Services on Demand
Journal
Article
Indicators
-
Cited by SciELO -
Access statistics
Related links
-
Cited by Google -
Similars in
SciELO -
Similars in Google
Share
Ingeniería y Ciencia
Print version ISSN 1794-9165
ing.cienc. vol.6 no.11 Medellín Jan./June 2010
Revisión del estado del arte de IR-Ultra-Wideband y simulación de la respuesta impulsiva del canal IEEE 802.15.4a
Revizão do estado da arte da IR-Ultra-Wideband e simulazão da resposta impulsiva do canal IEEE 802.15.4a
Review of the state of art of IR-Ultra-Wideband and simulation of Impulse Responce of the IEEE 802.15.4a channel
Julio SuárezPáez1 y Gonzalo LlanoRamírez2
1 Magíster en Ingeniería, julio.suarez@ustamed.edu.co, investigador, Universidad Santo Tomás, Medellín–Colombia.
2 Doctor Ingeniero en telecomunicación, gonllara@doctor.upv.es, Universidad Politécnica de Valencia, Valencia–España.
(Recepción: 22-oct-2009. Modificación: 01-abr-2010. Aceptación: 10-abr-2010)
Resumen
Este artículo realiza una revisión del estado del arte de la tecnología basada en canales de Banda Ultra Ancha (UWB, UltraWideband) enfocándose en su regulación, estandarización, aplicaciones básicas, modelo de canal IEEE 802.15.4a y simulación de la respuesta impulsiva de este tipo de canal. También se pretende introducir al lector en las tecnologías basadas en canales IRUWB y en los parámetros para el modelamiento y simulación del canal UWB IEEE 802.15.4a.
Palabras claves: banda ultra ancha (Ultra-wideband), impulse radio, power delay profile, modelo SalehValenzuela, desvanecimiento Nakagamim, modelado estadístico de canales IRUWB.
Resumo
Neste artigo é feitas uma revisão do estado da arte da tecnologia baseada em canais de Banda Ultra Larga (UWB) fazendo énfase em sua regulção, estndarização, aplicações básicas, modelo de canal IEEE 802.15.4a e simulação de resposta impulsiva destes canais. Tambéns se introduz ao leitor nas tecnologias baseadas em canais IRUWB e nos parámetros para a modelagem e a simulação do canal UWB IEEE 802.15.4a
Palavras chaves: banda ultra larga, implse radio, power delay profile, modelo SalehValenzuela, Desvanecimento Nakagamim, modelagem esatistica de canais IRUWB.
Abstract
This paper reviews the state of the art of the technology based in channels of Ultra Wide band (UWB UltraWideband) focusing on its regulation, standardization, basic applications, IEEE 802.15.4a channel model and simulation of the impulsive response of this type of channel. Also, it aims to introduce the reader to the technologies based on IRUWB channels and the parameters for modeling and simulation of IEEE 802.15.4a UWB channel.
Key words: UltraWideband (UWB), Impulse Radio Power, Dalay Profile, SalehVenezuela Model, Nakagamim Fading, Statistical modeling of IR UWB channels.
1 Introducción
Impulse Radio UltraWideband (IRUWB) es una tecnología basada en la transmisión de impulsos ultracortos en el dominio del tiempo con un gran ancho de banda [1, 2]. Gracias a su forma de funcionamiento, IRUWB tiene características interesantes como una resolución de multipath extremadamente pequeña y el uso de modulaciones impulsivas sencillas como la Modulación por amplitud de pulsos (PAM), que le dan la posibilidad de tener una electrónica sencilla de bajo costo y con muy bajos consumos de potencia, por esto IR UWB es muy útil para aplicaciones como redes de sensores con muy alta durabilidad de baterías, radares de alta precisión, sistemas de generación de imágenes, comunicaciones de baja probabilidad de detección e intercepción, entre otras [3]. El objetivo de este artículo es realizar una revisión del estado del arte de la tecnología inalámbrica impulsiva que usa canales de banda ultra ancha (UWB, UltraWideband), haciendo énfasis en sus antecedentes, regulación, estandarización, características, descripción de señales IRUWB, estándar IEEE 802.15.4a en donde se realiza la caracterización estadística del canal UWB focalizado hacia aplicaciones militares y comerciales de baja velocidad, por último se revisan las aplicaciones más relevantes de IRUWB.
2 Antecedentes de la tecnología
El concepto UltraWideband fue desarrollado en la primera mitad de la década de los sesenta, cuando se investigaba el comportamiento transitorio de una cierta clase de redes de microondas [4]. Como resultado de estas investigaciones se desarrollaron sistemas de comunicaciones y radar basados en impulsos cortos. Posteriormente, en 1973, se patentó un receptor para este tipo de impulsos que sería el primer sistema de comunicaciones basado en el concepto de UWB [5, 6]. Más adelante, en la década de los ochenta, a UWB se le dieron varios nombres como Baseband (Banda base), Carrier-free (Sin portadora). El término UWB fue adoptado en 1989 por el departamento de defensa de los Estados Unidos que investigaba sus aplicaciones en diferentes campos como radar, comunicaciones, sensores y sistemas de posicionamiento entre otros [6].
En el año 2002, la Comisión Federal de Comunicaciones de Estados Unidos (FCC) estipuló la primera reglamentación para sistemas inalámbricos basados en canales UWB. Esta regulación definió las señales UWB especificando parámetros importantes como su máxima densidad espectral de potencia, su ancho de banda y el espectro disponible para este tipo de tecnología [7, 8, 9]. La idea principal de la norma realizada por la FCC es definir qué tecnologías basadas en canales UWB usan una gran porción espectral y baja potencia de transmisión. Esto se puede observar en la figura 1 donde se realiza un comparativo del espectro de UWB con el de otras tecnologías de transmisión inalámbrica.
En el 2005, WiMedia Alliance [10] y la organización europea para la definición de estándares en sistemas de información y comunicaciones ECMA Internacional realizan una primera propuesta para la estandarización del nivel físico y del control de acceso al medio para redes de alta velocidad basadas en UWB, después de dos años de trabajo, en el 2007 presentan una propuesta final de estandarización al comité de estándares de la
Organización Internacional para la Estandarización/Comisión Electrotécnica Internacional (ISO/IEC). Más adelante, en ese mismo año, la ISO/IEC aceptó la propuesta de WiMedia y ECMA con el estándar ISO/IEC 26907, que define el nivel físico y el control de acceso al medio para redes de área personal inalámbricas de alta velocidad con canales de banda ultra ancha, y está definido como High Rate UltraWideband PHY and MAC Standard [11]. Con respecto a IRUWB, en el 2003 el grupo de trabajo del IEEE IEEE 802.15 WPAN Low Rate Alternative PHY Task Group 4a (TG4a) [12] desarrolló el estándar IEEE 802.15.4-2003, luego realizó una mejora de éste en el 2006 llamada IEEE 802.15.4a-2006, y finalmente, en el 2007, el grupo TG4a realizó una enmienda del estándar realizado en el 2006 llamado IEEE 802.15.4a-2007. Estos estándares definen el nivel físico y el control de acceso al medio para redes de área personal de baja velocidad [13].
Hoy en día WiMedia Alliance sigue trabajando en el desarrollo de tecnologías basadas en canales UWB [10].
3 Regulación en UWB
UWB es definido por la FCC [7] como un canal de comunicaciones inalámbricas que usa un gran ancho de banda y una baja densidad espectral de potencia con diversos tipos de aplicaciones.
Definición de Señal UltraWideband según la FCC. La regulación realizada por la FCC en 2002 define la densidad espectral de potencia que debe tener una señal UWB, la cual debe ser menor a −41,3 dBm/MHz [7, 8, 9]. La norma también define el ancho de banda que debe tener una señal UWB el cual debe ser mayor a 500 MHz o tener un ancho de banda fraccional mayor al 20.
La FCC define el ancho de banda fraccional de una señal Wf como

en donde fH es la frecuencia más alta y fL es la frecuencia más baja. Teniendo en cuenta (1), las señales UWB son aquellas cuyo ancho de banda fraccional (medido en puntos de -10 dB) es mayor al 20 o que su ancho de banda instantáneo sea mayor 500 MHz. La norma también asigna una porción de espectro para que operen estas tecnologías, la cual está entre 3,1 GHz hasta 10,6 GHz (con un ancho de banda de 7,5 GHz) pero se hace la claridad de que se debe cumplir la condición de densidad espectral de potencia anteriormente mencionada (−41,3 dBm/MHz) [7, 8, 9], lo que garantiza la coexistencia con otras tecnologías inalámbricas [3].
4 Estandarización de IRUWB IEEE 802.15.4a
El IEEE formó un grupo de trabajo llamado IEEE 802.15 WPAN Low Rate Alternative PHY Task Group 4a (TG4a) [12], que se ocupa en la estandarización del nivel físico y del control de acceso al medio para redes de área personal inalámbricas de baja velocidad y baja potencia basadas en UWB. El grupo TG4a ha desarrollado tres estándares en los años 2003, 2006 y 2007 llamados:
• IEEE 802.15.4-2003 [14]
• IEEE 802.15.4a-2006 Revisión [15]
• IEEE 802.15.4a-2007 Enmienda [13].
Estos estándares definen el nivel físico y el control de acceso al medido de las redes de baja velocidad y baja potencia basadas en UWB y están concebidos para sistemas de baja complejidad, bajo costo y con baterías cuyas duraciones son de meses o años sin recargar.
En el último estándar, realizado en el 2007, se propone usar IRUWB con modulaciones por secuencia directa en frecuencias subgigahertz (> 1 GHz), bandas de 3 GHz, 5 GHz, 6 GHz, 10 GHz y velocidades de transmisión de 110 kbps, 851 kbps, 6,81 Mbps y 27,24 Mbps.
Con respecto al control de acceso al medio para canales IRUWB el estándar del 2007 propone usar el protocolo ALOHA por su sencillez [13]. El estándar también define las estructuras de símbolos, formatos de trama, código de corrección de errores y da pautas de los requerimientos regulatorios para las redes de área personal inalámbricas de baja velocidad y baja potencia [13].
5 Impulse Radio (IRUWB)
El término Impulse Radio o IRUWB se refiere a las aplicaciones de UWB que usan impulsos ultracortos (picosegundos), los cuales se generan mediante modulaciones pulsadas [2, 16, 17] que ocupan anchos de banda UWB. En IRUWB sistemas, la información digital es llevada al medio mediante modulaciones pulsadas como Modulación por posición de pulsos (PPM) o PAM, en las cuales cada pulso modulado representa un bit [18]. Estos sistemas también son llamados carrier free [16], pues las modulaciones pulsadas no necesitan portadoras análogas.
5.1 Características más relevantes de IRUWB
Las tecnologías impulsivas basadas en canales UWB tienen ciertas características que marcan diferencias importantes con las tecnologías inalámbricas basadas en canales de banda angosta (como Bluetooth IEEE 802.15.1) o en canales de banda ancha (como WiFi IEEE 802.11g), entre estas diferencias se puede destacar el gran ancho de banda disponible [7, 8, 9] y las bajas densidades espectrales de potencia con las que se tiene que transmitir [7].
Otra característica importante en los sistemas basados en canales UWB es su tiempo de resolución o la resolución de multipath (Multipath Resolution). Este concepto se refiere al intervalo temporal para diferenciar los distintos rayos o paths que llegan al receptor y es aproximadamente el inverso del ancho de banda (tr ≈ 1/BW) [19, 20]. Como se dijo anteriormente, el ancho de banda total liberado por la FCC en UWB es alrededor de 7,5 GHz [7] por lo que el tiempo de resolución de las señales UWB es extremadamente corto y está alrededor de los 133 picosegundos. Este tiempo ultra corto de resolución permite que las señales UWB sean menos susceptibles a los desvanecimientos de pequeña escala (Low-Scale Fading) que los canales inalámbricos de banda estrecha y banda ancha [21, 22]. El desvanecimiento de pequeña escala es causado por las interferencias constructivas y destructivas producto de la multitrayectoria [19], pero como los canales UWB tienen un tiempo de resolución muy reducido, un sistema basado en un canal UWB sería capaz de distinguir entre rayos que lleguen en intervalos aproximados de 133 ps eliminando posibles interferencias entre ellos, lo que finalmente se va a ver reflejado como una disminución del desvanecimiento en pequeña escala si se usa todo el ancho de banda disponible [22].
5.2 Tipos de pulsos usados en Impulse Radio (IRUWB)
• Pulso gaussiano. Los pulsos gaussianos son usados gracias a su facilidad de generación, pero este tipo de pulsos tiene una gran componente de corriente directa [23], lo que implica mayor potencia de transmisión por lo que no se cumpliría con los requerimientos de densidad espectral de potencia de −41,3 dBm/MHz [7, 23]. Su expresión matemática es similar a la función de Gauss y está dada por (2), en donde: p(t) es el pulso, τ es la duración del pulso y t es la variable temporal. Este tipo de pulso se observa en la figura 2 [25, 26].

• Mono-pulso gaussiano. Este tipo de señal se logra al filtrar la baja frecuencia del pulso gaussiano, y matemáticamente se obtiene de la primera derivada de dicho pulso. También es relativamente fácil de implementar [23], pero no cuenta con nivel de corriente continua por lo
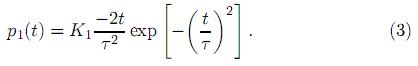
que cumple más fácilmente con los requerimientos de densidad espectral de potencia de la FCC [1, 26]. Si se asume que τ es contrastante en el tiempo de transmisión trama, su expresión matemática está dada por(3) en donde: p(t) es el pulso, τ es la duración del pulso, t es el tiempo y K1 es la constante utilizada para el cálculo de la energía del pulso. Este tipo de pulso se observa en la figura 3.

• Doble pulso gaussiano. Esta señal se obtiene de la segunda derivada del pulso gaussiano y su expresión matemática está dada por (4), en donde: p(t) es el pulso, τ es la duración del pulso, t es el tiempo y K2 es la constante utilizada para el cálculo de la energía del pulso. Este tipo de pulso se observa en la figura 4 [1, 23, 26].

• Triple pulso gaussiano. Esta señal se obtiene de la tercera derivada del pulso gaussiano y su expresión matemática está dada por (5), en donde: p(t) es el pulso, τ es la duración del pulso, t es el tiempo y K3 es la constante utilizada para el cálculo de la energía del pulso. Este tipo de pulso se observa en la figura 5 [1, 23, 26].

5.3 Modulaciones usadas en Impulse Radio (IRUWB)
Una vez definidos los tipos de pulsos más usados en canales de banda ultra ancha es pertinente definir los tipos de modulaciones pulsadas o modulaciones banda base más usados IRUWB.
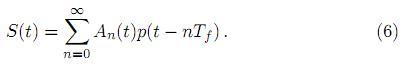
• Modulación por amplitud de pulso (PAM). Esta modulación realiza una variación de amplitud de los pulsos de la portadora en función de la señal mensaje [1, 23, 25, 26]. La modulación PAM se expresa en (6), en donde: S(t) es la señal modulada, An(t) define la amplitud del pulso p(t) y Tf es el intervalo de tiempo entre pulsos consecutivos.

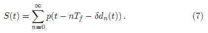
• Modulación por posición de pulso (PPM). En este tipo de modulación se realiza un desplazamiento temporal de los pulsos de la portadora en función de la señal mensaje [1, 23, 26]. Esta modulación se expresa matemáticamente por (7), en donde: S(t) es la señal modulada, Tf es el intervalo de tiempo entre pulsos consecutivos y d es el desplazamiento temporal del pulso p(t).

• Modulación pulsada bifásica (BPM). Esta modulación es un caso especial de la modulación PAM, en este caso varía la polaridad de la portadora en función del mensaje, cuando el mensaje es 1 la portadora es positiva y cuando el mensaje es 0 la portadora es negativa. La expresión matemática está dada por (8), en donde: S(t) es la señal modulada, An(t) define la amplitud del pulso p(t), y Tf es el intervalo de tiempo entre pulsos consecutivos [1, 23, 26].

6 CANAL IRUWB
El canal IRUWB es un canal móvil inalámbrico que sufre todos los fenómenos relacionados con la multitrayectoria, perdidas de propagación y el efecto doppler, como el desvanecimiento o fading, el Maximum Excess Delay Spread, el shadowing, etcétera [23, 27, 28]. Además de los efectos mencionados, el canal UWB sufre un fenómeno llamado clustering que se presenta en los canales de banda angosta y de banda ancha, el cual es producido por los ultra cortos tiempos de resolución [8]. El fenómeno se genera cuando la señal multitrayectoria golpea distintos objetos difusores, esto genera que al receptor lleguen grupos o clústers de rayos por multitrayectoria que pueden ser diferenciados unos de otros en el receptor, este fenómeno se muestra en la figura 6 [8, 24].
Esto hace que los modelos de canal de banda angosta y de banda ancha no sean aplicables a canales IRUWB [8, 27].
6.1 Modelo de canal UWB IEEE 802.15.4a
Como es sabido, los canales inalámbricos sufren diferentes fenómenos. En el caso de IRUWB el grupo de trabajo TG4a del IEEE ha desarrollado un modelo estadístico de canal que hace una muy buena aproximación a los fenómenos de propagación propios de este tipo de señales [27]. El estándar es el IEEE 802.15.4a y está enfocado a aplicaciones de baja velocidad y aplicaciones militares.
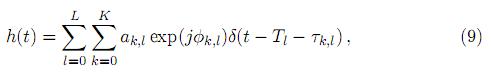
El modelo de canal IEEE 802.15.4a caracteriza la respuesta impulsiva del canal IRUWB con el modelo SalehValenzuela (SV) modificado [27], el cual describe el fenómeno de clustering que se presenta en los canales UWB, teniendo en cuenta el tiempo de llegada entre clústers distintos y el tiempo de llegada entre los diferentes rayos de cada clúster (por esto, en su expresión matemática se observa una doble sumatoria). El modelo SV modificado está dado en su forma general según (9).

donde ak,l es el peso de la componente késima del clúster lésimo, Tl es el retardo del lésimo clúster y τk,l es el retardo del késimo componente del clúster, y φk,l es la fase de cada componente la cual está distribuida uniformemente para un sistema pasabanda y toma valores entre 0 y 2π. En la figura 7 se puede ver la respuesta teórica al impulso de un canal de Banda Ultra Ancha y en la figura 8 se puede ver la respuesta al impulso, obtenida al simular en Matlab® el modelo propuesto en el IEEE 802.15.4a usando el simulador desarrollado por el grupo de trabajo TG4a del IEEE con un solo impulso de entrada en ambientes interiores sin línea de vista [29]. En las gráficas 7 y 8 se puede apreciar como el modelo SV describe el fenómeno de clustering, también se observa la aleatoriedad de los tiempos de llegada de clústers y los rayos de cada clúster, este fenómeno se evidencia tanto en la gráfica teórica [8] como en la obtenida por simulación 8 [29].
El modelo propuesto en el estándar IEEE 802.15.4a describe el canal teniendo en cuenta varios parámetros importantes, como la llegada de los rayos y de los clústers, y asume que su llegada está distribuida según la función de densidad de probabilidad de Poisson [27, 8]. Según esto, el número medio de clústers recibidos está dado por (10) [12], donde Lc es el número de medio de clústers.

Con respecto al tiempo de llegada de clústers y el tiempo de retardo entre rayos de cada clúster, el estándar IEEE 802.15.4a asume que estos dos parámetros tienen una llegada tipo Poisson y son definidos en (11) [27].

donde β es la probabilidad mixta entre λ1 y λ2 que son las tasas de llegada de los rayos al receptor y l hace referencia al l-ésimo clúster.
El estándar define el Power Delay Profile (PDP), para canales IRUWB. El PDP es el parámetro que caracteriza el canal IRUWB ya que muestra la potencia media de varios rayos que llegan al receptor. Este PDP está distribuido exponencialmente para cada clúster, por lo tanto, la potencia de cada clúster está dada por (12) [27]. En la figura 9 se observa el PDP obtenido con simulación en Matlab® usando un simulador desarrollado por el grupo de trabajo TG4a del IEEE [29] que sigue el modelo de canal IEEE 802.15.4a con una serie de 100 impulsos consecutivos en el mismo canal, para esta simulación el retardo RMS (τ rms) fue de 79 ns. También se puede observar que el PDP tiene un comportamiento exponencial negativo, tal como se observa en

en donde Ωl es la energía integrada del l-ésimo clúster, γl es la constante de atenuación temporal intraclúster, β es la probabilidad mixta entre λ1 y λ2 que son las tasas de llegada de los rayos al receptor y τk,l es el retardo del k-ésimo componente del clúster. Los desvanecimientos de pequeña escala se modelan con estadística Nakagamim la cual permite describir el desvanecimiento total teniendo en cuenta que cada una de las contribuciones del canal multicamino tiene diferente potencia. Este tipo de desvanecimientos (low-scale fading) están modelados por (13) [12, 27, 20].

donde m es el factor ”m” de la distribución Nakagami y representa el parámetro de desvanecimiento de la k-ésima trayectoria, Γ(m) es la función matemática gamma y Ωk,l] es la contribución de potencia dada por la k-ésima trayectoria en en el l-ésimo clúster dado por valor medio de desvanecimiento de la késima trayectoria.
7 Aplicaciones de IRUWB
IRUWB tiene varias aplicaciones comerciales y militares, algunas de ellas son descritas y clasificadas por la FCC de la siguiente forma [7]:
1. Imaging Systems (sistemas de obtención de imágenes). Son dispositivos IRUWB diseñados para la obtención de imágenes a través de muros, de objetos enterrados a baja profundidad e imágenes médicas de diagnóstico, entre otras. La FCC definió cinco tipos de sistemas de obtención de imágenes [7, 30].
• Ground Penetrating Radar Systems GPR (sistema de radar de penetración de tierra). Esta aplicación se refiere a radares que obtienen imágenes de objetos enterrados a baja profundidad [7, 31, 32].
• Wall Imaging System (sistemas de obtención de imágenes dentro de estructuras). Como su nombre lo indica, esta aplicación está enfocada a obtener imágenes de objetos dentro de estructuras sólidas como habitaciones o edificios [7, 33, 34].
• Through-Wall Imaging Systems (sistemas de obtención de imágenes a través de estructuras). Usada para obtener imágenes de personas u objetos estáticos o en movimiento a través de paredes, esta aplicación puede ser muy útil en operaciones de rescate, de policía u operaciones militares [7, 35].
• Surveillance Systems (sistemas de vigilancia). Los sistemas de vigilancia o supervisión funcionan estableciendo zonas para la detección de intrusos por medio de IRUWB. Pueden ser utilizados sólo por las fuerzas militares, de rescate, y bomberos, entre otros [7, 36].
• Medical Systems (sistemas de obtención de imágenes médicas). Su función es obtener imágenes del interior del cuerpo de los seres vivos sin necesidad de realizar procedimientos invasivos [7, 37, 38].
2. Vehicular Radar Systems (sistemas de radar vehicular). Son radares vehiculares que permiten a los automóviles identificar y ubicar objetos inmóviles o en movimiento. Con esta información pueden evitar colisiones, mejorar los sistemas de seguridad del vehículo e implementar nuevos sistemas de navegación [7, 39, 40, 41].
3. Communications and Measurement Systems (sistemas de comunicación y medición). Estas aplicaciones se enfocan en redes de datos y de sensores de baja velocidad, baja potencia y alta durabilidad de baterías [7]. Estas redes pueden tener arquitecturas ADHOC [42] y también pueden ser compatibles con tecnologías MIMO [43, 44].
Por otro lado, no se debe olvidar que UWB originalmente fue desarrollado por la industria militar [6], y que en este campo tiene otras aplicaciones como radar de alta precisión [45], sistemas de radio localización [46], dispositivos con baja posibilidad de detección e intercepción para equipos de combate, radares anticolisión para munición inteligente entre otros [47, 48, 49]. También pueden existir otros tipos de aplicaciones como redes de área corporal [50] y a su vez combinaciones entre las distintas aplicaciones, por ejemplo red de área personal de sensores aplicada a Telemedicina [51]. Como se acaba de mostrar IRUWB tiene grandes potencialidades de desarrollo en las aplicaciones mencionadas.
8 Conclusiones
Como se mostró en el desarrollo del texto, las tecnologías que usan canales UWB no sólo pueden ser útiles para redes de área personal (PAN) de alta velocidad sino que también ofrecen grandes ventajas en aplicaciones comerciales de baja velocidad, como radar de alta resolución, radar de penetración en tierra, sistemas para obtención de imágenes y sistemas médicos, entre otras. Estas aplicaciones explotan ciertas características de canales UWB inexistentes en sistemas de banda angosta y banda ancha como el ultracorto tiempo de resolución de UWB.
Según lo revisado en el modelo de canal de IRUWB, propuesto en el estándar IEEE 802.15.4a, los canales de banda ultra ancha sufren efectos que no se presentan en canales de banda angosta ni de banda ancha, como el clustering y el ultracorto tiempo de resolución, por estas características únicas UWB ofrece ventajas para las aplicaciones mostradas anteriormente.
Tecnologías que usen canales IRUWB pueden ofrecer grandes ventajas como bajo consumo de energía dada su baja densidad espectral de potencia y electrónica sencilla utilizando modulaciones pulsadas como PAM lo que implicaría transmisores de bajo costo con larga durabilidad en baterías por su bajo consumo de potencia.
Referencias
1. Mohammad Ghavami, Lachlan Michael, Ryuji Kohno. Ultrawideband signal and systems in communications engineering, 2nd edition, ISBN 9780470 027639. Wiley, 2007. Referenciado en 106, 112, 114, 115 [ Links ]
2. Moe Z. Win, Robert A. Scholtz. Impulse radio: how it works.IEEE Communications Letters, ISSN 10897798, 2(2), 3638 (1998). Referenciado en 106, 110 [ Links ]
3. Marco Chiani, Andrea Giorgetti. Coexistence Between UWB and Narrow Band Wireless Communication Systems. Proceedings of the IEEE, ISSN 0018 9219, 97(2), 231254 (2009). Referenciado en 106, 109 [ Links ]
4. GF. Ross. The transient analysis of multiple beam feed networks for array systems. PhD dissertation, Polytechnic Institute of Brooklyn, 1963. Referenciado en 107 [ Links ]
5. Gerald F. Ross. Transmission and reception system for generating and receiving baseband duration pulse signals for short baseband pulse communication system. United States patent, 3,728,632, 1973. Referenciado en 107 [ Links ]
6. Terence W. Barrett. History of UltraWideband (UWB) radar & communications: pioneers and innovators. National Telecommunications and Information Administration, 129 (2000). Referenciado en 107, 121 [ Links ]
7. Federal Communications Commission. Revision of Part 15 of the commission's rules regarding ultrawideband transmission systems. First report and order, 1 118 (2002). Referenciado en 107, 108, 109, 110, 111, 119, 120, 121 [ Links ]
8. W. Pam Siriwongpairat, KJ. Ray Liu. UltraWideband Communications Systems: Multiband OFDM Approach, ISBN 9780470074695. Wiley, 2007. Referenciado en 107, 109, 110, 115, 117 [ Links ]
9. Ghobad Heidari. WiMedia UWB: Technology Of Choice For Wireless Usb and Bluetooth, ISBN 9780470518342. Wiley, 2008. Referenciado en 107, 109, 110 [ Links ]
10. WiMedia Alliance. The Worldwide UWB Platform for Wireless Multimedia, 1 19 (2007). Referenciado en 107, 108 [ Links ]
11. ISO. ISO/IEC 26907:2007, Information technology Telecommunications and information exchange between systems High Rate Ultra Wideband PHY and MAC Standard, 2007. Referenciado en 108 [ Links ]
12. IEEE. 802.15 WPAN Low Rate Alternative PHY Task Group 4a (TG4a). IEEE TG4a, 2003. Referenciado en 108, 109, 117, 119 [ Links ]
13. IEEE. 802.15.4a2007, Part 15.4: Wireless Medium Access Control (MAC) and Physical Layer (PHY). Specifications for LowRate Wireless Personal Area Networks (LRWPANs), ISBN 9780738155845, 1203 (2007). Referenciado en 108, 109, 110 [ Links ]
14. IEEE. 802.15.4a2003, Part 15.4: Wireless Medium Access Control (MAC) and Physical Layer (PHY). Specifications for LowRate Wireless Personal Area Networks (LRWPANs), ISBN 0738136775, 1679 (2003). Referenciado en 109 [ Links ]
15. IEEE. 802.15.4a-2006, Part 15.4: Wireless Medium Access Control (MAC) and Physical Layer (PHY) Specifications for Low-Rate Wireless Personal Area Networks (LR-WPANs), ISBN 0738149977, 1305 (2006). Referenciado en 109 [ Links ]
16. RA. Scholtz. Multiple access with timehopping impulse modulation. Military Communications Conference, 1993. MILCOM'93. Conference record. 'Communications on the Move', ISBN 0780309537, 263267 (1993). Referenciado en 110 [ Links ]
17. ML. Welborn. System considerations for ultrawideband wireless networks. Radio and Wireless Conference, 2001. RAWCON 2001, ISBN 0780371895, 58 (2001). Referenciado en 110 [ Links ]
18. I. Oppermann, L. Stoica, A. Rabbachin, Z. Shelby, J. Haapola. UWB wireless sensor networks: UWEN a practical example. IEEE Communications Magazin, ISSN 01636804, 42(12), S27S32 (2004). Referenciado en 110 [ Links ]
19. JD. Parsons. The Mobile Radio Propagation Channel, 2dn edition , ISBN 978 0471988571. Wiley. Referenciado en 111 [ Links ]
20. Gonzalo Llano, Juan Reig, Lorenzo Rubio, Alexis García. Ultrawideband Frequency Analysis: Stateoftheart, Measurements and Modeling. Waves, ISSN 18898297, 147154 (2009). Referenciado en 111, 119 [ Links ]
21. Theodore Rappaport. Wireless Communications: Principles and Practice, 2nd Edition, ISBN 0130422320. Pearson Education, Inc., 2001. Referenciado en 111 [ Links ]
22. Dajana Cassioli, Moe Z. Win, Andreas F. Molisch,. The ultra-wide bandwidth indoor channel: from statistical model to simulations. IEEE Journal on Selected Areas in Communications, ISSN 07338716, 20(6), 1247-1257 (2002).Referenciado en 111 [ Links ]
23. Hämäläinen Oppermann Ian, Linatti Jari. Ultrawideband Theory and Applications, ISBN 9780471715214, Wiley, 2006. Referenciado en 111, 112, 114, 115 [ Links ]
24. Gonzalo Llano, Juan Reig, Lorenzo Rubio. Modeling and Analysis in Frequency of the UWB Channel with Lognormal Statistics for MBOFDM. IEEE Latin America Transactions, ISSN 15480992, 7(1), 3341 (2009). Referenciado en 115 [ Links ]
25. Sanit Teawchim, Sathapom Promwong. Comparison of UWB receiver performance with template waveform broadband wireless system. International Conference on Electrical Engineering/Electronics, Computer, Telecommunications and Information Technology. ECTI-CON 2009. 6th I, ISBN 9781424433872, 2, 936939 (2009). Referenciado en 111, 114 [ Links ]
26. Xuemin Shen, Mohsen Guizani, Robert Caiming Qiu, Tho Le-Ngoc. UltraWideband Wireless Communications and Networks, ISBN 9780470011447. Wiley, 2006, Referenciado en 111, 112, 114, 115 [ Links ]
27. Andreas F. Molisch, Kannan Balakrishnan, Dajana Cassioli, ChiaChin Chong, Shahriar Emami, Andrew Fort,Johan Karedal, Juergen Kunisch, Hans Schantz, Ulrich Schuster, Kai Siwiak. IEEE 802.15.4a channel modelfinal report. IEEE TG4a, 140 (2003). Referenciado en 115, 116, 117, 118, 119 [ Links ]
28. Harry R. Anderson. Fixed Broadband Wireless System Design, ISBN 9780 470844380, Wiley, 2003. Referenciado en 115 [ Links ]
29. Sun Xu, Kim Chee Wee, B. Kannan, Francois Chin. Modified SV channel model evaluation. IEEE TG4a, 2005. Referenciado en 117, 118, 120 [ Links ]
30. A. Banerjee, P. Burlina, F. Alajaji. Image Segmentation and Labeling Using the Polya Urn Model. IEEE Transactions on Image Processing, ISSN 10577149, 8(9), 12431253 (1999). Referenciado en 119 [ Links ]
31. Massimiliano Pieraccini, Filippo Parrini. The Orfeus Project (Optimised Radar for Finding Every Utility in the Street). IEEE International Geoscience and Remote Sensing Symposium, ISBN 9781424428076, 2008. Referenciado en 119 [ Links ]
32. Lee Kwan-Ho, Chen Chi-Chih, L. Teixeira, Lee Robert. Modeling and Investigation of a Geometrically Complex UWB GPR Antenna Using FDTD. IEEE Transactions on Antennas and Propagation, ISSN 0018-926X, 52(8), 19831991 (2004). Referenciado en 119 [ Links ]
33. V. Kovalenko, A. Yarovoy, LP. Ligthart. Object detection in 3D UWB subsurface images. First European Radar Conference, 2004. EURAD, ISBN 1 580539939, 237240 (2004). Referenciado en 120 [ Links ]
34. M. Bury, Y. Yashchyshyn, J. Modelski. Frequency domain measurements for an UWB imaging system. International Conference on Microwaves Radar and Wireless Communications, 2008. MIKON 2008, ISBN 9788390666280, 14 (2008). Referenciado en 120 [ Links ]
35. BJ. Harker, AD. Chadwick, GL. Harris. U ltrawideband 3Dimensional imaging (UWB 3D imaging), Roke Manor Research Limited, 18 (2008). Referenciado en 120 [ Links ]
36. V. Vebkatasubramanian, H. Peiguo Liu Leung. Chaos based UWB imagingradar for homeland security. IEEE Conference on Cybernetics and IntelligentSystems, ISBN 0780386434, 1, 351355 (2004). Referenciado en 120 [ Links ]
37. G. Varotto, EM. Staderini. Optimization criteria in the design of medical UWB radars in compliance with the regulatory masks. IEEE Biomedical Circuits and Systems Conference, 2007. BIOCAS 2007, ISBN 9781424415243, 5358 (2007). Referenciado en 120 [ Links ]
38. G. Varotto, EM. Staderini. A 2D simple attenuation model for EM waves in human tissues: Comparison with a FDTD 3D simulator for UWB medical radar. IEEE International Conference on UltraWideband, 2008. ICUWB 2008, ISBN 9781424422166, 3, 14 (2008). Referenciado en 120 [ Links ]
39. Bin Xia, Nan Xie. Pulse Design Methods for UWB Vehicular Radar. 4th International Conference on Wireless Communications, Networking and Mobile Computing, 2008. WiCOM '08, ISBN 9781424421077, 13 (2008). Referenciado en 121 [ Links ]
40. Xi Li, Zhiguo Wang, Yuanchun Fei, Dechun Guo. The Interval Modulation System For The UltraWideband Vehicular Radar. 6th International Conference on ITS Telecommunications Proceedings, 2006, ISBN 0780395875, 282285 (2006). Referenciado en 121 [ Links ]
41. W. Aldeeb, Xiang Weidong, P. Richardson. A Study on the channel and BERSNR performance of ultra wide band systems applied in commercial vehicles. IEEE Sarnoff Symposium, 2007, ISBN 9781424424832, 15 (2007). Referenciado en 121 [ Links ]
42. Hanbing Shen, Weihua Zhang, Xizhi An, Seok ho Kim, Wei Liu, Kyung sup Kwak. A new multiple access protocol for timehopping UWB adhoc wireless networks. IEEE International Symposium on Communications and InformationTechnology, 2005. ISCIT 2005, ISBN 0780395387, 2, 842845 (2005). Referenciado en 121 [ Links ]
43. Enzo Baccarelli, Mauro Biagi, Cristian Pelizzoni, Nicola Cordeschi. Optimal MIMO UWBIR Transceiver for Nakagamifading and PoissonArrivals . Journal of Communications, ISSN 17962021, 3(1), 2740 (2008). Referenciado en 121 [ Links ]
44. Junsheng Liu Ghavami, M. Xiaoli Chu Allen, WB. Malik. Diversity Analysis of Multiantenna UWB Impulse Radio Systems with Correlated Propagation Channels. IEEE Conference Wireless Communications and Networking 2007. WCNC 2007, ISBN 1424406587, 15931598 (2007). Referenciado en 121 [ Links ]
45. Rui Xu, Y. Jin, C. Nguyen. PowerEfficient SwitchingBased CMOS UWB Transmitters for UWB Communications and Radar Systems. IEEE Transactions on Microwave Theory and Techniques, ISSN 00189480, 54(8), 32713277 (2006). Referenciado en 121 [ Links ]
46. C. Senger, T. Kaiser. BeamLocan approach for NLoS localization in UWB indoor environments. The Institution of Engineering and Technology Seminar on Ultra Wideband Systems, Technologies and Applications, ISBN 086341625X, 176180 (2006). Referenciado en 121 [ Links ]
47. Narongsak Manositthichai, Sathaporn Promwong. A statistical UWB transmission networks in an indoor environment for PAN systems. 6th International Conference on Electrical Engineering/Electronics, Computer, Telecommunications and Information Technology, 2009. ECTICON 2009, ISBN 9781424433872, 2, 918921 (2009). Referenciado en 121 [ Links ]
48. Manuel Flury, Ruben Merz, JeanYves Le Boudec, Julien Zory. Performance Evaluation of an IEEE 802.15.4a Physical Layer with Energy Detection and MultiUser Interference. IEEE International Conference on UltraWideband, 2007. ICUWB 2007, ISBN 9781424405213, 663668 (2007). Referenciado en 121 [ Links ]
49. L. Happ, KA. Kappra, MA. Ressler, JP. Sichina, K. Sturgess, F. Le. Lowfrequency ultra-wideband synthetic aperture radar 1995 BoomSAR tests. Proceedings of the 1996 IEEE National Radar Conference, ISBN 0780331451, 5459 (1996). Referenciado en 121 [ Links ]
50. K. Watanabe, S. Hari, K. Ohno, T. Ikegami. Experiments on Shadow Effects of Body and Effective Paths for UWB Transmission in BAN. International Symposium on Communications and Information Technologies, 2008. ISCIT 2008, ISBN 9781-424423354, 232237 (2008). Referenciado en 121 [ Links ]
51. P. Gandolfo, D. Radovic, M. Savic, D. Simic. IEEE 802.15.4a UWB-IR radio system for telemedicine. IEEE International Conference on UltraWideband, 2008. ICUWB 2008, ISBN 9781424422166, 1114 (2008). Referenciado en 121 [ Links ]






















