Services on Demand
Journal
Article
Indicators
-
Cited by SciELO -
Access statistics
Related links
-
Cited by Google -
Similars in
SciELO -
Similars in Google
Share
Ingeniería y Ciencia
Print version ISSN 1794-9165
ing.cienc. vol.11 no.21 Medellín Jan./June 2015
https://doi.org/10.17230/ingciencia.11.21.5
ARTÍCULO ORIGINAL
doi:10.17230/ingciencia.11.21.5
Diseño y construcción de un teslámetro digital embebido para la caracterización magnética de materiales
Design and Construction of an Embedded Digital Teslameter for the Magnetic Characterization of Materials
A. A. Velásquez 1, Juliana Baena Rodríguez2 y Yhefferson Fernando Gutiérrez Loaiza
1 Universidad EAFIT, Medellín, Colombia, avelas26@eafit.edu.co.
2 Universidad EAFIT, Medellín, Colombia, jbaenaro@eafit.edu.co .
3 Universidad EAFIT, Medellin, Colombia, ygutierr@eafit.edu.co.
Recepción: 28-11-2013 | Aceptación: 20-06-2014 | En línea: 30-01-2015
PACS: 84.30.-r, 85.40.-e, 85.75.-d
Resumen
Se presenta el diseño, construcción y validación de un teslámetro digital embebido para uso en experimentos de caracterización magnética de materiales por métodos inductivos y estáticos. El teslámetro se compone de un transductor de efecto Hall THS119 de tipo planar, con salida diferencial y ajustable a diferentes rangos de medida, un amplificador de instrumentación INA129P con ganancia ajustable y un microcontrolador PIC16F873A con convertidor ADC de 10 bits para el procesamiento digital de los datos, visualización de las medidas en una pantalla de cristal líquido, almacenamiento y transferencia de los datos al computador vía puerto serie. El sistema es adaptable a transductores de campo magnético con salida simple o diferencial y con diferentes rangos de medida; es sensible a cambios en la intensidad y la polaridad del campo magnético aplicado y cuenta con una sensibilidad efectiva de 5,0 V/T e incertidumbre de 0.5 10−3T para el transductor de efecto Hall THS119. El prototipo desarrollado fue comparado con un teslámetro comercial PHYWE 13610.90.
Palabras clave: teslámetro; transductor de efecto Hall; sistema embebido
Abstract
We present the design, construction and validation of an embedded digital teslameter, intended for use in experiments of magnetic materials characterization by inductive and static methods. The teslameter consists of a planar type Hall effect transducer THS119, with differential output and adjustable measuring range, an INA129P instrumentation amplifier with adjustable gain, a microcontroller PIC16F873A with ADC converter of 10-bits for digital processing, data storage and data transfer to the computer via serial port; and a liquid crystal display to visualize the measurements. The system is adaptable to magnetic field transducers with single or differential output and with different measuring ranges; is sensitive to changes in the intensity and the polarity of the applied magnetic field and has an effective sensitivity of 5.0 mV/mT and uncertainty of 0.5−3T for the THS119 Hall effect transducer. The prototype teslameter was compared with a commercial teslameter PHYWE 13610.90.
Key words: teslameter; Hall effect transducer; embedded system.
1 Introducción
Los transductores de campo magnético constituyen una herramienta indispensable en los experimentos de caracterización magnética de materiales. El campo magnético aplicado sobre la muestra bajo estudio, bien sea alterno o continuo, debe ser medido con la mayor exactitud posible con el fin de obtener de manera confiable las propiedades magnéticas de la muestra, tales como campo magnético de saturación, campo magnético coercitivo, susceptibilidad magnética, coeficiente Hall, coeficiente de magnetorresistencia, entre otras.La evolución en los procesos de microfabricación y purificación del silicio ha permitido desarrollar transductores de efecto Hall cada vez más compactos, con bajas pérdidas por corrientes de fuga inversas y con sensibilidades ajustables a los campos magnéticos típicos de los laboratorios de magnetometría, que varían en el orden de unos cuantos Teslas. La producción a escala industrial también ha permitido reducir ampliamente los costos de este tipo de transductores, haciéndolos comunes en áreas como la magnetometría [1], industria automovilística [2], robótica [3] y ciencia básica [4]. Teniendo en cuenta la conveniencia de los transductores Hall para medidas de campo magnético en espacios reducidos, tales como los presentes en las regiones interpolares de electroimanes de laboratorio, bobinas de pequeños diámetros, entrehierros de motores, parlantes, entre otros, es una buena opción para estas aplicaciones implementar teslámetros dedicados compactos, compuestos por transductores Hall más etapas analógicas de acondicionamiento de señal y circuitos digitales basados en microcontroladores, los cuales ejecutan el procesamiento de la señal de campo magnético, permitiendo no solo visualizar las medidas en una pantalla sino gestionar los datos adquiridos, para que estos puedan ser almacenados en memoria y ser recuperados en el momento en que el usuario lo desee. Existen teslámetros comerciales con excelentes prestaciones, tales como el 13610-90 o el COBRA 4, ambos desarrollados por la firma PHYWE®1, cuyas resoluciones son de 1 parte en 1000 en cada escala de medida;el Group3 Digital Teslameter DTM-133 de la firma GMW Associates®2, con resoluciones de 100 partes por millón y errores máximos del 0.03% en las medidas; o el SF-7579 Tesla Meter de la firma PASCO®3, con resolución de 0.1 mT y errores máximos del 5% sobre el valor de las medidas. El costo de estos teslámetros oscila alrededor de los USD 6.000, haciéndolos poco accesibles para los laboratorios básicos de física de países en vía de desarrollo. Nuestro interés por abordar el desarrollo de un teslámetro digital embebido nace de la necesidad del Laboratorio de Instrumentación y Espectroscopia de la Universidad EAFIT por desarrollar infraestructura de medida con buenas prestaciones, bajo costo y ajustada a los requerimientos de medida de la línea de investigación en magnetometría, de tal forma que en el corto plazo se pueda lograr autonomía en el desarrollo y mantenimiento de los equipos del laboratorio para uso en actividades de investigación, docencia y extensión.Para avanzar en este objetivo, se desarrolló un teslámetro digital embebido para la caracterización magnética de materiales, el cual fue evaluado con imanes de NdFeBy un electroimán comercial, para establecer la densidad de flujo magnético, la polaridad y el comportamiento del campo magnético a lo largo del eje de simetría del campo. De igual forma, se analiza la repetibilidad de las medidas entregadas por el sistema y su desempeño comparado con un teslámetro comercial para validar su uso en experimentos de magnetometría.
2 Detalles experimentales
2.1 Sensado de campo magnético por efecto Hall
El sensado por efecto Hall se basa en el fenómeno descubierto por el Físico estadounidense Edwin Herbert Hall, quien en 1879 descubrió que al tener una lámina conductora por la que circula corriente eléctrica, y esta es sometida a la presencia de un campo magnético externo, se genera una tensión VH en los terminales de salida, conocida como voltaje Hall, cuyo valor es directamente proporcional a la corriente eléctrica y al campo magnético, e inversamente proporcional al espesor de la lámina [5], según la relación:

Donde B es la componente del campo magnético perpendicular al plano de la lámina, I es la intensidad de corriente eléctrica que circula por la lámina, t es el espesor de la lámina y RH es la constante Hall del material. Para metales esta constante está dada por:

Donde n es la concentración de portadores de carga libres en el metal y e la magnitud de la carga eléctrica del electrón. Para materiales semiconductores la constante Hall está dada por la relación:

Siendo n y p las concentraciones de electrones y huecos en el material, respectivamente; μn y μp las movilidades de los electrones y los huecos en el material, respectivamente y e la magnitud de la carga eléctrica del electrón. El arreglo experimental para medir el voltaje Hall se presenta en la Figura 1.
Como se sabe de la literatura [5], la tensión Hall proviene de la fuerza que el campo magnético ejerce sobre los portadores de carga libres que circulan por la película, siendo esta fuerza máxima cuando el campo es aplicado perpendicularmente a la dirección de la corriente y cero cuando el campo es paralelo a la dirección de la corriente. Como se muestra en la Figura 2, la estructura básica del transductor de efecto Hall de salida lineal, corresponde a la integración de un elemento Hall, un amplificador diferencial y una fuente de voltaje altamente regulada. Los avances en la fabricación de materiales semiconductores han permitido implementar muchas aplicaciones relacionadas con la medición de campos magnéticos constantes y variables a partir de circuitos integrados de efecto Hall, los cuales se incorporan en un encapsulado para tomar el nombre de sondas Hall, axiales, tangenciales y descubiertas, dependiendo de la dirección en que se mida el campo magnético.
Al realizar una medida de campo magnético con un transductor de efecto Hall deben tenerse en cuenta algunas consideraciones para evitar errores de medida del campo magnético, entre las más relevantes se encuentran: a) el campo magnético debe aplicarse perpendicularmente al plano del transductor para que la Ecuación sea válida; b) el transductor mide solamente la componente del campo magnético perpendicular a su área sensible. Para tener medidas de campo magnético bi-axiales o tri-axiales será preciso realizar dos o tres medidas diferentes, respectivamente, o utilizar un tranductor Hall de varios ejes; c) la medida del campo magnético que se obtiene es un promedio del campo magnético que atraviesa perpendicularmente el área sensible del transductor, este aspecto es importante cuando se tienen campos no uniformes, en donde la magnitud y dirección del campo magnético varían sobre el volumen de interés; d) efectos de dispersión de los portadores de carga y no uniformidades en las dimensiones de la película sensible pueden introducir correcciones [6] en la Ecuación . Cuando el campo magnético presenta un eje de simetría, la medida del campo axial se realiza utilizando la configuración frontal o head-onmode, en la cual se alinean los ejes de simetría del campo y el transductor, como se observa en la Figura 3.
2.2 Generalidades y especificaciones del sensor
El transductor de efecto Hall utilizado es el THS119 [7], cuya sensibilidad para una corriente de 5 mA y una temperatura de 25 °C es de 0,8V/T, la máxima desviación lineal del voltaje Hall en el intervalo 0T ≤ B ≤ 0,5 T es del 2%, la salida de voltaje es diferencial, el coeficiente de temperatura es negativo, siendo su mínimo valor de -0,06 V/°C, la zona sensible tiene un diámetro de 1.8 mm, puede operar en un rango amplio de temperaturas, comprendidas entre -55 °C y 125 °C, responde a campos magnéticos estáticos y también dinámicos, con frecuencia de oscilación máxima de 100 kHz.2.3 Descripción del circuito del teslámetro
Se diseñó una fuente de voltaje regulada en régimen directo, que entrega voltajes de +12V, -12V, +8V, +5V, -5V. Estos voltajes alimentan el transductor Hall, el circuito de acondicionamiento de la señal, el microcontrolador y la pantalla de cristal líquido. La Figura 4 presenta el esquema del circuito de la fuente de voltaje desarrollada.
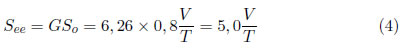
La etapa de acondicionamiento de señal comienza por la amplificación del voltaje entregado por el transductor, para ello se utilizó un amplificador de instrumentación INA129 [8] con alta impedancia de entrada, alta relación de rechazo en modo común y ganancia ajustable. La señal de voltaje obtenida en la salida del amplificador de instrumentación es a su vez proporcional a la magnitud de la densidad de flujo magnético perpendicular al plano del transductor, siendo la constante de proporcionalidad entre el voltaje y el campo magnético igual al producto entre la sensibilidad del sensor y la ganancia del amplificador. La Figura 5 presenta el ajuste por mínimos cuadrados del voltaje a la salida del amplificador de instrumentación Vamp en función del voltaje VH entregado por el transductor de efecto Hall,para diferentes campos de prueba aplicados con un imán de NdFeB situado a diferentes distancias del plano del sensor. En la figura se puede observar que la ganancia del amplificador de instrumentación se mantiene constante en todo el rango de amplificación, siendo su valor de 6,26.
La sensibilidad efectiva del teslámetro queda determinada por el producto entre la sensibilidad original del transductor de efecto Hall y la ganancia del amplificador de instrumentación, esto es:

El transductor de efecto Hall es sensible a cambios en la intensidad y en la polaridad del campo magnético medido, esto significa que al invertir la polaridad del campo magnético aplicado el transductor entrega un voltaje con signo opuesto al inicial. Para tener la posibilidad de medir campos magnéticos positivos y negativos con respecto al vector normal al plano del sensor, se implementó un circuito de ajuste del voltaje de salida, que entrega siempre voltajes positivos compatibles con la entrada analógica del convertidor analógico-digital (ADC) del microcontrolador utilizado, además, permite reconocer la polaridad del campo magnético aplicado. La conversión de los datos de voltaje a formato digital se realizó mediante el convertidor analógico-digital de 10 bits del microcontrolador PIC16F8 73A. La resolución en las medidas de voltaje de este convertidor es de 0,0049V para un voltaje de referencia de 5,0V. Para incluir los valores de voltaje negativos que se obtienen al invertirla polaridad del campo magnético, se diseñó un circuito que suma 2,5V a la señal de voltaje Hall amplificada, de tal forma que esta sea siempre positiva y pueda ser convertida a código binario por el ADC del microcontrolador. De esta manera, voltajes superiores a 2,5V representan campos magnéticos positivos y voltajes menores a 2,5V representan campos magnéticos negativos. El esquema con la configuración electrónica del circuito se muestraen la Figura 6.
Una rutina en C++ programada en el microcontrolador ejecuta la conversión analógica-digital de la señal procedente del circuito sumador, sustrae por software el voltaje de 2,5V que se añade por hardware y obtiene el campo magnético con su respectiva polaridad, enviando el valor a una pantalla de cristal líquido. El algoritmo ejecutado por el microcontrolador se presenta en la Figura 7. La barra de error de las medidas de campo magnético del teslámetro se debe principalmente al error de cuantización q del convertidor analógico-digital, el cual corresponde a la mitad de la contribución del bit menos significativo de la conversión, como se muestra a continuación:

2.4 Análisis de resultados y discusión
La prueba inicial del teslámetro consistió en realizar medidas de campo magnético en imanes cilíndricos de NdFeB de 2 mm de espesor y 12 mm de diámetro. El modo de operación usado en esta caracterización fue el modo frontal, donde el transductor se desplaza paralelo al eje de simetría del imán, como se muestra en la Figura 8. En las medidas presentadas en la figura se evidencia una gran simetría entre los valores positivos y negativos del campo magnético obtenidos para las dos orientaciones de los polos del imán con respecto a la cara sensible del transductor Hall.Para tener una idea del grado de repetibilidad de los resultados entregados por el teslámetro, se realizaron medidas de campo magnético en tres días consecutivos, procurando mantener las mismas condiciones experimentales. En este experimento sólo se varió la distancia entre el sensor y el imán, como se ilustra en la Figura 9.
Las ecuaciones de ajuste para los diferentes datos presentados en la Figura 8 arrojaron una diferencia porcentual máxima del 0,57% en los coeficientes de autocorrelación de las curvas. La máxima desviación porcentual entre las medidas se obtiene para una distancia de 5 mm entre el imán y el sensor, con un valor del 3,5%. Esta desviación es pequeña si se considera que 5 mm están dentro de una zona con alta densidad de flujo magnético y cualquier leve movimiento del transductor puede ocasionar fluctuaciones en las medidas, especialmente cuando este se encuentra montado sobre un asta flexible, como fue el caso del experimento. En cualquier caso, se debe recalcar que la mayor parte de las medidas realizadas en condiciones similares tienen una desviación máxima entre ellas menor al 1%, lo cual indica una repetibilidad satisfactoria en las medidas de campo magnético para experimentos de magnetometría básicos. La Figura 10 presenta una comparación de las medidas de campo magnético a diferentes distancias del imán de NdFeB obtenidas con el teslámetro prototipo y con un teslámetro comercial PHYWE, referencia 13610.90, el cual puede medir campos entre 10−5 T y 1 T con un error máximo del 2% sobre el valor medido. A partir de los datos obtenidos se encuentra que la máxima desviación porcentual entre los valores de campo magnético medidos por ambos instrumentos es del 1,94%, la cual ocurre para una separación de 2 mm entre el transductor y el imán permanente.
El segundo experimento realizado consistió en medir el campo magnético generado entre los polos de un electroimán comercial en configuración tipo-C, GWM 3470, de la firma GMW Associates, con rango de 2 T, utilizado para realizar experimentos de magnetometría en el Laboratorio de Instrumentación y Espectroscopia de la Universidad EAFIT. La separación entre los polos del electroimán fue ajustada a 10 mm y el mayor campo magnético aplicado fue de 0,8 T para evitar la saturación magnética de los polos, operando en la región de mayor linealidad del electroimán.
La Figura 11 presenta el montaje experimental, donde se puede observar la ubicación de la sonda entre los polos cónicos del electroimán y la vista frontal del teslámetro prototipo desarrollado. Se colocó la sonda del teslámetro comercial PHYWE 13610.90 lo más próxima posible a la sonda del teslámetro prototipo para efectuar medidas simultáneas con ambos sistemas y poder comparar los resultados.
En la Figura 12 se presentan las medidas de campo magnético en función de la corriente aplicada a las bobinas del electroimán, obtenidas con los dos teslámetros. El ajuste por mínimos cuadrados de las curvas muestra una desviación relativa en la pendiente del 0,81% y una desviación en el intercepto de 2,8%. La mayor contribución a la discrepancia observada en las medidas de campo magnético puede atribuirse a que si bien las sondas están muy próximas y el campo magnético es aproximadamente uniforme, este no se mide exactamente en la misma posición dentro de la región entre polos.
3 Conclusiones
Se diseñó y construyó un teslámetro digital embebido de efecto Hall, con prestaciones comparables con las de teslámetros comerciales. El teslámetro cuenta con una sensibilidad de 5 V/T y puede medir campos magnéticos entre 1×10−3 T y 1 T, con una incertidumbre de 0.5×10−3 en las medidas cuando se utiliza el transductor de efecto Hall THS119. La máxima desviación en las medidas de campo magnético realizadas en condiciones similares no superó el 3.5% en el peor de los casos. El teslámetro cumple con los requerimientos básicos para trabajo en un laboratorio de magnetometría o ciencia básica, su arquitectura es simple, tiene un bajo costo comparado con el de los teslámetros comerciales y es altamente reproducible gracias al fácil acceso a sus componentes en el mercado local.
1 http://www.phywe.com/460/apg/311/Magnetostatics,-Magnetic-Field.htm
2 http//:www.gmw.com/magnetic_measurements/Group3/DTM-133_Specs.html
3 http://www.pasco.com/prodCatalog/SF/SF-7579_tesla-meter/\#specificationsTab
References
[1] S. A. Macintyre, ''Magnetic field measurement,'' CRC Press LLC, p. 18, 1999. [Online]. Available: http://engineering.dartmouth.edu/dartmag/docs/macintyre.pdf [ Links ]
[2] ''Infineon: Hall sensors in automotive applications.'' [Online]. Available: http://goo.gl/913GzC [ Links ]
[3] D. J. Hall, ''Robotic sensing devices,'' Carnegie-MellonUniversity, p. 46, 1984. [Online]. Available: http://goo.gl/3lIgi9 [ Links ]
[4] W. Burgei, M. J. Pechan, and H. Jaeger, ''A simple vibrating sample magnetometer for use in a materials physics course,'' American Journal of Physics, vol. 71, no. 8, pp. 825-828, 2003. [Online]. Available: http://scitation.aip.org/content/aapt/journal/ajp/71/8/10.1119/1.1572149 [ Links ]
[5] M. A. Peréz Garcia, J. C. Alvaréz Antón, J. C. Campo Rodríguez, F. J. Ferrero Martín, and G. J. Grillo Ortega, Instrumentación Electrónica. Thompson, 2005. [ Links ]
[6] R. G. Jackson, Novel sensors and sensing. CRC Press, 2004. [ Links ]
[7] ''Toshiba: Ths119 gaas ion implanted planar type hall sensor.'' [Online]. Available: http://exp.as2.yamanashi.ac.jp/openlab/apparatus/manual/THS119.pdf [ Links ]
[8] ''Burr brown products: Ina129 precision, low power instrumentation amplifiers.'' [Online]. Available: http://www.ti.com/lit/ds/symlink/ina128.pdf [ Links ]
























