Services on Demand
Journal
Article
Indicators
-
Cited by SciELO -
Access statistics
Related links
-
Cited by Google -
Similars in
SciELO -
Similars in Google
Share
Entramado
Print version ISSN 1900-3803
Entramado vol.8 no.1 Cali Jan./June 2012
¿Fue eficiente la asignación de recursos en el suministro de agua potable en el departamento de Bolívar - Colombia en el periodo 2007-2008?1
Was there an efficient allocation of funds for drinking water supply in the state of Bolivar, Colombia, in the period 2007-2008?
Foi eficiente a alocação de recursos ao abastecimento de água potável no departamento de Bolívar, Colômbia, durante o período de 2007-2008?
Francisco Javier Maza Ávila*
Jorge Luis Navarro España**
Joaquín Guillermo Puello Payares***
*Especialista en Gestión Gerencial, Universidad de Cartagena, Cartagena de Indias, Colombia. Magíster en Economía y Desarrollo Territorial de la Universidad de Cádiz, España. Director del grupo de investigación en Estudios para el Desarrollo Regional de la Universidad de Cartagena. Asistente e investigador, Vicerrectoría de Investigaciones de la Universidad de Cartagena-Colombia.
fmazaa@unicartagena.edu.co
**Magíster en Gestión y Políticas Públicas de la Universidad de Chile. Docente de jornada completa y Director de la Escuela de Economía y Administración de la Universidad Industrial de Santander, Bucaramanga, Colombia.
jnavarro@uis.edu.co
***Especialista en Gestión Gerencial, Universidad de Cartagena, Cartagena de Indias, Colombia. Jefe sección de Asesoría de Proyectos, Vicerrectoría de Investigaciones de la Universidad de Cartagena, Colombia.
joaquinpuello@yahoo.es
• Clasificación JEL: Q25, R58, D24, M11
Fecha de recepción: 01-03-2012 Fecha de corrección: 02 -05-2012 Fecha de aceptación: 17-05-2012
Resumen
La Constitución Política de Colombia promulga, en su artículo 365, que "Los servicios públicos son inherentes a la finalidad social del Estado. Es deber del Estado asegurar su prestación eficiente a todos los habitantes del territorio nacional..."; en el caso del agua potable y el saneamiento básico, la responsabilidad de velar por la prestación eficiente del servicio recae en los entes municipales y departamentales, quienes financian dicha labor con los recursos que el Estado transfiere a través del Sistema General de Participaciones, según lo establecido en la Ley 715 de 2001. El propósito de este artículo consiste en analizar la eficiencia, mediante el Análisis Envolvente de Datos- DEA, de los 45 municipios del departamento de Bolívar (Colombia) en el suministro de agua potable a sus habitantes durante el periodo 2007 - 2008, a partir la información sobre la inversión total en agua potable y el promedio mensual del número de horas de prestación del servicio, suministrada por cada ente territorial al Departamento Nacional de Planeación- DNP. Los resultados de dicho análisis para el periodo considerado muestran que menos del 20% de los municipios bolivarenses se encuentran en la frontera de eficiencia.
Palabras clave: Servicio público, agua potable y saneamiento básico, eficiencia, Análisis Envolvente de Datos.
Abstract
Article 365 of the political constitution of Colombia states as follows: "Public utilities are inherent to the social objectives of the state. It is the responsibility of the state to ensure efficient provision of these services to all citizens in the national territory....". In the case of drinking water and basic sanitation, the responsibility for seeing to the efficient provision of services falls on the municipal and departmental agencies, which finance these works with government funds from the general participation system in accordance with the provisions of Law 715 of 2001. The purpose of this paper is to review efficiency in the provision of drinking water supply to people in 45 municipalities in the state of Bolivar, Colombia, in the 2007-2008 time period, based on a Data Envelopment Analysis (DEA) using information about total investment in drinking water and the monthly average of hours of service supplied by each territorial agency to the National Planning Department (DNP, for its Spanish acronym). The results of the review of that period reveal that fewer than 20% of the municipalities in Bolivar have met the minimum threshold of efficiency.
Keywords: Public utilities, drinking water and basic sanitation, efficiency, Data Envelopment Analysis.
Resumo
A constituição política da Colômbia promulgou, em seu artigo 365, que "Os serviços públicos são inerentes ao propósito social do Estado. É dever do Estado garantir sua prestação eficiente para todos os habitantes do território nacional...". No caso da água potável e do saneamento básico, a responsabilidade de assegurar a prestação eficiente dos serviços pertence às autoridades municipais e departamentais, que financiam esse trabalho com os recursos que o Estado transfere através do Sistema Geral de Participações, conforme definido na Lei 715 de 2001. O propósito do presente artigo consiste em analisar a eficiência, a través da Análise por Envoltória de Dados (DEA), dos 45 municípios do departamento de Bolívar (Colômbia) no abastecimento de água potável a seus habitantes durante o período de 2007 - 2008, a partir de informações sobre o investimento total em água potável e o número médio mensal de horas de prestação do serviço, fornecida por cada autoridade local para o Departamento Nacional de Planejamento (DNP). Os resultados dessa análise para o período considerado mostram que menos de 20% dos municípios bolivarianos se encontram na fronteira da eficiência.
Palavras-chave: Serviço público, Água potável e saneamento básico, Eficiência, Análise por Envoltória de Dados.
Introducción
El agua es un recurso natural no renovable, actualmente convertido en un bien estratégico y diferenciador de las naciones, ya que contribuye a satisfacer sus necesidades básicas, además de dinamizar el desarrollo empresarial de los diversos sectores de una economía. La demanda y su uso inadecuado se han convertido en unos de los principales problemas en el mundo ya que, según la Organización de Naciones Unidas (2008), su demanda ha crecido más del doble que la tasa de crecimiento demográfico en el último siglo, lo que ha provocado que más de 1.200 millones de personas vivan en condiciones de escasez física de agua. Esta situación ha generado que uno de los ocho Objetivos del Milenio planteado por la Organización de Naciones Unidas esté orientado a garantizar la sostenibilidad del medio ambiente y que, a su vez, una de sus metas esté definida en reducir a la mitad, para el año 2015, el porcentaje de personas sin acceso sostenible a agua potable y a servicios básicos de saneamiento (ONU, 2008).
El agua y su acceso (tanto en cobertura como en calidad) ha sido un tema de mucha importancia para el Estado colombiano; de hecho, en la Constitución Política de 1991 se estableció que los servicios públicos son inherentes a la finalidad social del Estado y es deber de sus instituciones asegurar su prestación eficiente a todos los habitantes del territorio nacional; establece, además, que un objetivo fundamental es la solución de necesidades insatisfechas en saneamiento ambiental y agua potable.
El Estado colombiano, para asegurar una distribución efectiva de sus recursos económicos a sus entes territoriales, estableció la Ley 715 de 2001, con la cual se conforma el Sistema General de Participaciones-SGP; en él se determinan los montos y el procedimiento de destinación de los recursos para el sector de la salud, sector educativo y para los servicios de agua potable y saneamiento básico de los entes territoriales. Por su parte, el sector de agua potable y saneamiento básico, fundamenta su estructura organizacional en la separación entre las funciones de formulación de la política, la regulación y el control, por el Gobierno Nacional, y la responsabilidad de los entes territoriales de asegurar una prestación eficiente y de calidad de estos servicios. Asimismo, y como complemento de la legislación anteriormente citada, el Estado colombiano ha establecido los siguientes marcos normativos:
- Ley 142/94: Por la cual se establece el régimen de los servicios públicos domiciliarios y se dictan otras disposiciones.
- Ley 373/97: Por la cual se establece el programa para el uso eficiente y ahorro del agua.
- Decreto 475/98: Por el cual se expiden normas técnicas de calidad del agua potable.
- Decreto 3200/2008: Por el cual se dictan normas sobre Planes Departamentales para el Manejo Empresarial de los Servicios de Agua y Saneamiento y se dictan otras disposiciones.
Todos estos lineamientos legales coadyuvan a aumentar la cobertura y la calidad en la prestación del servicio de agua potable, a partir de la riqueza hídrica del país, evidenciada con la variedad de fuentes del recurso, entre ellas las aguas lluvias, aguas superficiales, aguas subterráneas, aguas termominerales, aguas marinas y oceánicas y aguas de alimentación glacial.
Dando cumplimiento a la normatividad establecida en la materia, los entes territoriales del país tienen la responsabilidad de estructurar estrategias direccionadas a mejorar la prestación del servicio de agua potable en sus jurisdicciones, para garantizar su sostenibilidad económica y ambiental; de ahí que el Departamento Nacional de Planeación - DNP solicite a estos entes la presentación de informes periódicos de la eficiencia en la aplicación de los recursos del SGP asignados al manejo de agua potable y saneamiento básico, y así establecer las acciones de mejoras en la prestación del servicio. El Departamento Nacional de Planeación-DNP ha sugerido que la estimación de la eficiencia se desarrolle mediante Análisis Envolvente de Datos -DEA por sus siglas en inglés-.
1. El servicio de agua potable después de la Ley 142 de 1994
A partir de 1991 el servicio de agua potable en Colombia pasó a considerarse como una industria (en sentido económico), y la prestación de éste como un bien económico. El hecho central de este período lo constituyó la expedición de la Ley 142 de 1994, "Ley del Régimen de Servicios Públicos Domiciliarios". Esta establece reglas en materia de regulación, operación, control y vigilancia. Asimismo, posibilitó la participación del sector privado. Otro de sus impactos consistió en definir las relaciones entre las empresas prestadoras del servicio y los usuarios. Finalmente estructuró las entidades administrativas y de control. Esta ley se aplica a los servicios de energía eléctrica, telecomunicaciones, gas natural, aseo, acueducto y alcantarillado.
La Ley también estableció que los operadores se podían constituir desde ese momento como sociedades por acciones, denominadas empresas de servicios públicos- ESP, pudiendo ser públicas o privadas. Las entidades oficiales que venían operando podían optar entre la anterior alternativa o transformarse en empresas industriales y comerciales del Estado. A las organizaciones de tipo comunitario, que hasta el momento operaban en municipios menores y zonas rurales, se les autorizó para seguir funcionando de esa forma.
1.1. La organización industrial del sector
En Colombia, uno de los problemas que más aqueja al sector es la falta de caracterización de la industria de agua como tal. A pesar que existen empresas que prestan el servicio en el país, éstas algunas veces están constituidas a medias y son muy heterogéneas. "La industria no se conoce con el detalle requerido para la regulación" (CEPIS y OPS-OMS, 1997). Luego, una de las características de la industria en el país es la permanencia de asimetrías de información y, por consiguiente, del problema agenteprincipal. Este problema ha tratado de solucionarse con la conformación de una base de información de la cual dispone la Comisión de Regulación de Agua Potable y Saneamiento Básico - CRA. Al parecer, se han presentado mejorías en este aspecto. Sin embargo, esta información es suministrada por las empresas, por lo que la presencia de estas asimetrías juega a favor de ellas.
En vista de la poca caracterización de la industria como tal, generalmente se dispone de estudios específicos en ciudades o de estudios que, aunque no actualizados, proveen información que caracteriza aspectos centrales de la industria y/o empresas particulares. Esta información de todas formas es dispersa, y cambiante en el tiempo. Por ejemplo, Avendaño, Piraquive y Vásquez (1994), encuentran que la industria tenía una estructura de costos bastante alta. Los sobrecostos laborales indicaban que esta era 1,24 veces más alto que el promedio del sector público y 0,76 veces más alto que el promedio del sector privado. Se estimaba que estos sobrecostos implicaban sacrificio de 0,9 puntos en la cobertura de acueducto y de 1,4 sobre la de alcantarillado.
Otra de los aspectos negativos es el alto volumen de agua no facturada, lo que inducía una pérdida de 0,79 puntos de cobertura anual (datos de 1992). Los costos medios por usuario de las grandes empresas en 1990 eran de $22.700 (U$39,91), mientras que para los municipios intermedios era de $12.000 (U$21,09) y U$4.900 (U$8,61)2 para los pequeños (CEPIS y OPSOMS, 1997).
En otro diagnóstico, DTTI (1998) identifica graves problemas de agencia. No es claro que exista concordancia entre los intereses de los usuarios (principal) y su agente (municipios y/o empresas públicas). Esto se origina en varios hechos a saber: municipios y concejales no siempre representan los intereses de la comunidad, entonces su rol de agente no es el mejor; en ocasiones no hay separación entre los roles de los municipios y las empresas de servicio público; no hay una delimitación clara del ámbito de las empresas; y no media una relación formal de los derechos y obligaciones entre empresas y municipios. Debido a esto, la Ley 142 instaura a la Comisión de Regulación de Agua Potable y Saneamiento Básico- CRA como un nuevo principal que debe proveer los incentivos para que los agentes persigan el deseable objetivo de la eficiencia.
DTTI, de igual manera, identifica problemas de captura de rentas monopólicas por parte de burócratas que demandan empleados para sus amigos, amigos de políticos que buscan obtener contratos, y sindicatos con compensaciones salariales por encima de los promedios nacionales. La estructura del sector está compuesta por tres segmentos: empresas multiproducto que poseen potenciales economías de escala y de alcance, empresas que no poseen economías de escala, y empresas de localidades urbanas menores y/o rurales. El primer tipo de empresa se caracteriza porque se cumple que:
para ∀δ=α+β donde "C" es el costo marginal total de largo plazo. Es decir, estas empresas pueden tener menores costos marginales de largo plazo debido a la suma de las economías de escala y de alcance. Alfa y beta pueden representar la producción de agua potable y alcantarillado, respectivamente, por lo que es deseable que las empresas que posean economías de escala y alcance presten los dos servicios simultáneamente. Puesto que los otros tipos de empresas no poseen economías de escala no logran costos decrecientes, lo que implica que en las zonas en donde operan se está renunciando a transferir al consumidor los beneficios de las economías de escala (DTTI, 1998). Esto, bajo el supuesto de un contexto regulado.
Luego de más quince años de aplicada la Ley 142, se han presentado avances en diferentes aspectos. Hoy la cobertura de agua potable y alcantarillado es más alta en el país, por encima del 85% (Ramírez y Ruiz, 2009). Pero no es menos cierto que aún persisten altos índices de agua no contabilizada (Salamanca, 2009). Y según lo expresado por la Contraloría General de la República (2001 y 2004), las empresas del sector entre 1995 y 2004 sobrefacturaron en términos reales, trasladando las ineficiencias a los usuarios. No obstante, se advierte que buena parte de este comportamiento se debe a un mal esquema de incentivos que provee el marco regulatorio.
Aunque ha habido avances en el sector, aún hay un retraso en las ciudades intermedias, municipios pequeños y zonas rurales. El caso del desabastecimiento de agua de Manizales, entre final de 2011 e inicio de 2012, es diciente. Para el caso del departamento de Bolívar, existen municipios como Turbaná, Carmen de Bolívar que padecen la falta de agua potable de manera dramática. Incluso han tenido que aliarse con municipios vecinos para conformar acueductos regionales, sin que esto haya dado frutos positivos. De ahí la importancia de adelantar estudios que midan la eficiencia y la productividad de los recursos invertidos en el sector.
2. Metodología
2.1. Selección del método3
Para medir y calcular la eficiencia de los procesos, en las organizaciones privadas y públicas, se usan los métodos econométricos y los de programación lineal. Los primeros implican métodos con restricciones que aseguran la rigurosidad de los resultados pero que, al mismo tiempo, los condicionan. Entre estas restricciones está la necesidad de conocer la verdadera forma de la distribución de los datos. Asimismo, estos resultados aspiran a estimar la "verdadera" función que representa el fenómeno estudiado. Por ello, también implican una serie de pruebas para validar las estimaciones hechas. En últimas, en términos de eficiencia se intenta estimar fronteras determinísticas o estocásticas.
De otro lado, los métodos de programación lineal, tratan de soslayar estas dificultades, no especificando la forma de la distribución de la población que se estudia. El método de programación más popular es el Análisis Envolvente de Datos (DEA). En este sentido:
- Permiten muchas generalizaciones.
- Es mucho más flexible que los métodos econométricos.
- Relajan el supuesto de convexidad de los conjuntos de posibilidades de producción.
- Por su generalidad y flexibilidad, pueden incorporar errores de medición y de variables no controladas.
- Los resultados se circunscriben solo a los datos analizados, y en ningún momento se puede hacer inferencias respecto al universo de datos.
- Los datos son los que determinan cuál es la función, y no se intenta estimar una función. En este sentido no se necesita establecer una forma funcional inicial.
- El método es sensible a la introducción o exclusión de datos. Ante un cálculo inicial, si se extrae o adiciona otra observación, el cálculo de la eficiencia variará.
- Así, es una medida relativa de la eficiencia de las observaciones consideradas.
- En este sentido, la eficiencia calculada puede ser baja âse consideraron observaciones de baja eficiencia-.
El método permite suponer rendimientos a escala o contantes y de ello, dependerá los resultados que se alcancen. Asimismo, los resultados pueden estar orientados a la producción o a los insumos. Los resultados arrojados implican una distancia porcentual respecto a la frontera que se estima con los datos disponibles. Las observaciones introducidas reciben el nombre de Unidades para la Toma de Decisiones, y se les designa por las siglas en inglés DMU (Decision Making Unit). La eficiencia se mide solo entre las DMU consideradas. A nivel de sector público, se debe escoger con cuidado las variables input y output, ya que muchos de los servicios del Estado no se valoran en el mercado. Por ello, es mejor tomar variables reales (físicas) y no nominales o monetarias. En caso que se valore los output de no mercado, el valor que resulta tiene un valor social. El método escogido para este estudio es el DEA.
El modelo implica que hay n DMU u observaciones. Cada una de éstas emplean m inputs diferentes para producir s outputs también diferentes. La DMUj utiliza una cantidad Xj = xij inputs (i = 1,..., m) y produce una cantidad Yj = ykj productos (k = 1,..., s). La matriz sxn (medida del producto) es designada por Y, y la mxn (medida de los inputs) se designa por X. También se asume que xij ≥ 0 y yk ≥ 0.
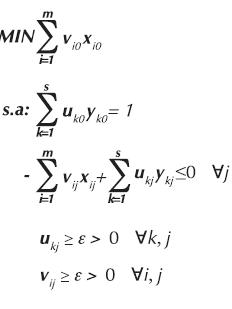
La evaluación de eficiencia que se consideró es la orientada a los outputs; Esta orientación se conoce como el modelo CCR-output (Charnes, Cooper y Rhodes, 1978). Este modelo se usa frecuentemente para medir la eficiencia en agencias estatales o públicas (Alvarado, 2006). Si se evalúa la eficiencia de una DMU particular, se construye el siguiente modelo a ser optimizado:
El correspondiente dual es como sigue:
2.2. Definición de las variables (inputs y outputs)
El Departamento Nacional de Planeación- DNP propuso dos productos para medir la eficiencia en el Aprovechamiento del Recurso Hídrico, Cobertura y Continuidad del Servicio en cada uno de los departamentos colombianos: 1) Metros cúbicos de agua producida (m3), que corresponde al agua producida en el sistema de acueducto4, medida a la salida de la planta de tratamiento de agua en el municipio estudiado durante el año de análisis y 2) Número de Usuarios del Servicio de Acueducto (Usuarios), que corresponde al número de personas naturales o jurídicas que se benefician con la prestación del servicio público de agua potable, bien como propietario del inmueble donde éste se presta, o como receptor directo del servicio; a este último se le denomina también consumidor.
Como primer insumo se ha definido la Inversión total en agua potable (Inversión) como toda la inversión en agua potable y saneamiento básico en que incurre el municipio para desarrollar actividades relacionadas con captación, conducción, tratamiento, distribución y facturación para los últimos tres años (información deflactada al último año de la evaluación), de conformidad con lo establecido en el artículo 78 de la Ley 715 de 2001 y el Decreto 849 del 30 de abril de 2002. Como segundo insumo, se ha definido el Número de horas de prestación del servicio (Horas), que corresponde al promedio mensual del número de horas de prestación del servicio de agua en cada municipio analizado5. En la Tabla 1 pueden observarse las variables que integran la función de producción de aprovechamiento del recurso hídrico, su cobertura y la continuidad del servicio.
2.3. Población de estudio
La población objeto de este estudio está conformada por la totalidad de los 45 municipios que integran al departamento de Bolívar. Se ha asignado el valor de cero (0) a aquellos municipios que no reportaron ante el DNP la información necesaria para la construcción de la función de producción. Los municipios con esta condición alcanzaron a ser 18 para el año 2007 y 12 para el año 2008. La información de cada municipio, utilizada para alimentar las variables del modelo fue obtenida de los datos consolidados y validados por la Oficina Asesora de Planeación del Departamento de Bolívar (gobierno departamental) para su presentación al Sistema de Información para la Captura de la Información Presupuestal - SICEP del Departamento Nacional de Planeación, para los años 2007 y 2008. La eficiencia técnica para cada año fue estimada empleando el software Frontier Analisyst (licenciado) en su versión 4.
Dado que no existe certeza respecto al tipo de retorno que exhibe la función de producción del proceso aquí tratado, para la estimación de la eficiencia se acude al modelo de retornos variables a escala. De otra parte, las DMU (los municipios) responsables del proceso considerado, no tienen la discrecionalidad en cuanto a la determinación del monto de los insumos que aplicarán al proceso productivo (Quesada, Blanco y Maza, 2010), sin embargo, su preocupación radica en la minimización del número de horas sin prestación del servicio, porque se acude a un modelo de minimización de insumos.
La Tabla 2 recoge el resumen estadístico de los datos, para los años en estudio, de las variables a incluir en el modelo para la función de producción de aprovechamiento del recurso hídrico, cobertura y continuidad del servicio.
3. Resultados
Para el año 2007 los resultados arrojan que de los 27 municipios analizados, 8 se encuentran entre los más eficientes en el aprovechamiento del recurso hídrico cobertura y continuidad del servicio, entre ellos Cartagena, Achí, San Pablo, Mompos y San Jacinto del Cauca; por su parte, la eficiencia de los restantes, salvo los municipios de Altos del Rosario, El Guamo y Santa Catalina, no supera el 77%. Entre ellos se encuentran Arjona, El Carmen de Bolívar y San Juan Nepomuceno, cercanos la a capital, y Magangué, este último el segundo municipio en importancia del departamento.
De los 33 municipios analizados para el año 2008, 7 alcanzaron su máxima eficiencia, entre ellos nuevamente Cartagena, Turbaná y San Pablo. Entre los menos eficientes se hallan San Juan Nepomuceno, Cantagallo y Santa Rosa del Sur, cuyas eficiencias no superan el 25%. Cabe anotar que de los ocho municipios que alcanzaron la eficiencia en el 2007, sólo tres mantienen esta condición. Por su parte, de los municipios que resultaron ineficientes en ese mismo año (especialmente por no reportar la información a tiempo para ser incluidos en la medición), cuatro de ellos logran la máxima eficiencia. En las Tablas 3 y 4 se resumen los resultados del análisis de eficiencia6.
Es interesante observar que sólo dos de los municipios eficientes (Turbaná y Turbaco) son cercanos a Cartagena, la capital del departamento, que también se encuentra entre los municipios eficientes para ambos años. En resumen, los resultados de la medición de eficiencia revelan que los municipios del departamento de Bolívar no utilizan eficientemente los recursos transferidos mediante el Sistema General de Participación- SGP para su inversión en el aprovechamiento del recurso hídrico, cobertura y continuidad del servicio. Tal como lo recomiendan Quesada, Blanco y Maza (2010), es necesario que los entes de control realicen una revisión tendiente a solucionar los problemas existentes y lograr así una mejor asignación de los recursos destinados para tal fin.
3.1. La mejora potencial
En este aparte, y conocidos los municipios (DMU) eficientes que sirven de referencia a los no eficientes, se puede calcular la mejora potencial individual que podrían lograr a partir de una mejor combinación de sus insumos y productos, con el fin de alcanzar la frontera de eficiencia. Este cálculo es realizado a este modelo empleando nuevamente el software Frontier Analisyst.
Las Tablas 5 y 6 recogen los resultados de las mejoras potenciales para los municipios evaluados. Allí puede observarse que, en promedio, existe un deterioro en la eficiencia entre el 2007 y el 2008 entre los municipios evaluados (65,7% vs 55,0%) lo que significa que, ante los recursos asignados, cada uno de ellos pudo minimizar el número de horas sin prestación del servicio de agua potable para ambos años, así como incrementar el número de metros cúbicos de agua potable, además del número de usuarios del servicio, pero no lo lograron y por tanto se convierten en ineficientes. Cabe destacar, sin embargo, que la ausencia de información para algunos municipios durante el año 2007 podría interferir en su comparación con los resultados para el año 2008. De acuerdo con lo expuesto en el párrafo anterior, en la Tabla 7 se recoge, a manera de ilustración, los valores actuales y potenciales de los productos Metros Cúbicos de Agua Producida (m3) y Número de Usuarios del Servicio de Acueducto (Usuarios), para los municipios incluidos en el análisis entre los años 2007 y 2008, así como sus mejoras potenciales.
Puede observarse que, en relación con el producto Metros Cúbicos de Agua Producida (m3), cinco de los trece municipios sujetos al análisis incrementaron su eficiencia, destacándose San Juan Nepomuceno y Cantagallo, quienes pasaron de una mejora potencial del 916,4% y 283,1% en el 2007, a una del 0% para ambos en el 2008. Los anteriores resultados contribuyeron a la disminución en el potencial de mejora para este producto (119,1% Vs. 59,35%). En cuanto al producto Número de Usuarios del Servicio de Acueducto (Usuarios), diez de los trece municipios disminuyeron notablemente su eficiencia, en especial Hatillo de Loba, Margarita y El Guamo, cuyas diferencias entre los potenciales de mejora superan el 590% de un año a otro (en el caso de Hatillo de Loba, esta diferencia sobrepasa el 1300%). Estos resultados incidieron en el incremento del potencial de mejora para este producto (46,0% Vs. 461,1%).
4. Conclusiones
En el presente artículo se ha evaluado la eficiencia de los municipios del departamento de Bolívar-Colombia, en el aprovechamiento del recurso hídrico, cobertura y continuidad del servicio para el periodo 2007 - 2008. Para ello se ha empleado el DEA como una metodología probada que ha resultado apropiada para realizar este tipo de evaluaciones (Cano, 2007). Uno de los principales aportes de este artículo ha radicado en lograr una comparación tanto de los cambios en condición de eficiencia como de las mejoras potenciales municipales entre ambos años de estudio, a partir de los municipios que reportan información para el periodo. Los resultados obtenidos arrojan que el desempeño municipal ha sido insuficiente para lograr la eficiencia en la asignación de recursos para tal fin, ya que los municipios eficientes no alcanzan a representar el 20% del total de municipios evaluados.
Lo anterior permite inferir que podría lograrse un mejor aprovechamiento del agua potable, así como mayor continuidad del servicio, a partir de los recursos destinados a nivel municipal vía Sistema General de Participación-SGP y con sus propios recursos, tal como lo evidencian las cifras del potencial de mejora entre el 2007 y el 2008 de los municipios no ubicados en la frontera eficiente. Le corresponde al departamento de Bolívar, amparado bajo el articulo N° 365 de la Constitución Nacional, la Ley 715 de 2001 y reglamentación subsiguiente, diseñar las estrategias necesarias para promover un mejor uso de los recursos asignados a cada uno de los municipios bolivarenses, para incrementar de esa forma la calidad en la prestación del servicio de agua potable y saneamiento básico.
Por último, y para el caso colombiano, los resultados obtenidos de la evaluación de la eficiencia municipal en el servicio de agua potable resultan de mucha utilidad para apoyar la gestión adecuada de los recursos públicos. Por ello, y dado que la mayor precisión en los resultados depende en gran medida de los datos disponibles, se recomienda a las instituciones que ejercen vigilancia y control en este sector velar no sólo por el cumplimento en la buena asignación del gasto, sino también a robustecer los controles necesarios para asegurar la captura de la información de todos los municipios, para garantizar así resultados más precisos.
Notas
1Artículo resultado del proyecto de investigación Medición de la eficiencia de los servicios sociales del departamento de Bolívar .
2Los valores en dólares corrientes se calculan a la tasa de cambio de 31 de diciembre de cada año.
3Esta sección se hace con base en Charnes, Cooper y Rhodes (1978), LopezCassasnovas (1994), Tan y Sheps (1998), Alfonso y Aubyn (2004), Alfonso (2005), DNP (2005), Simpson (2006), Gorgemans y Urbina, (2007), Mandl, Dierx e Ilzkovitz (2008) y Quezada, Blanco y Maza (2010).
4Conjunto de obras, equipos y materiales necesarios para efectuar los procesos que permitan cumplir con las normas de calidad del agua.
5Este insumo se tiene que reescalar para ser consistente con el modelo de minimización de insumos, es decir, minimizar el número de horas sin prestación del servicio.
6Es preciso anotar que, para el año 2008, el municipio de Mompos pierde su condición de eficiencia por hecho de no disponerse de la información suficiente para el cálculo de su eficiencia. Caso similar sucede con municipios como Cicuco, Córdoba, Tiquisio y Turbaco quienes adquieren la condición de eficientes en el año 2008 pero, por falta de información, no fue posible calcular su eficiencia para el año 2007.
Referencias bibliográficas
1. AVENDAÑO, Rubén; PIRAQUIVE, Gabriel y VÁSQUEZ, Bibiana. Evaluación del desempeño de las empresas de agua potable y Saneamiento en Colombia. En: Revista de Planeación y Desarrollo, Departamento Nacional de Planeación. Abril 1994. Vol. 15, No. 1. [ Links ]
2. ALFONSO, Pedro. Eficiencia en Salud Pública. Revista Archivo Médico de Camagüey. 2005. Vol. 14, No. 5. p. 3-11. [ Links ]
3. ALFONSO, António y AUBYN, Miguel St. Non-parametric Approaches to Education and HealthExpenditure Efficiency in OECD Countries. En: Working Papers Department of Economics at the School of Economics and Management (ISEG). 2004. Vol. 1, No. 1.p. 1-33. [ Links ]
4. ALVARADO, Juan. Evaluating Technical Efficiency of Primary Health Care in the Local Governments of Chile. En: IV Jornada de pre-comunicaciones. Universidad Autónoma de Barcelona. Barcelona, 2006. [ Links ]
5. CANO B, Rodolfo. Descentralización fiscal y Eficiencia de los servicios sociales a nivel territorial en Colombia. En: Revista Equidad y Desarrollo. Diciembre 2007. Vol. 8, No. 2. p. 7-24. [ Links ]
6. CHARNES, Abrahan; COOPER, William y RHODES, Edwardo. Measuring Efficiency of Decision Making Units. En: European Journal of Operational Research. July 1978. vol. 3, p. 429-444. [ Links ]
7. CEPIS y OPS-OMS. Análisis del sector de agua potable y saneamiento en Colombia. Plan Regional de Inversiones en Ambiente y salud. En: Serie Análisis No. 11. Agosto 1997. [ Links ]
8. COLOMBIA. CEPIS y OPS-OMS. Análisis del sector de agua potable y saneamiento en colombia. Plan Regional de inversiones en ambiente y Salud. En: Serie Análisis No. 11. 1997. [ Links ]
9. COLOMBIA. CONGRESO DE LA REPÚBLICA. Constitución Política de Colombia. Bogotá, 1991. [ Links ]
10. COLOMBIA. DEPARTAMENTO NACIONAL DE PLANEACIÓN. Visión de la Descentralización y del Ordenamiento Territorial 2019. Pereira, 2009. [ Links ]
11. COLOMBIA. CONGRESO DE LA REPÚBLICA, LEY 715 (21 de diciembre). Por la cual se dictan normas orgánicas en materia de recursos y competencias de conformidad con los artículos 151, 288, 356 y 357 (Acto Legislativo 01 de 2001) de la Constitución Política y se dictan otras disposiciones para organizar la prestación de los servicios de educación y salud, entre otros. Bogotá, 2001. [ Links ]
12. COLOMBIA. CONGRESO DE LA REPÚBLICA, Ley 142 (11 de julio). Por la cual se establece el régimen de los servicios públicos domiciliarios y se dictan otras disposiciones. Bogotá, 1994. [ Links ]
13. COLOMBIA. DEPARTAMENTO NACIONAL DE PLANEACIÓN. Orientaciones a las administraciones departamentales para realizar la evaluación del Desempeño municipal vigencia 2007. Bogotá, 2008. [ Links ]
14. COLOMBIA. CONTRALORÍA GENERAL DE LA REPÚBLICA. Regulación, tarifas y política pública en acueducto, alcantarillado y aseo, CGR. Bogotá, 2004. [ Links ]
15. COLOMBIA. CONTRALORÍA GENERAL DE LA REPÚBLICA. Tarifas de acueducto y alcantarillado: un examen crítico al esquema regulatorio, CGR. Bogotá, 2001. [ Links ]
16. DELOITTE TOUCHE TOHMATSU INTERNATIONAL- DTTI. Marco conceptual de la función reguladora en la prestación de los servicios de acueducto, alcantarillado y aseo. Resumen Ejecutivo. En: Revista Regulación de Agua Potable y Saneamiento Básico. Febrero 1998. No. 3, p 3-61. [ Links ]
17. GORGEMANS, Sophie y URBINA, Olga. Benchmarking de los centros de atención primaria en la Comunidad de Aragón. Universidad de Zaragoza. 2007 [ Links ]
18. LÓPEZ CASASNOVAS, Guillem. R. Fare, s. Grosskopf y c.a.k. Lovell: production frontiers h.o. Fried, c.a.k. Lovell y s.s. Schimdt (eds.): the measure-ment of productive efficiency. Techniques and applications z. Griliches (ed.): output measurement in the services sector z. Griliches y j. Mairesse (eds.): productivity issues in the servi-ces at the micro level). En: Revista de Economía aplicada. 1994. Vol 2 N0. 5.. p. 181 - 189. [ Links ]
19. MANDL, Ulrike; DIERX, Adriaan y ILZKOVITZ, Fabienne. The Effectiveness and Efficiency of Public Spending. EconomicPapers. Febrero 2008. Vol. 301, No. P. 1-36. [ Links ]
20. ORGANIZACIÓN DE NACIONES UNIDAS. Objetivos de desarrollo del milenio informe, Nueva york, 2008. [ Links ]
21. QUESADA, Víctor Manuel; BLANCO, Ingrid del C.; MAZA, Francisco Javier. Análisis envolvente de datos aplicado a la cobertura educativa en el departamento de Bolívar - Colombia (2007-2008). En: Revista OMNIA. Diciembre 2010. Vol. 16, no 3, p. 77-100. [ Links ]
22. RAMÍREZ, Juan y Ruiz, Lida. Comisión de Regulación de Agua Potable y Saneamiento Básico 15 años: aporte de la regulación a la gestión de los servicios públicos de acueducto, alcantarillado y aseo. En: 15 Años. Regulación de los servicios públicos domiciliarios de acueducto, alcantarillado y aseo en Colombia, Comisión de Regulación de Agua, Bogotá. 2009, p 30-51. [ Links ]
23. SALAMANCA, Jaime. Revisión primera etapa regulatoria: lecciones aprendidas. En: 15 Años. Regulación de los servicios públicos domiciliarios de acueducto, alcantarillado y aseo en Colombia, Comisión de Regulación de Agua, Bogotá. 2009, p 20-29. [ Links ]
24. SIMPSON, Helen. Productivity in public services. CMPO Working Paper Series. 2006.Vol. 164, No. 7. p. 1-34. [ Links ]



















