Services on Demand
Journal
Article
Indicators
-
Cited by SciELO -
Access statistics
Related links
-
Cited by Google -
Similars in
SciELO -
Similars in Google
Share
Entramado
Print version ISSN 1900-3803
Entramado vol.9 no.2 Cali July/Dec. 2013
Eficiencia y productividad de la calidad educativa en municipios del departamento de Bolívar - Colombia1
Efficiency and productivity of the quality of education in municipalities in the State of Bolivar, Colombia
Eficiência e produtividade da qualidade educacional nos municípios do departamento de Bolívar, Colômbia
Francisco Javier Maza-Ávila*
Víctor Manuel Quesada-Ibargüen**
Juan Carlos Vergara-Schmalbach***
*Doctorando en Ciencias Sociales y Jurídicas y Magíster en Economía y Desarrollo Territorial de la Universidad de Cádiz, España. Especialista en Gestión Gerencial y Administrador Industrial de la Universidad de Cartagena, Colombia. Docente de Tiempo Completo de la Universidad de Cartagena, adscrito a la Facultad de Ciencias Económicas. Director del grupo de investigación en Estudios para el Desarrollo Regional. fmazaa@unicartagena.edu.co (autor para el envío de correspondencia).
**Doctor en Ingeniería de la Organización, Universidad de Sevilla, España. Docente de Tiempo Completo de la Universidad de Cartagena, adscrito a la Facultad de Ciencias Económicas. Director del grupo de Investigación Métodos Cuantitativos de Gestión y Calidad de la Educación- Reformas. vquezadai@unicartagena.edu.co
***Doctorando en Ciencias Sociales - Mención Gerencia de la Universidad de Zulia, Venezuela. Magister en Administración de la Universidad Nacional de Colombia. Ingeniero Industrial de la Universidad Tecnológica de Bolívar. Docente de Tiempo Completo de la Universidad de Cartagena adscrito a la Facultad de Ciencias Económicas. Miembro del Grupo de Investigación Métodos Cuantitativos de Gestión. jvergaras@unicartagena.edu.co
• Clasificación JEL: I21, R58, D24, M11
Fecha de recepción: 01 - 05 - 2013 Fecha de aceptación: 29 - 06 - 2013
Resumen
Objetivo: Realizar un análisis del crecimiento de la productividad y el cambio en eficiencia de la calidad educativa en 24 municipios del departamento de Bolívar Colombia, para el periodo 2007-2010. Métodos: Aplicación del Análisis Envolvente de Datos -DEA- e Índice de Malmquist para medir la eficiencia y la evolución temporal de la productividad de la calidad educativa de 24 municipios del departamento de Bolívar (Colombia), a partir de la información del número de alumnos cuya calificación en el examen Saber 11 (en adelante ICFES) fue Medio, Superior y Muy Superior (instituciones educativas oficiales), el número de docentes con escalafón mayor a grado 6 -o grado 2 del nuevo escalafón- y la inversión en educación en los últimos tres años, suministrada por el Departamento Nacional de Planeación. Resultados: Los resultados muestran que, en materia de calidad, no más del 8% de los municipios analizados se ubica en la frontera eficiente y en cuanto a la productividad, se observa una caída continuada, periodo tras periodo, ocasionada por el deterioro de la eficiencia. Conclusiones: Los recursos destinados para incrementar la calidad educativa en los 24 municipios del departamento de Bolívar analizados durante el periodo 2007-2010 no han sido utilizados de forma eficiente. Así mismo, se ha observado un deterioro de la productividad, como consecuencia de esta mala asignación de recursos.
Palabras clave: Eficiencia, calidad educativa, servicio público, análisis envolvente de datos, Índice de Malmquist, cambio técnico.
Abstract
Objective: Conduct a review of the growth of productivity and the change in efficiency of the quality of education in 24 municipalities in the State of Bolivar, Colombia, in the period from 2007 to 2010. Methods: Use of a Data Envelopment Analysis (DEA) and Malmquist index to measure the efficiency and evolution over time of the productivity of the quality of education in 24 municipalities in the State of Bolivar, Colombia, based on information supplied by the National Planning Department about the number of students whose scores on the Saber 11 test (hereinafter ICFES ) were Intermediate, High or Excellent (public educational institutions), the number of teachers whose rating was greater than 6 - or, alternatively, grade 2 according to the new rating scale -, and investment in education in the last three years. Findings: The findings show that, in terms of quality, no more than 8% of the municipalities in review ranks in the efficient range, and as far as productivity is concerned, there has been a continuing decline, period after period, as a result of impaired efficiency. Conclusions: The resources allocated to improve quality of education in the 24 municipalities in the State of Bolivar in review in the period from 2007-2010 have not been used in an efficient manner. There has also been deterioration in productivity due to this poor allocation of resources.
Keywords: Efficiency, quality of education, public service, data envelopment analysis, Malmquist index, technical change.
Resumo
Objetivo: Realizar uma análise do crescimento da produtividade e a mudança na eficiência da qualidade educacional em 24 municípios do departamento de Bolívar na Colômbia para o período de 2007-2010. Métodos: Aplicação da Análise Envoltória de Dados (AED) e Índice de Malmquist para medir a eficiência e a evolução temporal da produtividade da qualidade educacional de 24 municípios do departamento de Bolívar (Colômbia), a partir da informação fornecida pelo Departamento Nacional de Planejamento sobre o número de alunos cuja qualificação no exame Saber 11 (adiante ICFES) foi Médio, Superior e Muito Superior (instituições educacionais oficiais), o número de docentes com escalão superior a grau 6 - ou grau 2 do novo escalão- e o investimento na educação nos últimos três anos. Resultados: Os resultados mostram que, em termos de qualidade, não mais que 8% dos municípios analisados estão localizados na fronteira da eficiência, e quanto à produtividade, se observa uma queda continuada, período após período, ocasionada pela redução da eficiência. Conclusões: Os recursos destinados a aumentarem a qualidade educacional nos 24 municípios do departamento de Bolívar analisados durante o período 2007-2010 não foram usados de forma eficiente. Além disso, houve uma redução da produtividade como resultado dessa má distribuição dos recursos.
Palavras-chave: Eficiência, qualidade educacional, serviço público, análise envoltória de dados, índice de Malmquist, mudança técnica.
Introducción
Colombia, a partir de la entrada en vigencia de la Constitución de 1991, se definió como "…República unitaria, descentralizada, con autonomía de sus entidades territoriales,…" (Colombia, 1991). La descentralización a la que se refiere la Constitución de Colombia -en adelante CPC- obedeció, entre otras, a la necesidad de "concretar responsabilidades en la prestación de servicios y asignación de recursos" (Colombia, 2009). Este es un proceso que ha avanzado sustancialmente, al punto de situarse Colombia hoy día, junto a Brasil y Argentina, entre los países de América Latina con un avanzado nivel en materia de descentralización administrativa, política y fiscal, además de un alto índice de madurez de su proceso de descentralización2 (Vega, 2008) (Ver Tabla 1).

En lo fiscal, la descentralización le ha permitido a Colombia un incremento en las transferencias acorde con políticas fiscales, sectoriales y redistributivas, mejoramiento en los ingresos, ajuste en los gastos y un superávit fiscal orientado a la inversión local. En lo administrativo, se han descentralizado y clarificado competencias a las entidades territoriales, en educación, salud y servicios públicos (Colombia, 2009).
El Sistema General de Participaciones -en adelante SGP, mecanismo creado para el manejo de los recursos de transferencia a las entidades territoriales, ha permitido el establecimiento de asignaciones sectoriales a los departamentos y municipios, para ser distribuidas en educación, salud y agua potable y saneamiento básico, destinadas de acuerdo con sus competencias en cada sector y teniendo en cuenta los criterios de población atendida y a atender, equidad y eficiencia. El SGP crea, además, incentivos a la eficiencia fiscal y administrativa (Colombia, 2009; citado en Quesada, Blanco y Maza 2010). La Ley 715 de 2001, por la cual se dictan normas en materia de recursos y competencias de conformidad con los artículos 151, 288, 356 y 357 de la CPC establece que las Secretarías de Planeación Departamental, o quien haga sus veces, deberán elaborar un informe semestral de evaluación de la gestión y la eficiencia con indicadores de resultado y de impacto de la actividad local, cuya copia se remitirá al Departamento Nacional de Planeación -en adelante DNP- y deberá ser informado a la comunidad por los medios masivos de comunicación (Colombia, 2001).
Si bien en Colombia se han logrado importantes avances en materia de descentralización, aún persisten grandes diferencias sociales entre sus departamentos y municipios, en especial en el departamento de Bolívar. Cartagena de Indias; su capital, es una ciudad con un alto nivel de desarrollo comparativo, concentrando la oferta departamental de los servicios sociales desde el punto de vista privado y público (Maza, Navarro y Schamabach, 2012); además, en ella se ubican las principales dependencias oficiales de carácter departamental (gobernación, secretarías de Salud, de Educación, entre otras), en especial los principales centros de educación primaria, secundaria y universitaria, permitiéndole un mayor acceso a la oferta de educación, en comparación con el resto de los municipios bolivarenses.
Dadas las grandes diferencias sociales existentes en su interior, este artículo analiza la eficiencia y la evolución temporal en la productividad en la calidad educativa de 24 de los 46 municipios que conforman el departamento de Bolívar (aquellos que contaron con toda la información necesaria), acudiendo a un análisis de eficiencia a través del Análisis Envolvente de Datos -DEA, por sus siglas en inglés- y una descomposición del Índice de Malmquist, que permite separar los efectos de la variación en la eficiencia de los efectos del cambio tecnológico. Para ello se ha tomado como variables de análisis la información concerniente al número de alumnos cuya calificación en el Examen de Estado de la Educación Media - Saber 11 (más conocido como prueba ICFES) fue Medio, Superior y Muy Superior (para las instituciones educativas oficiales), el número de docentes oficiales con escalafón mayor a grado 6 -o grado 2 del nuevo escalafón- y la inversión en educación para el periodo 2007-20103. Esta información ha sido suministrada por el Departamento Nacional de Planeación.
Los aportes finales del artículo se centran en la definición de las variables, la elección del método, el análisis de la eficiencia comparativa por municipio y el análisis de la evolución de la productividad total de los factores (progreso técnico y cambios en la eficiencia) sobre la inversión destinada al incremento de la calidad en el sector educativo de los municipios en estudio. Para ello, se estructura el artículo de la siguiente manera: la primera parte muestra los aspectos legales que regulan la educación en Colombia; en la segunda se explica en qué consiste el DEA y el Índice de Malmquist, en general, y se particularizan los modelos a aplicar. A continuación se realiza la aplicación práctica de la herramienta al caso en estudio, lo que permite la obtención de los resultados de eficiencia de los entes territoriales evaluados y la evolución de su eficiencia y su progreso técnico. Finalmente, se presentan las conclusiones y recomendaciones del estudio.
1. La educación en Colombia
La educación no figura en la Constitución Política Colombiana bajo el acápite de los derechos fundamentales, pero aparece en el capítulo de los derechos sociales, económicos y culturales, donde es considerada un derecho fundamental de los niños y niñas. Luego en el Artículo 67, la cataloga como un derecho de la persona y un servicio público que tiene una función social (Lerma, 2007). Y a renglón seguido establece que:
- La educación será gratuita en las instituciones del Estado, sin perjuicio del cobro de derechos académicos a quienes puedan sufragarlos. Corresponde al Estado regular y ejercer la suprema inspección y vigilancia de la educación, con el fin de velar por su calidad, por el cumplimiento de sus fines y por la mejor formación moral, intelectual y física de los educandos, garantizar el adecuado cubrimiento del servicio y asegurar a los menores las condiciones necesarias para su acceso y permanencia en el sistema educativo. (Colombia, 1991).
La Corte Constitucional de Colombia mediante varias sentencias se ha pronunciado frente a la educación como derecho fundamental y para ello ha argumentado: El criterio empleado en este momento para determinar si un derecho es fundamental o no consiste en que se otorga
- …el calificativo de fundamentales en razón de su naturaleza, esto es, por su inherencia con respecto al núcleo jurídico, político, social, económico y cultural del hombre. Un derecho es fundamental por reunir estas características y no por aparecer reconocido en la Constitución Nacional como tal…(Sentencia T-418, 12 de junio de 1992. Mag. Pon. Simón Rodríguez) (Lerma, 2007).
De lo anterior, se infiere que la educación es un derecho fundamental, y el Estado colombiano tiene la responsabilidad de facilitar el acceso al sistema educativo, brindando oportunidades y condiciones que garanticen una cobertura y calidad que corresponda a la demanda de cupos escolares de todas las comunidades, de modo que ninguno de los sujetos de derecho sea excluido (Quesada et al., 2010). De ahí que el DNP esté orientando a los departamentos y municipios para la presentación de informes periódicos de la eficiencia en la aplicación de los recursos del SGP asignados a la educación. El DNP ha sugerido que la estimación de la eficiencia se desarrolle mediante DEA.
2. Metodología
2.1. Selección del método
Este artículo midió la eficiencia y la productividad de la calidad educativa de 24 municipios que integran el departamento de Bolívar. Cabe destacar que las investigaciones en el campo de la medición del desempeño del sector público -en especial, en el sector educación- han sido aplicadas en diversos lugares alrededor del mundo y con diferentes técnicas que se ofrecen como alternativa para establecer "medidas" del desempeño de estas instituciones. Según Díez-Martínez (2007), estos métodos pueden dividirse en dos grupos:
-
Aquellos que comparan el desempeño de las Unidades de Decisión (o DMU, por sus siglas en inglés: Decision Making Units )4 con un conjunto de posibilidades de producción idealizadas (o parametrizadas). Entre estos se encuentran a) Enfoque de frontera determinista; b) Método de máxima verosimilitud; c) Método de los mínimos cuadrados corregidos y d) Enfoque de frontera estocástica.
-
Los métodos que analizan el conjunto de DMU's comparándolas entre ellas mismas (sin un parámetro ideal previamente definido). Entre éstos figuran: a) Free-Disposal Hull y b) Análisis Envolvente de Datos.
El Análisis Envolvente de Datos (DEA, por sus siglas en inglés) es uno de los métodos más populares. Basado en la programación matemática -no paramétrica-, permite calcular un índice de eficiencia técnica relativa. Este método fue introducido inicialmente por Charnes, Cooper y Rhodes (1978), quienes analizaron para aquel entonces la educación en varios centros públicos norteamericanos, por lo que su origen y aplicación desde aquel entonces ha estado concentrada al análisis de la eficiencia en el sector público (Tavares, 2002). Según Maza, Navarro y Puello (2012), entre las principales ventajas del DEA se encuentran:
-
Permite muchas generalizaciones.
-
Es mucho más flexible que los métodos econométricos.
-
Relaja el supuesto de convexidad de los conjuntos de posibilidades de producción.
-
Por su generalidad y flexibilidad puede incorporar errores de medición y de variables no controlados.
-
Los resultados se circunscriben solo a los datos analizados, y en ningún momento se puede hacer inferencias respecto al universo de datos.
-
Los datos son los que determinan cuál es la función, y no se intenta estimar una función. En este sentido no se necesita establecer una forma funcional inicial.
-
El método es sensible a la introducción o exclusión de datos. Ante un cálculo inicial, si se extrae o adiciona otra observación, el cálculo de la eficiencia variará.
-
Así, es una medida relativa de la eficiencia de las observaciones consideradas.
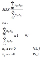
El modelo se formaliza asumiendo que hay n DMU's a ser evaluadas, cada una de las cuales consumen m inputs diferentes para producir s outputs también diferentes. La DMUj utiliza un monto de Xj = xij inputs (i = 1,..., m) y produce un monto de Yj = ykj productos (k = 1,..., s). La matriz sxn de medida del producto es designada por Y, y la mxn de medida de los inputs se designa por X. Se asume además que xij³0 y ykj ³0 (Quesada, et al., 2010). Si se evalúa la eficiencia de una DMU particular, se construye el siguiente modelo a ser optimizado:

Donde vij y ukj son, respectivamente, los pesos correspondientes a cada entrada y cada salida; m el número total de entradas consideradas y s el número de salidas de la DMU; ε es un número infinitesimal (no arquimediano), que garantiza que ninguna DMU asignará valor cero como peso de algún input o output.
En cuanto a la medición de la productividad, y teniendo en cuenta que uno de los factores determinantes de la competitividad de un sector y, por tanto, de su capacidad de crecimiento es la productividad total de los factores -PTF-, que básicamente recoge aquellas variaciones de la producción que no son explicadas por los cambios meramente cuantitativos en el uso de los factores trabajo y capital (Reig y Picazo, 1997; citado en Marco-Serrano y Rausell-Koster, 2006), se propone en este artículo la estimación de los índices de productividad de Malmquist. Para ello se ha seguido la metodología propuesta por Fare, Grosskopf, Norris y Zhang (1994), que permite descomponer el crecimiento de la PTF en dos componentes: cambios en la eficiencia técnica y en la tecnología a lo largo del tiempo. Esta estimación parte de la definición del índice de Malmquist basado en el output, en el que se supone que en cada período t=1,...T, la tecnología en producción St modela la transformación de inputs, X t ∈
en outputs, Y t ∈
.
St = {(Xt,Yt): Xt puede producir Yt}
Para elaborar el índice de Malmquist es preciso definir funciones de distancia con respecto a dos períodos diferentes. La función de distancia del output en t se especifica como5:

Esta función se define como el recíproco de la máxima expansión proporcional del vector de output Yt, dados los inputs Xt, y caracteriza completamente la tecnología. En particular,
si y solo si (Xt,Yt) ∈ St.
Adicionalmente,
si y solo si (Xt,Yt) está en la frontera tecnológica. En la terminología de Farell (1957) este último caso ocurre cuando la producción es técnicamente eficiente.
La función de distancia anterior mide el máximo cambio proporcional en outputs requerido para conseguir que (Xt+1, Yt+1) sea factible en relación con la tecnología en t. De forma similar, se puede definir la función de distancia que mida la máxima proporción de cambio en output necesaria para que la combinación (Xt,Yt) sea factible con relación a la tecnología en t+1, que se denomina
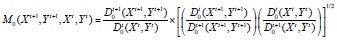
. Así pues el índice de productividad en output de Malmquist se define como:

en el que la tecnología en t es la tecnología de referencia. Alternativamente, es posible definir un índice de Malmquist basado en el período t+1:

La elección de una u otra tecnología de referencia resulta una cuestión relevante. Por este motivo, para resolver el problema que puede representar la consideración de una tecnología fija, Fare et al. (1994) definen el índice de Malmquist de cambio en productividad basado en el output como la media geométrica de los índices de Malmquist especificados con anterioridad:

O, en forma equivalente:

Esta última expresión permite desagregar la evolución que sigue la productividad en dos componentes. El primero hace referencia al cambio en la eficiencia, cuyas mejoras se consideran evidencia de "catching-up", es decir, de acercamiento de cada una de las DMU a la frontera eficiente.
Por su parte, el segundo componente indica cómo varía el cambio técnico, y por tanto, si el desplazamiento de la frontera eficiente hacia el input de cada DMU está generando una innovación en esta última. Mejoras en el índice de Malmquist de cambio en productividad conducen a valores por encima de la unidad, al igual que sucede con cada uno de sus componentes.
2.2. Definición de las variables (inputs y outputs)
El DNP propuso a los entes territoriales medir la eficiencia en dos productos fundamentales: la matrícula educativa y la calidad de la educación; este artículo se refiere al segundo producto: la calidad de la educación. Aquí se considera que la educación es de calidad cuando todos los niños y jóvenes, independientemente de sus condiciones socioeconómicas y culturales, alcanzan los objetivos propuestos por el sistema educativo, los cuales están establecidos en la Ley General de Educación, y realizan aprendizajes útiles para su vida y para la sociedad (Colombia, 2002).
Por su parte, la falta de calidad se entiende como la brecha existente entre los estándares mínimos de aprendizaje, establecidos por el sistema educativo, que debe alcanzar un estudiante como resultado de procesos coherentes con los desarrollos políticos, culturales, científicos, tecnológicos y ambientales, que satisfagan las expectativas de la sociedad, de la institución y del mismo individuo, además de su logro efectivo.
El DNP recomienda como producto, los resultados del Examen de Estado para el ingreso a la educación superior o SABER 11 (más conocidos como prueba ICFES) en el entendido de que reflejan la calidad de la educación. El desarrollo conceptual del proceso educativo, en el ámbito de la función de producción, considera que el rendimiento escolar de un estudiante depende de la conjunción de varios factores, tales como las características del entorno familiar, las habilidades innatas y demás peculiaridades internas del estudiante, las características de grupos de compañeros y los recursos o factores escolares, entre otros, que tienen que ser considerados en el caso educativo.
Sin embargo, los resultados pueden ser afectados por la exclusión de algunos de estos factores directos que no se han endogenizado, no por ausencia de discusión en torno a éstos sino porque es difícil su medición o por la limitación impuesta por la información estadística disponible.
Teniendo en cuenta lo señalado, el DNP propone para la función de producción, que posibilite medir la eficiencia de la calidad de la educación, los productos e insumos relacionados en la Tabla 2.

La variable Prueba SABER 11 refleja las competencias adquiridas por los jóvenes en el proceso de aprendizaje y por ello se considera como el producto final en calidad. El insumo Número de docentes con escalafón superior a grado seis o grado 2 del nuevo escalafón (N° docentes), está asociado al mejoramiento de la calidad, en la medida en que se espera que la inversión que hacen los municipios, departamentos y los mismos docentes en formación y capacitación se revierta en mayores aprendizajes para los alumnos. Se presume que a mayor Nivel de escalafón, la calidad de la educación debe mejorar, dados los demás factores constantes. Adicionalmente, se considera la Inversión en educación en los últimos 3 (Inversión) como un insumo que revierte a nivel local en la calidad de la educación.
2.3. Población del estudio
En primer lugar, cabe aclarar que no todos los municipios del departamento de Bolívar han sido incluidos en el cálculo de eficiencias ni en los subsiguientes, relacionados con la productividad y cambio técnico, debido a la ausencia de datos para algunos o todos los años en estudio. Así pues, los 24 municipios que se incluyen poseen información en todo el periodo 2007 a 2010. La información fue obtenida de las bases de datos del Departamento Nacional de Planeación.
Para la estimación de la eficiencia se recurre al modelo de retornos constantes a escala -modelo CCR- con orientación al input teniendo en cuenta, en cuanto a lo primero, que para el cálculo posterior del Índice de Malmquist se requiere que el rendimiento a escala sea constante (Thanassoulis, 2001), y en cuanto a lo segundo, que tratándose de CRS, la eficiencia técnica es igual para la orientación input y output. En la Tabla 3 se resumen los datos, para los años en estudio, de las variables a incluir en el modelo para la función de producción de calidad.

3. Resultados empíricos
3.1. Eficiencia en la calidad educativa
En la Tabla 4 se muestran los resultados del cálculo de la eficiencia técnica de 24 municipios del departamento de Bolívar, para los años 2007 a 2010, para lo cual se empleó el software EMS (Holger, 2001). En el 2007, sólo dos municipios -Santa Rosa del Sur y Turbaco- resultan eficientes en calidad, figurando entre los más ineficientes Arenal, Calamar, Cantagallo, Clemencia, Santa Catalina, Pinillos, Simití y Villanueva, cuyas eficiencias registradas no alcanzan el 30%. En 2008 se observa nuevamente como eficientes a Santa Rosa del Sur y Turbaco; ya en 2009, salen de la frontera eficiente los dos municipios hasta ahora eficientes y entra Villanueva como único municipio eficiente, con lo que el promedio sufre una gran caída (llega a 23,51%). En 2010, nuevamente Santa Rosa del Sur y Turbaco, conforman la frontera eficiente.

Los promedios anuales de eficiencia -los cuales no sobrepasaron en ninguno de los años analizados un valor superior al 45%- revelan que, en general, los municipios de Bolívar no están haciendo un uso eficiente de los recursos que les son transferidos mediante el SGP con destino al mejoramiento de la calidad educativa, lo que hace urgente la intervención de los organismos encargados de la vigilancia del sistema, a fin de que se tomen medidas que permitan corregir las desviaciones (ver Tabla 4).
3.2. Evolución de la eficiencia en la calidad educativa
Este apartado trata sobre el movimiento que pudieran mostrar los municipios hacia la frontera eficiente, ya sea por innovación o por cambio técnico que se haya dado en el medio educativo y que afecte positivamente el aprovechamiento de los recursos asignados para mejorar la calidad educativa, o por el esfuerzo individual de los municipios por la mejora de su eficiencia. El índice de productividad de Malmquist (IPM) permite evidenciar las situaciones referidas, mediante su descomposición en dos factores: uno conocido como "Innovación", "cambio técnico" o Frontier-Shift (PT) y el "Cambio de eficiencia", "Convergencia a la frontera" o Catch-Up (CE). Este último se relaciona con el grado en que un municipio mejora su eficiencia, en relación con aquellos que le sirven de referentes, mientras que el Movimiento de la Frontera refleja los movimientos hacia mayor productividad de los municipios inicialmente eficientes, entre dos períodos.
La Tabla 5 muestra el comportamiento de las variables en cuestión, a través de los tres períodos comprendidos entre los años 2007 y 2010. Para el primer periodo de análisis (2007-2008) se observa una caída de la productividad media de casi dos puntos porcentuales, motivados principalmente, por una caída en la eficiencia. Cabe anotar que sólo cuatro municipios -Calamar, Mahates, San Juan Nepomuceno, Santa Catalina y Villanueva- alcanzaron un incremento en su productividad que, en todo caso, no superó el 10,52%, en promedio.

Para el periodo 2008-2009, la caída experimentada en la productividad es de casi el 60%, motivada por una disminución en la eficiencia promedio (51,35%), junto con un retroceso tecnológico (19,1%). Cabe destacar que en este periodo ninguno de los municipios alcanzó a incrementar su productividad, como sí había sucedido en el periodo antecesor. Ya para el periodo 2009-2010 se observa un incremento en la productividad promedio de más del 119%, principalmente por un incremento de la eficiencia de un año a otro (63,53%), acompañado por un incremento en el cambio tecnológico (34,21%). En este periodo todos los municipios considerados en el análisis experimentaron crecimiento de su productividad7.
4. Conclusiones
En este artículo se analizaron la eficiencia y la evolución temporal en la productividad en la calidad educativa de 24 de los 46 municipios que conforman el departamento de Bolívar, acudiendo al Análisis Envolvente de Datos -DEA- y la descomposición del Índice de Malmquist, A través de lo expuesto a lo largo de este artículo, y pese a las limitaciones de información, ha sido posible establecer que los 24 municipios del departamento de Bolívar han tenido en los cuatro (4) años analizados un desempeño que no evidencia una utilización adecuada de los recursos asignados mediante el Sistema General de Participación -SGP- al mejoramiento de la calidad educativa. Los resultados de eficiencia no son alentadores, puesto que los municipios eficientes son sólo algo más del 8% anualmente, lo que indica que con los recursos que se aplican a la calidad bien podría lograrse una mejor calidad educativa a este nivel, medida por los resultados de la prueba SABER 11.
Por su parte, y en cuanto a la productividad medida por el Índice Malmquist, se observa una pérdida de la productividad (aunque con un repunte en el periodo 2009-2010) ocasionada, principalmente, por un deterioro de la eficiencia año tras año, lo que sugiere la necesidad de un trabajo institucional en cada municipio y por parte de la Gobernación de Bolívar para lograr que los entes territoriales hagan mejor uso de los recursos asignados para el mejoramiento de la calidad educativa.
Es necesario reiterar, como se ha hecho en artículos anteriores (Maza et al., 2012a y Maza et al., 2012b) el llamado a las instituciones que ejercen vigilancia y control en este sector para velar no sólo por el cumplimento en la buena asignación del gasto, sino también a robustecer los controles necesarios para asegurar la captura de la información de todos los municipios, para garantizar así resultados más precisos, de tal suerte que apoyen una gestión adecuada de los recursos públicos.
Notas
1Artículo resultado del proyecto de investigación Medición de la eficiencia de los servicios sociales del departamento de Bolívar.2Este índice de madurez se refiere a una clasificación más compleja que proviene de un índice que valora: hay elecciones de alcaldes y gobernadores; de qué tantas atribuciones tributarias gozan; qué responsabilidades de ejecución del gasto tienen los gobiernos sub-nacionales; qué tan automáticas y de libre asignación son las transferencias de recursos fiscales, y qué tan controlado está el endeudamiento de los gobiernos sub-nacionales.
3Cabe destacar que el análisis de eficiencia es uno de los momentos de evaluación del desempeño de los entes territoriales establecidos en la Ley 715 de 2001: evaluación de la eficacia municipal, evaluación de la eficiencia, evaluación de la gestión, evaluación de requisitos legales, evaluación de entorno y correlación y causalidad entre los índices de los componentes ya señalados.
4Las entidades que son evaluadas con DEA se conocen como unidades de decisión (Decision Making Units - DMU), término que permite referirse a un grupo amplio de unidades organizacionales que pueden ser divisiones de una organización, empresas, entes territoriales e incluso países
5Las funciones de distancia se calculan utilizando la técnica de frontera no paramétrica DEA que se desarrolla en el artículo de Seiford y Thrall (1990).
6Convenciones: Dpto = Departamento, Mpio = Municipio, DDTS = Dirección de Desarrollo Territorial Sostenible, SFPT= Subdirección de Finanzas Públicas territoriales, DDS = Dirección de Desarrollo Social, DNP = Departamento Nacional de Planeación, Formulario F= Formulario SICEP, ICFES = Instituto Colombiano para el Fomento de la Educación Superior, Mineducación = Ministerio de Educación Nacional, Minprotección = Ministerio de la Protección Social, SICEP= Sistema de Información para la Captura de la Ejecución Presupuestal.
7Se debe señalar, sin embargo, que el resultado de este periodo debe ser analizado con sigilo, puesto que está precedido de un período de débiles resultados. El resultado actual obedece, entonces, a una recuperación de la productividad desde un periodo claramente retraído.
Referencias bibliográficas
1. ÁLVAREZ, Antonio. La medición de la eficiencia y la productividad. Madrid: Pirámide, 2001; p. 27. [ Links ]
2. BANKER, Rajiv, CHARNES, Abrahan, y COOPER, William. Some Models for Estimating Technical and Scales Inefficiencies in Data Envelopment Analysis. En: Management Science, Vol 30 (1984); p. 1078-1092. [ Links ]
3. BONILLA, María, CASASUS, Trinidad., MEDAL, Amparo., y SALA, Ramón.. Un Análisis de la Eficiencia de los Puertos Españoles. En: VI Jornada de ASEPUMA, Universidad de Valencia, Departamento de Economía Financiera y Matemática: Santiago de Compostela. 1998; p. 9. [ Links ]
4. CHARNES, Abrahan, COOPER, William., y RHODES, Edwardo. Measuring Efficiency of Decision Making Units. En: European Journal of Operational Research, Vol. 3 (1978); p. 62-74. [ Links ]
5. COLOMBIA, CONSTITUCIÓN POLÍTICA (1991), Bogotá [ Links ].
6. COLOMBIA, Departamento Nacional de Planeación. Visión de la Descentralización y del Ordenamiento Territorial 2019. Pereira: 2009. [ Links ]
7. COLOMBIA, LEY 715 de Diciembre 21 de 2001, Bogotá [ Links ].
8. COLOMBIA, Departamento Nacional de Planeación, Orientaciones a la Administraciones Departamentales para realizar la Evaluación del Desempeño Municipal Vigencia 2007. Bogotá: 2008. [ Links ]
9. COLOMBIA, Ministerio de Educación Nacional. Evaluación Censal de la Calidad. En: Revolución Educativa Colombia Aprende, Bogotá: 2002. [ Links ]
10. COOPER, William, SEIFORD, Lawrence, y TONE, Kaoru. Data Envelopment Analysis, a comprehensive text with models, applications, references, and DEA-solver software. In: Ed. K.A. Publisher, United States of America (2000); p. 52. [ Links ]
11. DÍEZ-MARTÍN, Francisco. Análisis de la eficiencia de los departamentos universitarios: el caso de la Universidad de Sevilla. España: Editorial Dykison, 2007; p. 158. [ Links ]
12. FÄRE Rolf, GROSSKOPF Shawna, NORRIS Mary y ZHANG Zhongyang. Productivity growth, technical progress, and efficiency change in industrialized countries. In: The American Economic Review, Vol. 84, No. 1 (Mar., 1994); p. 66-83. [ Links ]
13. FARRELL M. The measurement of productive efficiency. In: Journal of the Royal Statistical Society (Series A). Vol. 120, N° 3 (1957); p. 253-290. [ Links ]
14. HOLGER Scheel. EMS: Efficiency Measurement System. User's Manual. 2000. [ Links ]
15. LERMA, Carlos. El derecho a la Educación en Colombia. Buenos Aires: Ed. Fundación Laboratorio de Políticas Públicas, 2007. [ Links ]
16. MARCO-SERRANO, Francisco, y RAUSELL-KÖSTER, Pau. Análisis de la productividad en el sector de la cultura y el ocio español: Una perspectiva regional. En: Estudios de Economía Aplicada, Vol. 24, N° 2 (2006); p. 699-722. [ Links ]
17. MAZA, Francisco, VERGARA, Juan, & NAVARRO, Jorge. Eficiencia de la inversión en el régimen subsidiado en salud en Bolívar - Colombia. En: Investigaciones ANDINA, Vol. 14, N° 24 (2012); p. 386-400. [ Links ]
18. MAZA, Francisco, NAVARRO, Jorge, y PUELLO, Joaquin. ¿Fue eficiente la asignación de recursos en el suministro de agua potable en el departamento de Bolívar - Colombia en el periodo 2007-2008? En: Revista Entramado, Vol. 8, N° 1 (Ene. Jun. 2012); p. 58-70. [ Links ]
19. VEGA, Nestor. Asociacionismo municipal e inversión, y la descentralización en América Latina. En: Carrión, Fernando y Villaronga, Brigitta (eds.) Descentralizar: un derrotero a Seguir. Ecuador: Ediciones FLACSO, 2008. [ Links ]
20. QUESADA, Víctor, BLANCO, Ingrid y MAZA, Francisco. Análisis envolvente de datos aplicado a la cobertura educativa en el departamento de Bolívar - Colombia (2007-2008). En: Revista OMNIA, Vol. 16, N° 3 (2010); p. 77-100. [ Links ]
21. REIG, Ernest y PICAZO Andrés. Capitalización y Crecimiento de la Economía Valenciana 1955-1995. Fundación BBV, 1997; p. 1-335. [ Links ]
22. THANASSOULIS, Emmanuel. Introduction to the theory and application of Data Envelopment Analysis. Birmingham: Kluwer Academic Publishers, ed. 1, 2001. [ Links ]
23. TAVARES, Gabriel. A bibliography of data envelopment analysis (1978-2001). En: Rutcor research report. Rutgers University, 2002. [ Links ]
24. ZHU, Joe. Quantitative Models for Performance, Evaluation and Benchmarking: DEA with Spreadsheets and DEA Excel Solver. Boston: ed. Springer, 2003. [ Links ]












