Introducción
Desde su aparición en el escenario mundial, la enfermedad de COVID-19 generó un efecto importante en diversas áreas del quehacer humano, entre ellas la educación. Debido a la contingencia sanitaria decretada a causa de la pandemia, en México las clases presenciales fueron canceladas en marzo de 2020 y, en la mayoría de los casos, sustituidas por la modalidad de Enseñanza Remota de Emergencia (ERE). Para la implementación de la ERE, las instituciones de educación superior adaptaron diversas metodologías y herramientas tales como Sistemas de Gestión del Aprendizaje (LMS, por sus siglas en inglés), simuladores, aplicaciones educativas en línea y videoconferencias, entre otras. Sin embargo, en la mayoría de los casos, esta implementación fue llevada a cabo en pocos días sin la apropiada planeación y rediseño de los cursos presenciales. No obstante, la experiencia obtenida en los meses posteriores permitió realizar una mejor planeación y adaptación de los programas de estudio para el desarrollo del ciclo escolar 2020-2021, también en la modalidad de ERE.
Aunque la ERE puede tener elementos similares al aprendizaje en línea tales como la enseñanza no presencial, el uso de al menos un LMS, así como de medios electrónicos para la transferencia de información, no debe ser considerada como aprendizaje en línea, ya que esta se caracteriza por ser cuidadosamente planeada y diseñada desde un principio para ser implementada en un ecosistema robusto; en tanto que la ERE es una solución temporal (Hodges et al., 2020). Recientes investigaciones han enfatizado la importancia del diseño y administración apropiada del curso en el contexto de la ERE, uso de recursos pedagógicos y tecnológicos para priorizar la comunicación y el aprendizaje, así como habilidades del estudiante para el aprendizaje autorregulado, que a su vez está asociado con la autoeficacia del estudiante (Fernandez-Rio et al., 2017; Mohmmed et al., 2020; Petillion y McNeil, 2020).
El objetivo de esta investigación fue analizar las relaciones estructurales entre factores asociados con la motivación del estudiante (autoeficacia para el aprendizaje y el desempeño y valor de la tarea), así como de factores asociados con el diseño y administración del curso (usabilidad del LMS y diseño instruccional), sobre la experiencia de flow y la satisfacción del estudiante, en cursos del nivel de pregrado en el contexto de la modalidad de ERE en una institución privada de educación superior del estado de Nuevo León, México, durante el periodo de agosto a diciembre de 2020. A continuación se describen los constructos que se investigaron.
Experiencia de flow y satisfacción del estudiante con el curso
La experiencia de flow, también llamada estado de flow o estado óptimo, es una característica psicológica que se ha vinculado con el desempeño académico. Se define como “el estado dinámico de una persona que le genera una sensación holística al actuar con un involucramiento total” (Csikszentmihalyi, 1975, p. 36), y tiende a ocurrir cuando un individuo enfrenta un desafío altamente atractivo que le requiere un conjunto de respuestas apropiadas. El desafío se define como una experiencia subjetiva del individuo derivada de la interacción de las demandas del ambiente de aprendizaje y las habilidades propias (Rodríguez-Ardura y Meseguer-Artola, 2017). Para que la experiencia de flow suceda, se requiere un balance apropiado entre habilidades del individuo y las exigencias del desafío (Csikszentmihalyi, 1997).
Por otra parte, la satisfacción del estudiante con el curso se relaciona con la percepción que tiene el aprendiz acerca de su propia experiencia de aprendizaje (Alqurashi, 2019), y se puede definir como el grado en el cual un estudiante siente una asociación positiva con su propia experiencia educativa (Shin, 2003). En otras palabras, la satisfacción con el curso es el grado en el que un programa de aprendizaje cumple con las expectativas del estudiante (Diep et al., 2017). La satisfacción con el curso, vista como una medida global de la percepción de la calidad y beneficio obtenido, puede incluir cualquier cantidad de factores tales como el estilo instruccional, los contenidos de aprendizaje y la estructura del curso, la asistencia del docente o instructor, los foros de discusión, las evaluaciones y la totalidad del curso (Sanford et al.,2017; Wei y Chou, 2020)
Existe evidencia de que la experiencia de flow es un predictor significativo de la satisfacción del estudiante en cursos en línea, específicamente, cuando la experiencia de flow implica un involucramiento total del estudiante acompañado de una experiencia altamente placenteras y que al mismo tiempo le permiten concentrarse en los contenidos de aprendizaje(Lee y Choi, 2013; Lu, et al., 2019).
Motivación del estudiante: autoeficacia y valor de la tarea
El concepto de autoeficacia, derivado de la teoría cognoscitiva de Bandura (1977), se refiere a las creencias de las personas acerca de sus habilidades para organizar y ejecutar acciones para influir sobre eventos que pueden afectar su vida. Existen diversos tipos de autoeficacia, tales como la autoeficacia física, musical y computacional, entre otros. En la presente investigación, se estudió la autoeficacia para el aprendizaje y el desempeño. Esta se define como el nivel de confianza que tiene una persona acerca de las habilidades propias para desarrollar una actividad o desafío específico (Alqurashi, 2019; Pintrich et al., 1991). Una elevada percepción de autoeficacia es especialmente importante en los cursos en línea y muy posiblemente en la ERE en virtud de la falta de presencialidad e interacción social, lo que a su vez puede causar en el estudiante una sensación de soledad.
Se ha encontrado evidencia de que la autoeficacia del estudiante tiene un efecto positivo sobre la experiencia de flow en el aprendizaje en línea (Hong et al., 2017; Joo et al., 2015). Cuando los estudiantes creen que son suficientemente capaces tienden a experimentar el estado de flow, en tanto que incrementan su nivel de involucramiento y desempeño en las actividades académicas (Erhel y Jamet, 2019; Mesurado et al., 2016; Peifer et al., 2020; Rodríguez-Ardura y Meseguer-Artola, 2017).
Por otra parte, el valor de la tarea es la evaluación por parte del estudiante acerca del valor de un contenido de aprendizaje, es decir, es la percepción del estudiante de qué tan interesantes, útiles e importantes son los contenidos de aprendizaje de un curso específico (Pintrich et al, 1991). Si el contenido de aprendizaje es percibido como altamente útil, los estudiantes se sentirán más motivados para realizar un mayor esfuerzo en las tareas de aprendizaje, ya que perciben que ese esfuerzo resultará en mejorar su propio desempeño (Diep et al., 2017)(2.
Algunas investigaciones han mostrado que el nivel de autoeficacia del estudiante, así como su percepción acerca del diseño instruccional, tienen un efecto positivo sobre cómo percibe el valor de la tarea (Li y Zheng, 2018; Sánchez-Rosas y Esquivel, 2016). Así también, el valor percibido de la tarea tiene un efecto positivo sobre el nivel de experiencia de flow (Cho, 2018; Joo et al., 2015), y sobre el grado de satisfacción del estudiante con el curso (Alanazi et al., 2020; Sánchez-Rosas y Esquivel, 2016; Yalcin, 2017).
Diseño y administración del curso: diseño instruccional y usabilidad del LMS
El diseño instruccional es un concepto que puede tener diferentes interpretaciones para diferentes personas. Por ejemplo, se puede utilizar este término para referirse a la creación de escenarios de aprendizaje en línea o para crear un esquema de un currículo con base en un conjunto de aprendizajes esperados (Turnbow y Roth, 2019). De acuerdo con Seel et al. (2017), el diseño instruccional es un proceso sistemático enfocado en la planeación y desarrollo de programas educativos en general y estructurados de tal forma que se logren mejoras sustantivas en el aprendizaje. El principal objetivo del diseño instruccional es encontrar las mejores formas de enseñar algo (Turnbow y Roth, 2019).
Una herramienta auxiliar en el diseño instruccional y el desarrollo de los cursos en línea es el LMS. Este es un software que incluye una variedad de servicios que asisten a los docentes en la gestión de sus cursos permitiendo la creación, importación y exportación de contenidos pedagógicos; la administración de archivos referentes al desempeño de los estudiantes; la distribución de cursos en línea y las herramientas de comunicación, entre otros (Ouadoud et al., 2018).
Una cualidad importante del LMS es su usabilidad. Se entiende por usabilidad al grado en que un sistema, servicio o producto puede ser utilizado por usuarios específicos para lograr metas específicas con efectividad, eficiencia y satisfacción en contextos específicos de uso (International Organization for Standardization, 2018). Así, la usabilidad de un LMS es el grado en el que el sistema puede ser utilizado para el aprendizaje de manera eficiente y satisfactoria.
Diversos estudios han encontrado evidencia que sugiere que la forma en que el estudiante percibe la usabilidad del LMS afecta tanto a su experiencia de flow (Chang y Shen, 2015; Khan et al., 2017) como a su satisfacción con el curso (Ghazal et al., 2018; Stokes et al., 2016). Así también, la forma en que el estudiante percibe el nivel del diseño instruccional afecta al grado de satisfacción con el curso (Hernández-Nanclares y Pérez-Rodríguez, 2016; Lee et al., 2017; Shin y Cheon, 2019; Yalcin, 2017).
Hipótesis y modelo estructural
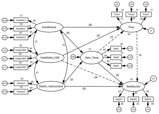
Con base en la revisión de la literatura, se propuso analizar las relaciones estructurales entre los constructos operacionalizados que se muestran en la Figura 1, del cual se derivan las siguientes hipótesis:

Autor: Elaboración propia
Figura 1 Modelo hipotético de factores predictores de la experiencia de flow y la satisfacción con el curso
El nivel de autoeficacia para el aprendizaje y el desempeño afecta positivamente al nivel de experiencia de flow del estudiante (H1) y al valor percibido de la tarea (H2).
El grado de usabilidad percibida del LMS afecta positivamente al nivel de experiencia de flow del estudiante (H3) y al grado de satisfacción del estudiante con el curso (H4).
El nivel de diseño instruccional percibido afecta positivamente al valor percibido de la tarea (H5) y al grado de satisfacción del estudiante con el curso (H6).
El valor percibido de la tarea afecta positivamente al grado de satisfacción del estudiante con el curso (H7) y al nivel de experiencia de flow del estudiante (H8).
El nivel de experiencia de flow afecta positivamente al grado de satisfacción del estudiante con el curso (H9).
Método
Participantes
Utilizando un esquema de muestreo probabilístico por conglomerados, se recolectó la información de 352 estudiantes de nivel de pregrado de una universidad privada del estado de Nuevo León, México, mediante un formulario en línea que contenía los instrumentos de medición. Se consideró a cada una de las unidades académicas de la universidad (facultades y escuelas) como un conglomerado. Dentro de cada conglomerado, se realizó una selección aleatoria de estudiantes inscritos en cursos en la modalidad presencial, en el ciclo académico de otoño (agosto a diciembre de 2020). Estos cursos fueron desarrollados en la modalidad de ERE debido a la suspensión de clases presenciales derivada de la pandemia de COVID-19. La implementación de los cursos fue realizada mayormente mediante videoconferencias sincrónicas, videos tutoriales, aplicaciones educativas en línea, estudio independiente, así como el uso intencional del LMS, mismo que es propiedad de la universidad.
De la muestra inicial, se removieron 18 casos considerados atípicos, quedando la muestra final en n= 334. La detección de datos atípicos se realizó por medio de distancias de Mahalanobis, utilizando el criterio conservador p< .001 recomendado por Kline (2011). De la muestra final, 150 participantes fueron hombres (44.9 %) y 184 mujeres (55.1 %) con edades en el rango de 16 a 44 años (M= 20.55, DE= 3.676).
Instrumentos
Para la medición del nivel de autoeficacia para el aprendizaje y el desempeño, así como del valor percibido de la tarea, se utilizaron las dos escalas del MSLQ (Motivated Strategies for Learning Questionnaire) indicadas para estos constructos. Este instrumento, desarrollado por Pintrich et al. (1991), se fundamenta en el enfoque cognoscitivo social de la motivación y el aprendizaje. Contiene 15 escalas, agrupadas en dos secciones (motivación y estrategias de aprendizaje), las cuales están diseñadas para ser utilizadas de forma modular de acuerdo a la necesidad del investigador (Duncan y McKeachie, 2005). La escala que mide el valor percibido de la tarea contiene seis ítems, en tanto que la escala que mide el nivel de autoeficacia para el aprendizaje y desempeño contiene ocho ítems. Para estas escalas los autores reportan un coeficiente de confiabilidad α= .90 y de α= .93, respectivamente. En la presente investigación, las opciones de respuesta para ambas escalas fueron adaptadas a una escala tipo Likert de 11 puntos, desde 0 (nada cierto para mí) a 10 (completamente cierto para mí).
La evaluación de la percepción del diseño instruccional del curso se llevó a cabo empleando los cinco ítems de la sección de diseño instruccional y distribución de la Rúbrica para Instrucción en Línea (California State University, Chico, 2020). Esta rúbrica, conformada por seis secciones, fue desarrollada para evaluar la calidad de un curso en línea. Un estudio realizado por Joo et al. (2015) encontró una aceptable consistencia interna de la sección diseño instruccional y distribución (α= .90).
Para evaluar el grado de usabilidad percibido del LMS en este estudio, se utilizó la versión positiva de la Escala de Usabilidad de un Sistema (SUS, por sus siglas en inglés), validada por Hedlefs Aguilar y Garza Villegas (2016). Para esta versión que contiene 10 ítems redactados en tono positivo, los autores reportaron una buena consistencia interna (α= .92). La versión estándar de la escala SUS desarrollada por Brooke (1996), al igual que la versión positiva, también contiene 10 ítems, solo que éstos están presentados de forma alternada en tonos positivos y negativos (Lewis, 2018). Se ha encontrado que el lenguaje utilizado en la versión estándar ha generado problemas de comprensión en forma más marcada para respondientes cuyo idioma materno no es el inglés. A diferencia de la versión estándar, el uso de la versión positiva podría derivar en menor tasa de errores de interpretación de los ítems por parte de los respondientes, así como menor riesgo de errores de codificación por parte de los investigadores (Hedlefs Aguilar y Garza Villegas, 2016).
La medición del nivel de experiencia de flow, se realizó utilizando la versión corta de la escala Dispositional Flow Scale 2 (SDFS-2) desarrollada por Jackson y Eklund (2002), para la cual se reportó una buena consistencia interna (α= .81). Esta escala, diseñada para medir la experiencia de flow de forma global en actividades generales, contiene nueve ítems correspondientes a las nueve dimensiones del flow propuestas por Csikszentmihalyi (1975).
Para la medición del grado de satisfacción del estudiante con el curso, se utilizó un instrumento conformado por seis ítems. Cuatro de esos ítems fueron adaptados de la escala usada por Cheng y Chau (2016) para la medición de la satisfacción con el curso en línea, en tanto que los dos ítems restantes fueron adaptados de la escala empleada por Lee y Choi (2013) utilizadas en su estudio para evaluar la satisfacción del estudiante con los cursos a distancia en una universidad coreana. Ambas escalas, en su versión completa, mostraron buena consistencia interna (α= .84 y α= .93, respectivamente).
Al igual que las escalas de autoeficacia y valor de la tarea, en este estudio las escalas correspondientes a diseño instruccional, usabilidad del LMS, experiencia de flow y satisfacción fueron adaptadas para ser medidas en una escala tipo Likert de 11 puntos, desde 0 (completamente en desacuerdo) a 10 (completamente de acuerdo).
Resultados
Para investigar las relaciones estructurales entre las variables consideradas en este estudio y validar las hipótesis propuestas (ver Figura 1), se procedió a estimar los parámetros y verificar el ajuste del modelo teórico con los datos de la muestra. Para ello, primeramente, se analizó la validez y confiabilidad de los instrumentos utilizados, y posteriormente, se procedió a la estimación de parámetros y ajuste del modelo.
Validez y confiabilidad de los instrumentos de medición
La evaluación de la confiabilidad por consistencia interna de los instrumentos de medición, se realizó empleando el coeficiente alfa de Cronbach (α) y el coeficiente de confiabilidad compuesta (CR). Los resultados de la Tabla 1 muestran que ambos coeficientes superan el valor de .70, lo que de acuerdo con Taber (2018) y Moral de la Rubia (2019), sugiere una adecuada consistencia interna de los instrumentos de medición.
Tabla 1 Indicadores de confiabilidad, validez convergente y validez discriminante de las escalas utilizadas
| Coeficiente de correlación de Pearson | Índices de confiabilidad | ||||||||||
|---|---|---|---|---|---|---|---|---|---|---|---|
| Constructo | AAD | VPT | DI | LMS | FL | SC | α | CR | AVE | MSV | ASV |
| AAD | .80 | .93 | .93 | .64 | .53 | .40 | |||||
| VPT | .67 | .84 | .93 | .94 | .70 | .59 | .38 | ||||
| DI | .64 | .62 | .80 | .90 | .91 | .64 | .59 | .35 | |||
| LMS | .31 | .41 | .36 | .83 | .95 | .96 | .69 | .17 | .13 | ||
| FL | .70 | .48 | .53 | .36 | .66 | .97 | .89 | .44 | .49 | .30 | |
| SC | .65 | .77 | .77 | .41 | .51 | .91 | .96 | .97 | .83 | .59 | .39 |
Constructos: AAD= Autoeficacia para el aprendizaje y el desempeño, VPT= Valor percibido de la tarea, DI= Diseño Instruccional, LMS= Usabilidad del LMS, FL= Experiencia de flow, SC= Satisfacción con el curso.
Índices: α = coeficiente alfa de Cronbach, CR= coeficiente de confiabilidad compuesta, AVE= varianza media extraída, MSV= máxima varianza compartida, ASV= Varianza compartida promedio. Los valores en negritas representan las raíces cuadradas de la AVE de los constructos correspondientes.
La validez convergente se evaluó por medio de la varianza media extraída (AVE) de cada constructo. La validez discriminante se evaluó observando las intercorrelaciones entre los constructos operacionalizados, el cumplimiento del criterio de Fornell y Larcker (1981) acerca de las raíces cuadradas de la AVE de los constructos correspondientes, además de comparar el valor máximo, así como el valor promedio del cuadrado de las correlaciones entre constructos (MSV y ASV, respectivamente). Los resultados reportados en la Tabla 1 muestran que las intercorrelaciones entre constructos no son excesivamente altas, además de que todos los valores de AVE son mayores que .50, así como mayores que MSV y ASV, excepto para el constructo experiencia de flow. Además, para cada constructo la raíz cuadrada de la AVE resultó ser mayor que las intercorrelaciones con otros constructos. Todo lo anteriorsugiere adecuada validez convergente y validez discriminante de las escalas utilizadas en este estudio (Fornell y Larcker, 1981; Hair et al., 2014; Kline, 2011; Moral de la Rubia, 2019).
Modelo estructural
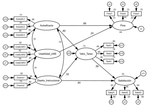
Para el modelo de medida, así como para el modelo estructural hipotético de relaciones entre variables (ver Figura 2), se utilizaron parcelas como variables indicadores de cada constructo. La utilización de parcelas en un modelo estructural en lugar de los ítems originales, cuando los constructos son unidimensionales, puede ayudar a mitigar problemas asociados con la no normalidad, incrementar la eficiencia del modelo y disminuir su complejidad (Matsunaga, 2008).
Para la formación de las parcelas, se agruparon aleatoriamente dos o más ítems en cada constructo de modo que se obtuvieron tres parcelas por constructo, excepto para el constructo diseño instruccional donde solo se formaron dos parcelas. Los puntajes de cada parcela resultaron del promedio de los ítems que la conforman. Previamente a la formación de parcelas, se realizó un análisis factorial exploratorio para cada una de las escalas, utilizando el método de extracción de factores por factorización de eje principal con rotación Varimax. Utilizando el criterio de valores propios mayores que 1.0 para la retención de factores, así como la visualización del diagrama de sedimentación, se concluyó que cada escala agrupaba a los ítems que la conforman en un solo factor, lo cual sugiere constructos unidimensionales.
Previamente a la estimación de parámetros del modelo, se evaluó el supuesto de normalidad multivariada de los datos por medio de la prueba de Royston. Dado que los resultados de esta prueba mostraron evidencia de violación del supuesto de normalidad (H= 863.879, p= .000), se decidió utilizar el método de estimación de parámetros por Máxima Verosimilitud con errores estándar robustos y prueba Chi-cuadrada escalada de Satorra-Bentler (Satorra y Bentler, 1994). Los estadísticos de bondad de ajuste reportados en la Tabla 2 sugieren que el modelo de medida muestra un ajuste aceptable con los datos muestrales. De igual forma, el modelo inicial representado en la Figura 2, en el cual se plantean las relaciones estructurales entre los constructos operacionalizados, también mostró un ajuste aceptable (ver Tabla 2).
Tabla 2 Estadísticos de ajuste de los modelos analizados (n = 334)
| Modelo | χ2 SB | NPE | gl | CFI | TLI | SRMR | RMSEA (90% IC) |
|---|---|---|---|---|---|---|---|
| Modelo de medida | 257.423 | 49 | 104 | .931 | .910 | .041 | .067 (.058, .076) |
| Modelo estructural inicial | 262.710 | 46 | 107 | .966 | .957 | .042 | .066 (.057, .075) |
| Modelo estructural modificado | 267.165 | 43 | 110 | .966 | .957 | .044 | .066 (.057, .075) |
| Criterio | - | - | - | >.90 | >.90 | <.08 | <.08 |
Estadísticos de ajuste. χ2SB: Chi-cuadrada escalada de Satorra-Bentler, NPE= número de parámetros estimados, gl= grados de libertad, CFI: Comparative Fit Index, TLI: Tucker-Lewis Index, RMSEA: Steiger-Lind Root Mean Square Error of Approximation. 90% IC: Intervalo de confianza del 90% para el RMSEA. SRMR: Standardized Root Mean Square Residual.
Al examinar los coeficientes de regresión estandarizados del modelo inicial, se observó que todas las relaciones estructurales entre variables fueron estadísticamente significativas (ver Tabla 3), excepto para los siguientes efectos: (a) grado de usabilidad percibida del LMS sobre el grado de satisfacción del estudiante con el curso (p= 294), (b) valor de la tarea sobre el nivel de experiencia de flow (p= .120) y (c) nivel de experiencia de flow sobre el grado de satisfacción del estudiante con el curso (p= .052). En consecuencia, las hipótesis H4, H8 y H9 fueron rechazadas.
Las tres relaciones estructurales que no resultaron significativas, mostradas en la Figura 2 por medio de trayectorias con línea discontinua, fueron removidas del modelo inicial para obtener el modelo modificado representado en la Figura 3. Para este modelo, se obtuvo un ajuste aceptable con los datos muestrales (ver Tabla 2). Además, debido a que los modelos estructurales inicial y modificado son modelos anidados, ya que el segundo se obtuvo a partir del primero removiendo algunos parámetros del modelo, se realizó una prueba Chi-cuadrada para evaluar si existe diferencia entre ambos modelos. Los resultados de esta prueba mostraron que, en términos de bondad de ajuste, no existe diferencia significativa entre el modelo estructural inicial y el modelo modificado (∆χ2= 4.445, gl= 3, p= .216). Así, se decidió proponer al modelo modificado como el modelo final para explicar las relaciones estructurales entre variables.
Para el modelo modificado, como se observa en la Tabla 3, todas las relaciones estructurales entre variables resultaron estadísticamente significativas con coeficientes de regresión positivos, de modo que no se rechazaron las hipótesis H1, H2, H3, H5, H6 y H7. Estos resultados sugieren que: (a) el nivel de autoeficacia para el aprendizaje y el desempeño tiene un efecto positivo directo sobre el nivel de experiencia de flow y sobre el valor percibido de la tarea, (b) el grado de usabilidad percibida del LMS tiene un efecto positivo directo sobre el nivel de experiencia de flow, (c) el nivel de diseño instruccional percibido tiene un efecto positivo directo sobre el valor percibido de la tarea y sobre el grado de satisfacción del estudiante con el curso y (d) el valor percibido de la tarea tiene un efecto positivo directo sobre el grado de satisfacción del estudiante con el curso.
Tabla 3 Hipótesis, coeficientes de regresión y resultados para el modelo modificado

β1: Coeficiente de regresión no estandarizado, β2: Coeficiente de regresión estandarizado, SE: Error estándar. * Relación no significativa en el modelo inicial y no incluida en el modelo modificado.
A continuación, se procedió a evaluar la significancia del efecto mediador del valor de la tarea sobre el grado de satisfacción del estudiante con el curso. Por medio de la prueba de Sobel (Kline, 2011), se evaluó la significancia del efecto indirecto del nivel de autoeficacia para el aprendizaje y el desempeño, así como del nivel de diseño instruccional percibido, sobre el nivel el grado de satisfacción del estudiante con el curso, mediados por el valor percibido de la tarea. Para esta prueba, se utilizaron los coeficientes de regresión no estandarizados y errores estándar reportados en la Tabla 3. Adicionalmente, se calcularon los efectos totales estandarizados, los cuales se resumen en la Tabla 4.
Tabla 4 Efectos totales estandarizados para el modelo modificado
| Valor de la tarea | Flow | Satisfacción | |
|---|---|---|---|
| Autoeficacia | .604 | .693 | .179 |
| Diseño instruccional | .315 | 0 | .731 |
| Usabilidad LMS | 0 | .232 | 0 |
| Valor de la tarea | 0 | 0 | .298 |
Los resultados de la prueba de Sobel mostraron evidencia de que: (a) el efecto indirecto del nivel de autoeficacia para el aprendizaje y el desempeño sobre el grado de satisfacción del estudiante con el curso, teniendo como mediador al valor percibido de la tarea, resultó estadísticamente significativo (Z= 3.385, p= .0003) y (b) el efecto indirecto del nivel de diseño instruccional percibido sobre el grado de satisfacción del estudiante con el curso, teniendo como mediador al valor percibido de la tarea, también resultó estadísticamente significativo (Z=2.882, p= .0019). Para el modelo estructural modificado, dado que no hay un efecto directo de la autoeficacia sobre la satisfacción, se observa que el valor percibido de la tarea es un mediador completo del efecto del nivel de autoeficacia para el aprendizaje y el desempeño sobre el grado de satisfacción del estudiante con el curso. Así también, dado que hay un efecto significativo directo del diseño instruccional sobre la satisfacción, se observa que el valor percibido de la tarea es un mediador parcial del efecto del nivel de diseño instruccional percibido sobre el grado de satisfacción del estudiante con el curso.
Discusión
El propósito de esta investigación fue analizar las relaciones estructurales entre el nivel de autoeficacia para el aprendizaje y el desempeño, el valor percibido de la tarea, el grado de usabilidad percibida del LMS, el nivel de diseño instruccional percibido, el nivel de experiencia de flow del estudiante y el grado de satisfacción del estudiante, en cursos adaptados a la modalidad de ERE, en una institución privada de educación superior en el estado de Nuevo León, México. Para ello, se propuso un modelo estructural del cual se derivó un modelo modificado, mismo que fue utilizado para explicar las relaciones entre variables.
Los resultados de este estudio revelaron que: (a) el nivel de autoeficacia para el aprendizaje y el desempeño tiene un efecto directo positivo sobre el nivel de experiencia de flow del estudiante y el valor percibido de la tarea, (b) el grado de usabilidad percibida del LMS tiene un efecto directo positivo sobre el nivel de experiencia de flow del estudiante, (c) el nivel de diseño instruccional percibido tiene un efecto directo positivo sobre el valor percibido de la tarea y el grado de satisfacción del estudiante con el curso y (d) el valor percibido de la tarea tiene un efecto directo positivo sobre el grado de satisfacción del estudiante con el curso. No se encontró evidencia de efecto significativo del grado de usabilidad percibida del LMS sobre el grado de satisfacción del estudiante con el curso, así como tampoco del valor percibido de la tarea sobre el nivel de experiencia de flow del estudiante, ni del nivel de experiencia de flow sobre el grado de satisfacción del estudiante con el curso.
Con base en los hallazgos derivados del modelo estructural modificado se observó, de manera similar a lo reportado por Joo et al. (2015) en el contexto de cursos en línea, que el principal predictor del nivel de experiencia de flow del estudiante en la modalidad de ERE es su nivel de autoeficacia. Así también, se observó que el principal predictor del grado de satisfacción del estudiante con el curso es el nivel de diseño instruccional percibido; en tanto que el principal predictor del valor percibido de la tarea es el nivel de autoeficacia.
Adicionalmente, se encontró evidencia de que el grado de percepción de la usabilidad del LMS afecta de forma positiva al nivel de experiencia de flow del estudiante. Este resultado puede tener implicaciones importantes en la forma en que se desarrollan los cursos académicos que utilizan un LMS. En un escenario posterior al confinamiento social derivado de la pandemia de COVID-19, donde una buena parte de los cursos presenciales serán adaptados para ser completamente virtuales o híbridos (Benito et al., 2021), resulta fundamental alinear las actividades de aprendizaje y herramientas tecnológicas para propiciar la experiencia de flow en los estudiantes, ya que este último se relaciona positivamente con el desempeño académico y emociones positivas de los estudiantes (Rijavec et al., 2017; Rodríguez-Ardura y Meseguer-Artola, 2017). A este respecto, una alternativa interesante es la personalización basada en la motivación del estudiante de los elementos de gamificación que se incorporen en el LMS utilizado en el curso, tales como storytelling, actividades interactivas, desafíos y recompensas, entre otros (Roosta et al., 2016).
Por otra parte, el hecho de que el valor percibido de la tarea no haya emergido como un predictor de la experiencia de flow, pero si de la satisfacción del estudiante, puede ser resultado de que las actividades y experiencias de aprendizaje provistas por los docentes, aunque hayan cumplido con las expectativas de aprendizaje de los estudiantes, no fueron planeadas con base en actividades de aprendizaje desafiantes y la vez altamente atractivas, con metas y reglas claramente definidas que motiven al estudiante a aplicar sus habilidades a fondo, que son condiciones fundamentales para que la experiencia de flow emerja.
Lo anterior no quiere decir que los docentes sean pedagógicamente incapaces, sino más bien, tal como lo advierte Csikszentmihalyi (2014), las escuelas no están estructuradas para que el flow suceda. No obstante esta realidad, se puede lograr que el estudiante experimente el flow, si se sabe cómo desarrollar actividades de aprendizaje que mantengan un equilibrio entre las demandas del desafío y las habilidades del individuo. De otro modo, cuando el nivel de habilidad es superior al del desafío se experimenta aburrimiento, en tanto que si el nivel de habilidad es inferior al del desafío se experimenta ansiedad.
Otro hallazgo relevante se relaciona con la influencia del nivel de autoeficacia sobre el grado de satisfacción del estudiante. A diferencia de lo sugerido por Prifti (2020), quien encontró evidencia de un efecto directo, en este estudio se encontró que el nivel de autoeficacia afecta de manera indirecta al grado de satisfacción del estudiante con el curso, mediado por el valor percibido de la tarea. Esta relación, similar a la observada por Doménech-Betoret et al. (2017) en estudiantes españoles de nivel secundario, sugiere que la percepción del estudiante acerca de la utilidad y valor de las actividades de aprendizaje depende en buena medida de su nivel de confianza en lograr un buen desempeño en la clase, y a su vez afecta el grado de satisfacción que se experimente en el curso.
En suma, ya que la autoeficacia es un componente fundamental para el aprendizaje y la satisfacción del estudiante (Alqurashi, 2019), es recomendable que los docentes e instituciones de enseñanza superior desarrollen estrategias y programas educativos orientados al fortalecimiento de la autoeficacia para el aprendizaje y el desempeño, contrarrestando los efectos negativos de los bajos niveles de autorregulación del estudiante (Pool-Cibrián y Martínez-Guerrero, 2013). En este sentido, acciones tales como facilitar que el estudiante desarrolle su capacidad de elección en cuanto a métodos y resultados aplicables a las actividades de aprendizaje, adaptar los ambientes de aprendizajes para permitir la autorregulación y proporcionar retroalimentación atributiva, entre otras, fomentarán el desarrollo de la autoeficacia para el aprendizaje de los estudiantes (Schunk, 2012).
Conclusiones
En esta investigación se propuso un modelo de ecuaciones estructurales para analizar las relaciones entre factores asociados con la motivación del estudiante, el diseño y administración del curso, la experiencia de flow y la satisfacción del estudiante, en cursos del nivel de pregrado en el contexto de la modalidad de ERE, durante el semestre de otoño de 2020, en una institución privada de educación superior en México.
Los resultados de este estudio sugieren que: (a) un incremento en el nivel de autoeficacia del estudiante redundará en un incremento en el nivel de flow así como del nivel percibido de las actividades de aprendizaje, (b) una mejorara en la experiencia de usabilidad del LMS utilizado en el curso afectará de forma positiva al nivel de experiencia de flow del estudiante y (c) un incremento en el nivel de diseño instruccional percibido por el estudiante se traducirá en un incremento en el valor percibido de las actividades de aprendizaje así como en el nivel de satisfacción del estudiante con el curso.
Estos hallazgos permiten proponer que para mejorar la experiencia de flow y el nivel de satisfacción del estudiante con el curso, se requiere definir claramente los objetivos de aprendizaje e implementar actividades de aprendizaje alineadas con esos objetivos, crear condiciones de aprendizaje que fomenten la interacción, accesibilidad, pensamiento crítico y resolución de problemas, de forma tal que se estimule de forma positiva la percepción de autoeficacia del estudiante, a la vez que se mejora continuamente la usabilidad del LMS utilizado en la gestión de los cursos.
Cabe mencionar que los hallazgos derivados de esta investigación, aunque aplicables específicamente para la institución estudiada, pueden ser útiles para otras instituciones educativas que buscan enfrentar los grandes desafíos de la educación post COVID-19. Estos desafíos, de acuerdo con Zhao y Watterston (2021), implican el desarrollo de un currículo personalizado y capaz de evolucionar; de una pedagogía auténtica, propositiva, centrada en el estudiante y basada en el descubrimiento; así como medios de enseñanza que aprovechen las ventajas del aprendizaje sincrónico y asincrónico.
















