1 Introducción
Algunos estudios empíricos recientes de la criminalidad han permitido encontrar diferentes elementos dinamizadores del crimen al interior de un territorio, en los cuales sobresalen la motivación de los actores criminales y la percepción que tiene la comunidad sobre la victimización.
Dentro de los factores de motivación uno de los condicionantes más importantes, es utilizar la criminalidad como un mecanismo para obtener algunos recursos que no son visibles para los actores criminales debido al grado de privación socioeconómica que tienen en su hábitat. Y en muchas circunstancias el auto-sostenimiento de esta condición incrementan su vulnerabilidad y pobreza 1, y a su vez, la motivación por el crimen.
En materia de percepción, uno de los indicadores más sobresalientes es la organización social que posee la comunidad cuando está expuesta a altas tasas de victimización 2, puesto que a través de ella se pueden modificar las estrategias informales de control social y con ello repeler al crimen. Este tipo de acción ha sido estudiada desde diferentes perspectivas den- tro de las cuales se resaltan: explosión demográfica, movilidad residencial, descomposición familiar, heterogeneidad étnica, entre otros 3),(4, los cuales fueron definidos y analizados por muchos autores desde la teoría del desorden social 5.
Dentro de los principales elementos que menciona la teoría del desorden social se ubica la carencia de una cultura o cohesión de las comunidades donde se presentan estos patrones de criminalidad. En consecuencia de ello se resalta la importancia del capital social acumulado al interior de los diferentes grupos residentes como lo establece 6, quien manifestó que éste contribuye al fortalecimiento de la organización social mediante: la confianza, normas de convivencia, y redes (sociales o personales) que pueden mejorar eficientemente la sociedad a partir de acciones facultadas y coordinadas entre los individuos, para generar diferentes controles sociales informales de convivencia al interior del territorio.
La agudización de la victimización también puede afectar profundamente la concepción del nivel y la configuración del capital social, puesto que puede propiciar el surgimiento de redes sociales de criminales con gran cobertura al interior de territorio 7. Estas redes son más visibles para los jóvenes, puesto que les permiten lograr un ascenso rápido en esa estructu- ra, como también la obtención de una serie de beneficios propios de dicha posición, a esto 8),(9 denominó capital social negativo. Además de esta definición 8),(9 agregaron que estas redes en caso de tener conexiones con dependencias estatales, se pueden transformar en una estructura de crimen organizado.
Otro referente teórico importante que permite estudiar los componen- tes de la criminología es la teoría de las actividades rutinarias propuesta por 10, mediante la cual se pretende identificar las condiciones de vulne- rabilidad (de ser víctima directa o indirecta del crimen) en las actividades cotidianas al interior de las comunidades, y la forma cómo los actores criminales las pueden convertir en oportunidades para el crimen. Estas actividades involucran lugares de vivienda, trabajo, estudio, diversión, además de la movilidad de los mismos 11),(12), (4. Estos elementos al final le permiten al criminal establecer patrones comportamentales similares a los residentes para no ser fácilmente detectado.
A pesar de existir un alto grado de vulnerabilidad (de ser víctima directa o indirecta del crimen), estas comunidades generan mecanismos de cohesión para protegerse ante el crimen, especialmente en las zonas defendibles, porque en ellas se concentran la experticia, objetivos, facilidad de acceso, entre otros elementos que resultan ser favorables para el actor criminal 9. Otro de los aportes importantes de esta teoría es el análisis espacial del crimen articulado con factores socioeconómicos, y por tanto modifica la conceptualización teórica del criminal definiéndolo "como un individuo amoral y asocial que hace una valoración costo-beneficio de evadir los mecanismo de control del crimen y actúa como consecuencia" 12.
Aunque existe una clara separación de ambas teorías, algunas investigaciones han logrado articularlas en una sola estructura metodológica. Situación que ha permitido ampliar los factores sociales, económicos y espaciales que convergen en los lugares con altas tasas de criminalidad, con el objeto de estudiar de una manera más amplia la influencia de éstos en el comportamiento del actor y de la comunidad. Una de esas investigaciones fue propuesta por 12, con la cual se analizó los patrones espaciales del crimen en Bogotá, y la diferenciación de las tasas de criminalidad de acuerdo a la organización y a las actividades rutinarias de la comunidad. Aunque estos hallazgos obtenidos fueron muy importantes, no alcanzan a estudiar la influencia de estos aspectos en el comportamiento del actor criminal de forma individual o grupal, y con ello edificar mejores programas de atención.
Por tanto, el presente artículo propone estudiar la incidencia de la cohesión social y la victimización en el comportamiento de los actores criminales. A partir de un modelo híbrido de agentes computacionales inteligentes y análisis de redes sociales. El modelo basado en agentes 13, fue fundamentado en el enfoque de comportamiento humano de inteligencia artificial llamado PECS (Physis, Emotion, Cognitive, Social) 14 con el cual se pueden modelar diferentes motivaciones, percepciones, y conocimientos que son característicos del comportamiento de los criminales.
Mediante el Análisis de Redes Sociales, se estudiarán las interacciones sociales que construyen y dinamizan al interior de las comunidades la cohesión social de acuerdo a la agudización y reducción de la victimización en un determinado lugar.
Este artículo consta de cuatro secciones más. En la siguiente sección 2, Metodología del estudio, se realiza una caracterización de la cohesión social, y su correlación con los lugares que poseen altas tasas de criminalidad. En esa misma sección se presenta la forma cómo se modelaron las comunidades a través de la topología y métricas de las redes sociales. Aunado a la presentación del modelo PECS, con sus atributos en cada dimensión, de acuerdo a las condiciones del actor criminal. En la tercera sección se presentan los resultados la discusión de los mismos.
Metodología
2.1 Cohesión social y su relación con la criminalidad
La cohesión social es uno de los principales indicadores de la organización social - comunitaria en escenarios que poseen alta criminalidad. El mismo ha sido analizado por varios autores mediante la aplicación de diversos instrumentos sociales, económicos y demográficos. Se destacan trabajos como 15),(16 quienes utilizaron la percepción y el conocimiento de las actividades entre los vecinos de una comunidad, ya que al poseerlos se pueden generar nexos sociales que contribuyen al fortalecimiento de la sensación de seguridad al interior del territorio 5),(17. En 18 se propuso la incorporación de variables sociodemográficas para estudiar la integración social en los vecindarios de Penang en Malaysia, y se encontró una fuerte relación entre las comunidades con altos índices de criminalidad y su heterogeneidad étnico/racial, y religiosa. 15 y 18),(19 plantean que la de cohesión social debe integrar elementos culturales que propendan al desarrollo de estrategias comunitarias para mitigar el crimen y reducir la victimización de la misma. En 20),(21),(22 se ha utilizado la cohesión social como la interacción entre las distancias social y geográfica de los individuos dentro de un territorio, especialmente para la edificación de diferentes tipos de comunicación al interior de los grupos sociales residentes.
A pesar de estos aportes, muy pocos investigadores han tratado la cohesión comunitaria como producto de las interacciones entre los nexos sociales básicos de los residentes. Los cuales a su vez, propenden a la creación de redes sociales como resultado de la agudización de la criminalidad. Uno de los trabajos más sobresalientes bajo este enfoque es la recopilación de varias autores presentada en 23, quienes encontraron diferentes formas de cohesión social a través de estrategias familiares denominadas Estrategias de Compromiso Familiar (Family Engagement Strategies, FES, en inglés). Su principal objetivo es generar medidas de prevención y no de control 23, para las familias que se encuentran en alto riesgo, generado por una agudización de la criminalidad, expendios de drogas, arrestos, violencia in- trafamiliar, entre otras formas de comportamiento antisocial 23. También se integran algunas entidades de gubernamentales como la policía, razón por la cual también se les conoce como la tercera parte policial (Third Part Police (TPP) en inglés).
Dentro de los casos más exitosos se encuentra el programa Queensland Police Service (QPS) en Brisbane Australia, con el cual se logró reducir las problemáticas generadas por la delincuencia juvenil y los problemas intrafamiliares al interior de la zona. Todas estas acciones y actividades aunque nacen como medidas de control informales han creado relaciones más gran- des y densas con las autoridades. Las cuales a su vez, han propiciado la edificación de medidas de control suscritas en un marco legal. Otro factor de éxito de estas medidas de coerción se debe al incremento de cohesión que tienen estas asociaciones de familias, ya que se reduce la distancia entre los vecinos y se incrementa la interacción social, eficacia colectiva, y el sentido de pertenencia de forma directa y/o indirecta. 24),(25
2.2 Representación de las relaciones sociales, ante el crimen, en una comunidad
Para la representación de la comunidad en esta investigación se utiliza una topología de red social, teniendo en cuenta el efecto de pequeño mundo. Esta topología de red se caracteriza por tener un alto nivel de clusterización (o coeficiente de agrupación) y una distancia promedio entre nodos muy pequeña, indicadores que emergen a causa de la fortaleza social que tienen los nodos de la red. Además de estos dos indicadores, este tipo de red posee un alto valor de densidad (cantidad de enlace entre los nodos de la red) como las que se encuentran en algunos vecindarios o localidades que tienen buenas estrategias de control informal de la criminalidad y su victimización. Para la construcción de este efecto en la red en esta investigación se utiliza el experimento propuesto por 26, pero con los ajustes realizados en 27 y 28, para obtener resultados tan importantes como 23.
Para lograr emular el comportamiento de la comunidad del trabajo de 23, en esta investigación, es necesario establecer la posibilidad de generar nuevos enlaces sociales entre los nodos mediante el valor de p. Donde p se define como la probabilidad de interacción entre los nodos i y j , y su valor proviene de un generador de variables aleatorias , que a su vez procede de una distribución triangular.
Por tanto el valor de la función de densidad f (r) y el valor de probabilidad p en la vecindad de r, esta definido entre 0 ≤ r ≤ 1, y está dado por la Ecuación (1).
Donde f (r), es la función de densidad triangular calculada en r, y el ∆r , es el valor de la vecindad en r. Con este valor de probabilidad calculado por p se añade una nueva conexión entre los nodos de la red, tomando en cuenta las características presentadas en 26),(28:
El número de caminos cortos (shortcuts)
está definido por :
Donde L es la distancia entre los nodos, k es el número de vecinos que tienen los nodos.
El grado promedio de la red µ es:
Donde m, es el número de vértices de la red
El coeficiente de clúster C es:
En (4), C es el coeficiente de clúster o agrupamiento que tienen los nodos de la red, y cuyo valor depende de la probabilidad p y k . A medida que p se acerca a uno, se reduce el valor de C, pero aumentan los caminos cortos entre los nodos de la red, efecto característico de un grafo aleatorio. Este incremento de los caminos cortos reduce la distancia social entre los individuos, y como consecuencia se aumenta la cohesión social de éstos en la red.
Durante el proceso de incremento de los caminos cortos y la reducción de la longuitud L entre los nodos, conforme varía el valor de p, en L se resaltan dos comportamientos importantes para la cohesión social de los nodos de la red. Para valores pequeños de p, L cae linealmente, pero para valores grandes, su caída es logarítmica, como consecuencia del incremento de los nuevos caminos cortos o shorcuts como se muestra en 26) y 27.
2.3 Modelo de comportamiento PECS
El modelo PECS fue creado por 14, y es una de las arquitecturas más utilizadas para el modelado de características humanas que están presentes al momento de la toma de una decisión, desde una perspectiva computacional. Este modelo considera cuatro elementos principales y tres secundarios, con el objeto de realizar la toma de decisiones desde un enfoque más motivacional que el racional propuesto en 11, y conocido como enfoque BDI (Belief Desires Intentions). En la Figura 1, se presentan los componentes de la arquitectura PECS:
En esta investigación, este modelo se utiliza para representar los procesos presentes (percepción y memoria de victimización) en la toma de decisión de un criminal tanto en la selección del objetivo como en el espacio geográfico donde éste se encuentra. En ese sentido, la configuración de los componentes de esta arquitectura en este trabajo se presenta a continuación:
2.3.1 Sensor Es el encargado de captar las variables que están al exterior del agente. En esta sesión ocurren dos procesos de sensado. El primero corresponde a la información visual, la cual es obtenida de la posición donde se encuentra ubicado el agente. El segundo, corresponde a la información audible que es obtenida del entorno social donde se encuentra ubicado el agente 14.
Para el agente que representa al criminal en esta investigación, el sistema de sensado está compuesto de ambas partes. Con la parte visual se obtiene la información del sitio donde él está ubicado actualmente. Como resultado de este proceso se obtiene la percepción de cohesión social, además de la lectura de victimizaciones pasadas. El componente audible le permite seleccionar un lugar potencial donde se podría encontrar un objetivo de victimización, de acuerdo a la información que circula al interior del grupo criminal al cual pertenece (sus pares).
2.3.2 Percepción (Perception) Es la fase encargada de realizar el filtrado de la información visualizada y audible del agente. Además de acondicionarla y distribuirla dentro del sistema cognitivo y social en forma bidireccional.
2.3.3 Físico (Physis) Es el componente que maneja toda la parte material que utiliza el agente para interactuar 14. En el caso del criminal, está compuesta por dos atributos denominados grupo y estado. El grupo, es un identificador mediante el cual se pueden representar las diferentes organizaciones delincuenciales o criminales, y por tanto los agentes que posean el mismo valor en dicho identificador serán reconocidos como integrantes del mismo. El atributo estado, se utiliza como un indicador del componente emocional (ver sección 2.3.4 siguiente).
2.3.4 Emocional (Emotion) Se encarga de manejar el estado emocional de los agentes. Para el modelo PECS el componente emocional está basado en el modelo de 29),(30, quienes plantean que las emociones son la emergencia de un consenso de diferentes factores, asociados con la manera que el sistema cognitivo procesa información.
Además de estos elementos, la presente investigación articuló algunos principios emocionales que surgen en condiciones de vulnerabilidad (de ser víctima directa e indirecta del crimen), como lo propuesto por 30, y en el cual se agrega que el componente motivacional está altamente relacionado con la interacción entre el sistema cognitivo y emocional de los individuos. Característica que es de vital importancia cuando se incrementa la victimización en una población, y se requiere un cambio en la cohesión social de la comunidad.
Los estados emocionales de los criminales han sido almacenados en el atributo estado y tiene dos valores. El primero denominado "crimen", corresponde al estado de exploración y detección de un objetivo criminal. El segundo denominado "pausa", corresponde al estado de reposo o inactividad del agente; ya que una vez el criminal ha cometido el delito, decide ocultarse o esperar por un tiempo hasta que se tengan las garantías para volverlo a cometer.
La configuración del componente cognitivo, se realiza a partir de la memoria de victimización, la cual surge de la acumulación de estos eventos durante la simulación del modelo que se presenta en el epígrafe 2.3.5. Situación similar ocurre con el componente social.
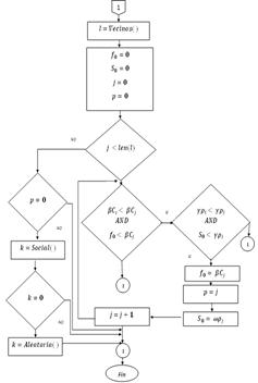
2.3.5 Modelo propuesto Para la integración de las dos estructuras (topología de red social y el modelo PECS) se han propuesto dos algoritmos (ver Figura 2 y 3).
El primer algoritmo que ejecuta representa la toma de decisión del agente (el criminal) para victimizar a la población, donde:
T: Es el periodo de la simulación.
Cg : Coeficiente de clúster de la red.
: Cantidad de víctimas en el nodo.
Ci: Coeficiente de cluster del nodo i.
ρi: Tasa de victimización del nodo i. (cantidad de víctimas i/total de población del nodo i). En un tiempo n, donde n ∈ T .
ǫ: Es el umbral mínimo de cohesión social, que posee el lugar i, para generar una victimización.
ω: Es el umbral mínimo de victimización, que posee el lugar i, para generar una victimización.
P oi Población total residente en el nodo i.
Vi: Cantidad de víctimas residentes en el nodo i.
ts: Es el tiempo en el que un agente criminal genera una victimización.
τ Es el tiempo de espera o pausa para que el agente criminal genere una nueva victimización.
σ: Es el número de víctimas por día, de cada agente criminal.
Para que el agente genere una victimización, el primer paso es verificar en qué estado se encuentra a través del atributo estado. Si su valor es igual a "pausa", el agente no se siente motivado por cometer un delito, puesto que previamente ya lo generó y decide ocultarse para no ser detectado por la comunidad o fuerza pública. La Ecuación (5) define el momento de cambio en el atributo de estado.
Cuando el agente supera el estado de "pausa", inmediatamente pasa a modo "crimen", y en ese momento analiza cómo está la cohesión social al interior del lugar donde se ubica, según el coeficiente de clúster Ci , y la memoria de victimización generada por ρi .
Si el agente encuentra las condiciones adecuadas (de acuerdo a los va-lores de
y ω ) en los elementos previos, entonces el genera σ de víctimas en ese día. El instante en el que se comete ese crimen es capturado en el atributo ts
para determinar el punto de inicio del estado "pausa", del cual solo se pueda salir cuando se cumpla la Ecuación (5).
En caso que la cohesión social y la victimización de lugar i no cumplan con los umbrales
y ω , el agente se ve obligado a seleccionar otro lugar objetivo. La toma de decisión se ilustra en el algoritmo presentado en la Figura 3.
Los movimientos de los agentes criminales, generalmente se realizan en lugares presentes en su memoria de victimización, porque en ellos está el conocimiento de las costumbres u hábitos de la población objetivo a victimizar 11),(12, y por ello, los sitios con mayor visibilidad son los lugares vecinos al lugar i. Esta vecindad, está dada por las relaciones sociales que se comparten en la comunidad y no por distancia geográfica.
Para articular todos los elementos de vecindad, se implementó la función Vecinos ( ), que es calculada a través de las conexiones sociales desde i hasta j, en la matriz de adyacencia Xij . Donde el valor de uno significa que hay conexión y cero su ausencia. Obteniéndose así, un listado de posibles nodos hacia donde este se puede desplazar.
A pesar de poseer algunos elementos de adyacencia que facilitan su movilidad, no todos estos lugares son idóneos para victimizar la población. Por ello, cada sitio es sometido a una evaluación que es propia de la percepción del agente criminal mediante las variables β y γ. β, es el índice esperado de cohesión social del sitio de destino j. Entre más bajo su valor, mayor será la atracción hacia este destino. γ, es el índice de victimización esperado en el sitio j, este valor cobra más importancia si existe un alto grado de victimización en ese lugar. Así, los valores de β y γ en principio cumplen la siguiente condición.
Cuando el agente criminal, detecta que los lugares vecinos no poseen un balance en los condicionantes previos, toma su decisión mediante la información audible en su componente social. Esta selección es ejecutada por la función Social ( ), y consiste en evaluar todos los sitios donde se encuentran otros agentes criminales que pertenecen a su mismo grupo. Los cuales a su vez deben poseer un balance adecuado de cohesión - victimización atractivo para desplazarse. En caso que esta selección no sea satisfactoria, el agente realizará un movimiento aleatorio mediante la función Aleatoria ( ), la cual selecciona aleatoriamente uno de los nodos vecinos a la posición actual del agente, de tal manera que aunque no pueda realizar una victimización, este movimiento le permita evaluar lugares que antes no eran visibles desde su posición y en los cuales pueda realizar su objetivo de victimización.
3 Pruebas y resultados
Para estudiar el impacto de la cohesión social y la victimización en el comportamiento de un criminal mediante un modelo basado en agentes se exploraron dos escenarios en los cuales se modifican algunas de las carac- terísticas mencionadas en los trabajos de 2),(23) y 5.
3.1 Escenario I
El propósito del escenario I, es estudiar la influencia que tiene la memoria de victimización de los agentes para seleccionar el lugar donde pueda alcanzar su objetivo. Para observar la influencia de este condicionante en la toma de decisión del agente criminal, se exploraron dos estructuras. En la primera, se incorporaron a cada uno de los nodos de la red, valores bajos de Vi (Cantidad de víctimas residentes en el nodo en relación a la cantidad de habitantes que posee el nodo i). En la segunda, se tomaron los resultados de la simulación anterior (la cual se inició con valores bajos de Vi ), como valores iniciales de la segunda simulación.
Además, se asignó un valor γ mayor a β, mientras que n ≤ T , au- mentando el número de conexiones según la probabilidad calculada en la Ecuación (1), reduciéndose la distancia social según la Ecuación (2), al mismo tiempo que se mantiene un grado promedio de interacción con los vecinos según la Ecuación (3), y finalmente incrementado la cohesión social de acuerdo con la Ecuación (4). Los parámetros asignados se presentan en la Tabla 1.
En la presentación de los resultados se agruparon los días en meses, con el objeto de visualizar el patrón comportamental de las decisiones que han tomado los agentes en ese periodo. Los resultados se presentan en la Figura 4 lado izquierdo.
Como uno de los hallazgos más importantes de esta primera simulación, se observa en la totalidad de los agentes criminales que decidieron usar como elemento de selección del destino la forma aleatoria. Esto significa que su decisión estuvo limitada a factores de cercanía en términos sociales de los lugares donde ellos residen, como se menciona en 10 y se enmarcan en la teoría de las acciones rutinarias.
En términos de la conexión entre los bloques del modelo PECS se destacan las interacciones entre: sensor, percepción y un bajo valor del componente cognitivo (relacionado con baja memoria de victimización), lo cual conlleva a que la selección del lugar esté altamente influenciada por una decisión aleatoria.
Además, la esta carencia de información con respecto a la victimización incrementa el riesgo de posibles capturas y generación de otros conflictos con su comunidad. Razón por la cual, éste prefiere desplazarse a lugares cercanos con los cuales está familiarizado y en los que pueda moverse sin ser fácilmente detectado. Los resultados de la segunda estructura se presentan en la Figura 4 lado derecho.
Estos resultados poseen grandes diferencias, la comparación de la gráfica del lado izquierdo y derecho, la decisión aleatoria se reduce casi totalmente. Otro elemento novedoso de este análisis, es la aparición del componente social con una pequeña participación al inicio de la simulación. Lo que permite intuir que a los agentes criminales no les atraen lugares en los cuales se concentre la competencia entre pares, porque estos podrían reducir los beneficios obtenidos por el crimen.
La decisión que mayor participación tiene en este escenario es la "personal", demostrando con ello que la interacción más fuerte se genera en los componentes percepción-cognitivo en la arquitectura PECS como se plantea en 7 y 2. Quienes mencionan que los criminales normalmente prefieren lugares con mayores repositorios de información sobre la victimi- zación, porque eso garantiza en gran medida el alcance de su objetivo en ese lugar.
La importancia de estos componentes en la toma de decisión, se puede observar en el trabajo de 31, quien denominó a estas zonas cómo barrios peligrosos. Los cuales se caracterizan por tener altas de criminalidad, como consecuencia de la experiencia acumulada de eventos criminales pasados. Situación que también se potencializa por la gran influencia que tienen las variables del estado físico de estos barrios, para la configuración de dicho comportamiento.
3.2 Escenario II
El propósito del escenario II es analizar la influencia de la cohesión social en el comportamiento de los agentes criminales. Para ello, al igual que en el escenario I, se analizan dos estructuras de Vi (valores inferiores y superiores de Vi ). Dado que se quiere dar mayor importancia a la percepción de la cohesión social del sitio j, se asigna un valor β mayor a γ, sin que necesariamente desaparezca el valor de γ. Pero la diferencia entre ambos (β y γ es menor que en el escenario I), puesto que la presencia de ambas es muy importante como lo plantean 23 y 5. Ya que se puede tener victimización sin hablar de cohesión social, pero no se puede hablar de criminalidad y su relación con la cohesión social sin considerar a la victimización.
Mientras que n ≤ T , se realizan los mismos procesos descritos para el escenario I, con la distancia social, la interacción promedio entre los vecinos y el clúster calculados según las Ecuaciones (1), (2), (3), (4). Los parámetros asignados a este escenario se presentan en la Tabla 2.
Los resultados para esta primera estructura del escenario II se presentan a continuación.
El resultado para esta primera estructura del escenario II es totalmente diferente a la primera estructura del escenario I, puesto que desde un primer momento es el componente cognitivo quien influencia la decisión del agente. Evidenciando con ello, que las comunidades con carencia de facto- res derivados de la cohesión social (como la eficiencia colectiva, distancia
social, intervención de los vecinos, y sentido de pertinencia) son más pro- pensas a tener mayores tasas de criminalidad, como se manifiesta en 2),(5) y 16.
Otro elemento interesante que se puede analizar de estos resultados, en referencia a la preferencialidad de los agentes por lugares con baja cohesión social es el impacto que tiene la baja tasa de difusión de información a través de las redes sociales internas, lo que no permite conocer la victimización de forma directa e indirecta entre los residentes. Puesto que la criminalidad pasa desapercibida, siendo este factor un elemento determinante en el incremento de la atracción del criminal por dicho lugar.
En la segunda estructura del escenario II se analiza la cohesión social de la comunidad con valores altos de victimización. Los resultados se presentan en la Figura 5 (lado derecho).
Al igual que la primera estructura de este escenario, el componente más importante en la toma de decisión es el cognitivo, con la única diferencia que la decisión aleatoria desaparece totalmente.
Con los resultados de esta última simulación se evidencia que los controles informales que subyacen dentro una comunidad como consecuencia de la cohesión social, son determinantes en el comportamiento del agente. Lo cual puede ser de gran utilidad en el desarrollo de políticas públicas en materia de seguridad, especialmente en comunidades que poseen altas tasas de victimización como se presentan en 23.
En contraste con los resultados del escenario I, se puede observar que las victimizaciones pasadas tienen mayor influencia, cuando la percepción del agente criminal sobre la cohesión social es baja. Por tanto, como lo menciona 2 la victimización se nutre principalmente de la distancia social e interacción social comunitaria.
De manera similar, en ambos escenarios la influencia en la toma de decisión de los agentes a través de sus pares es muy baja, con lo cual se puede inferir que los agentes prefieren lugares con bajas tasas de competitividad entre los mismos, especialmente para crímenes como robos residenciales (entre otros tipos de hurtos), como lo mencionan 7 y 13.
4 Conclusiones
Las características de las dimensiones del modelo de comportamiento PECS utilizadas en el desarrollo de esta investigación lograron articular tanto los elementos sociales y demográficos, como las interacciones que dinamizan las tasas de criminalidad en algunos lugares.
Se simularon dos escenarios. En el primero se estudió la influencia que tiene el nivel de memoria de victimización en los agentes para seleccionar el lugar donde pueda alcanzar su objetivo, considerando un bajo nivel de cohesión social. En el segundo escenario se analizó la influencia de una alta cohesión social con diferentes niveles de memoria de victimización. Los cuales presentan importantes similaridades con los trabajos mencionados en la discusión de los resultados.
Los resultados obtenidos con esta investigación, además de incorporar y visualizar resultados consistentes con las principales teorías criminológicas, muestran que la sinergia de redes sociales y modelos basados en agentes permiten emular la complejidad de los principales factores de motivación y acción de los criminales.


























