Services on Demand
Journal
Article
Indicators
-
Cited by SciELO -
Access statistics
Related links
-
Cited by Google -
Similars in
SciELO -
Similars in Google
Share
Entramado
Print version ISSN 1900-3803
Entramado vol.9 no.2 Cali July/Dec. 2013
Métodos para la medición de la movilidad intergeneracional educativa en América Latina y Colombia. Análisis y perspectivas1
Methods for measuring intergenerational educational mobility in Latin America and Colombia. Analysis and perspectives
Métodos para a medição da mobilidade intergeracional da educação na América Latina e na Colômbia. Análise e perspectivas
Martha Yánez-Contreras*
Concepción García-Correa**
*Economista de la Universidad de Cartagena, Colombia. Magister en Economía y en Economía del Medio Ambiente y los Recursos Naturales de la Universidad de los Andes, Colombia. Docente investigadora del programa de Economía y Líder del Grupo de Investigación de Economía y Gestión del Medio Ambiente de la Universidad de Cartagena, Colombia. myanezc@unicartagena.edu.co
**Economista de la Universidad de Cartagena, Colombia. Joven investigadora del Grupo de Mercado Laboral de la Universidad de Cartagena, Colombia. cgarciac@unicartagena.edu.co
• Clasificación JEL: B40, I21, J62, N36, Z13
Fecha de recepción: 01 - 04 - 2013 Fecha de aceptación: 29 - 06 - 2013
Resumen
Este artículo expone los resultados sobre las técnicas más utilizadas en la medición de la movilidad educativa intergeneracional y la evidencia empírica encontrada hasta el año 2012 para América Latina y Colombia. Los métodos empleados para el proceso de pesquisa de la bibliografía científica fueron la consulta en revistas de sociología, economía y educación, en bases de datos (Jstor, EBSCOhost, Redalyc, Scielo) y reservorios de información. Los resultados señalan que no hay un consenso en la medición; sin embargo, los métodos más utilizados son las matrices de transición, modelos Markov e índices sintéticos. La evidencia muestra que la movilidad absoluta ha aumentado en América Latina. No obstante, la movilidad relativa es baja en comparación con los países desarrollados. Los vínculos entre el nivel educativo de padres e hijos continúan siendo muy fuertes, tanto en América Latina como en Colombia.
Palabras clave: Movilidad intergeneracional, educación, movilidad social, América Latina, Colombia.
Abstract
This article presents the findings of the most commonly used techniques for measuring intergenerational educational mobility and discusses empirical evidence available about Latin America and Colombia as of 2012. The scientific bibliographic research process entailed checking sociology, economics, and education journals, databases (JSTOR, EBSCOhost, Redalyc, and Scielo), and other information reservoirs. The findings indicate that there is no consensus about measurements, but the most common methods are transition matrices, Markov models, and synthetic indices. Evidence shows that absolute mobility has improved in Latin America. Relative mobility, however, is low in comparison with that of developed countries. The links between the educational level of parents and that of their children continue to be extremely strong both in Latin America and Colombia.
Keywords: Intergenerational mobility, education, social mobility, Latin America, Colombia.
Resumo
Esse artigo apresenta os resultados sobre as técnicas mais usadas na medição da mobilidade educativa intergeracional e a evidência empírica encontrada até o ano de 2012 para a América Latina e a Colômbia. Os métodos usados para o processo de investigação da bibliografia científica foram a consulta em revistas de sociologia, economia e educação, em bancos de dados (Jstor, EBSCOhost, Redalyc, Scielo) e reservatórios de informações. Os resultados mostram que não existe um consenso na medição; no entanto, os métodos mais usados são as matrizes de transição, os modelos Markov e os índices sintéticos. A evidência mostra que a mobilidade absoluta aumentou na América Latina. No entanto, a mobilidade relativa é baixa em comparação com os países desenvolvidos. Os vínculos entre o nível educacional de pais e filhos continuam sendo muito fortes, tanto na América Latina como na Colômbia.
Palavras-chave: Mobilidade intergeracional, educação, mobilidade social, América Latina, Colômbia.
Introducción
Es relevante, desde el punto de vista social, económico y político investigar sobre la movilidad social, pues ésta nos permite conocer cómo cambia la posición que ocupan las personas en una estructura social en un determinado territorio, y nos dice mucho acerca de las posibilidades de ascenso, descenso o estabilidad de las personas en dicha estructura; los hallazgos, a su vez, sirven como instrumento en la toma de decisiones.
Por su parte, la movilidad intergeneracional educativa enseña si existen o no vínculos entre los niveles educativos de los padres y los que alcanzan sus hijos y es un indicador sobre la distribución de oportunidades presentes en una sociedad (Andersen, 2001; Gaviria, 2006; PNUD, 2010). Una mayor movilidad incrementa la igualdad de oportunidades en las personas (Mediavilla, 2006), mientras que, la desigualdad de ingresos transmitida entre generaciones vulnera la igualdad de oportunidades (Sánchez, 2004). Cabe agregar que una fuerte influencia de la posición económica de los padres sobre el nivel de bienestar (económico, educativo, ocupacional) de los hijos es poco anhelado y esperanzador, y afecta principalmente a la población más vulnerable al restringir y limitar las posibilidades de ascenso social.
Con respecto a la educación como mecanismo de movilidad social, en América Latina existe un creciente consenso sobre la importancia de ésta para reducir la pobreza, se señala que la educación es un camino prometedor para generar movilidad social y un eslabón trascendental en la reproducción de la desigualdad (Reimers, 2000 a). Lo cual explica por qué la educación es tratada como un factor importante para promover la movilidad social (González, Martínez M, Martínez C, Cuevas y Muñoz, 2009) y así superar la trampa de la pobreza (Ferrer, Clemenza y Pérez, 2005).
En relación con esto, la evidencia disponible permite afirmar que hay una fuerte relación entre el nivel educativo y el monto de los salarios que las personas reciben al trabajar (Rodríguez, 2006). No obstante, no solo una dosis de educación es importante para permitir la inserción al mercado laboral y por consiguiente la generación de ingresos, sino también la calidad de la educación al incidir en la capacidad para desarrollar exitosamente determinadas tareas (Cortés, 2010).
La movilidad educativa intergeneracional se convierte en un mecanismo trascendental en la reasignación de los recursos y en la construcción de una sociedad más equitativa, justa y eficiente, al permitirles a las personas al insertarse en el mercado laboral mejorar su situación económica y su calidad de vida, a través de la retribución de la inversión en capital humano; en este sentido un país con alta movilidad educativa genera perspectivas de progreso socioeconómico para sus habitantes; generaciones más educadas permitirán mayor productividad, crecimiento y desarrollo económico. La posición que ocupa una persona en una estructura social sería el fruto de la meritocracia y el esfuerzo personal adquirido por las personas en el proceso educativo u otro; y no el resultado de la retención de un estatus social que procede de los antecesores familiares.
Cabe destacar que, más allá de los beneficios monetarios o económicos que se puedan derivar de la educación, ella en sí misma representa una mejoría en el nivel de vida de las personas, al contribuir a que estas internalicen una serie de valores, hábitos y formas de ser y de hacer que pueden repercutir en su bienestar, al hacerlas personas más sanas, más creativas y con mayor control de su propio destino (Rodríguez, 2006).
Investigaciones previas como la de Azevedo y Bouillon (2010) exponen los resultados de una revisión de la literatura sobre la movilidad social intergeneracional, enfocada en América Latina, aportando a la discusión de este tema. En éste trabajo se avanza en la misma dirección, pero teniendo como propósito analizar los resultados encontrados en la literatura científica en lo relativo a las técnicas utilizadas para la medición de la movilidad intergeneracional educativa y a su vez presentar la evidencia empírica hallada en América Latina y en Colombia. Entendiéndose por movilidad intergeneracional educativa la posibilidad que tienen las nuevas generaciones de cambiar su nivel educativo, dada la barrera o el privilegio impuesto por el nivel educativo de sus padres. Se pretende inferir, a la luz de la revisión, sobre los siguientes interrogantes: ¿Cuáles son las principales dificultades para la medición de la movilidad intergeneracional? ¿Cuáles son los métodos más utilizados en la literatura para el cálculo de la movilidad intergeneracional y cuáles son sus principales ventajas y desventajas? ¿Qué evidencias hay sobre la movilidad intergeneracional educativa en América Latina y en Colombia? ¿Existe alguna asociación entre el nivel educativo de los padres y el logro educativo de los hijos?
Los resultados del proceso de revisión permiten organizar el documento en cuatro secciones. En la primera se expone la metodología empleada; en la segunda se destacan los aportes de los autores clásicos de la movilidad social y los aspectos conceptuales. En la tercera sección se detallan las técnicas estadísticas más utilizadas en la movilidad intergeneracional, sus principales ventajas y desventajas. En el cuarto apartado se presentan los desarrollos empíricos de movilidad intergeneracional educativa para América Latina y Colombia; finalmente se expone la conclusión.
1. Metodología
El tipo de investigación es de carácter documental, en la cual se realiza una revisión de la literatura científica y especializada relacionada con las áreas de sociología, educación y economía que tratan el tema de la movilidad social. Se registran las posturas clásicas que datan desde el año 1953, iniciando con los aspectos conceptuales sobre movilidad social expuestos por Sorokin (1953), hasta explorar las evidencias empíricas encontradas para América Latina y Colombia hasta finales del año 2012. Los artículos utilizados son de naturaleza clásica, empírica, de revisión, reseñas, entre otros.
Para la búsqueda de información se emplearon los siguientes descriptores en idioma español o inglés: "movilidad social", "movilidad social educativa", "movilidad social en América Latina", "movilidad intergeneracional", "movilidad intergeneracional educativa", "movilidad intergeneracional en América Latina", "movilidad intergeneracional en Colombia".
Asimismo, se rastrearon artículos científicos/autores especializados de alta citación y se efectuó la lectura de los resúmenes para corroborar el aporte al campo investigado; teniendo como prioridad la lectura de artículos primarios u originales.
Un primer paso para la selección de los documentos consistió en seleccionarlos, en la medida que los títulos y resúmenes o abstracts informaran respecto al tema investigado. Posteriormente, se procedió a la lectura crítica y al análisis de los documentos, optando por aquellos que por su calidad y rigurosidad científica aportaran al tema investigado. Luego, se procedió a organizar por medio de fichas la información extraída de la revisión y a jerarquizar los artículos y/o documentos de acuerdo en el aporte directo al tema investigado; para finalmente redactar el artículo de revisión. Las fuentes de información incluidas se detallan en la Tabla 1.

2. Clásicos y aspectos conceptuales de la movilidad social e intergeneracional educativa
El concepto de movilidad social hace referencia a un cambio en la posición que ocupa una persona en una estructura social. La escala que represente puede ser la de la clase social en general, o la de sus elementos en particular, como por ejemplo, las jerarquías profesionales, económicas o de educación (López, 1957). Este concepto de movilidad social se debe al sociólogo Pitirim Sorokin (1954) en los años veinte del siglo XX y continuó con Lipset y Bendix, a mediados del siglo (Uribe, 2005; Uribe, Vásquez y Pardo, 2006).
Según Sorokin (1953) la movilidad social puede darse en diferentes direcciones, ya sea vertical u horizontalmente, por lo que se hace necesario saber diferenciar el tipo de movilidad y su respectiva forma de medición. La movilidad social vertical puede tener desplazamientos ascendentes o descendentes y se dan dentro de la jerarquía de un sistema de estratificación determinado en una sociedad; la horizontal se ocasiona cuando las personas cambian su ocupación laboral sin que este cambio altere de ninguna forma el estatus social al que pertenecen (Arrieta, García y Doria, 2004); también ocurre con los traslados de una personas en territorios geográficos (migraciones) (Espinoza, González y Uribe, 2009).
De manera semejante, Bendix, Lipset y Malm (1954) postulan que la posición de una persona en la estructura social está relacionada por lo general con cierto nivel de ingresos, educación, estructura familiar, la reputación de la comunidad, entre otros factores similares, que se convierten en parte del círculo vicioso en el que cada uno actúa sobre los otros, de tal forma que se pueda conservar la estructura social en su forma inicial, así como la posición del individuo en la estructura familiar. Igualmente, destacan que las ventajas y desventajas de los antecedentes familiares son acumulativas y constituyen un factor determinante en la carrera profesional de una persona; no obstante, esto no quiere decir que las barreras a la movilidad social se hayan vuelto más rígidas.
Los tipos de movilidad social pueden dividirse de acuerdo con el objeto o la técnica (Marques y Herrera, 2009). Según el objeto, puede ser movilidad intergeneracional o intrageneracional; la primera se da cuando se compara la posición de un adulto con la de sus progenitores (padres e hijos); y la segunda hace referencia a los cambios que experimentan las personas entre diferentes clases sociales a lo largo de su vida, es decir, la comparación se realiza en relación a la posición que las personas tenían en el pasado (Palomar y Lanzagorta, 2005; PNUD, 2010; Rodríguez, 2006).
Según la técnica, la movilidad es absoluta o relativa; la absoluta describe los cambios que experimenta la sociedad entre las diferentes clases sociales de un período a otro, en éste caso especificaría el grado en el que la sociedad en su conjunto ha permanecido móvil o inmóvil. La movilidad relativa, detalla los cambios que se dan en la posición social de una persona respecto al resto de la población, estos cambios pueden ser ascendentes o descendentes (Marques y Herrera, 2009). Cabe destacar que este tipo de movilidad suele ser un mejor indicador por la información que brinda acerca de las oportunidades de ascenso o descenso de los diferentes grupos sociales.
Para el caso específico de la movilidad educativa intergeneracional, puede ser de dos tipos: ascendente o descendente, la primera se origina cuando el nivel educativo de los hijos supera al de los padres, en este caso surge una mejoría en la condición social; por el contrario, la movilidad intergeneracional descendente se produce cuando el nivel educativo de los hijos es inferior al de sus antecesores e implica un deterioro en la condición social (Cartagena, 2003; Rodríguez, 2006); también puede darse la inmovilidad, como resultado de ninguna variación en el nivel educativo de los hijos, respecto a sus padres (Marques y Herrera, 2009).
3. Técnicas de medición de la movilidad intergeneracional
Según la literatura, a pesar de la importancia del concepto de movilidad social, aún en la actualidad no se posee una medida con aprobación universal e incluso varios de los métodos utilizados para su medición son objeto de continuos debates. Esto lo reafirman diversos investigadores como Sakoda y Cochran (1976), Pasquier (2002), Moreno (2011) y Bonilla (2010).
Un aspecto fundamental y condicional en la medición de la movilidad intergeneracional es la carencia de información de carácter longitudinal, es decir, bases de datos en las cuales se mide repetidamente una muestra fija en los componentes de una población. La escasez de este tipo de datos la confirman investigadores como: Dahan y Gaviria (1999); Behrman, Gaviria, Székely (2001); Gaviria (2002); Cartagena (2003); Nina, Grillo y Alonso (2003); Sánchez (2004); Conconi, Cruces, Olivieri y Sánchez (2008); Viáfara, Estacio y González, (2010); Azevedo y Bouillon (2010), desde décadas pasadas hasta la actualidad. Una de las ventajas de estos datos es que proporcionan información valiosa para capturar dinámicas individuales a través del tiempo y facilitan un marco oportuno para la evaluación de políticas.
Pese a la falta de éstos, se han creado métodos que permiten la medición de la movilidad intergeneracional y no requieren obligatoriedad en la utilización de estas bases de datos. Algunos de los métodos más utilizados en diferentes investigaciones se describen a continuación.
3.1. Matrices de probabilidades de transición, cadenas y modelos Markov
El nombre de cadenas de Markov se debe al matemático ruso Andrei Andreevich Markov (1956-1922), quien trató la ley de los grandes números (Espinoza, 2007). El modelo de Markov ha sido utilizado para la medición de la movilidad intergeneracional de ingresos, ocupacional o educativa, entre otras.
El modelo Markov, se caracteriza por ser autorregresivo de primer orden donde la variable dependiente está en función de su valor rezagado (pasado) y de un término estocástico (εit) que es independiente de (Eit-1).
Siguiendo a Viáfara et al. (2010); Gil, De Pablos y Martínez (2010) y Jordan (2006) el modelo Markov aplicado al análisis educativo intergeneracional adoptaría la siguiente representación:

Donde:
- Eit es la variable explicativa que representa el nivel educativo alcanzado por el hijo.
- Eit-1 representa el nivel educativo alcanzado por los padres (variable rezagada en un período, representando cada período una generación diferente).
- α es el parámetro autónomo.
- εit representa al término estocástico u error.
- El parámetro β se interpreta como una medida de inmovilidad o movilidad.
El valor del parámetro β varía en el rango -(0 ≤ β ≤ 1)-, indicando un mayor grado de inmovilidad cuando se encuentra más cercano a uno (1); y mientras más cercano sea a cero (0) representa una mayor movilidad. Existen dos y hasta tres casos extremos para el parámetro β, el primer caso es cuando β=1, lo cual indica movilidad nula; β=0, revela movilidad perfecta; y el tercer caso de poca relevancia empírica corresponde a (β= -1) lo que expresa movilidad perfecta inversa y sería el resultado de un patrón poco común, en el cual los hijos de familias con un alto nivel educativo (o de ingresos) son aquellos con menor nivel educativo (o de ingreso) e inversamente (Conconi, et al., 2008).
Otro de los métodos utilizados para indagar sobre el tema de la movilidad social es el de matrices de transición y cadenas Markov, cuya aplicabilidad ha abarcado diversas áreas del conocimiento tales como la sociología, la economía, la meteorología, la biología, la psicología, la demografía, la medicina, la farmacología, la física, entre otras.
Las cadenas Markov se derivan de la ley de probabilidad y tienen como objetivo estimar la probabilidad de ocurrencia de un evento futuro, condicionado a un evento inmediatamente anterior, una forma sencilla de representar este método es por medio de las matrices de probabilidades de transición.
Para la aplicación de este método al análisis educativo intergeneracional se deben considerar los diferentes estados posibles dentro del sistema educativo (niveles educativos), éstos se deben ordenar en la parte horizontal/superior y vertical/inferior de la matriz, e indicarían los destinos y orígenes respectivamente. Los orígenes señalarían los niveles educativos de los padres y los destinos el nivel educativo de los hijos, condicionado al nivel educativo del padre. Mediante esta forma se realiza la matriz de transición y se puede detallar la probabilidad de que los hijos alcancen cierto nivel educativo, lo cual depende del nivel educativo de sus antecesores (Ver Tabla 2).

La matriz de transición debe ser cuadrada y poseerá un número de filas y columnas igual al número de estados posibles, estos últimos son excluyentes entre sí; además, los registros y/o números de la matriz deben sumar 1 en cada una de sus filas (probabilidad del 100% distribuida en los diferentes estados) y deben ser positivos.
Cada elemento de la matriz Pij representa la proporción de personas (hijos) con una característica especifica j (nivel educativo del hijo) si su padre alcanzó una determinada característica i (nivel educativo del padre). Cada valor que toma Pij se establece a partir de la distribución de frecuencias; en términos precisos Pij es la probabilidad de pasar de la categoría i a la j, y se halla como el cociente del número de personas que pasaron de la categoría i a la j y el número de personas que inicialmente se encontraban en la categoría i:

Se recomienda considerar una edad mínima de las personas (hijos) en la selección de la muestra, de tal forma que con ésta hayan podido alcanzar el máximo nivel de estudio referenciado en cada investigación y de esta forma reducir el sesgo de selección de la muestra. Por ejemplo: Viáfara et al. (2010) y Cartagena (2005) utilizaron como edad mínima los 25 años de edad. Por su parte, los siguientes investigadores usaron además de un límite inferior uno superior: Behrman et al. (2001) y Gaviria (2002) edades entre 23 y 69 años; Espinosa y Arrieta (2010) 23 y 69 años; Pasquier-Doumer (2002) 23 y menores de 70 años; Mediavilla y Calero (2010) 25 y 35 años.
Dentro de las justificaciones señaladas por algunos de los autores para considerar una edad máxima está poder evaluar la movilidad entre el último grupo de edad que ha acabado el proceso educativo y la generación que le precedió y tener en cuenta las tasas de supervivencia de las personas. De igual forma, se emplean cohortes de edad con el fin de capturar los cambios educativos entre diferentes generaciones, esto es, entre abuelos, padres e hijos. Esta edad mínima es utilizada también en otro tipo de metodologías para el análisis de la movilidad (educativa, ocupacional, etc.), como por ejemplo: Kuha y Goldthorpe (2010); Jorrat (1987) utilizan como referencia a los mayores de 25 años y menores de 59 y 64 años, respectivamente; González y Sanrromán (2010) utilizaron información de los adolescentes entre 16 y 29 años.
A partir de los resultados que arroje la matriz de transición se calculará la movilidad ascendente, descendente y la inmovilidad. La primera, mediante la suma de los valores de la matriz por encima de la diagonal principal; la movilidad descendente con la suma de los valores por debajo de la diagonal principal, y la inmovilidad, con la suma de los valores de la diagonal principal (Gil et al., 2010). Ver Tablas 3, 4 y 5.



Vale la pena destacar que cuando la probabilidad de transición en la matriz es igual a cero, quiere decir una transición no permitida (Rubio y Echevarría, 2006).
Los valores de la diagonal principal de la matriz representan la transición hereditaria o el poder de retención de los niveles educativos de los hijos respecto a sus padres, es decir, la probabilidad de que los hijos logren el mismo nivel educativo de sus padres (Espinosa y Arrieta, 2010).
Los valores de la matriz por encima de la diagonal principal revelan la movilidad educativa intergeneracional ascendente, es decir, la probabilidad de que los hijos alcancen un nivel educativo superior al de sus progenitores.
Los valores de la matriz por debajo de la diagonal principal indican la movilidad intergeneracional educativa descendente, es decir, la probabilidad de que los hijos alcancen un nivel educativo inferior al de sus padres y revelan un deterioro de la condición social.
Dentro del grupo de investigadores que han aplicado matrices de transición para indagar sobre la movilidad intergeneracional, ya sea educativa, ocupacional o de ingresos, están: Espinosa y Arrieta (2010) para el caso del departamento de Córdoba, en Colombia; Viáfara et al. (2010) para las ciudades de Bogotá, Cali y el agregado de las trece áreas metropolitanas en Colombia: teniendo en cuenta la condición étnica, racial y de género; Behrman et al. (2001) para América Latina; Gaviria (2002), Cartagena (2005) y Tenjo y Bernal (2004) para Colombia.
Dentro de las ventajas de utilizar este método están:
-
Trabajar con la estimación de las frecuencias observadas y reales y no desde el supuesto de independencia estadística (Rosati, 2011).
-
Las matrices de transición permiten observar la existencia de no linealidades (Gil Izquierdo et al., 2010) y asimetrías (Behrman, et al., 2001; Gaviria, 2002; Sánchez, 2004).
-
Señalando el ejemplo expuesto por Behrman et al., (2001) y Gaviria (2002) las matrices admiten investigar situaciones en las cuales la probabilidad de trasladarse desde la base de la distribución hasta la cúspide es mayor que la de desplazarse en sentido contrario.
-
Proporciona información detallada.
Algunas de las desventajas de este método son:
-
No ejerce control de las condiciones en la que estudiaron los padres y los hijos (Tenjo y Bernal, 2004). Dicho de otra forma, mediante este método se hace caso omiso de la época/tiempo y por ende de las condiciones en las que estudió la población objeto de investigación, pues como es sabido las oportunidades varían de acuerdo con el tiempo y el espacio: "una forma de solucionar dichos problemas es controlando por cohortes de la población" (Tenjo y Bernal, 2004 p. 15).
-
No siempre es expedito efectuar comparaciones de movilidad a partir de las matrices de transición, por lo que se hace necesario simplificar la información que arroja la matriz utilizando los índices (Gaviria, 2002).
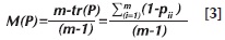
Otro de los métodos empleados para calcular la movilidad son los índices, los cuales tienen la ventaja de resumir información en un único valor y proporcionar información en la mayoría de los casos comparable con otras investigaciones. Uno de los índices más utilizados es el propuesto por Shorrocks (1978), el cual parte de la información que arroja la matriz de transición.
Siguiendo a Viáfara et al. (2010) y a Cartagena (2005) se calcula así:

Dónde: m representa el número de estados que se estipularon en la matriz de transición, tr(P) es la traza y se calcula sumando los valores de la diagonal principal de la matriz; y Pi es el porcentaje de elementos que parten del estado i. El índice cumple con la condición -(0≥M(P)≤1)-, si el resultado del índice M(P) es próximo a 1 señala mayor movilidad, lo que quiere decir que existe mayor probabilidad de que los hijos cambien su nivel educativo sin depender del nivel educativo de sus padres; cuanto más cercano esté a cero (0) menor movilidad.
Otro de los índices sintéticos utilizado para calcular la movilidad intergeneracional es el coeficiente de correlación de Spearman.
Los métodos usados para calcular la movilidad social, no sólo se han centrado en el análisis directo de la relación entre la educación de los padres y la que alcanzan sus hijos (movilidad intergeneracional), sino también, desde la perspectiva de los antecedentes familiares. Por ejemplo: la brecha educativa de los jóvenes de acuerdo con su edad, el grado de correlación del nivel educativo de hermanos, el matrimonio selectivo y el ingreso familiar, entre otros. Algunos de éstos puntos son investigados por Dahan y Gaviria (1999); Andersen (2001); Behrman, Birdsall y Székely (1998); Behrman et al. (2001).
Como señala Dahan y Gaviria (1999) la movilidad social puede ser medida por dos tipos de correlaciones: Las intergeneracionales y entre hermanos; la primera de estas fue detallada con anterioridad, al ser el tema central del artículo. En el segundo de los casos, se hace un esbozo aclaratorio a continuación.
En el caso de la brecha de escolaridad entre jóvenes según la edad, cuanto menor sea ésta, más alta es la movilidad. La correlación entre hermanos que comparten un mismo hogar, cuanto más alta sea, mayor será la importancia de los antecedentes familiares en el logro educacional de los adolescentes; el índice de Dahan-Gaviria combina estos dos casos.
Si el ingreso familiar es determinante en el nivel educativo de los hijos, menores son las oportunidades de ascenso social para las familias pobres. El matrimonio selectivo se refiere a la escogencia del cónyuge entre clases sociales o educacionales, si las personas tienden a casarse sólo con miembros de su propia clase, entonces la movilidad social se encuentra restringida por costumbres matrimoniales, en caso contrario, se promueve la movilidad social por medio del mercado matrimonial, y los recursos son distribuidos por medio de los hogares (una medida sencilla es la correlación entre los niveles educativos entre esposos).
4. Desarrollos empíricos
4.1. Evidencia empírica de movilidad educativa intergeneracional en América Latina
Diversos estudios expresan el alto nivel de desigualdad en la renta existente en América Latina (Gómez, 1996; Muñoz y Márquez, 2000; Gaviria, 2006; Azevedo y Bouillon, 2010; PNUD, 2010) y en el interior de los países que la conforman (Milanivic y Muños, 2008). En años recientes, según la CEPAL (2011), se ha observado una menor concentración en la distribución de ingresos, la explicación a esto es por un mejor reparto de los ingresos laborales y el papel redistributivo que ha ejercido el Estado a través de las transferencias monetarias. Aunque aclaran que la reducción es leve, ayuda a configurar una atmósfera favorable, en especial en un contexto de ausencia prolongada de mejoras distributivas generalizadas.
En lo que se refiere a desigualdad en la educación, el informe de la Comisión Económica para América Latina (CEPAL) (2004) titulado: Una década de desarrollo social en América Latina 1990-1999, explica claramente que a pesar de la expansión educativa que mostró la región en los últimos quince años, los jóvenes pertenecientes a estratos sociales bajos han tenido insuficientes posibilidades de lograr un nivel de educación que les permita alcanzar posteriormente un mínimo grado de bienestar2. En este informe se indica que sólo un poco más del 30% de los hijos de padres que alcanzaron un nivel educativo inferior a la primaria, logran terminar la secundaria; en contraste, el 75% de los hijos de padres que han cursado como mínimo diez años de educación consiguen terminar la secundaria. Esto evidencia el persistente vínculo entre acceso a la educación y estrato social de origen; lo cual reflejaría que las oportunidades de bienestar de los actuales jóvenes ya quedaron plasmadas por el patrón de desigualdad que ha persistido de la generación anterior. Este comportamiento se traduce en una estructura social rígida y con pocas posibilidades de movilidad social; que se acentúa si la calidad en la educación que recibe la población tiende a variar de acuerdo con su estrato.
En este mismo sentido, Ortega (2006, p. 1) señala que: "la tragedia de un niño pobre en América Latina no es vivir en la miseria; tampoco lo es ser desfavorecido en el reparto de la riqueza. Su verdadera tragedia es tener que aceptar que probablemente vivirá así toda su vida". Por este motivo, uno de los principales propósitos de las políticas sociales en América Latina debe ser aumentar la igualdad de oportunidades y romper la desigualdad trasmitida entre generaciones (PNUD, 2010; Reimers, 2000 b); teniendo en cuenta que ha existido una asociación entre los indicadores de igualdad educativa y los de bienestar socioeconómico (Rivas, Ricardo, 2008).
Esta igualdad de oportunidades va más allá del acceso a la educación o de la gratuidad de la educación, implica dotaciones iníciales iguales de los bienes y servicios recibidos; de tal forma que las desigualdades existentes en la sociedad sean el resultado de la habilidad y el esfuerzo individual y no de las diferencias en las oportunidades que se tienen.
Diversas investigaciones abordan el tema de la movilidad educativa intergeneracional en América Latina desde una perspectiva comparativa interna e internacional; varios de los resultados se detallan a continuación.
Por ejemplo, Behrman et al. (2001) y Gaviria (2002) utilizan como indicadores de movilidad social, el nivel educativo y el tipo de ocupación. Comparan, mediante un análisis retrospectivo, la situación de cuatro países latinoamericanos: Colombia3, Brasil4, México5 y Perú6; y ampliaron la base de comparación incluyendo a Estados Unidos7. Los métodos aplicados fueron las matrices de transición y modelos autorregresivos de primer orden Markov. Los resultados señalan la existencia de movilidad absoluta en los países latinoamericanos, lo que quiere decir que los hijos de forma persistente han superado los niveles educativos de sus padres; por ejemplo, en términos de años los hijos tienen en promedio, en Brasil (3), en Colombia (2,7), en México (3,7) y en Perú (3,2) años más de escolaridad que sus antecesores; por el contrario, en Estados Unidos las diferencias en logros educativos entre generaciones son más minúsculas, lo cual insinúa rendimientos marginales decrecientes en éste país. Cabe anotar que el progreso educativo en Latinoamérica se desaceleró de manera sustancial en todos los países estudiados, con la excepción de Perú; lo cual insinúa que la expansión de la cobertura educativa presenta costos marginales crecientes. En cuanto a los logros educativos por género, se presentan diferencias considerables en Perú y México e insignificantes en los otros países.
Pese a los mayores logros educativos que se deducen (movilidad absoluta), los autores hacen hincapié en la movilidad relativa debido a su importancia para explicar la distribución de las oportunidades en la sociedad.
Al estimar el modelo Markov, las principales deducciones señalan que Colombia es un país con muy baja movilidad intergeneracional educativa. Las estimaciones8 fueron un β = 0,7 para Colombia y Brasil, 0,5 para México y Perú, y 0,35 para Estados Unidos. Quiere decir que existe una baja movilidad intergeneracional educativa en y al interior de Latinoamérica (alta correlación en la educación de padres e hijos). Para ilustrar tales hallazgos, el autor señala que la probabilidad de que un colombiano obtenga un grado universitario cuando sus padres poseen dos años de educación es inferior al 1%.
En términos generales, concluyen que Colombia posee una baja movilidad educativa, similar a la de Brasil, por debajo de México y Perú y, muy por debajo de los Estados Unidos. Asimismo, señala que Colombia está lejos de ser una sociedad justa. No obstante, quienes apenas ingresan al mercado de trabajo poseen y poseerán mayores posibilidades que sus antecesores.
Adicionalmente, Behrman et al. (2001) estiman el grado en el que los antecedentes familiares afectan el nivel de educación de los niños a finales de la década de los noventa para 19 países de América Latina y el Caribe9 y Estados Unidos. Para esto utilizan la metodología propuesta por Dahan-Gaviria10. Los resultados señalan nuevamente las enormes diferencias en la movilidad entre América Latina y los Estados Unidos, pues las estimaciones de la correlación entre antecedentes familiares educativos de la generación anterior y la siguiente son de 0,50 en promedio para América Latina y 0,21 para Estados Unidos. De igual forma, hallan al interior de América Latina grandes diferencias en las tasas de movilidad.
Otro de los estudios comparativos en Latinoamérica es el realizado por Mediavilla y Calero (2010), quienes calculan el grado de movilidad intergeneracional educativa en: Argentina, Brasil, Chile, México, Perú y Venezuela para los años 1998 -1999 utilizando las Encuestas de Hogares de cada uno de los países. Empleando metodologías similares11 que los autores antes mencionados obtiene hallazgos análogos. Los principales resultados reflejan la relación directa entre los logros educativos de los padres y los que obtienen sus hijos, cuyo impacto es incluso aun mayor cuando el nivel educativo del padre es más elevado. Estos cálculos a su vez, indican una baja movilidad educativa relativa en Latinoamérica, comparativamente menor a las observadas en otras regiones más desarrolladas, como por ejemplo, Europa.
Esta baja movilidad intergeneracional también es observada por Daude (2012) en un estudio para las clases medias de América Latina, pues esta clase tiene graves restricciones para superar el umbral de la educación secundaria y terciaria, lo cual hace que sean aún vulnerables. De igual forma, muchos de los jóvenes de estratos medios no acceden a servicios educativos de calidad que les permita una inserción laboral más dinámica.
En cuanto al impacto que ejerce la educación del padre o la madre sobre la educación del hijo, Mediavilla y Calero (2010) encuentra que en términos probabilísticos, la educación del padre ejerce una mayor influencia. En orden de mayor a menor movilidad12 según la influencia del padre o la madre tenemos: padre/hijos(a): Argentina y Venezuela (0,45), Brasil y Perú (0,51) y, Chile y México (0,55). Influencia de la madre/hijos(a)): Perú y Venezuela (0,45), Argentina y Brasil (0,47), México (0,50) y Chile (0,54).
La investigación de Gaviria (2006) realizada para los años 1996, 2000 y 2001 para América Latina, muestra resultados altos de movilidad educativa absoluta; estos son semejantes a los obtenidos por el autor y por Behrman et al. (2001) en años anteriores. El autor explica que éstos son coherentes con los avances de América Latina en cuanto a indicadores educativos; sin embargo, los resultados no implican la presencia de movilidad relativa.
Al estimar modelos autorregresivos de primer orden13 Gaviria (2006) encuentra que la movilidad hacia arriba es más frecuente que la movilidad hacia abajo. Sin embargo, los resultados señalan que América Latina posee un alto grado de inmovilidad educativa, lo que quiere decir que existe una alta dependencia en los logros educativos que alcanzan los hijos y el nivel educativo de sus padres. Deducciones similares a las de la CEPAL (2005); Behrman et al. (2001) y Mediavilla y Calero (2010) expuestas anteriormente.
Asimismo, Gaviria (2006) compara la movilidad educativa intergeneracional de América latina con Estados Unidos, concluyendo que la Región presenta menor movilidad y mayor concentración de las oportunidades educativas que los Estados Unidos. Hallazgos similares a los obtenidos por Behrman et al. (2001) y por Azevedo y Bouillon (2010) quien no solo establece la comparación con Estados Unidos, sino también con Reino Unido. La explicación de la menor movilidad o inmovilidad, suele estar en la misma dirección, es decir, limitada oferta de educación universitaria y post universitaria en América Latina y universalidad de la educación secundaria en Estados Unidos.
Cabe destacar, como señala la CEPAL (2004) que conforme aumenta la cobertura de la enseñanza secundaria, por ejemplo, las nuevas generaciones están expuestas a un proceso de devaluación educativa, lo que quiere decir que cada día más los requerimientos educacionales van a ser mayores a la hora de ingresar al mercado laboral para obtener una remuneración aceptable.
En síntesis, la literatura converge en que Latinoamérica en general ha avanzado en cobertura educativa, lo cual ha incidido en que el nivel educativo de los hijos en términos absolutos sea mayor al de sus padres; sin embargo, persiste una asociación muy fuerte entre la educación de los padres y la que obtienen sus hijos. De igual forma, los diferentes hallazgos indican una baja movilidad intergeneracional educativa relativa, comparativamente menor a las observadas en regiones desarrolladas como Europa y Estados Unidos. A nivel interno se exhiben fuertes diferencias. Un punto en el cual la literatura no permite inferir deducciones claras para América Latina, es sobre la influencia del mayor o menor impacto que ejercen el padre y la madre en el logro educativo de los hijos. Tal vez esto se deba a las diferencias al interior de la Región.
4.2. Evidencia empírica de movilidad educativa intergeneracional en Colombia
Tenjo y Bernal (2004) investigaron sobre la educación y la movilidad social de Colombia, utilizando la encuesta de calidad de vida del año 2003. Para este análisis emplearon diferentes métodos tales como: matrices de transición, análisis de regresión lineal para explicar el logro educativo relativo, modelos probabilístico (Probit) y modelos de duración del proceso educativo. Los resultados generales señalan que los logros educativos de los padres tienen efecto importante en los logros que alcanzan los hijos. No obstante, se deben considerar dos apreciaciones; la primera es que el impacto intergeneracional posee rendimientos marginales decrecientes y la segunda es la mayor relevancia de la educación de la madre que la del padre.
Otro aspecto clave evidente en la investigación es el progresivo aumento del nivel educativo alcanzado por las mujeres, que para el año 2003 sobrepasaron al de los hombres. Asimismo, se manifiestan diferencias en las oportunidades educativas a nivel geográfico, existiendo mayor privilegio en las zonas urbanas que las rurales.
Cartagena (2005) analiza la movilidad educativa intergeneracional desde el año 1915 hasta el 200314 y la relaciona con los retornos de la educación para el mismo período. Utiliza como método de análisis las matrices de probabilidad -por cohortes de edad- y la creación de un nuevo índice de movilidad ascendente, con el fin de poder capturar no sólo la magnitud de la movilidad sino también su sentido. Los resultados señalan que en Colombia se ha presentado una importante expansión educativa, es decir, han aumentado los años promedio de educación a través del tiempo. En primera instancia, durante los años 1915 y 1945 la expansión se dio al pasar de ningún nivel educativo hasta lograr algunos años de educación primaria. Posteriormente, a partir de los años cincuenta parece presentarse una expansión hacia la educación secundaria (incompleta/ completa) y la educación superior. No obstante, el ritmo de expansión de éste último nivel educativo tiende a disminuir desde finales de la década de los setenta, lo cual puede estar explicado en parte, según la autora, por la disminución de los retornos en la educación.
La autora resalta que las políticas educativas han sido importantes para incitar la educación, en especial, la primaria, durante los años cincuenta, lo que posiblemente tenga asociación con el proceso de industrialización y urbanización que experimentó el país. Otro punto clave que sugiere es la posible existencia de imperfecciones en el mercado para el financiamiento de la educación superior.
En cuanto a las posibles diferencias que pueden existir en la influencia que ejerce la educación del padre y de la madre en el nivel educativo que logran sus hijos, contrario a lo obtenido por Tenjo y Bernal (2004), la autora encuentra patrones semejantes. Sin embargo, la probabilidad de que los hijos logren un nivel educativo profesional cuando la madre es profesional, es mayor en comparación con el caso del padre.
Gaviria (2002) señala que las oportunidades están centralizadas y las posibilidades de ascenso son diminutas; no obstante, en las últimas décadas la movilidad parece haber aumentado y quienes estén empezando a ingresar al mercado de trabajo han tenido y van a tener mejores posibilidades en su destino que sus antecesores. Anota además, que la discriminación y la exclusión racial reduciría ampliamente las posibilidades de ascenso de los grupos involucrados. A nivel desagregado o por regiones, obtiene que la movilidad es superior en Bogotá, en las zonas cafeteras y en las capitales de los departamentos.
Por el contrario, Bonilla (2010) mediante la utilización de varios índices, encuentra que las regiones con menor movilidad son: la pacifica (sin Valle), Bogotá y Valle, seguidas de la Oriental, Central, Caribe y Antioquia. Dentro del grupo de regiones con mayor movilidad están: San Andrés y Amazonia/Orinoquia. A nivel aún más desagregado, dentro del grupo de ciudades con menor movilidad están: Bogotá, Cartagena, Cali y Quibdó. En niveles medios se hallan: Medellín, Santa Marta, Armenia y Villavicencio.
Otro de los hallazgos que obtiene Bonilla (2010) es que las personas que viven en las cabeceras tienen menos movilidad que los habitantes de las zonas rurales; contrario a lo sugerido por Gaviria (2002) y Tenjo y Bernal (2004). Así como también, a nivel nacional, las mujeres presentaron en el transcurso del tiempo mayor movilidad que los hombres; no obstante, en la última cohorte/generación que estudió el autor (26-65 años) la inclinación se invierte. En lo que se refiere a la movilidad de los migrantes y no migrantes, las diferencias a nivel nacional son insignificantes.
Nina, Grillo y Alonso (2003) utilizando metodologías similares15 a las de Gaviria (2002) investigaron sobre la movilidad social y la transmisión de la pobreza en Bogotá, los resultados indican que la movilidad ascendente disminuye a medida que mayor sea el nivel educativo a alcanzar; por el contrario, la movilidad descendente crece sucesivamente a medida que aumenta el nivel educativo. Asimismo, el cálculo del índice sintético da como resultado una baja movilidad social en Bogotá (0,40) lo que ratifica la transmisión intergeneracional en la educación de padres a hijos; este resultado es semejante al obtenido por Bonilla (2010). Los autores, al tener en cuenta los deciles de ingreso en la movilidad educativa para las siguientes ciudades de Colombia: Bogotá, Cali, Medellín, Barranquilla, Bucaramanga, Manizales y Pasto, deducen que la movilidad social en las ciudades objeto de investigación aumenta a medida que crece el ingreso; asimismo, se presenta un alto grado de inmovilidad o herencia social en los deciles más bajos (1-3), por consiguiente, esto se traduce en un círculo vicioso intergeneracional en donde existen escasas posibilidades de salir de la trampa de la pobreza. Por el contrario, en los deciles de ingresos más altos (8-10) la movilidad intergeneracional es ascendente y se transforma en un espiral de continuos beneficios.
Por el contrario, Viáfara et al. (2010) muestran que en Bogotá los hijos de padres sin educación poseen mayores oportunidades de superar el nivel educativo de sus antecesores, y los hijos cuyos padres alcanzaron educación primaria y secundaria presentan una mayor movilidad, en comparación con las trece áreas metropolitanas. No obstante, hay una mayor retención del estatus para los hijos de padres con educación superior.
Jordan (2006) destaca que los niveles de movilidad social y unión semejante16 difieren sustancialmente en las regiones Colombianas. Deduce que en Bogotá las personas poseen mejores oportunidades de vida, gracias a la movilidad social. En regiones como la Atlántica, la Pacífica y la Oriental la movilidad es menor y la unión semejante es mayor, lo que quiere decir que las oportunidades son menores. En la región Central y la Orinoquia hay mejores perspectivas de ascenso social, ya sea por medio del matrimonio o por la movilidad social. En términos generales, Colombia es un país desigual y con baja movilidad social.
Se destaca en el estudio de Viáfara et al. (2010) la presencia de desigualdades en todas las áreas metropolitanas y ciudades objeto de estudio, entre la población de afrocolombianos y los no afrocolombianos, en el estatus socioeconómico familiar, la presencia del padre en el hogar y el nivel de educación alcanzado por el hijo, siendo estas desigualdades aún más fuertes en Bogotá. Hallazgos similares obtiene Viáfara y Urrea (2006) en un estudio previo para las ciudades de Cali, Cartagena y Bogotá, donde los logros educativos y el estatus socio-ocupacional difieren entre la población afrocolombiana y los no afrocolombianos. La desventaja de la población afro en el proceso de estratificación social no solo está afectada por los menores niveles educativos de los padres, sino también por la existencia de desventajas acumulativas.
Aun cuando la literatura sobre movilidad educativa intergeneracional en Colombia converge en varios puntos, como un aumento de los años de escolaridad a lo largo del tiempo y su posterior desaceleración; así como sobre la baja movilidad relativa en Colombia. Hay ciertos resultados que son contradictorios, por ejemplo: Mientras que Tenjo y Bernal (2004) encuentran que la educación de la madre ejerce una mayor relevancia que la del padre, Cartagena (2005) halla patrones similares. En cuanto a las ciudades con mayor movilidad, Gaviria (2002) y Jordan (2006) hallan que Bogotá es de las más móviles; por el contrario, Bonilla (2010) considera que es de las que menor movilidad tiene. Viáfara et al. (2010) revelan que en Bogotá los hijos de padres sin educación poseen mayores oportunidades de superar el nivel educativo de sus antecesores que en el agregado de las trece áreas metropolitanas estudiadas por el autor; no obstante, los efectos discriminatorios son más fuertes en esta ciudad.
Las conclusiones sobre las diferencias educativas entre hombres y mujeres también discrepan. Tenjo y Bernal (2004) indican que el nivel educativo de las mujeres ha estado en continuo avance y, para el año 2003 las mujeres sobrepasan a los hombres, mientras que Bonilla (2010) explica que aunque ha existido ese avance progresivo, en la última generación estudiada por el autor, la tendencia se revierte. En lo que respecta a las diferencias de la movilidad en zonas urbanas y rurales, Gaviria (2002) y, Tenjo y Bernal (2004) hallan que la movilidad es mayor en zonas urbanas, mientras que, Bonilla (2010) considera que en las zonas rurales la movilidad es mayor.
5. Conclusiones
El resultado de la investigación muestra que los métodos más utilizados para el cálculo de la movilidad intergeneracional educativa son las matrices de transición, los modelos auto- regresivos Markov y los indicen sintéticos, como el de Shorrocks (1978). Asimismo, se emplean estas alternativas de forma simultánea, en la mayoría de las veces con el propósito de poder paliar las desventajas que cada técnica posee y aprovechar las ventajas de cada una para obtener un mejor análisis.
Los hallazgos sobre la movilidad intergeneracional en América Latina están encaminados, en la mayoría de los casos, a la presencia de movilidad absoluta y una baja movilidad relativa. También se resaltan diferencias considerables al interior de Latinoamérica, lo que corrobora que los promedios tienden a ocultar o disipar las realidades existentes en los países y al interior de éstos. En Colombia, el panorama suele ser similar al obtenido en América Latina: presencia de movilidad absoluta y bajas tasas de movilidad relativa. En términos generales, la asociación entre el nivel educativo de padres e hijos continúa siendo muy fuerte tanto en América Latina como en Colombia; los resultados encontrados a partir de modelos Markov de 0,7 para Colombia y de 0,6 en promedio para cuatro países de América Latina en la investigación de Behrman et al. (2001) y Gaviria (2002), por citar solo un caso, lo corroboran.
Investigaciones futuras pueden relacionar el tema de la movilidad educativa intergeneracional con el aspecto espacial o geográfico, con el propósito de poder mostrar de forma más detallada las desigualdades inmersas al interior de los países. Asimismo, tener en consideración aspectos raciales en la medición de la movilidad. Otro punto clave que hay que trabajar es el diseño de nuevos indicadores de movilidad intergeneracional relativa, debido a la importancia de este tipo de movilidad.
Notas
1Artículo resultado del proyecto "Movilidad intergeneracional educativa en América Latina y Colombia", desarrollado por las autoras, con recursos propios, durante noviembre del año 2012 y abril del 2013, en el Grupo de Investigación Economía y Gestión del Medio Ambiente, de la Universidad de Cartagena.2Según la CEPAL (2004) la educación secundaria culminada es el umbral para situarse fuera de la pobreza. Un hallazgo similar encuentra Rodrigo Castro (2011) para el caso específico de Chile, al plantear que la educación secundaria disminuye la probabilidad de descenso social.
3Para Colombia el autor utilizó la Encuesta Nacional de Calidad de Vida realizada en 1997.
4Para Brasil el autor recurrió a un módulo de la Encuesta Nacional de Hogares (PNAD) de 1996.
5Para de México el autor tomo como base un módulo de la Encuesta sobre Empleo Nacional Urbano de 1994.
6Para Perú el autor utilizó las cifras de la Encuesta Nacional de Hogares de 1985.
7Para EE.UU. el autor manejo la Encuesta General Social Sunvey (GSS) (1990-1997).
8Recordemos que el valor del parámetro β varía en el rango -(0 ≤ β ≤ 1)-, indicando un mayor grado de inmovilidad cuando se encuentra más cercano a uno (1); y mientras más cercano sea a cero (0) representa una mayor movilidad. El autor destaca que la desventaja de éste análisis es el supuesto de linealidad. No obstante, argumenta que los vínculos entre generaciones tienden a ser mayores en los extremos de la distribución.
9Paraguay, Panamá, Uruguay, Jamaica, Chile, Venezuela, República Dominicana, Perú, Honduras, Colombia, Costa Rica, Bolivia, Argentina, México, Ecuador, Brasil, Guatemala, Nicaragua y El salvador.
10La metodología expuesta por Dahan y Gaviria consta de dos pasos, el primero de estos consiste en la creación de un índice de logro escolar que muestra si un niño (a) está por encima de la mediana de escolaridad del grupo de niños de su edad. Posteriormente, con el índice calculado se realiza una correlación entre los hermanos que comparten un mismo hogar. Cuando mayor sea la correlación encontrada, mayor será la importancia de los antecedentes familiares en el logro educacional de los adolescentes. Para una explicación detallada ver el artículo de los autores.
11Emplearon métodos como: correlaciones bivariadas, matrices de transición (mediante la estimación de un modelo de máxima verosimilitud utilizando un modelo probit ordenado medio de un análisis multivariante) y regresión lineal mediante mínimos cuadrados ordinarios (MCO).
12Valores aproximados
13En la estimación del modelo autorregresivo de primer orden los años de educación alcanzado por los hijos está en función de los años de educación alcanzado por el padre, en este análisis incluye además, una variable explicativa cuadrática (años de educación del padre)
14Katherine utiliza, al igual que Tenjo y Bernal (2004) la Encuesta de Calidad de Vida del año 2003 (ECV de 2003), pero realiza un análisis por cohortes de edad de acuerdo con los momentos en que los individuos toman las principales decisiones en materia educativa. Asimismo, el análisis por cohorte le permite reconstruir el pasado educativo de las personas encuestadas y abarcar el período analizado. Cabe destacar el uso de supuestos para la realización de la investigación, como la iniciación del ciclo educativo en la edad de 6 años, entre otros.
15Los autores utilizaron cadenas Markov, matrices de transición y el índice de Shorrocks e hicieron uso de la Encuesta Nacional de Hogares (1978-1998) y la Encuesta de Calidad de Vida de 1997.
16La unión semejante hace referencia a la correlación
Referencias bibliográficas
1. ANDERSEN, Lykke. Social Mobility in Latin America: Links with Adolescent Schooling. In: Inter-American Development Bank, Working Paper. No. 433 (July 2001); p. 1-45. [ Links ]
2. ARRIETA, Rosaura; GARCÍA, Aura, y DORIA, Elsa. Movilidad social en el asentamiento subnormal de ranchos del INAT 2004. En: Universidad Externado de Colombia-Facultad de Economía (2004); p. 1-19. [ Links ]
3. AZEVEDO, Viviane y BOUILLON, Cesar. Intergenerational social mobility in Latín América: a review of existing evidence. En: Revista de análisis económico. Vol. 25, No. 2 (Dic. 2010); p. 7-42. ISSN 0716-5927. [ Links ]
4. BEHRMAN, Jere; BIRDSALL, Nancy, y SZÉKELY, Miguel. Intergenerational schooling mobility and macro conditions and schooling policies in Latin América. En: Inter-American Development Bank, Working Paper. No. 386 (Sep. 1998); p 1-42. [ Links ]
5. BEHRMAN, Jere; GAVIRIA, Alejandro; SZÉKELY, Miguel. Intergenerational Mobility in Latin América. En: Economía. Vol. 2, No. 1 (2001); p. 1-44. [ Links ]
6. BENDIX, Reinhard, LIPSET, Seymour, y MALM, Theodore. Social origins and occupational career patterns. En: Industrial And Labor Relations Review. vol. 7, No. 2 (Jan 1954); p. 246-261. [ Links ]
7. BONILLA, Leonardo. Movilidad intergeneracional en educación en las ciudades y regiones de Colombia. En: Revista de economía del Rosario. Vol. 13, No. 2 (Dic. 2010); p. 191-233. ISSN 0123-5362. [ Links ]
8. CARTAGENA, Katherine. Educación y movilidad intergeneracional en Colombia, 1929-1996. En: Estudios Económicos de Desarrollo Internacional. Vol. 3, No, 2 (2003); p. 27-66. [ Links ]
9. CARTAGENA, Katherine. Movilidad intergeneracional en Colombia. En: Ensayos sobre política económica (Revista ESPE), No. 51 (2005). p. 208-261. ISSN 0120-4483. [ Links ]
10. COMISIÓN ECONÓMICA PARA AMÉRICA LATINA Y EL CARIBE. Panorama social de América Latina. En: Publicaciones de Naciones Unidas. (2011); p. 1-252. ISSN: 1020-5152. [ Links ]
11. COMISIÓN ECONÓMICA PARA AMÉRICA LATINA Y EL CARIBE. Una década de desarrollo social en América Latina, 1990-1999. En: Libros de la CEPAL. No. 77 (Marzo 2004); p. 197-219. ISBN: 92-1-322256-4. [ Links ]
12. CONCONI, Adriana; CRUCES, Guillermo; OLIVIERI, Sergio y SÁNCHEZ, RAÚL. E pur si muove? Movilidad, pobreza y desigualdad en América Latina. En: Económica, La Plata. Vol. LIV, No. 1-2 (2008); p. 121-159. [ Links ]
13. CORTÉS, Fernando. Reseña de ¿Cómo puede la educación contribuir a la movilidad social? Resultados de cuatro décadas de investigación sobre la calidad y los efectos socioeconómicos de la educación (1968-2008) de Carlos Muñoz Izquierdo. En: Revista Mexicana de Investigación Educativa. Vol. 15, No. 45 (2010); p. 621-626. ISSN 1405-6666. [ Links ]
14. DAHAN, Momi, y GAVIRIA, Alejandro. Sibling Correlations and Social Mobility in Latin America. In: Inter-American Development Bank, Working Paper. No. 395 (Feb. 1999); p. 2-29. [ Links ]
15. ESPINOSA, Aarón, y ARRIETA, Rosaura. Mobilidad social, educación y Mercado laboral en el departamento de Córdoba -Colombia. En: Revista de economía del Caribe No. 5 (2010); p. 103-142. ISSN: 2011-2106. [ Links ]
16. ESPINOZA, Juan. Matrices de transición y cadenas de Markov. En: Ciencia...Ahora. No. 20 (2007); p. 119-125. [ Links ]
17. ESPINOZA, Oscar; GONZÁLEZ, Luis, y URIBE, Daniel. Movilidad Social en Chile: El Caso del Gran Santiago Urbano. En: Revista de Ciencias Sociales. Vol. XV, No. 4, (Oct.-Dic. 2009); pp. 586-606. [ Links ]
18. FERRER, Juliana; CLEMENZA, Caterina, y PÉREZ, Rosario. Desafíos por la equidad del proceso educativo. Retos de las universidades públicas nacionales. En: Multiciencias. Vol. 5, No. 2 (2005); p. 105-116. ISSN: 1317-2255. [ Links ]
19. GAVIRIA, Alejandro. Los que suben y los que bajan Educación y movilidad social en Colombia. En: Fedesarrollo. (Febrero 2002); p. 1-34. [ Links ]
20. GAVIRIA, Alejandro. Movilidad social y preferencias por redistribución en América Latina. En: Documento CEDE. No. 3 (Enero 2006); p. 1-34. ISSN: 1657-7191. [ Links ]
21. GIL, María; DE PABLOS, Laura, y MARTÍNEZ, María. Los determinantes socioeconómicos de la demanda de educación superior en España y la movilidad educativa intergeneracional. En: Revista de Economía Pública. Vol. 193, No. 2 (2010); p. 75-108. [ Links ]
22. GÓMEZ, Galo. Reseña de Origen y consecuencias de las desigualdades educativas. Investigaciones realizadas en América Latina de Carlos Muñoz Izquierdo. En: Revista Mexicana de Investigación Educativa, Vol. 1, No. 2 (Jul. -Dic. 1996); p. 500-503. ISSN: 1405-6666. [ Links ]
23. GONZÁLEZ, Corina; MARTÍNEZ, María; MARTÍNEZ, Carolina; CUEVAS, Karen, y MUÑOZ, Liber. La educación científica como apoyo a la movilidad social: Desafíos en torno al rol del profesor secundario en la implementación de la indagación científica como enfoque pedagógico. En: Estudios Pedagógicos. Vol. 35, No. 1. (2009); p. 63-78. ISSN 0718-0705. [ Links ]
24. GONZÁLEZ, Cecilia, y SANROMÁN, Graciela. Movilidad intergeneracional y raza en Uruguay. En: DECON - Documentos de Trabajo. No. 13 (2010); p. 1-27. ISSN 1688-5031. [ Links ]
25. JORDÁN, María. ¿Quién con quién?, movilidad social y unión semejante, evidencia para el caso colombiano. En: Documento CEDE. No. 44 (Diciembre 2006); p. 2-55. ISSN 1657-7191. [ Links ]
26. JORRAT, Jorge. Exploraciones sobre movilidad ocupacional intergeneracional masculina en el Gran Buenos Aires. En: Desarrollo Económico. Vol. 27, No. 106 (1978). pp. 261 - 278. [ Links ]
27. KUHA, Jouni, y GOLDTHORPE, John. Path analysis for discrete variables: the role of education in social mobility. In: Journal of the Royal Statistical Society, Vol. 173, No. 2 (2010); p. 351-369. Online ISSN: 1467-985X. [ Links ]
28. LÓPEZ, Felipe. La Movilidad Social. En: Revista Mexicana de Sociología. Vol. 19, No. 2 (1957); p. 457-469. [ Links ]
29. MARQUÉS, IIdelfonso, y HERRERA, Manuel. La movilidad social en España y Andalucía. En: Policy papers - Fundación Centro de Estudios Andaluces - Consejería de la Presidencia. No. 4 (Diciembre 2009); p. 1-9. [ Links ]
30. MEDIAVILLA, Mauro. Movilidad intergeneracional educativa análisis del caso Brasileño. En: XIII Encuentro de Economía Pública. (2006); p. 1-12. [ Links ]
31. MEDIAVILLA, Mauro, y CALERO Jorge. Movilidad educativa en Latinoamérica. Un estudio para seis países. En: Revista Española de Educación Comparada. Vol. 16 (2010); pp. 287-303. ISSN 1137-8654. [ Links ]
32. MILANOVIC, Branko, y MUÑOZ, Rafael. La desigualdad de la distribución de la renta en América Latina: situación, evolución y factores explicativos. En: América Latina Hoy. No. 48 (2008); p. 15-42. ISSN 1130-2887. [ Links ]
33. MORENO, Almudena. La reproducción intergeneracional de las desigualdades educativas: límites y oportunidades de la democracia. En: Revista de Educación. Número Extraordinario. No. Extra 1 (2011); p. 183-206. ISSN 0034-8082. [ Links ]
34. MUÑOZ, Carlos, y MÁRQUEZ, Alejandro. Indicadores del desarrollo educativo en América Latina y de su impacto en los niveles de vida de la población. En: Revista Electrónica de Investigación Educativa (REDIE). -(en línea)- (2000: México). -(Citado 21 de Noviembre de 2012)- p. 77-97. ISSN 1607-4041. Disponible en internet: http://www.redalyc.org/articulo.oa?id=15502205. [ Links ]
35. NINA, Esteban, GRILLO, Santiago, y ALONSO, Carlos. Movilidad social y transmisión de la pobreza en Bogotá. En: Economía y Desarrollo. Vol. 2, No. 2 (septiembre 2003); p. 119-154. ISSN 1692-3901. [ Links ]
36. ORTEGA, Daniel. Movilidad social: cuando lo que cuenta es la familia. En: Debates IESA, Vol. 11, No. 2 (2006); p. 54-56. [ Links ]
37. PALOMAR, Joaquina, y LANZAGORTA, Nuria. Pobreza, recursos psicológicos y movilidad social. En: Revista Latinoamericana de Psicología. Vol. 37, No. 1 (2005); p. 9-45. ISSN 0120-0534. [ Links ]
38. PASQUIER-DOUMER, Laure. La evolución de la movilidad escolar intergeneracional en el Perú a lo largo del siglo XX. En: Boletín del Instituto Francés de Estudios Andinos. Vol. 31, No. 3 (2002); p. 429-471. ISSN 0303-7495. [ Links ]
39. PNUD. Informe Regional sobre Desarrollo Humano para América Latina y el Caribe 2010: Actuar sobre el futuro: romper la transmisión intergeneracional de la desigualdad. En: Programa de las Naciones Unidas para el Desarrollo (PNUD). (2010); p. 1- 208. [ Links ]
40. SAKODA, James, y COCHRAN, Lilian. Evitar el problema de herencia de status con una nueva medida de movilidad social. En: Revista Mexicana de Sociología. Vol. 38, No. 2 (1976); p. 435-442. [ Links ]
41. SÁNCHEZ, ADRIANA. Movilidad intergeneracional de ingresos y educativa en España (1980-90). En: Institut d' Economía de Barcelona (IEB). No. 1 (2004). pp. 1-33. [ Links ]
42. SOROKIN, Pitirim. Estratificación y Movilidad Social. En: Revista Mexicana de Sociología. Vol. 15, No. 1 (1953); p. 83-117. [ Links ]
43. SOROKIN, Pitirim. Segunda parte -Movilidad social. Capítulo VII: Movilidad social, sus formas y fluctuación. En: Revista Mexicana de sociología. Vol. 16, No. 2 (1954); p. 279-310. [ Links ]
44. REIMERS, Fernando. ¿Pueden aprender los hijos de los pobres en las escuelas de América Latina? En: Revista Mexicana de Investigación educativa. Vol. 5, No. 9 (Enero - Junio 2000 a); p. 11-69. ISSN-e 1405-6666. [ Links ]
45. REIMERS, Fernando. Educación, desigualdad y opciones de política en América Latina en el siglo XXI. En: Revista Latinoamericana de Estudios Educativos. No. 2. (2000 b); p. 21-50. ISSN 0185-1284. [ Links ]
46. RIVAS, Ricardo. Logro educacional en jóvenes y clase social de origen: El caso del Gran Concepción. En: Última década. No. 28 (Julio 2008); p. 123-142. ISSN 0718-2236. [ Links ]
47. RODRÍGUEZ, Carlos. La vigencia de la educación como mecanismo de movilidad social en la sociedad del conocimiento. En: Revista Regional de Investigación Educativa. No. 3 (2006); p. 66-80. [ Links ]
48. ROSATI, Germán. Consideraciones sobre algunas metodologías habituales para el análisis de tablas de movilidad social. Ventajas y limitaciones de una alternativa basada en cadenas de Markov. En: EMPIRIA: Revista de Metodología de Ciencias Sociales. No. 22, (Julio- Diciembre 2011); p. 67-90. ISSN: 1139-5737. [ Links ]
49. RUBIO, Carlos, y ECHEVERRÍA, Amaya. Modelos de Markov: una herramienta útil para el análisis fármaco económico. En: Pharmaeconomics - Spanish Research Articles. Vol. 3, No. 2 (2006); p. 71-78. [ Links ]
50. TENJO, Jaime, y BERNAL, Gloria. Educación y movilidad social en Colombia. En: Documentos de economía. No. 13 (2004); p. 1-41. ISBN 958683722-X. [ Links ]
51. URIBE, Consuelo. Ascensos y descensos en la reproducción social. En: Universitas Humanística. No. 59 (Enero 2005); p. 37- 51. ISSN 0120-4807. [ Links ]
52. URIBE, Consuelo; VÁSQUEZ, Socorro y PARDO, Camila. Subsidiar y segregar: la política de estratificación y sus efectos sobre la movilidad social en Bogotá. En: Papel Político. Vol. 11, No. 1 (Enero - Junio 2006). pp. 69-93. ISSN 0122-4409. [ Links ]
53. VIÁFARA, Carlos, y URREA, Fernando. Efectos de la raza y el género en el logro educativo y estatus socio-ocupacional para tres ciudades colombiana. En: Desarrollo y Sociedad. No. 58 (2006); pp. 115-163. ISSN 0120-3584. [ Links ]
54. VIÁFARA, Carlos; ESTACIO, Alexander y GONZÁLEZ, Luisa. Condición étnico-racial, género y movilidad social en Bogotá, Cali y el agregado de las trece áreas metropolitanas en Colombia: un análisis descriptivo y econométrico. En: Revista Sociedad y Economía. No. 18 (2010); p. 113-136. ISSN 1657-6357. [ Links ]












