Pearson function method (Zhang & Lei, 2012), Mountain surface deformation prediction method, three-dimensional layered medium theory prediction method, and strip mining prediction method based on pallet theory.
Among these prediction methods, other methods have not been widely used due to their limitations or scope of use. Probability integral has become the main method for predicting mining subsidence in China due to its solid theoretical foundation, easy computer implementation, and good application effect. The probability integral method was developed by scholars such as Liu Baochen and Liao Guohua of China in the 1960s on the basis of the stochastic medium theory proposed by the Polish scholar Litwiniszyn in 1957 (Wang et al., 2013). It is called the probability integral method because of the calculation of the probability integral part of its calculation process. The probability integral method is mainly applicable to the case of near-horizontal coal seams or gently inclined coal seams (Fan et al., 2014).
The probability integral method is currently the most commonly used model in the area of mining subsidence prediction in China. Its basic idea is to treat the surface and downslide movements as random events and decompose the mining area into infinitely many tiny units to calculate the sum of the surface influences and surface subsidence. This method is based on the stochastic medium model theory. The method is expected to have good results when the geological factors of the mining have little effect on the surface movement, but if the geological conditions of the working face are special (such as loose layers Thicker), which has a greater impact on surface subsidence, the probability integral method will not reflect these changes well (Wang et al., 2019). So it needs to be adjusted on the basis of the original model to make it more suitable for the prediction under different geological mining conditions.
Aiming at the problem of converging too fast at the edge of the subsidence basin when predicting the surface subsidence using the probability integral method, Wang and Deng (2012) proposed that treat surface subsidence as a weighted sum of the effects of mining from two working faces with different main influence radius (hereinafter referred to as the original model) (Wang et al., 2018). This to a certain extent corrects the problem of converging too fast at the edge of the basin when using the probability integral model to predict surface subsidence (Zhou et al., 2016). However, the original model uses the same influence radius along the strike and tendency direction. In actual application, it is found that the main influence radius values of the strike and tendency are often different. So the main influence radius in this model is divided into a strike influence radius and a tendency influence radius and integrates parameters are chosen to be the changeable parameters instead of subsidence coefficient in the original model in this article.
Characteristics of mining subsidence under thick loose layer
The loose layer is the Quaternary and Neogene strata and is composed of soil, sand, gravel, and pebble layers. After the hard rock has undergone geological processes such as erosion, transportation, and deposition, evacuated sediments formed due to the unconsolidated hardened diagenesis are called loose layers. Since loose layers are formed in different environments, times, and places, they will have different properties. In terms of how thick the loose layer can be called "thick", it is generally believed that the loose layer is called a thick loose layer when the thickness exceeds 50m and is called a huge thick layer when the thickness exceeds 100m.
It is of great theoretical and practical significance to deeply study the particularity of surface movement and deformation and the parameter variation law of thick loose layer mining area for accurately predicting the impact of underground mining on various protective objects on the surface ("Geo-informatics," 2019). At present, the law of surface movement and deformation of underground mining in thick and loose layer mining areas has been studied in China and other countries (Ding et al., 2018), and the particularity of surface movement and deformation of thick and loose layer mining areas has been obtained: the subsidence coefficient is too large, many of which are around 1.1 or greater; the vertical deformation above the coal pillars in the thick loose layer mining area is abnormal compared to general geological mining conditions; the surface movement range is large, and the horizontal movement range is often greater than the vertical movement range; the upper mountain boundary angle, the moving angle is less than or close to the lower mountain boundary angle and moving angle, etc. Although these studies have obtained some macroscopic laws, due to the differences in the characteristics of geological mining conditions in various mining areas, there has not yet been obtained a comprehensive study on the relationship between the characteristics of surface subsidence in thick loose layer mining areas and geological mining factors, and the influence laws. As a result, it is difficult to select the parameters when predicting the surface movement and deformation of coal seam mining in thick and loose layer mining areas (Ma & Hu, 2013). Compared with the actual observation values, the prediction error is large. Therefore, it is of great theoretical and practical value to deeply study the subsidence mechanism and deformation law of coal seam mining in a thick and loose layer mining area, to accurately predict the movement and deformation of the ground surface, to reasonably keep various types of protective coal pillars, and to protect various protective objects on the surface (Hou et al., 2018).
Original model
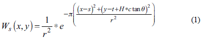
Assuming that a unit volume of coal seam B (s, t) is mined in a gently inclined coal seam, the subsidence value of the surface point A (x, y) caused by the coal seam mining in this unit can be calculated by Equation 1 in the original model.
Where r is the main influence radius, H is the mining depth, and 9 is the maximum sinking angle.
Assuming that the working face during actual mining is a rectangular working face, the calculation formula for the sinking value of any point A (x, y) of the near-horizontal working face with the strike length of D3 and the inclined length of D1 according to the probability integral method is:
Where S3 is the offset of the inflection point in the downhill direction, 1 = D3-S3-S4, which is the theoretical strike length, D3 is the real strike length, L = D 1 - S 1 - S 2 * sin(θ + α)/sin θ, which is the theoretical tendency length, D1 is the real tendency length, a is the coal seam inclination, θ is the maximum sinking angle.
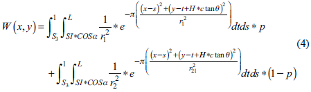
Since one of the main problems of the probability integration method is the phenomenon of convergence too fast at the edge of the subsidence basin compared with the actual subsidence, a modified probability integration method model is proposed by Wang and Deng (2012):
Where W s (x, y; r 1 ) and W s (x, y; r 2 ) are the calculation results brought into Equation 2 while r = r1 and r = r2 and p is the proportionality coefficient.
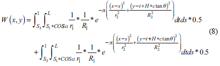
It can be seen from Equation 4 that the correction method regards the ground subsidence caused by coal mining as the combination of the coal seam with the main influence radius r1 and the coal seam with the main influence radius r2 according to a certain proportional coefficient. It is verified by an example that this method has a certain effect to improve the phenomenon that the probability integral method converges too fast at the edge of the subsidence basin compared with the actual subsidence. However, in practical application, it was found that when analyzing the ground subsidence caused by mining in a working face, the main influence radius along the strike direction and the main influence radius along the inclined direction are different, which reduced the accuracy of the model. Therefore, this paper proposes to divide the main influence radius into the influence radius in the striking direction and the influence radius in the tendency direction on the basis of this original method, and changed the parameter adjustment method in the original model, verified the accuracy of this method in predicting the deformation value of the ground movement through examples.
Improved model
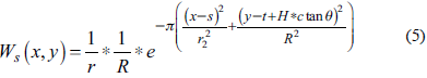
According to the above description, the main influence radius in the formula is divided into the influence radius along the strike direction and the influence radius along with the trend. The calculation formula of the sinking value of the surface point A (x, y) caused by unit mining is:
Where r is the main influence radius in the strike direction, and R is the main influence radius in the tendency. H is the coal mining depth, and θ is the maximum angle of influence.
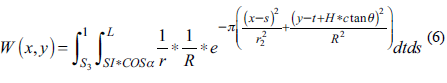
Assuming that the working face during actual mining is a rectangular working face, the calculation formula for the sinking value of any point A (x, y) of the near-horizontal working face with the strike length of D3 and the inclined length of D1 according to the probability integral method is:
Where S3 is the offset of the inflection point in the downhill direction, l = D3-S3-S4, which is the length of the theoretical strike, D3 is the length of the real strike, L = D 1 - S 2 - S 2 * sin (θ + α)/ sin θ, which is the theoretical tendency length, D1 is the real tendency length, α is the coal seam inclination, θ is the maximum sinking angle, R is the main influence radius of the tendency, r is the main influence radius of the strike direction.
Thus modified model sinking calculation formula is:
Where Ws R1r1 (x, y )* and Ws R2r2 (x ,y) are the calculation results brought into Equation 6 while r = r1, R = R1 and r = r2, R = R2 .
Main influence radius-r
Affected by underground coal mining, the subsidence value of the surface approaches or reaches the maximum subsidence value W0 at the position of x> r, and other surface movement and deformation mainly occur within the range of x = -r ~ + r which is shown in Figure 2. So we call r the main influence radius.
The main influence radius r is defined as the distance from the inflection point of the subsidence curve to the maximum subsidence point or the distance from the inflection point to the boundary point of the moving basin, which is a parameter that characterizes the concentration of surface movement. They are mainly related to the nature of overburden and mining depth.
In order to study the effect of r2 and R2 values on the predicted subsidence shape along strike direction and tendency direction. The control variable method is used to compare them in this paper as follows:
(1) The effect of r2 on the shape of the main section subsidence predict The results calculated by the improved model with a different value of r2 while other parameters keep unchanged are shown in Figures 3 and 4.
(1) The effect of R2 on the shape of the main section subsidence predict The results calculated by the improved model with a different value of R2 while other parameters keep unchanged are shown in Figures 5 and 6.
After the statistical analysis of the measured data, the main effecting angle (tan β) estimated by the new model for the subsidence predicted value of the near-level coal seam mining are:
tanβ1=3.177-1.232*h/H
tanβ2=0.804+0.127*h/H
tanβ1=2.223+1.505*h/H
tanβ2=0.915+0.202*h/H
It can be seen that the main influence of tangent is proportional to the thickness of the loose layer. Taking the main influence tangent of the strike direction as an example, tanβ1 is larger than tanβ0, and tanβ2 is smaller than tanP0. Assuming that the main influence radius in the original probability integral method model is r0, r1 is smaller than r0, and r1 mainly controls the position of the inflection point, r2 mainly controls the degree of boundary convergence.
It also can be seen that when the strike and the tendency direction are both fully mined, the R2 value mainly controls the convergence of the edge subsidence value in the inclined direction, while the r2 value mainly controls the convergence of the subsidence value along the strike line of the subsidence basin. It can be seen from the statistics of the examples that the main influence radius of the trend and the tendency are more or less different, so this method is helpful to improve the prediction accuracy.
Points range
In addition, according to the definition of the probability integral method, the value of the sinking coefficient q is mainly related to the roof management method. But the definition of the inflection point offset is based on the principle of equivalent coal seam - due to the cantilever effect of the coal goaf, the predicted subsidence calculated by the original coal seam directly according to the probability integration method does not match the actual situation, so the definition of the inflection point offsets are proposed to build an ideal coal seam to make predicted subsidence value more match the actual situation. So the integral range of the trend and tendency during the prediction is the range of the imaginary working face (the trend is S3-1, and the tendency direction is S1*cosα). The principle of the new model is that two-unit coal seams with different influence radium will jointly affect the surface subsidence with the same ratio, which changes the integration range. Therefore, this article chooses to change the integral range on the basis of the original inflection point offset.
After the statistical analysis of the measured data, the integration range estimated by the new model for the subsidence value of the near-level coal seam mining are:
ax=1.375+0.409*S3
bx=1
ay=36.801+0.097*S1
by=271.014+0.002*L
The situation of the observatory in the mining area
Xieqiao Mine 21113 working face is located in Huainan City, Anhui Province, and is the first mining face of Xieqiao Mine. The upper boundary depth of the working face is 714m, the lower boundary depth is 764m, the average mining depth is 739m. The seam thickness is 5.2m, and the inclination angle is 12 °, which belongs to the class of gently inclined coal seam. The coal mining method is the long-arm method, and the roof management method is the full collapse method. The real strike length of this work face is 1968.7m, the real tendency length is 234.2m. One observation line is set along the strike direction and two half observation lines are set along the tendency direction. The setting diagram of the 21113 working face observation station is shown in Figure 7.
Calculation results
The comparison of the results of solving the parameters of the working face by using the mold loss method combined with two different models is shown in Table 1. The predicted results of the model corresponding to the parameters calculated by the original model and improved model proposed in this paper are compared with the measured values of the trend and tendency direction as shown in Figures 8 and 9. The contour map of expected sinking corresponding to the probability integral method is shown in Figure 10, and the contour map of expected sinking corresponding to the improved model is shown in Figure 11.
From the comparison of the calculation results of Probability integral method and the improved model in Figures 7 to 10, it can be seen that the accuracy of the improved model has been improved when the full face is expected, and both the original model and the improved model have a significant effect in boundary correction.
Conclusion
From the above analysis, it can be seen that the original model regards the surface movement deformation as a weighted superposition of the effects of two mining units with different main influence radius, which has an optimization effect on the problem that the probability integral method converges too fast at the edge of the subsidence basin compared with the actual subsidence. On the basis of the original model, the improved algorithm proposes a method in which the main influence radium is divided into two directions-strike main influence radium and tendency direction main influence radium, which improves the accuracy while optimizing the boundary problem. Compared with the original model, different parameters were selected for an adjustment instead of the subsidence coefficient in the original model, and it is assumed that the impact of the two mining units is equal, in other words, the scale factor in the new model is 0.5. But the integral parameters can no longer be set according to the boundary range of the ideal coal seam, so they were set as new adjustment parameters. The actual application results prove that the new model is more in line with the actual coal mining subsidence. However, if it is used in steeply inclined coal seams, the main influence radius of the uphill direction of the inclined direction is different from the main influence radius of the downhill direction.

































