Introduction
Loess is a kind of soil with weak cementation, large pore size, and easy denaturation when encountering water (Qiu et al., 2018). However, under the action of water and dynamic load, serious geological disasters such as collapsibility and seismic subsidence would occur (Hao et al., 2018). The judgement of seismic subsidence of loess is an important means of seismic safety evaluation. The subsidence of soil under the action of earthquake is seismic subsidence. Due to its unique dynamic characteristics, loess is usually damaged when strong earthquakes occur (Cheng et al., 2018). At present, some experts and scholars have comprehensively analyzed the dynamic characteristics of loess by the triaxial test system. The specific physical properties of loess, such as dry density and water content, have a great impact on the dynamic characteristics of loess and play an important role in the study of the characteristics of loess (Liu et al, 2017). When earthquake subsidence occurs, the soil would subside under the action of dynamic load, and some soil with high water content would collapse due to vibration (Chen et al., 2017). Dry density is also an important internal factor that reflects the seismic subsidence degeneration of loess.
The seismic subsidence performance can be calculated by obtaining the volume strain variable through the dynamic single shear experiment. Or, on the basis of the volume strain variable data obtained from the dynamic single shear experiment, the incremental calculation equation is established, and the calculation equation of seismic subsidence is established according to the analysis results of field earthquakes (Wang et al., 2017; Drzewiecki & Piernikarczyk, 2017). It is mainly used to analyze the equivalent linearized site and determine the shear strain time history of different soil layers, and then convert the random vibration waves into harmonics to obtain the equivalent shear strain amplitude and vibration times. Under the same vibration condition, the longitudinal strain value of vibration is obtained through the single shear test of the soil samples in different soil layers, and finally the settlement amount of seismic subsidence under different soil layers is analyzed and calculated (Gao et al., 2017). The simplified seismic subsidence estimation method can obtain the equivalent shear strain of the soil layer through shear model, maximum ground acceleration, overburden load of the upper soil, and stress attenuation coefficient. According to the relationship between the circular cycle and the volume strain, the volume strain value of equivalent shear strain is obtained. After the loading cycle, the volume strain value of the magnitude is calculated (Araujo & Castro, 2017; Sarhosis et al., 2018).
In this study, by analyzing the seismic subsidence characteristics of loess and the influencing factors of seismic subsidence, the seismic subsidence changes of loess with different moisture content, dry density, and consolidation stress ratio are analyzed. The seismic subsidence characteristics of one-dimensional loess field and the variation of seismic subsidence in different soil layers are analyzed by the simplified seismic subsidence estimation method. This study aims to provide theoretical basis for the subsequent analysis of loess seismic subsidence characteristics and field earthquakes.
Methodology
Characteristics and influencing factors of loess seismic subsidence
The main mechanism, disaster development mode, and disaster types of loess seismic subsidence are influenced by the material index of soil, topographic characteristics of loess field, and earthquake. When loess earthquake subsidence occurs, soil quality can significantly affect the intensity of earthquake and the severity of earthquake subsidence. The degree of loess earthquake subsidence is obviously different in different areas. Different forces act on the primary structure of loess during the earthquake. When the external force exceeds the connection strength between the soil particles, the pores in the primary structure of loess would be destroyed and the soil particles would be rearranged. At this time, the surface would show sudden settlement.
Seismic subsidence in loess is the result of the interaction of various factors, and the difference in soil structure has a significant impact on the occurrence of seismic subsidence, such as the water content and pore ratio of soil particles. Loess is composed of grain size, and the content of clay between soil grains has a great influence on the occurrence of seismic subsidence. The loess with different water content would also exhibit different kinetic characteristics, and the seismic subsidence of loess would increase with the increase of water content of soil. When the pore ratio is greater than 0.75, the seismic subsidence would increase with the increase of the pore ratio of soil particles.
Seismic subsidence test of loess under different conditions
Generally speaking, residual strain is used for the representation of loess earthquake subsidence, and the electro-hydraulic servo dynamic triaxial testing machine controlled by microcomputer (Xi'an Lichuang, China) is adopted for the test. During the test, the ratio of fixed junction stress of loess samples is not equal to 1, and the center of dynamic strain amplitude would move in the direction of compression with the cyclic action of dynamic stress. Accumulated residual strain that can't be completely recovered would occur in the loess after the cycle stops. The residual strain can be expressed as Equation 1:
Among them, εr(N) is the residual strain, that is, the seismic subsidence coefficient, H is the height of the loess sample before the dynamic load, and h is the height of the loess sample after dynamic loading. Figure 1A shows the relationship between the time course of loess dynamic strain and the number of vibration with the passage of cycle number N. It can be observed from figure 1B that after N cycles stop, the accumulated residual strain value of loess is the corresponding strain value when the dynamic stress under this cycle number is equal to 0.

Figure 1 Definition of accumulated residual strain of loess (A is the process of dynamic stress and accumulated residual strain changing with time; B is the dynamic stress lag loop of loess)
The Q3 loess, which is 3.5m in the third terrace of the XXX River, is collected from XXX County of XXX City. The loess structure is loose. After testing, it was found that the selected loess has a natural water content of about 11.98%, a dry density of about 1.42g/cm3, and a plasticity index of 7.55. The dynamic properties of loess with 10%, 20%, 30%, and 35% moisture content are tested, and seismic subsidence characteristics of loess with dry densities of 1.4g/cm3, 1.6g/cm3, and 1.8g/cm3 and consolidation stress ratios of 1.0, 1.2, 1.4, and 1.6 are analyzed
Evaluation of seismic subsidence of one-dimensional loess
The one-dimensional loess site is shown in Figure 2. When an earthquake occurs in a one-dimensional field, the loess layer would extend horizontally in all directions in the same direction and be propagated by vertical and upward shear waves. At this time, the loess volume would only generate horizontal vibrations conducted by bedrock.
When seismic subsidence occurs and the loess is of different densities and of the same type, it can be considered that the seismic subsidence deformation of the same type of loess follows the ratio of the same seismic subsidence coefficient increment to the dynamic strain amplitude. When the moisture content, dry density, and consolidation pressure of the loess in the same soil field are the same, the seismic depression coefficient of the loess with different soil depth can be calculated by the Equation 2.
Among them, ∆εp is the increment of the seismic subsidence coefficient, λd is equivalent shear strain amplitude of loess body during earthquake, εp is the seismic subsidence coefficient of the cycle that has occurred, p0 is the dry density of loess, pref is the referenced dry density, and a and b are the reference values of earthiness, as shown in Equation 3.
The calculation equation of seismic load cycle is as follows:
Among them, ai. is the acceleration amplitude of level i, Nai . is the cycle number of ai, amax is the maximum acceleration value. With the change of depth h, the relationship between the stress attenuation coefficient rd of the loess field is shown in Figure 3. Therefore, the stress attenuation coefficient of loess can be expressed by the Equation 5.
Here, the equivalent shear strain of the soil layer at any depth is as follows.
Among them, δ0 is the pressure covering the soil layer, f is the conversion coefficient of frequency addition, and g is the acceleration of gravity.
The relationship of pore ratio of soil grains, dry density and moisture content to seismic subsidence coefficient
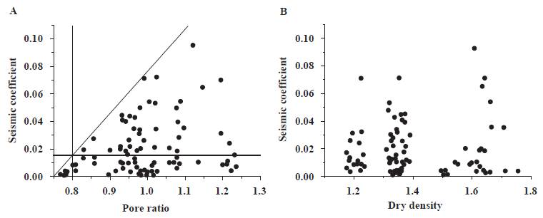
The density of loess can determine the maximum deformable quantity of earthquake subsidence, and it is reflected by dry density and void ratio. It can be observed from figure 4A that the earthquake subsidence coefficient would increase with the increase of the pore ratio of soil particles, and there is a linear growth relationship between the two. As can be observed from figure 4B, the dispersion between the seismic subsidence coefficient of loess and the dry density of soil particles (g/cm3) is relatively large, but when the dry density of soil particles is large, a large seismic subsidence also occurs.

Figure 4 Relationship between seismic subsidence coefficient and void ratio and dry density of loess (A is the void ratio; B is the dry density)
It can be observed from Figure 5 that when the pore ratio of soil particles is relatively low, the loess with high water content may not be seismic subsidence. When the void ratio is relatively high and the water content of loess is low, seismic subsidence may also occur. This indicates that the influence of water content limit should be considered for loess with low porosity. However, the boundary of water content does not need to be considered in loess with higher porosity.

Figure 5 Relationship between water content, seismic subsidence coefficient, and pore ratio of loess
Seismic subsidence variation rule of loess with different moisture content
When the consolidation stress and ratio are equal, the influence of different water contents of loess on seismic subsidence is shown in Figure 6. When the consolidation stress ratio is 1.0, the consolidation stress is 200kPa and the dry density of the loess is 1.4g/cm3 and the pressure is applied on the loess samples, the loess with different moisture contents all have seismic subsidence changes to some extent. It can be observed from figure 4A that when the moisture content of the loess is 10%, different dynamic stresses have little influence on the residual strain of the loess. However, when the moisture content of the loess is greater than or equal to 20% and the dynamic stress exceeds 100kPa, the residual strain of the loess increases significantly, and the soil also shows obvious seismic subsidence changes. It can be observed that the seismic subsidence of loess is mainly caused by the destruction of the pore structure of soil particles under the action of dynamic load. External pressure would reduce the pore ratio of loess soil particles, and the soil mass would become more compact and deformed (Anbazhagan et al., 2017). However, when the water content of loess increases, the cementation between the soil particles would be strengthened, thus reducing the friction strength between the soil particles. Therefore, under the action of the same load and consolidation stress, the pore ratio of the loess with high water cut is smaller, the seismic subsidence is more likely to occur, and the deformation of seismic subsidence is more serious (Xu & Yang, 2017).
Seismic subsidence variation rule of loess with different dry density
When the consolidation stress and ratio are equal, the influence of different dry densities of loess on seismic subsidence is shown in Figure 7. It can be observed from figure 7A that when the dry density of loess is 1.4g/cm3, its influence on dynamic stress is lower than that of dry densities of 1.6g/cm3 and 1.8g/cm3, indicating that under the action of the same dynamic stress, the dry density of loess is inversely proportional to the deformation generated by earthquake subsidence. This may be because the higher the dry density of the loess is, the higher the compactness between the soil particles is, and the higher the dynamic stress is needed to make the loess volume change. As can be observed from figure 7B, the residual strain generated by the loess volume decreases with the increase of the dry density of the soil, and when the dry density of the loess is larger than 1.6g/cm3, the influence of the residual strain on the volume of the loess also decreases gradually.
The variation rule of seismic subsidence of loess under different consolidation stress ratio
Figure 8A shows that when the consolidation stress is 100kPa, the dry density of the loess is 1.4g/cm3 and the moisture content is 20%, the consolidation stress ratio is proportional to the residual stress generated by the volume of the loess after the pressure is applied to the sample. It is possible that due to the increase of deviator stress on the loess, the pore structure among the soil particles is gradually destroyed, which leads to the increase of residual strain of the loess volume. It can be observed from figure 8B that the residual stress generated by loess would increase with the increase of consolidation stress ratio, showing a linear growth relationship, which is consistent with the research results of Song et al., 2017.
Analysis of seismic subsidence characteristics of one-dimensional field
The variation of seismic subsidence coefficient and cycle times of one-dimensional field at different soil depth is shown in figure 9. It can be observed that the seismic subsidence coefficient produced by loess soil is proportional to the cycle times, but the seismic subsidence amplitude is inversely proportional to the development of seismic subsidence. It can be observed from figure 9 that when the depth of the soil layer reaches 9.5 m, the earthquake subsidence coefficient is the largest, the generated earthquake subsidence is the strongest, and the maximum earthquake subsidence coefficient of this deep soil layer can reach 0.8%.

Figure 9 Relationship between seismic subsidence coefficient and cycle times at different soil depths
The results of the relationship between seismic subsidence coefficients at different soil depths and seismic subsidence depths are shown in figure 10. It can be observed from figure 10A that the seismic subsidence coefficient first increases and then decreases with the increase of soil depth. And it can be observed from 10B that when the depth of soil layer is 12~16m, the settlement depth caused by earthquake subsidence is small, while the settlement degree in the soil depth of 8~12m is larger.
Conclusion
Based on the previous research results, the seismic subsidence characteristics of the original loess with different moisture content, density, and consolidation stress are analyzed by triaxial experiment. It is found that the seismic subsidence is stronger when the loess has higher water content, lower density, and higher consolidation stress. After the calculation of seismic subsidence coefficient of one-dimensional loess field, it is found that when the depth of soil layer is 10m, the seismic subsidence coefficient is the largest and the deformation of seismic subsidence is the largest. In this study, the mechanical properties of loess are not considered comprehensively, and the calculation amount of models used for seismic subsidence analysis is too small. However, the results of this study can provide certain theoretical basis for the subsequent study on seismic subsidence and evaluation of loess.


























