Services on Demand
Journal
Article
Indicators
-
Cited by SciELO -
Access statistics
Related links
-
Cited by Google -
Similars in
SciELO -
Similars in Google
Share
Ingeniería y Ciencia
Print version ISSN 1794-9165
ing.cienc. vol.6 no.11 Medellín Jan./June 2010
Sobre el parámetro de no extensividad para algunos sistemas super-aditivos
Soube o parâmetro de não extensividade para alguns superaditivos
Over the non-extensivity parameter for some superadditives systems
R. BorjaTamayo1, C. CartagenaMarín2, G. LoaizaOssa3, G. MolinaVélez4 y M. PuertaYepes5
1 Magíster en Matemáticas aplicadas, rborjata@eafit.edu.co, profesor, Universidad EAFIT, Medellín–Colombia.
2 Físico, ccartage@eafit.edu.co, profesor, Universidad EAFIT, Medellín–Colombia.
3 Doctor en Matemáticas, gloaiza@eafit.edu.co, profesor, Universidad EAFIT, Medellín– Colombia.
4 Magíster en Matemáticas aplicadas, jmolinav@eafit.edu.co, profesor, Universidad EAFIT, Medellín–Colombia.
5 Doctora en Matemáticas, mpuerta@eafit.edu.co, profesora, Universidad EAFIT, Medellín–Colombia.
(Recepción: 08-jun-2009. Modificación: 15-dic-2009. Aceptación: 27-ene-2010)
Resumen
Este artículo propone una relación biunívoca entre el parámetro de no extensividad q y la función de densidad de probabilidad estacionaria f correspondientes a un observable u para algunos sistemas superaditivos en los que la Entropía de Tsallis sea aplicable. Dicha relación se da en términos de comparación entre funciones de enlace que caracterizan la falta de memoria de ciertas variables aleatorias asociadas al parámetro q y a la densidad estacionaria f. Finalmente, a partir de los resultados anteriores, se propone un método que permite aproximar el parámetro q, mediante una estimación de f, cuando la energía efectiva asociada a u sea la energía cinética efectiva.
Palabras claves: entropía, termoestadística no extensiva, sistemas superaditivos.
Resumo
Este artigo propõe uma relação biunívoca entre o parâmetro de não extensivdade q e a função de densidade de probabilidade estacionaria f correspondente a um observável u para alguns sistemas superaditivos nos que a entropia de Tsallis seja aplicável. Esta relação dei-se em termos de comparação entre funções de enlace que caracterizam a falta de memória de certas variáveis aleatórias associadas ao parâmetro q e à densidade estacionaria f. Finalmente a partir dos resultados anteriores, se propõe um método que permite aproxmar o parâmetro q, mediante uma estimação de f, quando a energia efetiva associada a u seja a energia cinética efetiva.
Palavras chaves: entropia, termoestadistica não extensiva, sistemas superaditivos.
Abstract
In this paper one introduces a bijective relation between the nonextensivity parameter q and the stationary probability density function f corresponding to an observable u for some superadditive systems for which the notion of Tsallis entropy applies. This relation is given as a comparison of linking functions characterizing memoryless of certain random variables associated to parameter q and the stationary density f. Then these results are used to formulate a method for approximating the parameter q based on an estimation of f, provided that the effective energy associated to u equals the effective kinetic energy.
Key words: entropy, thermostatistics non expansive, superadditives systems.
1 Introducción
En el desarrollo conceptual de la termoestadística se han propuesto diferentes maneras para describir las propiedades macroscópicas de los sistemas físicos bajo estudio en términos de sus propiedades microscópicas. La formulación dada por BoltzmannGibbs constituye un paso fundamental en la búsqueda del cumplimiento de este propósito. Sólo recientemente se ha visto la necesidad de generalizar el concepto de Entropía (y por consiguiente de las funciones de distribución de probabilidad que la maximizan) para describir sistemas con un alto grado de complejidad que se han manifestado en muchos campos de la física no lineal, como el estudio de los fenómenos de turbulencia, percolación, multifractales, radiación cósmica de fondo, etcétera. En 1988, Constantino Tsallis [1] introdujo un nuevo concepto de Entropía y conjuntamente nuevas restricciones para el correspondiente funcional, el cual se utiliza para describir sistemas que poseen propiedades no extensivas. Esta formulación generalizada de Entropía depende de un parámetro real llamado parámetro de no extensvidad, q, el cual ha sido propuesto de acuerdo a las condiciones específicas que describen el sistema. Para que el formalismo de Tsallis constituya una teoría física completa cerrada es necesario determinar, en el marco de la mecánica no extensiva, el valor particular (o valores particulares) de q para un sistema físico dado.
En la literatura se encuentran varios cálculos para determinar q en sistemas físicos particulares [2]. En algunos casos, los procedimientos parten de principios primeros o leyes derivadas para determinar el valor o valores de q correspondientes a distribuciones de probabilidad que se ajusten a los datos observados en un sistema. Otros procedimientos consisten en partir de datos experimentales para encontrar una función de ajuste (asumiendo características no extensivas) y plantear un valor o valores de q óptimos.
En el marco de la mecánica no extensiva interesa conocer, para algún sistema físico dado, nuevas formas de calcular el parámetro q: el presente artículo aporta precisamente en dicho conocimiento. Concretamente, el objeto de este artículo es introducir una nueva forma de relacionar el parámetro q para un observable u, con su función de densidad de probabilidad estacionaria f, siempre que ésta tenga media cero en un sistema superaditivo y la energía efectiva asociada a u cumpla ciertas condiciones. La relación se plantea mediante la comparación de funciones de enlace que permitan describir la pérdida de memoria (según una caracterización de Ghitany [3]) para ciertas variables aleatorias. La comparación entre las funciones de enlace se usa como criterio para obtener el parámetro q a partir de una estimación de la función de densidad de probabilidad estacionaria. Dicho criterio es constructivo en cuanto no requiere suponer un valor específico para q.
El artículo está dividido en dos secciones: en la 2, se presenta una breve revisión de temas necesarios relacionados con termoestadística generalizada y funciones de enlace; en la 3 se expone el objeto central del artículo, donde se establece una relación entre el parámetro q y la función de densidad para el observable u del sistema físico con las características descritas previamente, además, se establece un criterio de aproximación para q a partir de una estimación de la función de densidad.
2 Preliminares
2.1 Entropía Sq de Tsallis
Considérese un sistema con n estados posibles, cada uno con probabilidad pi, (1 ≤ i ≤ n) tales que
=1 pi = 1. La Entropía de BoltzmanGibbsSchannon (BGS) es el fundamento de la mecánica estadística clásica y se define para p = (p1, . . . , pn) mediante

donde kB es la constante de Boltzman (que para efectos de este artículo será tomada como uno) y log es el logaritmo natural.
Si bien la propuesta de BoltzmannGibbs ha mostrado efectividad, su uso se restringe a los sistemas conocidos como aditivos o extensivos; tales sistemas son aquellos que cumplen la propiedad de aditividad S(A + B) = S(A)+S(B), donde A y B son dos sistemas independientes en el sentido probabilístico. Para sistemas no extensivos es necesario generalizar la Entropía de forma tal que se cubran los casos subaditivos o superaditivos. En este sentido, la estadística no extensiva de Tsallis es considerada como un nuevo paradigma en mecánica estadística.
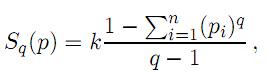
La Entropía Sq, definida por Tsallis [1], para cada real q, con q ≠ = 1, está dada por

y toma el valor S(p) si q = 1.
La entropía Sq de Tsallis verifica las siguientes propiedades [4]:
1. Sq es extensión de S en el siguiente sentido: si q → 1 se tiene Sq → S.
2. Sq(P) = 0 sólo en el caso de que alguna pi= 1.
3. El máximo para Sq bajo la única restricción, Σipi =1, se obtiene para pi =
para 1 ≤ i ≤ n.
4. Propiedad de no extensividad. Supóngase que se tienen dos sistemas independientes A y B, en sentido probabilístico, esto es
. Entonces se tiene

O de forma equivalente

Del último numeral se concluye que: para q > 1 se tienen sistemas superextensivos, para q = 1 se tienen sistemas extensivos y para q < 1 sistemas subextensivos. El caso de BoltzmannGibbs se reduce así a los sistemas extensivos.
En las últimas tres décadas se ha encontrado evidencia experimental que presenta casos de sistemas termodinámicos (con suficiente complejidad) que son no extensivos, hecho que en gran medida ha servido como muestra de la importancia de la teoría de Tsallis en la termoestadística. Una situación entre estos casos anómalos se ofrece en consideraciones hidrodinámicas de los fenómenos de turbulencia en tres dimensiones. Particularmente en el estudio presentado por Cristian Beck [5], de la diferencia de la velocidad radial u entre dos puntos en un líquido separados por una distancia r descrita mediante su relación con la energía cinética
u2. Las propiedades dinámicas de estos sistemas, como la difusión anómala, la simetría y la ley de potencia para el decaimiento de correlaciones, están en buena coincidencia con las predicciones de los modelos no extensivos en un amplio rango de parámetros.
La manifestación de las propiedades no extensivas de la Entropía de Tsallis ha conducido a la representación de Sq en términos de generalizaciones de las funciones logaritmo y exponencial, llamadas qlogaritmo y qexponencial, que son inversas una de la otra y se definen respectivamente para q ≠1 por

donde [u]+ = máx{0, u}. Cuando q → 1, las expresiones anteriores se reducen a las funciones logaritmo natural y exponencial respectivamente. La función qlogaritmo permite representar la Entropía Sq mediante

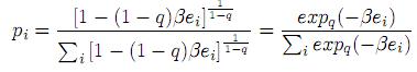
La distribución de probabilidades de equilibrio p = {pi} se obtiene maximizando Sq con respecto a los pi sujeto a la restricción Σipi = 1 Para el. conjunto microcanónico (sistema aislado), ésta será la restricción; en tal caso el resultado de la optimización es pi =
. Si se considera un sistema en contacto con un baño térmico, en el conjunto canónico, además de la anterior restricción, es necesaria una de las tres siguientes:

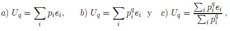
donde Uq es el valor esperado de energía E asociada al sistema y los ei son los autovalores del Hamiltoniano cuántico del sistema. Cada restricción fue introducida en diferentes trabajos de Tsallis [1, 2, 6].
El uso de cualquiera de las anteriores restricciones conduce a distintas termoestadísticas, donde a cada una de ellas le corresponde una distinta distribución de probabilidades p = {pi}, que expresa la distribución de probabilidades de ocupación de los microestados. Ferri, Martínez y Plastino [7] muestran que cada una de ellas se deriva de una sola expresión, que depende de un parámetro (multiplicador de Lagrange) β y está dada por p = {pi}, donde
válido para 0 < q ≤ 2;
y las expresiones para β corresponden al β∗ que aparece en [7] para cada una de las correspondientes restricciones.
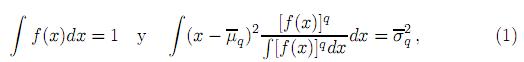
En el caso continuo, el funcional de Entropía se define por

A continuación se presentan resultados sobre optimización de Sq con notación tomada de [6] y [8], pero el proceso como tal se puede consultar en [6].
Considérese el problema de maximizar Sq, sujeto a las restricciones

donde
y
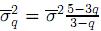
son la varianza y la media generalizadas de x respectivamente. El resultado de la optimización, válido para q < 3, es

donde la constante βq > 0 se puede determinar usando la segunda restricción de (1) y zq corresponde a zq := ∫ expq(−βq(x−
))dx.
Para modelos estacionarios es necesario considerar una tercera restricción de (1) dada por

En este caso, la función de densidad de probabilidad estacionaria que resulta β de la optimización (escribiendo respectivamente
y
en lugar de la notación Αq y βq de [8]) es

válido para q <3, donde zq:= ∫ expq(−
(x−
))dx, el parámetro β puede ser determinado por β =
y las varianzas usual y generalizada están relacionadas por
. Además β =
y zq se puede calcular por

2.2 Propiedad de pérdida de memoria y funciones de enlace
Si se considera una función de distribución exponencial, la función de distrbución acumulada asociada está dada por F(t) = 1 −
con t > 0, donde el parámetro λ > 0 representa la media de la variable aleatoria que tiene asociada dicha distribución. En tal caso, la función de supervivencia asociada es
(t) = 1 − F(t) =
. Por otro lado, es conocida la propiedad de pérdida de memoria dada por P (X > t + a) = P (X > t)P (X > a) que cumple una variable aleatoria con distribución exponencial.
Observación 1. Considérese una variable aleatoria X con función de distrbución de probabilidad F , continua y estrictamente creciente en un intervalo. Dado que en tal caso F y
distribuyen uniformemente en (0, 1), se tiene que g(X) := log(
)y h(X) =: log(
) están exponencialmente distribuidas con media uno.
Así, la propiedad de pérdida de memoria para F y
respectivamente (o bien, para X mediante g y h respectivamente) es caracterizada por Ghitany [3] por medio de las funciones de enlace g y h de la forma:

o igualmente
P (X > h−1(a + b)) = P(X > h−1(a))P (X > h−1(b)), para algún a, b.
De tal forma, existen λ1 > 0 y λ2 > 0 tales que

3 Funciones de enlace y el parámetro de no extensividad
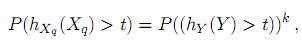
Es claro que la propiedad de pérdida de memoria, en la forma (3), para una variable aleatoria X que distribuya siguiendo una función de densidad de probabilidad continua definida mediante una función exponencial, permite caracterizar a X mediante la relación
Y(t) =
= λfY(t) (t > 0). En la subsección 3.1 se mostrará que en el caso en que la variable aleatoria X tenga función de densidad qexponencial, se obtiene una caracterización smilar, para lo cual es necesario establecer una biyección que identifique a una restrición de la función de supervivencia asociada a la variable aleatoria, con otra función de supervivencia definida mediante una función de enlace. En la subsección 3.2 se propone una nueva forma de de relacionar (mediante comparación de funciones de enlace) la función de densidad estacionaria estimada con una función que permite decidir el parámetro de no extensividad correspondiente para ciertos sistemas superaditivos.
3.1 Parámetro de no extensividad y propiedad de pérdida de memoria
Para modelos canónicos no extensivos se han propuesto funciones de densidad estacionarias f asociadas a un observable u, maximizando el funcional de Entropía con las restricciones adecuadas, descritas por

En adelante, se supondrá que f es una función de densidad de probabilidad continua y simétrica para un observable u asociado a un sistema no extensivo con parámetro de no extensividad q > 1.
Se define una probabilidad en [0, ∞), para alguna variable aleatoria Y, mediante

Para cada r > 1, en el intervalo [0,
), se define la probabilidad para una variable aleatoria Xr por medio de

Sea
la restricción de
Y al intervalo [0,
), claramente
no es una función de supervivencia. Nótese que la asignación
dada por
(
(t)) =
Xr(t) es una biyección en [0,
).
Proposición 2. La única biyección en [0,
) definida por
(
(t)) =
Xr(t) ocurre cuando r = q.
Demostración. Nótese que para q < r no es posible tener una biyección dada por
(
(t)) =
Xr(t) porque el dominio de la primera incluye propiamente al dominio de la segunda (aún si se redefiniera
Xr(t) = 0 para
≤ t <
, la asignación no sería inyectiva). Análogamente, cuando q > r no es posible una biyección como la planteada anteriormente, ya que [0,
] se incluye propiamente en [0,
). Gracias al decrecimiento estricto, tanto de
Xq como de
, la única biyección (como las sugeridas) que puede plantearse es
(
(t)) =
Xq(t) para todo t ∈ [0,
).

A continuación se muestra que la biyección
permite caracterizar la pérdda de memoria de Xq en términos de
(t) y, por tanto, de Y. En efecto, siendo
Xq y
Y las funciones de supervivencia para Xq e Y respectivamente, las funciones de enlace mediante las cuales se expresa la pérdida de memoria para Xq e Y están definidas respectivamente por

En consecuencia, existen λ1, λ2 > 0 tales que

En particular, si t ∈ [0,
), se satisfacen las dos igualdades anteriores y si se toma k =
, entonces se tiene

o igualmente, P (Xq >
(t)) = P (Y >
(t))k; que se puede escribir como
Xq (
(t)) =
Y (
(t))k, o bien

con lo cual, la pérdida de memoria de Y se puede expresar mediante las funciones de enlace y la biyección.
3.2 Estimación del parámetro de no extensividad
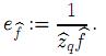
Considérese una función de densidad de probabilidad continua y simétrica f para un observable u asociado a un sistema no extensivo con parámetro de no extensividad q > 1. Para plantear una relación entre f con una función que permite decidir el parámetro de no extensividad, se planteará una relación entre dicho parámetro y la familia de funciones
xr (con 1 < r < 3 construidas como en la subsección anterior). Dicha relación será establecida mediante un criterio que determine: cuándo una de las gráficas correspondiente a las funciones de la familia corta a la gráfica de
u en un único punto (a, b) tal que a > 0. Lo anterior equivale a comparar la familia de funciones de enlace hr(t) = log(expr(t)) con hY(t) = log[1/expq(−βE(t))], o más directamente, la familia de funciones expr(t) con la función ef(t) :=
.
El siguiente resultado plantea que efcumple condiciones para ser consderada como exponencial kdeformado en el sentido de Naudts [9].
Proposición 3. Considérese una función de densidad de probabilidad estacionaria, continua y simétrica correspondiente a un observable u de un sistema no extensivo con parámetro de no extensividad q > 1, y sea E(u) la energía asociada a u según (4). Si además, para todo t > 0 se cumplen E(t) > 0 y

entonces se tiene: ef(0) = 1, ef(t) → ∞ cuando t → ∞, y ef es función continua, estrictamente creciente y cóncava en el intervalo [0, ∞). Además, ef tiene derivada cero a derecha de cero.
Demostración. Sólo se justificará las propiedades decrecimiento concavidad de ef, ya que las demás afirmaciones son fáciles de probar a partir de las propiedades de expq.
Para considerar las dos primeras derivadas de ef respecto a t, resultan

Aplicando (7) para reescribir a ef(t), derivando en ambos lados y simplficando, se obtiene

Ahora, empleando (7), (8) y (9), mediante cálculos laboriosos, la segunda derivada es dada por

donde

Ahora bien, si se cuenta con un sistema para el cual E(t) > 0 para t > 0, entonces
ef(t) es positiva para todo t > 0 y por tanto ef es estrictamente creciente en los reales positivos,
+.
Además, las funciones A(t) y B(t) son estrictamente positivas en
+, por lo que
ef(t) es estrictamente positiva y ef(t) es función cóncava en
+, siempre y cuando se cumpla (6).

Observación 4. Es de importancia resaltar que la familia de funciones expr para 1 < r < 3 presenta el siguiente comportamiento:
• Cada expr es una función: continua en [0,
), estrictamente creciente, cóncava, que pasa por (0, 1) y tiene asíntota vertical en
. Además, expr tiene derivada uno a derecha de cero.
• Es familia ordenada en el siguiente sentido: Si r1 < r2 entonces, para todo t ∈ [0,
), expr1(t) < expr2(t).
Ahora, por las características dadas en la observación 4 para la familia de funciones er(t) y por las características de ef según la proposición 3, existe un único r0 para el cual la gráfica de er0 corta a la gráfica de ef en un condiciones para que r0 sea precisamente el parámetro de no extensividad q.
Si se considera q como el parámetro de no extensividad, según la proposición 3 y expq(t0) = ef(t0) para algún t0 > 0, se tiene que expq(t0) =[expq (−βE (t0))]−1. Aplicando (7) se llega a expq(t0) = expq(
) de donde se obtiene t0=
. Ahora, la función
es acotada por
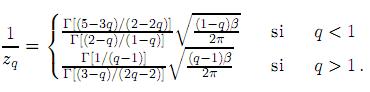
siempre que E(t) → ∞ cuando t → ∞. Además, si t0 es el w(t), entonces la gráfica de eq corta a la de ef












, entonces se satisfacen las condiciones de la proposición 3. Si además se considera β =
entonces w(t) se transforma en
siempre y cuando sea cero su discriminante 
y σ2 ≥
. Con las anteriores condiciones, y teniendo presente que β =
la función de densidad estacionaria estimada y tal que
≥
el inverso multiplicativo de la máxima altura de
es la máxima altura de f o bien, la imagen bajo f de la media µ = 0). El método para determinar el valor de q consiste en comparar las gráficas de expr(para 1 < r < 3) con la gráfica de
en un único punto que sea de coordenadas positivas.
=0. Considérese: la energía cinética efectiva E(u) = 
y por consiguiente
. 
