Services on Demand
Journal
Article
Indicators
-
Cited by SciELO -
Access statistics
Related links
-
Cited by Google -
Similars in
SciELO -
Similars in Google
Share
Ingeniería y Ciencia
Print version ISSN 1794-9165
ing.cienc. vol.10 no.20 Medellín July/Dec. 2014
ARTÍCULO ORIGINAL
Influencia de los Parámetros Tribológicos en el Coeficiente de Fricción entre Polipropileno y Piel
Influence of Tribological Parameters on Coefficient of Friction between Polypropylene and Skin
Pavón Palacio J.J.1, Villarraga Ossa J.A. 2 y Tobon Espinosa D.F. 3
1 Ph.D., jjpavon@udea.edu.co, Universidad de Antioquia, Medellín, Colombia.
2 Ph.D(c)., junes@udea.edu.co, Universidad de Antioquia, Medellín, Colombia.
3 Ing.,danielfelipetobon@gmail.com, Universidad de Antioquia, Medellín, Colombia.
Recepción: 22-11-2013, Aceptación: 23-01-2014 Disponible en línea: 01-07-2014
PACS:07.79Sp
Resumen
Se adquirieron los datos sobre la topología superficial de sockets para amputados transfermorales utilizando un microscopio de fuerzas atómicas (AFM), se caracterizaron las propiedades tribológicas de 12 zonas significativas, a partir de estos datos se crearon superficies virtuales con geometría sinusoidal de 250m de área, las cuales fueron empleadas para llevar a cabo una simulación numérica para encontrar cual era la relación entre dichos parámetros y el coeficiente de fricción entre el polipropileno del socket y la piel. La piel se modeló como un material híper-elástico y el polipropileno como un material elástico lineal, se impuso un desplazamiento inicial de contacto y un desplazamiento tangencial de las probetas para calcular el coeficiente de fricción, adicionalmente, se aplicó una presión a la parte superior de las probetas de polipropileno que simulan las presiones generadas por el calzado de la prótesis y las fuerzas generadas durante la fase de apoyo de la marcha humana. Se encontró que existe una correlación entre los parámetros tribológicos y el coeficiente de fricción, sobre la cual se presentan dos zonas principales, una donde el coeficiente de fricción disminuye a medida que aumentan dichos parámetros, y una segunda zona donde el coeficiente de fricción permanece constante.
Palabras clave: fricción; elementos finitos; piel; amputados transfemorales; sockets.
Abstract
Data were acquired over the surface topology for amputees transfermorales sockets using an atomic force microscope (AFM),the tribulogical properties of 12 significant areas were characterized. Based on these data are created virtual surfaces sinusoidal geometry area of 250 microns, the which were used to perform a numerical simulation to find what was the relationship between these parameters and the coefficient of friction between the polypropylene Socket and skin. Skin was modeled as hyper-elastic material and polypropylene as a linear elastic material, were imposed initial displacement contact and a tangential displacement of the samples to calculate the coefficient of friction, in addition, pressure was applied to the top of polypropylene specimens that simulate the pressures generated by the footwear of the prosthesis and the forces generated during the stance phase of human walking. Was found that a correlation exists between the tribological parameters and the coefficient of friction, on which there are two main areas, one, where the friction coefficient decreases as these parameters increase, and a second region where the friction coefficient remains constant.
Key words: friction; finite element; skin; transfemoral amputees; sockets.
1 Introducción
El uso continuo de prótesis para miembros inferiores trae consigo una gran cantidad de complicaciones para la salud de los pacientes que las utilizan, los principales problemas que presentan son: dermatitis, foliculitis, hiperemia y Xerosis, entre otras más [1]. Estos problemas están asociados con la interacción entre la prótesis y la piel y se encuentran altamente relacionados con el (CF) existente entre éstos [2]. Es importante aclarar que la fabricación de prótesis, en muchos casos, es un proceso altamente artesanal donde el conocimiento y experiencia del protesista es fundamental para lograr una adaptación exitosaentre el paciente y su prótesis [3],[4],[5].
En el proceso del calzado del socket y durante todas las etapas de la marcha humana se presenta un movimiento relativo entre éste y la piel, lo que genera fricción. Según la mecánica clásica la fuerza de fricción está relaciona con la fuerza normal mediante el CF, pero en esta consideración no se tiene en cuenta la topografía superficial a escala micrométrica la cual puede afectar la generación del CF. Se ha demostrado que el CF es un parámetro importante en la distribución de esfuerzos en la interacción muñón-socket [6], y que conocer como éste depende de algunos parámetros tribológicos, ayudará a mejorar los diseños de sockets actuales para aumentar la sensación de confort en los pacientes.
El aporte de este estudio radica en evaluar como la variación de los parámetros tribológicos Sa, Sq y Sm influyen en la generación del CF entre la piel del muñón y el socket, con lo que se logran identificar los parámetros relevantes para diseñar una superficie de socket que permitirá disminuir el CF y así reducir los esfuerzos generados, los cuáles son los causante de los problemas cutáneos que presentan los pacientes.
1.1 Fundamentos de Tribología
La tribología estudia los efectos de la fricción, el desgaste y la lubricación a nivel micro mecánico para dar una explicación a los fenómenos físicos que se presentan cuando se tienen dos o más cuerpos juntos y con movimiento relativo entre ellos [7], [8], [9], [10], [11], [12].
Para definir una superficie existen una gran cantidad de parámetros tribológicos, a continuación se presentan los estudiados en este artículo.

El parámetro Ra es conocido comúnmente como la rugosidad de una superficie, y está definida como la media aritmética de los valores absolutos de las separaciones o alturas del perfil rugoso con respecto a la línea media del tramo de longitud medido l y matemáticamente está dada por la Ecuación (1).

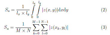
El parámetro Sa es conocido comúnmente como la rugosidad de una superficie referida al área analizada, y de forma análoga al Ra está definida como la media aritmética de los valores absolutos de las separaciones o alturas del perfil rugoso con respecto al plano medio del área medida A, esta área es la multiplicación de la longitud en x, lx; y su respectiva longitud en Y, ly. Matemáticamente está dada por la Ecuación (2). También puede definirse como se muestra en la Ecuación (3), donde los valores M y N corresponden al número de puntos medidos utilizando un AFM tanto en las coordenada x como en la coordenada y respectivamente.


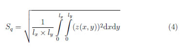
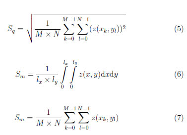
De forma análoga los parámetros Sq y Sm vienen dado por las relaciones matemáticas presentadas en la Ecuación (4) y Ecuación (6), o en forma de sumatoria en la Ecuación (5) y la Ecuación (7) respectivamente.
1.2 Fricción
Ésta se conoce comúnmente como la resistencia que se presenta cuando un cuerpo se desplaza con respecto a otro [13], [14], [15], [16], [17], [18], [19].
Desde los años 80 el estudio de la fricción se ha basado en la interpretación de este fenómeno a escala micro y nano mecánica, por tal motivo, se ha realizado un avance en los dispositivos para realizar las observaciones a esta escala, desarrollos como los Microscopios de Fuerzas Atómicas, Microscopio de Fuerza Lateral o de Fricción, Micro balanzas de Cristales de Cuarzo o un Aparato de Fuerzas Superficiales, entre otros. Esto ha llevado a que las investigaciones intenten encontrar una explicación tanto de la parte adhesiva como de la parte de deformación de la fricción mediante parámetros tanto tribológicos como químicos y atómicos [20], [21].
Varios autores han estudiado la piel en contacto con diversos materiales y el efecto de la fricción en diferentes zonas del cuerpo y bajo diferentes condiciones climáticas [22], [23], [24], [25], [26]; también se han propuesto formulaciones específicas para las propiedades fricionales de la piel [22].
1.3 La Piel
La piel, debido a que cumple un gran número de funciones en el cuerpo [24] es de mayor cuidado la elección de su comportamiento mecánico, está compuesta de varias capas cada una de ellas con una estructura y una función específica, pero la mayor parte de las investigaciones acerca de las propiedades mecánicas de la piel han ignorado su composición o comportamiento no uniforme [24], esto se debe principalmente a que la estructura de la piel es bastante compleja. Un gran número de investigaciones se han llevado a cabo para conocer a fondo cuales son las propiedades mecánicas de la piel [27], [28]; todas han tenido grandes problemas para caracterizarlas, debido a que la piel muestra un comportamiento de esfuerzo-deformación no lineal, una dependencia del tiempo, características de un material incompresible, anisotrópico y no homogéneo, lo cual hace que su comportamiento mecánico sea altamente complejo [25].
La piel es considerada un tejido blando y sus propiedades mecánicas dependen de la concentración y disposición de elementos como la elastina, colágeno y células musculares, además de las propiedades ya mencionadas [26]. Se han utilizado tres tipos principales de ecuaciones constitutivas para poder determinar correctamente las propiedades mecánicas de la piel, las cuales corresponden con comportamientos: lineal [29], [20], [30], [31]; hiperelástico [25], [32], [33], [34] y viscoelástico [35], [36], [37], [38].
El modelo hiperelástico es uno de los más empleados para realizar simulaciones numéricas que involucren la piel [6], [25], [39], [40]; debido a que reproduce acertadamente la deformación sufrida al recibir una carga, entre los posibles modelos para este estudio se seleccionó el de Mooney-Rivlin, el cual se presenta en la Ecuación (8), y sus constantes presentan en la Tabla 1.


Donde
son los invariantes y J es el determinante del gradiente de deformación.
1.4 Polipropileno
Este material es el más comúnmente utilizado por la industria manufacturera de prótesis en el país [6], sus propiedades mecánicas se presentan en la Tabla 2.

1.5 Superficies Tridimensionales
Para la elaboración de estas superficies existen tres métodos: mediante el uso de fractales para generar la topología [42], [43], mediante la adquisición de datos realizando mediciones en un AFM, [44], [45]; o mediante la creación de superficies vectoriales empleando un software matemático como MatLab®.
La utilización de los fractales simplifica la generación de superficies con geometrías repetitivas, pero genera el inconveniente de que la matemática descrita para poder controlar los parámetros de repetitividad y de escala son bastante complejos y no permitían obtener superficies con los parámetros tribológicos necesarios, esta última razón fue la determinante para descartar esta opción. Al tener la nube de puntos a partir de mediciones realizadas en AFM se presenta el inconveniente de que las superficies son bastante complejas, además, no se pueden controlar los parámetros tribológicos del perfil de la superficie. Por último, realizar las superficies mediante ecuaciones vectoriales en un software como MatLab®, permite generar la superficies sinusoidales con los parámetros tribológicos controlados de forma rápida y sencilla, además, dichos parámetros pueden tomar los valores de Sa, Sq y Sm obtenidos en las mediciones del AFM, sólo que estos estarán referidos a los perfiles sinusoidales.
2 Metodología y desarrollo
Para obtener los parámetros tribológicos que definen la superficie del socket se realizó una adquisición de datos empleando un AFM marca NanoSurf®, con unas características de operación de 90-240 voltios a 50/60 Hz con una potencia de 100W, 2048 puntos de espectrometría con un rango de 1024 y una velocidad de escaneo de 60 ms por línea y 128 puntos por línea, además de 10 voltios de señal de escaneo.
Las zonas donde fueron realizadas estas mediciones fueron seleccionadas a partir de los resultados de investigaciones previas [6], en las cuales se obtuvieron las zonas con mayor concentración de esfuerzos en la piel. En total se analizaron 6 sockets con un total de 72 probetas, cada una de ellas de un área aproximada de 100 mm2, dichas probetas se observan el la Figura 1.

Este proceso se llevó a cabo mediante el Software EasyScan®2 FlexAFM, para cada una de las probetas se analizó un área de 250 μm2.
Para cada probeta se realizaron las mediciones de los parámetros tribológicos Sa, Sq y Sm . Se tomaron los valores promedio, máximos y mínimos para realizar los modelos de las superficies tridimensionales, los cuales suman en total 36 superficies. Se desarrolló un algoritmo que genera una superficie de 250 μm2, con un perfil sinusoidal, un ejemplo de las superficies obtenidas se puede observar en Figura 2.

El mismo algoritmo generaba una nube de puntos, las cuales se analizaban en SolidWorks®2010, donde se generaba una superficie CAD, como se ve en la Figura 3, además se generó la geometría base de la piel, la cual se presenta en la Figura 4, esta geometría se realizó completamente plana y con unas líneas de partición para una mejor malla.


El análisis por elementos finitos se realizó en el software Abaqus®6.10. Se realizaron cuatro steps diferentes.
En el step Inicial se definieron dos condiciones de borde, la primera de ellas era una restricción tipo Encastre en la base de la piel, es decir, que no se generen ni rotaciones ni desplazamientos en ninguno de los 3 ejes. Ademas se impuso otra condición de borde que consistía en restringir el desplazamiento de las probetas, para que no se genere rotación alrededor de los ejes en los que no se tiene un desplazamiento lineal. Estas condiciones de borde se propagaron a los siguientes steps.
En el step uno se impone una carga aplicada en la parte superior de las probetas, esta carga es la presión máxima generada en el proceso de calzado de los sockets en los amputados transfemorales y se aplican las cargas de la fase de apoyo en el ciclo de la marcha humana [6], y tiene un valor de 50kPa, esta carga se propago a los siguientes steps. Además se impuso un desplazamiento para generar el contacto entre la probeta y la piel para evitar el efecto de Shattering, este desplazamiento fue de 0,002 mm, este desplazamiento se desactivo para los demás steps para que el desplazamiento en este eje sea dado por la carga aplicada. La duración del step uno fue de 0,1 segundos.
En el Segundo step no se colocaron cargas, se dejó actuar la carga previamente dispuesta en el step uno, esto con el fin de que se estabilizara la simulación y que la deformación final de la piel sea debida a la carga y no a la impuesta por el desplazamiento de contacto. La duración de este step fue de 0,1 segundos.
En el tercer y último step se impuso un desplazamiento de 0,35 mm para que la probeta recorriera toda la piel a lo largo de su eje axial, este desplazamiento se definió con el fin de generar la carga en contra del movimiento y así poder calcular el CF.

En el proceso de mallado de la piel se utilizaron elementos estructurales tipo hexaédricos (C3D8R) con 33567 elementos; y tetraedros (C3D10M) con 230428 elementos, para un total de 380554 elementos para todo el modelo, para las probetas de Polipropileno se realizó de forma análoga un discretizado mediante elementos estructurales, pero en este caso todos los elementos fueron tetraédricos (C3D10M), con un rango de elementos entre 58837-283924.
3 Resultados y discusión
Los parámetros tribológicos resultantes del proceso de medición con el AFM se pueden apreciar en la Figura 6, donde se observa el valor promedio, máximo y mínimo para las mismas zonas analizadas.

Empleando los resultados de los modelos de elementos finitos se calculó el CF empleando la Ecuación (9).

Donde F es la fuerza de fricción, μ es el CF, k es el coeficiente de adhesión superficial y A es el área de contacto; basados en los resultados de Koudine et al [22] se omite la componente adhesiva, la cual representa una pequeña parte del total del CF cerca al 10 %, así k = 0.
La carga externa normal se calcula teniendo en cuenta la presión a la que está sometida la probeta en la parte superior y tiene un valor de 1,25í 10−4 N.
La Figura 7, representa un comportamiento típico del coeficiente de fricción medido para las 32 probetas.

En este comportamiento se evidencia el fenómeno de Stick-Slip [46], (ver Figura7b) donde el movimiento no es constante si no que se desplaza una distancia dada y luego se detiene. Este es un comportamiento típico de la fricción de la piel, autores como Koudine et al [22] y Gitis y Sivamani [47] lo han evidenciado. El CF dinámico se calculó como el promedio de la amplitud de las mediciones realizadas en la zona de Stick-Slip [22], [47].
Los resultados obtenidos para los CF de todas las probetas se pueden ver en la Figura 8, Figura 9 y Figura 10, en ellas se observa la incidencia de los parámetros tribológicos estudiados sobre las mediciones realizadas para el CF.



Un hecho que se evidencia en la Figura 8 y Figura 9 es que el coeficiente de fricción disminuye a medida que los parámetros tribológicos Sa y Sq aumentan, este hecho concuerda con los hallazgos realizados por Rabinowicz [48].
En la Figura 10 se observa como varia el CF con el parámetro Sm, se puede decir que no existe una influencia de este parámetro en la cuantificación del CF.
Teniendo como referencia la piel, estos comportamientos se asimilan a los encontrados por Hendriks y Franklin [23]. Derler et al [21] encontraron de forma análoga que el coeficiente de fricción disminuye con el aumento de la rugosidad. Esta tendencia queda evidenciada claramente en el artículo realizado por Derler y Gerhardt [49]; Caso contrario se encuentra en el artículo llevado a cabo por Tomlinson y Lewis [50], quienes plantean que el coeficiente de fricción aumenta con el aumento del parámetro tribológico Rq, hasta llegar a un valor de estabilización a las 26 micras. Derler et al [51] presentan el mismo comportamiento, a mayor rugosidad mayor CF.
Estas discrepancias se pueden dar debido al hecho de que los artículos que comprueban los resultados obtenidos fueron realizados a una escala semejante a la utilizada en este trabajo, mientras los artículos que presentaron un comportamiento completamente inverso se realizaron en una escala mayor, lo cual explica sus diferencias tan significativas, esto también se puede ver en el trabajo de de Ramesh et al [52].
Se puede explicar el hecho de que al aumentar la rugosidad el coeficiente de fricción disminuye debido a que las deformaciones de la piel van a ser muy sectorizadas, y las zonas en contacto van a ser menores, por lo que la fuerza en oposición al movimiento se sitúa solo en las áreas de contacto, y como estas disminuyen, la fuerza de fricción lo hace de forma análoga, además, al disminuir las áreas de contacto las deformaciones de la piel se verán disminuidas, es decir, al disminuir el área real de contacto disminuye el coeficiente de fricción [22], [35], [40].
Otro aspecto importante que se puede rescatar de los resultados obtenidos mediante las simulaciones, es el hecho de que los esfuerzos de contacto generados debidos a la interacción entre las probetas de polipropileno y la piel muestran una distribución de esfuerzos como la propuesta por la ley de contacto de Hertz [6], [7], [8], [23]; lo cual está en concordancia con lo propuesto Ramesh et al [52] y de Hertz.
Analizando los resultados de otra manera, se pueden encontrar calramente dos zonas, la primera de éstas es la zona donde el CF depende significativamente del valor de los parámetros tribológicos, este comportamiento se puede apreciar hasta un valor de 500nm para la Sa y 600 nm para Sq, como se observa en la Figura 11.

Se observa que a partir de los valores mencionados anteriormente, el coeficiente de fricción tiende a estabilizarse en un valor de 0.3, mientras que en la Zona 1, los valores se ajustan a una curva cuadrática.
4 Conclusiones
Las herramientas de simulación numérica, empleando simulaciones explícitas son unas herramientas que pueden servir para calcular el CF entre dos materiales, en este caso entre el polipropileno y la piel, al realizar estas simulaciones se encontró que el CF está relacionado con los parámetros tribológicos, y en su comportamiento se pueden observar dos zonas principales, una primera zona donde el coeficiente de fricción varía de forma exponencial inversa con respecto a los parámetros tribológicos , y una segunda zona donde el coeficiente de fricción varia muy poco, alcanzando incluso un valor estable, se encontró que existe un valor de umbral para dividir estas zonas de 500 nm para la Sa y 600 nm para Sq.
Para poder tener un comportamiento más adecuado en la zona 2 de los resultados se recomienda realizar un análisis más profundo, dado que los valores analizados solo representan el 22,2% de los datos obtenidos.
Se observó que los parámetros tribológicos Sa y Sq tienen el mismo comportamiento con el coeficiente de fricción, lo cual indica que ambos están altamente relacionados entre sí, por tal motivo el único cambio en las gráficas del comportamiento del coeficiente de fricción y los parámetros tribológicos son los valores numéricos.
Se recuerda que en este análisis solo se tiene en cuenta la componente de deformación del CF y no la componente adhesiva. Este análisis es una estimación numérica del comportamiento real de la fricción y la piel, por lo que los resultados deben ser analizados y entendidos como tales.
Agradecimientos
A la Universidad Nacional de Colombia Sede Medellín, al Tecno- Parque SENA Nodo Medellín y a la Universida de Antioquia por su apoyo a este proyecto.
Referencias
[1] M. Highsmith, J. Highsmith, and J. Kahle. (2013) Identificación y control de problemas cutáneos con el uso de prótesis en extremidades inferiores. [Online]. Available: http://www.amputee-coalition.org/spanish/inmotion/jan_feb_11/skin_issues_lower.html 140 [ Links ]
[2] M. Zhang and A. F. Mak, ''A finite element analysis of the load transfer between an above-knee residual limb and its prosthetic socket -roles of interface friction and distal-end boundary conditions,'' IEEE Engineering in Medicine and Biology Society, vol. 4, no. 4, pp. 337-346, 1996. [Online]. Available: http://dx.doi.org/10.1109/86.547935 140 [ Links ]
[3] Presidencia de la República. (2012) Situación víctimas minas antipersonal. [Online]. Available: http://www.accioncontraminas.gov.co/Situacion/Paginas/SituacionVictimasMinasAntipersonal.aspx 141 [ Links ]
[4] Corporación Fondo de Prevención Vial. (2013) Estadísticas. [Online]. Available: http://fpv.org.co/investigacion/estadisticas 141 [ Links ]
[5] Registro Único Nacional de Tránsito. (2013) Runt Estadísticas. [Online]. Available: http://www.runt.com.co/portel/libreria/php/p_estadisticas.php 141 [ Links ]
[6] V. R. Pérez, ''Optimización superficial de un socket para amputado transfemoral que disminuya los esfuerzos variando el coeficiente de fricción,'' Trabajo de Grado, Universidad de Antioquia, Medellín, Colombia, 2012. [ Links ] 141, 144, 145, 146, 153
[7] B. Bhushan, Principles and applications of tribology, 1st ed. Ohio: Wiley- Interscience, 1999. [ Links ] 141, 153
[8] J. Arnell, P. Davies, J. Halling, and T. L. Whomes, Tribology: Principles and designs applications, 1st ed. London: Macmillan Education Ltd, 1991. [ Links ] 141, 153
[9] F. Chavez, La Tribología: ciencia y técnica para el mantenimiento, 2nd ed. México, D.F.: Limusa S.A. de C.V, 2002. [ Links ] 141
[10] Engineering-abc.com. (2012) History of science friction. [Online]. Available: http://www.tribology-abc.com/abc/history.htm 141 [ Links ]
[11] G. Amontons, ''De la résistance causée dans les machines,'' Histoire de l'Académie Royale des Sciences, vol. 1732, pp. 206-227, 1699. [ Links ] 141
[12] B. C. M. Orquídez, ''Una nueva ley de Fricción Cinética para bloques rígidos y su aplicación a problemas geosísmicos,'' Ph.D. dissertation, Universidad Nacional Autónoma de México, 2009. [Online]. Available: http://132.248.9.195/ptd2009/septiembre/0649365/Index.html 141 [ Links ]
[13] M. J. Wisniak, ''Guillaume Amontons,'' Revista CENIC Ciencias Químicas, vol. 36, no. 3, pp. 187-195, 2005. [Online]. Available: http://www.redalyc.org/articulo.oa?id=181620584008 143 [ Links ]
[14] G. Amontons, ''Moyen de substituer commodement l'action du feu a la force des hommes et des chevaux pour mouvoir les machines,'' Académie Royale de Paris, 1699. [ Links ] 143
[15] P. de la Hire, ''Sur le frottement des machines,'' Histoire de l'Académie Royale des Sciences, vol. 1732, pp. 104-106, 1699. [ Links ] 143
[16] S. Vince, ''Motion of bodies affected by friction,'' Philosophical Transactions of the Royal Society of London, vol. 75, pp. 165-189, 1784. [ Links ] 143
[17] N. Petrov, ''Friction in machines and the effect of lubricants,'' Inzhenerno Zhurnal, vol. 4, pp. 535-564, 1883. [ Links ] 143
[18] T. Quinn, Physical analysis for tribology, 1st ed. Cambridge: Cambridge University Press, 1991. [ Links ] 143
[19] F. P. Bowden and D. Tabor, The friction and lubrication of solids, 1st ed. Oxford: Oxford University Press, 1964. [ Links ] 143
[20] M. Geerligs, A literature review of the mechanical behavior of the stratum corneum, the living epidermis and the subcutaneous fat tissue, 1st ed. Philips Research Europe, 2006. [ Links ] 143, 144
[21] S. Derler and L.-C. Gerhardt, ''Tribology of skin: Review and analysis of experimental results for the friction coefficient of human skin,'' Tribology Letters, vol. 45, no. 1, pp. 2-27, 2012. [Online]. Available: http://link.springer.com/article/10.1007/s11249-011-9854-y 143, [ Links ] 152
[22] A. Koudine, M. Barquins, P. Anthoine, L. Aubert, and J. L. Leveque, ''Frictional properties of skin: proposal of a new approach,'' International journal of cosmetic science, vol. 22, no. 1, pp. 11-20, 2000. [Online]. Available: http://onlinelibrary.wiley.com/doi/10.1046/j.1467-2494.2000.00006.x/full 144, [ Links ] 150, 151, 153
[23] C. P. Hendriks and S. E. Franklin, ''Influence of surface roughness, material and climate conditions on the friction of human skin,'' Tribology Letters, vol. 37, no. 2, pp. 361-373, 2009. [ Links ] 144, 152, 153
[24] M. Geerligs, Skin layer mechanics, 1st ed. Eindhoven, The Netherlands: Technische Universiteit Eindhoven, 2010. [ Links ] 144
[25] F. Hendriks, D. Brokken, J. van Eemeren, C. Oomens, F. Baaijens, and J. Horsten, ''A numerical-experimental method to characterize the non-linear mechanical behaviour of human skin,'' Skin research and technology, vol. 9, no. 3, pp. 274-283, 2003. [Online]. Available: http://onlinelibrary.wiley.com/doi/10.1034/j.1600-0846.2003.00019.x/full 144 [ Links ]
[26] S. Cowin and S. B. Doty, Tissue Mechanics, 1st ed. New York: Springer Science+Business Media, 2007. [ Links ] 144
[27] A. Ní Aisling, K. Bruyére, M. Destrade, M. Gilchrist, and M. Otténio, ''Characterization of the anisotropic mechanical properties of excised human skin,'' Journal of the Mechanical Behaivor of Biomedical Materials, vol. 5, no. 1, pp. 139-148, 2012. [Online]. Available: http://www.sciencedirect.com/science/article/pii/S1751616111002219 144 [ Links ]
[28] R. Groves, S. Coulman, J. Birchall, and S. Evans, ''An anisotropic, hyperelastic model for skin: Experimental measurements, finite element modelling and identificacion of parameters for human and murine skin,'' Journal of the Mechanical Behaivor of Biomedical Materials, vol. 1, no. 18, pp. 167-180, 2013. [Online]. Available: http://www.ncbi.nlm.nih. gov/pubmed/23274398 144 [ Links ]
[29] A. Delalleau, G. Josse, J. Lagarde, H. Zahouani, and J.-M. Bergheau, ''Characterization of the mechanical properties of skin by inverse analysis combined with the indentation test,'' Journal of Biomechanics, vol. 39, no. 9, pp. 1603-1610, 2006. [Online]. Available: http://www.sciencedirect.com/science/article/pii/S0021929005002162 144 [ Links ]
[30] H. Zahouani, C. Pailler-Mattei, B. Sohm, R. Vargiolu, V. Cenizo, and R. Debret, ''Characterization of the mechanical properties of a dermal equivalent compared with human skin in vivo by indentation and static friction tests,'' Skin Research and Technology, vol. 15, no. 1, pp. 68-76, 2009. [Online]. Available: http://onlinelibrary.wiley.com/doi/10.1111/j.1600-0846.2008.00329.x/abstract 144 [ Links ]
[31] M. Geerligs, L. van Breemen, G. Peters, P. Ackermans, F. Baaijens, and C. Oomens, ''In vitro indentation to determine the mechanical properties of epidermis,'' Journal of Biomechanics, vol. 44, no. 6, pp. 1176- 1181, 2011. [Online]. Available: http://linkinghub.elsevier.com/retrieve/pii/S0021929011000455 144, [ Links ] 145
[32] R. Lapeer, G. Gasson, and V. Karri, ''Simulating plastic surgery: From human skin tensile tests, through hyperelastic finite element models to real-time haptics,'' Progress in Biophysics and Molecular Biology, vol. 103, no. 2-3, pp. 208-216, 2010. [Online]. Available: http://www.sciencedirect.com/science/article/pii/S0079610710000817 144 [ Links ]
[33] X. Crichton, B. Donose, X. Chen, A. Raphae, H. Huang, and M. A. F. Kendall, ''The viscoelastic, hyperelastic and scale dependent behaviour of freshly excised individual skin layers,'' Biomaterials, vol. 32, no. 20, pp. 4670-4681, 2011. [ Links ] 144
[34] C. Hendriks, D. Brokken, C. Oomens, D. L. Bader, and F. P. T. Baaijens, ''The relative contributions of different skin layers to the mechanical behavior of human skin in vivo using suction experiments,'' Medical Engineering & Physics, vol. 28, no. 3, pp. 337-346, 2006. [Online]. Available: http://www.sciencedirect.com/science/article/pii/S1350453305001451 144 [ Links ]
[35] F. Silver, J. Freeman, and D. DeVore, ''Viscoelastic properties of human skin and processed dermis,'' Skin Research and Technology, vol. 7, no. 1, pp. 18-23, 2001. [Online]. Available: http://onlinelibrary.wiley.com/doi/10.1034/j.1600-0846.2001.007001018.x/abstract 144, [ Links ] 153
[36] F. Khatyr, C. Imberdis, P. Vescovo, D. Varchon, and J.-M. Lagarde, ''Model of the viscoelastic behaviour of skin in vivo and study of anisotropy,'' Skin Research and Technology, vol. 10, no. 2, pp. 96-103, 2004. [Online]. Available: http://onlinelibrary.wiley.com/doi/10.1111/j.1600-0846.2004.00057.x/abstract 144 [ Links ]
[37] M. Adams, B. Briscoe, and S. Johnson, ''Friction and lubrication of human skin,'' Tribology Letters, vol. 26, no. 3, pp. 239-253, 2007. [Online]. Available: http://www.springerlink.com/index/10.1007/s11249-007-9206-0 144 [ Links ]
[38] B. Persson, A. Kovalev, and S. Gorb, ''Contact mechanics and friction on dry and wet human skin,'' Tribology Letters, vol. 50, no. 1, pp. 17-30, 1913. [Online]. Available: http://link.springer.com/article/10.1007/s11249-012-0053-2 144 [ Links ]
[39] M. P. Maya and J. A. V. Zéa, ''Influencia de la longitud del muñón en la distribución de esfuerzos, en la interfaz socket muñón en amputados transfemorales,'' Trabajo de Grado, Universidad de Antioquia, Medellín, Colombia, 2011. [ Links ] 144
[40] M. Londoño Soto, V. Restrepo Pérez, and J. A. V. Ossa, ''Determinación del modelo hiperelástico idóneo para la simulación numérica de la piel,'' First International Conference on Advanced Mechatronics, Design, and Manufacturing Technology, 2012. [ Links ] 144, 153
[41] C. Pailler-Mattéi and H. Zahouani, ''Analysis of adhesive behaviour of human skin in vivo by an indentation test,'' Tribology International, vol. 39, no. 1, pp. 12-21, 2006. [Online]. Available: http://linkinghub.elsevier.com/retrieve/pii/S0301679X04002373 145 [ Links ]
[42] M. Uchidate, K. Yanagi, I. Yoshida, T. Shimizu, and A. Iwabuchi, ''Generation of 3D random topography datasets with periodic boundaries for surface metrology algorithms and measurement standards,'' Wear, vol. 271, no. 3-4, pp. 565-570, 2011. [Online]. Available: http://www.sciencedirect.com/science/article/pii/S0043164810001948 145 [ Links ]
[43] S. K. Boyd and R. Müller, ''Smooth surface meshing for automated finite element model generation from 3D image data,'' Journal of Biomechanics, vol. 39, no. 7, pp. 1287-1295, 2006. [Online]. Available: http://linkinghub.elsevier.com/retrieve/pii/S0021929005001442 145 [ Links ]
[44] M. . Szklarczyk, M. Strawski, and K. Bienkowski, ''25 years of the scanning tunneling microscopy,'' Springer, vol. 42, pp. 303-368, 2008. [Online]. Available: http://link.springer.com/chapter/10.1007/978-0-387-49489-0_5 145 [ Links ]
[45] D. Tomanek, W. Zhong, and H. Thomas, ''Calculation of an atomically modulated friction force in atomic-force microscopy,'' EPL (Europhysics Letters), vol. 15, no. 8, pp. 337-346, 1991. [Online]. Available: http://iopscience.iop.org/0295-5075/15/8/014 145 [ Links ]
[46] S. Derler and G.-M. Rotaru, ''Stick-slip phenomena in the friction of human skin,'' Wear, vol. 301, no. 1-2, pp. 324-329, 2013. [Online]. Available: http://www.sciencedirect.com/science/article/pii/S0043164812003729 151 [ Links ]
[47] N. Gitis and R. Sivamani, ''Tribometrology of Skin,'' Tribology Transactions, vol. 47, no. 4, pp. 461-469, 2004. [Online]. Available: http://www.tandfonline.com/doi/abs/10.1080/05698190490493355 151 [ Links ]
[48] E. Rabinowicz, Friction and wear of materials, 2nd ed. Wiley, 1995. [ Links ] 152
[49] S. Derler, L.-C. Gerhardt, A. Lenz, B. E, and M. Hadad, ''Friction of human skin against smooth and rough glass as a function of the contact pressure,'' Tribology International, vol. 42, no. 12, pp. 1565-1574, 2009. [Online]. Available: http://www.sciencedirect.com/science/article/pii/S0301679X0800251X 152 [ Links ]
[50] S. Tomlinson, R. Lewis, and M. J. Carré, ''The effect of normal force and roughness on friction in human finger contacts,'' Wear, vol. 267, no. 8, pp. 1311-1318, 2009. [Online]. Available: http://ieeexplore.ieee.org/stamp/stamp.jsp?tp=&arnumber=547935&userType=inst 152 [ Links ]
[51] S. Derler, R. Huber, H. Feuz, and M. Hadad, ''Influence of surface microstructure on the sliding friction of plantar skin against hard substrates,'' Wear, vol. 267, no. 5, pp. 1281-1288, 2009. [Online]. Available: http://linkinghub.elsevier.com/retrieve/pii/S0043164809000817 152 [ Links ]
[52] M. Ramesh, S. Kailas, and K. Simha, ''Micro and macro contact mechanics for interacting asperities,'' Sadhana, vol. 33, no. 3, pp. 329-338, 2008. [ Links ] 153, 154












