Introduction
Economic development and ecological environmental protection are major issues of common concern in countries around the world today. Development is the main body of the times in all countries and regions today, and it has become the key to solving all other problems. Various countries and regions are doing everything possible to promote their own development (Staccione et al., 2019). The ecological environment is the prerequisite for economic development, the resources and environmental foundation required for human survival and development, and the indispensable material and energy guarantee for regional development. In the idea of sustainable development, sustainable economic development must be based on a virtuous cycle of the ecological environment. Without the material flow and energy flow created by the ecological environment system, the economic system cannot operate, and the sustainable development of the economy cannot be talked about. Therefore, there is a close interdependence and restriction between economic development and the ecological environment (Song et al., 2019). In a sense, the course of economic development in human society is a dialectical unified process of human beings' continuous recognition, transformation, respect, and obedience to the ecological environment. Ecological protection work is to continuously enhance the capacity for sustainable development, improve the ecological environment, significantly improve the efficiency of resource utilization, promote harmony between man and nature, and promote the entire society to a civilized development path of productive development, wealthy life, and good ecology. As one of the goals of building a well-off society in an all-around way, it further clarified the relationship between humans and the ecological environment and its significance in achieving sustainable development (Dochartaigh et al., 2019).
Geological disasters caused by the destruction of the ecological environment are disasters related to geological effects that endanger the safety of people's lives and property caused by natural factors or human activities during the development and evolution of the earth. Sudden geological disasters are the main activities that occur suddenly and complete disasters in a relatively short period of time. They mainly include volcanoes, earthquakes, collapses, landslides, mudslides, etc., which cause human life and property loss (Sur & Chauhan, 2019). China is one of the countries with the most severe geological disasters in the world. There are many types of disasters, high frequency of occurrence, wide geographical distribution, and large disaster losses. It severely restricts the development of the national economy in disaster-prone areas and threatens the safety of people's lives and property in disaster-prone areas (Jurczak et al., 2018).
Over-exploitation of resources is one of the main factors leading to geological disasters. Whether it is underground mining or open-pit mining, the impact on the geological environment mainly includes three aspects: the destruction of the subsidence to the soil environment, water resources and ecological environment, the destruction of the ecological environment by waste (grinding stone, slime, tailings water), and the destruction of greenhouse gases and mine wastewater to the atmosphere and water during mining (Josepheph & Humphries, 2018). Therefore, the geological environment problems encountered in the mining process were analyzed and studied, and at the same time, the current status of environmental protection and rehabilitation of mine geology in China and abroad was used for reference, and targeted prevention measures were studied and discussed. From the implementation of measures and investment of funds, ecological environment restoration countermeasures were proposed. Eventually, the problems of high input costs and low economic benefits of ecological restoration in traditional environmental restoration countermeasures were solved.
Materials and methods
The ecological environment and mining resources are important material foundations on which human beings depend for survival and development. For a long time, due to the unreasonable development and utilization of resources, a variety of mining environmental geological problems have been raised (Chen et al., 2019). According to the statistical analysis of national geological environmental survey data, environmental geological problems caused by mining activities mainly include geological disasters such as landslides, collapses, mudslides, ground subsidence, ground subsidence, and ground fissures, occupation and destruction of land resources, destruction of water resources, land desertification and soil erosion (Webster et al., 2019; Cui & Wang, 2019). The specific content is shown in Table 1.
Considering the geological structure of the mining area, from the perspective of the four problems shown in the table, the damage of mining to the ecological environment was analyzed, and then corresponding countermeasures for ecological environment restoration were proposed.
Common geological structural features
According to the investigation of actual mining projects, common geological structures in mining projects include faults, subsidence columns, and fold structures. Taking into account the characteristics of the above geological structures, the damage to the ecological environment was analyzed.
Generally, in the mining area, there are reverse faults and normal faults that are substantially parallel to the axial direction of the anticline, and faults develop along the two sides of the anticline. The normal fault is the fault that the upper disk descends and the lower disk rises, as shown in Figure 1. The reverse fault is the fault that the upper disk raises and the lower disk falls, as shown in Figure 2.
In the case where the geological structure of the mining area is a fault, the roof near the fault plane is relatively fragile, and it is easy to delaminate and fall off, and cause a safety accident. At the same time, more solid waste is produced, which affects water resources and the atmospheric environment.
In addition to faults, in some limestone formations, karst is formed due to long-term dissolution of flowing groundwater. Under the action of gravity in the geological structure and the upper overlying rock layer, some karst caves have collapsed. Because this collapse is a round or irregular oval column, it is called the collapse column (Rosinska et al., 2019). The characteristics of the collapse column are shown in the figure below.
The feature of the collapse column shown in the figure is that the contact surface between the collapse column and the surrounding normal rock formation is jagged. It is mainly composed of slumped rock blocks. The filling rock has the characteristics of large and small size, obvious edges and corners, different shapes, and mixed accumulation (Buttler & Wilson, 2018). If the collapse column is damaged, mining cannot be performed normally, which limits the effective use of machinery and seriously affects the safety of mining.
The fold structure in the geological structure is divided into anticline and syncline. The geological characteristics of the two are shown below.
In actual mining projects, most choose anticline. The anticline forms a valley, and the anticline is a mountain. It is easier to mine at the anticline, and the anticline is relatively loose in geology, and the topsoil layer is easy to be stripped. During the mining process, a large amount of forest vegetation was destroyed, and the geological ecological environment was severely damaged. A large amount of waste rock mined will occupy mountain slopes, and there will be serious hidden dangers of geological disasters.
The transmission process of the impact of mining on the ecological environment
Underground resource exploitation causes changes in the stress of the original rock, leading to breakage and movement of the rock formation, further causing ground surface settlement and deformation. Caving zones, fissure zones, and curved subsidence zones are usually formed above the mined-out area, which can be simplified into the process of rock breaking and surface settlement (Yuan et al., 2019). Due to the mining strength and the particularity of the overlying rock properties, thickness, and structure, the above process has its special performance. When the mining depth is small, there is only a fall zone and a fissure zone above the goaf, which shows that the ground surface is discontinuously deformed, and the surface cracks are directly connected to the goaf. In this case, due to different roof conditions and mining heights, and different speeds, roof cutting and sand breaking accidents will occur. The top-cut accident is mainly determined by the thickness ratio of the bedrock to the load layer (referred to as the base-load ratio). Relevant research shows that when the base-load ratio is less than 0.8, the roof sinks along with the coal wall steps. If the amount of step-like subsidence is large enough, a top-cut accident will occur. Sand breaking accidents usually occur when the ratio of depth to thickness is less than 25. In the case of large mining depth, it still conforms to the formation law of the "three zones", but if the mining depth is not large enough, the downward fractures in the curved zone and the upward fractures in the goaf may still be conductive (Yaegashi et al., 2018).
Accompanied by the rock breaking process and the surface subsidence process is the process of surface animal and plant habitat change and land-use change, and the succession process of the mining area ecosystem at any time. The changes in the habitats of animals and plants after mining resources are manifested by changes in topographic conditions, changes in groundwater table depth, changes in hydrological conditions such as surface sinks, changes in site conditions such as soil, and changes in suitable biological populations. Land-use change is a comprehensive reflection of changes in the surface environment. Changes in land use structure have further caused changes in regional ecosystems (Wu et al., 2018). Ecosystem succession has a long-term nature. It is not only affected by natural factors, but also by many human activities, including resource extraction activities and ecological restoration activities after extraction. It is relatively simple to describe the changes of thesurface animal and plant habitats and the changes in land use. As long as the changes in the indicators and spatial distribution of relevant factors are listed, they can be clearly displayed. The description of ecosystem succession is relatively complicated. It involves the succession of ecosystem structure and function, which is a long-term and gradual process. The specific process is shown in the following.
One of the salient features of surface damage caused by mining is the development of ground fissures. The treatment of ground fissures is not only the focus of ecological restoration but also an important factor affecting the safe production of resources and the production and life of local residents. According to the development period, there are two types of temporary cracks during mining and permanent cracks after surface stabilization. Common ground cracks are shown in the figure below.
Groundwater is closely related to plant growth and conservation of fragile ecological environments. Large-scale resource mining activities not only cause the ground surface to collapse and change the shape of the surface but also have a greater impact on the region's own poor groundwater resources. The impact mode of underground mining on groundwater can be summarized as follows: in the preparation stage of mining, groundwater is mainly affected by artificial dredging and drainage measures and has nothing to do with the damage of rock formations, and the decline of groundwater level is extremely significant; in the mining stage, in addition to the effects of drainage measures, groundwater is also affected by changes in the formation of the stratum and the development of water-conducting fissures. Groundwater movement is mainly based on vertical seepage to goaf; in the recovery phase, groundwater is mainly affected by the recharge and water use in the adjacent area, and the water level recovery process is slow. At this time, the distribution of diving space is significantly affected by the fluctuation of the bedrock.
Vegetation is the most important indicator of ecological health. The large-scale ground cover has a high correlation with the monthly change in rainfall, and the correlation coefficient between vegetation cover and monthly rainfall can be as high as 0.99. Rainfall is still the dominant factor influencing changes in mining vegetation cover. According to the mining subsidence theory, the surface subsidence deformation can be divided into the neutral zone, compression zone, and Lazhong zone. Due to the spatial heterogeneity of soil water in these three areas, the response changes of vegetation in the deformation area after mining subsidence are also spatially different (Robertson et al., 2018). Compared with the compressed area, Lazhong area, and neutral area, the vegetation is easier to improve, and even the vegetation is better than the vegetation cover before mining subsidence due to moderate disturbance. The reason is that the neutral zone is often located in the central area of the surface subsidence basin, and its lower terrain is beneficial to the collection of surface water, and the soil water content increases. The vegetation in the Lazhong area is more susceptible to the negative impact of mining subsidence. Increased soil porosity and the appearance of a large number of permanent cracks in the Lazhong area will aggravate soil water evaporation and cause damage to plant roots.
Evaluation of the degree of damage to the ecological environment by mining
Based on the above analysis content, the quantitative and qualitative theory is used to evaluate the damage degree of mining to the ecological environment, and then corresponding recovery measures and enforcement measures are proposed according to different degrees.
There are three main references for assessing the extent of damage to the ecological environment by mining: First, the extent of damage, that is, the scope, intensity, and duration of damage to development and construction projects, and whether the damage is related to the dominant factors of the ecosystem.
The second is the sensitive nature of the ecological environment, that is, whether it affects sensitive targets, whether it exacerbates regional natural disasters, and whether the required level of protection is particularly high. The third is the nature of destruction, that is, the reversibility, recoverability, and compensability of destruction, one-time destruction or accumulation, and so on.
Based on the above, the evaluation index system for the damage caused by mining to the ecological environment is determined, as shown in the following table.
According to the evaluation principles, various destructive factors are comprehensively analyzed and the evaluation indicators are classified. The scores corresponding to different levels are given to form the graded scoring criteria for the evaluation index. The evaluation index grading standard table is as follows:
According to the evaluation index system determined above, the analytic hierarchy process and expert scoring method are used to evaluate the damage degree of the ecological environment in the mining area. The specific evaluation methods are as follows:
Suppose that the rating of the level II evaluation index is expressed as W, the evaluation factor score is expressed as r i , and the evaluation factor weight is expressed as ki.. The calculation formula is:
Suppose that the total score of the I-level evaluation indicator is expressed by G, and the indicator weight is expressed by r j . Then:
Where r i indicates the weighting of the scoring factor of the i-th II level indicator, and r . indicates the weighting of the scoring factor of the j-th I level indicator. According to the scoring results, the degree of damage to the ecological environment by mining activities is divided into three levels. When G ≤ 3 1111, it was slightly damaged; when 3 ≤ G ≤ 5, it was severely damaged; when G ≤ 5, it was severely damaged. Based on the above-mentioned level division, corresponding recovery measures are formulated.
Results
Experiment preparation
The purpose of the experimental research is to compare the proposed restoration countermeasures with traditional ecological environment restoration countermeasures and to study which restoration countermeasures have low input costs and high economic benefits. Considering that the actual ecological environment restoration requires a longer period, the experiment is verified by simulation.
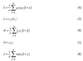
The impact of resource mining activities on the ecological environment is large. The direct and indirect values of ecological restoration are combined as a standard indicator for measuring the economic and economic benefits. The direct use value includes the value of forest resource productivity, scientific research and tourism value, and the indirect use value mainly includes the value of conserved water resources, the value of biodiversity and the value of degradation of pollutants. The calculation of the above value is shown below.
Where, S represents the productivity value of forest resources in the resource extraction area, n is constant, q i . represents the area of the plant in i years, w i . represents the increase in the unit area of forest resources, e i . represents the price of net income per unit area of plant resources such as forests, a represents the price growth rate; L indicates the value of scientific research and tourism, r i indicates the benefits of scientific research and tourism brought by the unit forest, U represents the forest area for ecological environment restoration; H represents the average annual storage value, t i represents the average price of building a reservoir per square meter, y i indicates the amount of water stored before the restoration of the ecological environment, β represents the price increase factor; D represents the value of biodiversity, v i indicates the ecological value of the unit area of the ecological environment, c indicates the area of ecological environment restoration; Jis the value of degrading pollutants, m i indicates the treatment cost per unit of pollutant, b i is the amount of pollutants degraded in the surrounding area after the restoration of the ecological environment. X is price growth rate.
Experimental results and analysis
According to the information about the direct use value and indirect use value, the corresponding ecological environment data is simulated. In the simulation experiments, the cost input is gradually increased. The economic benefits obtained by different recovery countermeasures are compared and analyzed.
After the ecological environment is destroyed, the economic growth caused by different recovery measures is shown below.
Observe the experimental results in the Figure 7. Experimental result 1 is the change of economic benefits after ecological restoration corresponding to the traditional restoration measures based on the environmental protection system. The results show that the economic benefits brought by the restoration of the ecological environment are lower than the input cost, and the difference between the two is at least 100,000 yuan. Experimental result 2 is the economic benefit brought by the traditional recovery measures relying on natural recovery. The results show that when the input cost reaches one million yuan, the economic benefit exceeds the input cost, but with the increase of the input cost, the economic benefit increases less and less. When the input cost is about 1.5 million yuan, the input cost is greater than the economic benefit. Experimental result 3 is the economic benefits brought by the proposed restoration countermeasures. The results show that with the increase of the input cost, the economic benefits increase significantly. When the investment is about 800,000 yuan, the economic benefit is greater than the investment cost, and it has been in a substantial growth trend.
In summary, considering the ecological environment destruction process of the comprehensive geological structure, the proposed ecological environment restoration strategy has the advantages of low cost and high efficiency, and the restoration strategy is superior to the traditional restoration strategy.
Discussion
Establish a new resource mining mechanism
In order to adapt to the development of the market economy under the new situation, a new type of resource development enterprise management and operation mechanism should be established. Based on the current development of mining activities, a unified energy development enterprise joint system is established, and the overall development of regional resources is implemented to promote the formation and development of the overall economy. This is conducive to the industrial mix of energy-saving and emission reduction and circular economy and is more conducive to integrating funds and forces for comprehensive ecological environment improvement and pollution control (Asghari et al., 2018).
With the massive development of various resources, a large area of land subsided and formed lakes and swamps, which changed the nature of land use, broke the existing urban and rural layout, and caused major changes in the regional economic structure and productivity layout. It has been transformed from a single agricultural economy into a mining-type agricultural economy. Therefore, to accelerate the planning and construction of towns in the mining area, the agricultural population will surely shift to towns, industrial and mining (Yang et al., 2020). The level of urbanization in the mining area needs to be improved, and the scale of urban construction needs to be expanded. Gradually implement integrated and integrated construction to accept the transfer of agricultural population to urban areas and expand employment opportunities, and reduce the pressure on the social environment. The establishment of local central towns should be expanded, and auxiliary enterprises, residential areas, and service industries should be incorporated into local central town construction and planning. Relying on the development of local central towns, new residential, and commercial areas should not be built separately (Wu et al., 2020). The built-up residential areas should be gradually replaced and rebuilt and relocated to local towns. Resettlement in mining areas should be closely integrated with urban planning. Based on the principle of relative concentration, rationally arrange resettlement for new villages. According to the standards of the new socialist countryside, an ecological village in the form of a mining area will be set up so that farmers will not leave their homes, which will facilitate the cultivation and management of land. Mining areas and cities should set up operating service companies to develop the tertiary industry and serve the resource extraction and urban areas in order to solve the employment problems of residents who are relocated in coal mine development and ensure social stability (Cheng & Liu, 2020).
Coordinate energy development and ecological protection with a scientific development concept
The government is responsible for the quality of the ecological environment in the area under its jurisdiction, and it is necessary to strengthen the leadership of energy resource development and ecological environmental protection. Carefully study the development strategy of energy resources in the area under its jurisdiction, work out an energy development model that is conducive to resource development and environmental protection, and sustainable economic development, and strive to create an environment-friendly energy development economy. The environmental protection executive head accountability system should continue to be seriously implemented, the environmental protection target responsibility system needs to be implemented, the first approval right and veto power of the environmental protection department should be implemented, and the environmental protection work in energy development in its own jurisdiction should be organized and led (Gao et al, 2018). The development of energy development and ecological protection plans should be adapted to local conditions. After the work priorities and goals are determined, the outstanding ecological and environmental problems in the area shall be solved in a planned and step-by-step manner. The ecological environment in Yulin is fragile and the carrying capacity is limited. The local farmers live in poverty, and the desire to get rid of poverty is more urgent. Energy development companies have an inherent need to maximize economic benefits for their own development needs. Most of them only care about development, regardless of the carrying capacity of the ecological environment, only the current development, but not sustainable development and they have the idea of development first, then governance. The scientific development concept must be used to coordinate energy development and ecological protection (Gao et al., 2019).
The grassroots government and corporate legal persons must adhere to the people-oriented principle, establish a comprehensive, coordinated, and sustainable development concept, handle the relationship between resource exploitation and ecological protection, and implement the policy of "developing during protection and protecting during development". The interests of all parties must be balanced, a dynamic balance of the coordinated development of economic and social development, resource development and utilization, and ecological and environmental protection should be established. A resource-saving and ecologically-friendly mining area should be built to achieve harmony between humans and nature in the mining area. The scientific concept of development and the resource-saving society must be vigorously publicized through various means, and the legal knowledge of environmental protection and resource conservation needs to be vigorously popularized. Let everyone know that protecting the environment means protecting their homes, themselves, and their children. The sound public participation mechanism needs to be established as soon as possible in order to implement the public's right to know the quality of the ecological environment and strengthen supervision of illegal ecological environment enterprises and illegal acts.
Green GDP accounting system
GDP is a measure of the economic performance of all countries and regions, and it reflects the state of wealth and the living standards of the people. However, the ecological environment is part of the comprehensive economy of a country or region. Environmental pollution and ecological damage can also increase GDP. Without incorporating ecological and environmental factors, the GDP kernel algorithm cannot fully reflect the real economic situation of a country or region. If only from the perspective of regional economic development, the local economy has increased, but it cannot truly reflect the ecological and environmental costs behind the economic growth in the area. Therefore, in order to fully reflect the real economic situation, especially for areas such as resource extraction that are eager to pursue rapid economic development and easily overlook the ecological environment, it is necessary to establish a green GDP accounting system. Through the establishment of a green GDP accounting system, the increase and consumption of ecological environmental resources are included in the national economic account in the form of currency to reflect the changes in the ecological environment over the years and its internal relationship with economic development. Correctly estimating the actual state of economic development and future development potential can provide a basis for establishing an ecological environment compensation mechanism, especially for establishing horizontal fiscal transfer payments.
Taking the above three points into consideration with the degree of damage to the ecological environment, different levels of damage have different emphases in the implementation of restoration measures, and relevant measures should be implemented according to actual conditions.
Conclusions
When the comprehensive geological structure was mined, the ecological environment was damaged. Through the evaluation of the damage degree of the ecological environment, the corresponding restoration countermeasures are proposed, which effectively solves the problems of high cost and low efficiency in the traditional restoration countermeasures. It has certainly help to the destruction and restoration of the ecological environment caused by mining and promotes the sustainable development of the ecological environment.


























