Services on Demand
Journal
Article
Indicators
-
Cited by SciELO -
Access statistics
Related links
-
Cited by Google -
Similars in
SciELO -
Similars in Google
Share
Entramado
Print version ISSN 1900-3803
Entramado vol.12 no.1 Cali Jan./June 2016
https://doi.org/10.l804l/entramado.2016v12n1.23128
http://dx.doi.org/10.18041/entramado.2016v12n1.23128
Situación y retos de Colombia en materia de comercio exterior, en el marco de la Alianza del Pacífico*
Colombia's Foreign Trade Situation and challenges in the Pacific Alliance
Situação Colômbia e desafios no comércio exterior, no âmbito da Aliança do Pacífico
Diego Alejandro Montoya-Uribe**, Carlos Hernán Gonzalez-Parias***, Lisbeth Katherine Duarte-Herrera****
* Este texto presenta los resultados de la investigación: Observatorio de Comercio Exterior Colombiano, realizada en el año 2015 por el Grupo de Investigación en Estudios Internacionales de la Institución Universitaria Esumer.
** Magíster en Comercio y Relaciones Internacionales Universidad París 12. Negociador Internacional, Universidad EAFIT, Colombia. Docente tiempo completo de la Institución Universitaria Esumer Medellín - Colombia diego.montoya@esumer.edu.co
*** Candidato a Doctor en Relaciones Internacionales, Universidad Nacional de La Plata, Argentina. Magíster en Gobierno y Politólogo Universidad de Medellín. Docente tiempo completo e investigador institución Universitaria Esumer, Medellín - Colombia carlos.gonzalez88@esumeredu.co
**** Magíster en Políticas Públicas Colegio Mayor de México. Politóloga, Universidad Nacional de Colombia, Medellín. Docente de tiempo completo de la institución Universitaria Esumer. Medellín - Colombia lisbeth.duarte@esumeredu.co
Este es un artículo Open Access bajo la licencia BY-NC-SA (http://creativecommons.org/licenses/by-nc-sa/4.0/)
Cómo citar este artículo: MONTOYA-URIBE, Diego Alejandro; GONZALEZ-PARIAS, Carlos Hernán; DUARTE-HERRERA, Lisbeth Katherine. Situación y retos de Colombia en materia de comercio exterior en el marco de la Alianza del Pacífico. En: Entramado. Enero - Junio 2016. vol. 12, no. 1, p. 50-65, http://dx.doi.org/10.18041/entramado.2016v12n1.23128
Recibido: 11/10/2015 Aceptado: 10/12/2015
Resumen
La Alianza del Pacífico se define como una iniciativa de integración profunda que procura abordar temas complejos (no de índole exclusivamente comercial) y que se fundamenta en las motivaciones y aspiraciones de los países miembros y fundadores, que tienen como objetivo lograr: una eficiente apertura comercial, la incursión a nuevos mercados y la inserción en las Cadenas Globales de Valor (GCV). A pesar de que entre Colombia y cada uno de los países que hoy conforman la Alianza del Pacífico existen acuerdos y tratados comerciales de décadas atrás, una revisión de la dinámica comercial entre el país cafetero y este grupo evidencia: por una parte, el deterioro en el volumen de las exportaciones, y por otra, un aumento de las importaciones, principalmente con México, lo que ha generado una balanza comercial en déficit, y un rezago considerable de apertura comercial, medida en términos per cápita. No obstante, al profundizar en el análisis por medio de la aplicación de indicadores como el de Balassa, se determina una cierta estabilidad y eficiencia de Colombia al exportar hacia estos países, como también la existencia de un grupo de productos con una considerable ventaja comparativa, pero poco exportados por el país cafetero.
Palabras clave: Alianza del Pacífico, comercio exterior: acuerdo regional, ventaja comparativa.
Códigos JEL F15
Abstract
The Pacific Alliance is an initiative characterized by deeper integration that seeks to address complex issues (not those related exclusively to trade). The PA is founded on the motivations and aspirations of its founder countries. The PA aims to achieve efficient trade liberalization, entry into new markets and integration into Global Value Chains (GVC). Although the existing trade agreements between Colombia and each of the member countries date from several decades ago, a current review of trade dynamics between Colombia and all the other member countries highlights, on the one hand, the deterioration in the volume of exports, and on the other hand, an increase in imports, mainly from Mexico. This has generated a negative trade balance and a considerable lag in terms of openness to foreign trade, measured in per capita terms. However an indepth analysis through the application of indicators such as Balassa, shows Colombia possesses a measure of stability and efficiency to export to these countries, as well as highlighting the existence of a group of products with considerable comparative advantage, but barely exported by Colombia.
Keywords: The Pacific Alliance, Foreign Trade, Regional Agreement, Comparative Advantage.
JEL classification F15
Resumo
A Aliança do Pacífico é definida como uma iniciativa de integração profunda que procura abordar questões complexas (natureza não puramente comercial) e baseia-se nas motivações e aspirações dos países membros e fundadores, que visam alcançar: uma liberalização do comércio eficiente a incursão em novos mercados e integração nas Cadeias Globais de Valor (GCV). Embora entre a Colômbia e cada um dos países que hoje compõem a Aliança do Pacífico, existem acordos comerciais e tratados de décadas atrás, uma revisão da dinâmica das trocas comerciais entre o país de café e este grupo evidência: por um lado, a deterioração o volume de exportações, e, por outro, o aumento das importações, principalmente do México, o que gerou um déficit da balança comercial e um atraso considerável de liberalização do comércio, medido em termos per capita. No entanto, uma análise mais aprofundada através da aplicação de indicadores, tais como Balassa, determina-se uma certa estabilidade e eficiência da Colômbia para exportar para esses países, bem como a existência de um grupo de produtos com considerável vantagem comparativa, mas pouco café exportado pelo país.
Palavras-chave: Pacific Alliance, comércio exterior acordo regional, a vantagem comparativa.
Classificações JEL F15
Introducción
Dentro de la larga lista de procesos de integración y bloques comerciales surgidos en América Latina, particularmente desde la segunda mitad del siglo XX, recientemente se suma la Alianza del Pacífico (AP), la cual surge en la Primera Cumbre de la Alianza en la ciudad de Lima, en el mes de abril de 2011 (Alianza del Pacífico, 2015), siendo los fundadores: México, Colombia, Perú y Chile, quienes en la actualidad continúan siendo en su totalidad los miembros plenos. Citando a Esteban Actis, estos países comparten, al menos al momento de la fundación de la Alianza, una serie de variables importantes a tener en cuenta, tales como: a) una estrategia de desarrollo con orientación liberal, b) una inserción en la economía internacional de corte aperturista, por medio especialmente del TLC, c) un similar modelo de vinculación con los Estados Unidos que va entre el acoplamiento y el acomodamiento, d) un rol semejante en el sistema internacional actual, caracterizado por ser una periferia moderna, e) un relacionamiento en términos de cooperación, comercio y política con potencias occidentales (OCDE) y en términos comerciales con la región de Asia Pacífico, f) un tipo de regionalismo renovado o del siglo XXI (Actis, 2014). Aspectos, quizás entre otros, que permitieron la concertación y definición de una serie de objetivos estratégicos para cada uno de los miembros de la alianza. "Uno de los principales desafíos para América Latina en la próxima década será el de mantener en el tiempo altas tasas de crecimiento" (Foxley & Meller, 2014), no siendo Colombia ajena a este desafío, al igual que sus pares de la AP, el cual se concentra en buena medida en la consolidación del país andino en una potencia exportadora regional, en donde la AP se constituye en una herramienta estratégica para tal logro.
Por lo tanto, el presente artículo se concentra en el ámbito de inserción a la economía internacional de corte aperturista, con el fin de avanzar y contribuir a la comprensión profunda e integral de las dinámicas y características de los flujos de comercio entre Colombia y el resto de la Alianza del Pacífico y así brindar un pequeño esbozo acerca de las posibles implicaciones de tipo comercial que podría traer para Colombia dicha Alianza, sin desconocer que el esquema de integración profunda, o nuevo regionalismo renovado (González, Montoya, & Duarte, 2014), contempla dimensiones más allá del ámbito económico-comercial y por lo tanto, sus efectos no se pueden reducir a esta dimensión. También puede contribuir al diseño de una estrategia de competitividad para el mejor aprovechamiento de los mercados que brinda el acuerdo de la Alianza del Pacífico.
Para tales fines, el artículo se estructura en tres partes: la primera consiste en caracterizar la estructura general del comercio exterior de Colombia con el resto de países miembros de la Alianza, abordando aspectos tales como: exportaciones e importaciones con su respectiva evolución de la participación en el total de Colombia, la intensidad comercial, exportaciones per cápita, evolución de la balanza comercial bilateral de Colombia con México, Perú y Chile, y el coeficiente de correlación de Pearson entre el PIB y exportaciones intra Alianza del Pacífico. La segunda parte consiste en un análisis con mayor nivel de detalle en donde se abordan cuestiones como la complementariedad comercial y el índice de Balassa. Finalmente, una tercera parte que se ocupa de brindar las respectivas conclusiones y recomendaciones.
Metodología
El presente avance de investigación se sustenta en trabajos adelantados por el grupo de investigación en Estudios Internacionales de la Institución Universitaria Esumer y principalmente en la búsqueda y análisis de información estadística de tipo comercial. Tal búsqueda se concentró en bases de datos de instituciones y organismos oficiales de los diferentes países de la Alianza del Pacífico, como también, en organismos internacionales tales como la CEPAL y el Banco Mundial. Tal información fue depurada y clasificada, con el fin de evitar sesgo.
Posteriormente, con base en dicha información se construyeron indicadores e índices tales como: participación de las exportaciones e importaciones colombianas con cada miembro de la Alianza, Indice de Intensidad Comercial intrarregional o absoluta, Indice de Intensidad Comercial relativa, exportaciones per cápita, Coeficiente de Correlación de Pearson, el índice de Balassa. Indices con su correspondiente lectura y análisis con el fin de brindar evidencia sobre la situación y retos en comercio exterior colombiano frente a los demás países de la Alianza del Pacífico.
La fase inicial para analizar la complementariedad comercial entre Colombia y los demás miembros de la Alianza del Pacífico, es el reconocimiento y caracterización de los rasgos principales de los flujos de comercio entre el país cafetero y el resto del grupo. Esta primera etapa permite identificar la evolución de los flujos, los cambios experimentados, las balanzas comerciales bilaterales y el peso que históricamente ha tenido el comercio con México, Perú y Chile, en el total de intercambios comerciales para Colombia (Tabla 1, pág. 53).
La participación de las exportaciones colombianas en cada uno de los países de los que hoy conforman la Alianza del Pacífico, sobre el total de lo exportado por el país cafetero desde el año 2000, no ha presentado mayores alteraciones, lo cual indica poca potencialidad y poca complementariedad comercial entre Colombia y estos países, y la necesidad de una mayor oferta exportadora por parte de Colombia. Más aun teniendo en cuenta que la existencia de acuerdos y mecanismos comerciales bilaterales entre Colombia con México, Perú y Chile, no es reciente.
En el caso de Perú, los acuerdos comerciales se remontan hasta la década de los años 60 del siglo XX, con la creación del Grupo Andino, que entró en vigencia el 16 de octubre de 1969, cuyos lazos comerciales se vieron profundizados y facilitados por medio de la reforma realizada en 1996, en el VIII Consejo Presidencial en la ciudad peruana de Trujillo, dando origen a la actual Comunidad Andina de Naciones. Incluso, se puede constatar que entre el 2000 y el 2014, se presenta una disminución aproximada de 0.63% de las exportaciones dirigidas al país inca.
Por otra parte, el comercio entre Colombia y México antes de la entrada en vigencia del acuerdo comercial del G-3, el 1° de enero de 1995, era bajo: "entre 1991 y 1995, las exportaciones colombianas a México no superaron el 2% de las exportaciones colombianas al mundo y las importaciones provenientes de México representaron aproximadamente un 3% de las importaciones totales de Colombia" (Estevadeordal & Robert, 2001, p. 183). A pesar de ser anterior al periodo analizado en la Tabla 1, lo que se evidencia año tras año desde la vigencia del acuerdo con México, es un lento despegue de las exportaciones en contraste con un gradual y progresivo aumento de las importaciones. En promedio en el periodo comprendido entre 2010-2014, las exportaciones colombianas hacia el país centroamericano representaron 1.48% dentro del total de sus exportaciones, mientras que las importaciones representaron un 9.9% dentro del total de las importaciones colombianas para el mismo periodo. Por lo tanto, las exportaciones colombianas a México en la actualidad representan un poco menos de lo registrado entre 1991 y 1995, pero la dependencia colombiana de las importaciones mexicanas se ha multiplicado por tres, en los mismos periodos.
Con Chile, los instrumentos para el fomento y facilitación del comercio bilateral también vienen de décadas atrás. El primer acuerdo comercial entre estas dos naciones suramericanas data desde 1993 con el Acuerdo de Complementación Económica N° 24; posteriormente, tras las negociaciones del Tratado de Libre Comercio, suscrito en mayo del 2006, a este primer instrumento se añade el protocolo adicional, y en mayo de 2009 entra en vigencia el TLC bilateral. No obstante, en este caso tampoco se evidencia una interdependencia comercial creciente como resultado de la existencia de acuerdos comerciales entre las dos economías; al inicio del siglo XXI, las exportaciones e importaciones a la nación austral representaban cerca del 1.45% y 2.04% respectivamente, y para el año 2014, la realidad no fue muy diferente registrando un 1.80% en la participación en las exportaciones totales colombianas y un 1.70% en el de las importaciones.
Por lo tanto, con base en la información y el análisis anterior, se determina que la interdependencia comercial entre Colombia con cada uno de los miembros de la Alianza del Pacífico, a pesar de la existencia de mecanismos y acuerdos de integración bilaterales, desde lustros atrás, no ha generado un aumento de la penetración de los productos colombianos a estos países y por lo tanto se está aún lejos de aumentar a niveles importantes de interdependencia comercial (Figura 1, Ver pág. 54).
Ahora bien, hecha la sumatoria de las respectivas participaciones, tanto en exportaciones como en importaciones colombianas al conjunto de los tres países de la Alianza, se concluye que: por el lado de las exportaciones, en lo que va corrido del siglo han tenido pocas alteraciones, con un mínimo de 5.7% registrado en el año 2014 y un máximo de participación de 7.6% en los años 2011 y 2012, participación relativamente baja en un mercado que para Colombia representa cerca de 169 millones de consumidores y con una capacidad adquisitiva creciente, con un PIB per cápita en promedio de USD 17.079 (Fondo Monetario Internacional, 2015).
Un indicador de comercio exterior, que ayuda a determinar la importancia y el nivel de participación del flujo comercial, importaciones y exportaciones de Colombia, cuyo origen y destino sea la Alianza del Pacífico, en el total del comercio colombiano, es el índice de intensidad comercial intrarregional o absoluta.
Índice de intensidad comercial intrarregional o absoluta

Xij Corresponde a todas aquellas exportaciones de origen del país i con destino al país j. Mij, indica las importaciones que llegan al país i provenientes del país j. En este caso Colombia corresponde a i y México, Perú y Chile corresponde, por separado, a j. El denominador Xi + Mij, indica todas aquellas exportaciones del país i con destino a la región o grupos de países que se deseen analizar, sumado a las importaciones que llegan al país i con origen en la región o grupo de países. En este orden de ideas, Colombia se representa por i y el grupo de países: México, Perú y Chile, se representa, en conjunto, por j. (Tabla 2).
Como se pudo anticipar gracias a la Figura 1, la mayor intensidad comercial de Colombia con los restantes tres países que hoy componen la Alianza del Pacífico, ha tenido un incremento gradual desde la década del 2000, con su mayor dinamismo en el 2011, en donde después empieza un preocupante descenso de la intensidad comercial con el resto del bloque, que de continuar podría retomar los niveles de intensidad comercial de inicios de siglo XXI.
Índice de Intensidad Comercial relativa
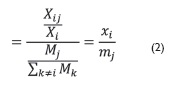
Ahora bien, el índice de Intensidad Comercial relativa (Iij), parte de los desarrollos de Drysdale y Garnaut (1982) en la década de 1960 y adaptado por los aportes de Anderson & Nordheim (1993). Resulta de establecer la intensidad relativa de las exportaciones y la intensidad relativa de las importaciones; la primera se determina:

Xi indica las exportaciones totales del país i. Por lo tanto
indica la participación de las exportaciones del país i a j, sobre el total de las exportaciones de i. Mj indica las importaciones totales del país j y corresponde al total de las importaciones mundiales, diferentes del país i.
En ese orden de ideas, la intensidad relativa de las importaciones se determina así:

Siguiendo la misma lógica que la intensidad relativa en las exportaciones, para las importaciones tenemos que:
es la participación de las importaciones del país i al país j, sobre el total de las exportaciones de i.
a la participación de las exportaciones del país j en el total de las exportaciones mundiales, sin contar las exportaciones de i.
Por lo tanto, el índice de intensidad comercial relativa:

Este índice no sólo considera la evolución de las participaciones bilaterales, tal y como se muestra en la Tabla 3 (pág. 56), sino también relaciona tales participaciones con el comercio mundial, es decir, la proporción de las importaciones del país j en relación con las importaciones mundiales, descontando a i; por lo tanto; es un índice que ayuda a determinar las posibilidades de un futuro incremento de las relaciones comerciales entre las partes analizadas2
La intensidad relativa comercial (Figura 2), no hace más que confirmar la existencia de una tendencia preocupante para Colombia frente al comercio exterior, con sus similares de la Alianza del Pacífico, el país en los últimos tres años ha venido perdiendo la importancia comercial ganada en años anteriores en el comercio exterior de Perú, Chile y México, con respecto al comercio de estos países en el mundo. De igual forma, sobresale el caso de Perú, con el cual, históricamente, Colombia ha registrado una importante intensidad comercial, la cual inició un proceso de descenso desde el 2005 con un moderado repunte en el periodo 2013-2014.
Lo anterior se ve reforzado por la evidencia que arroja el índice de exportaciones per cápita, donde el promedio de Perú, México y Chile indica niveles altos de apertura comercial, superiores al resto de la región latinoamericana, tal como se aprecia en la Figura 3.
Se aprecia allí la vocación exportadora que han ido consolidando los países de la Alianza del Pacífico, en donde es evidente el rezago de Colombia en este indicador que incluso se encuentra por debajo del promedio del resto de América Latina.
Retomando la participación de las exportaciones colombianas con destino a México, Perú y Chile, se puede destacar que en 2014 estuvo lejana de economías como la de Estados Unidos, la Unión Europea y China; receptoras del 25.7 %, 17.2% y 10.5% respectivamente, de las exportaciones colombianas, e incluso, inferior a la participación de Panamá que para el mismo año registró un 6.6% (Ministerio de Comercio, Industria y Turismo, 2015).
En el reverso de la moneda se encuentran las importaciones, cuya participación experimentó un ascenso gradual año tras año desde el 2000, hasta lograr su máximo de participación en el 2011 con un 14.61%. No obstante, a fin de evitar conclusiones superficiales y ligeras, es pertinente profundizar el análisis por medio de la identificación del tipo de bienes importados, actividad que se realiza en la segunda sección del artículo, ya que es posible que dichas importaciones incluyan de forma significativa bienes intermedios que faciliten la inserción de Colombia a las cadenas globales de valor (CGV):
Cada día la producción y las exportaciones de un país son más dependientes de las importaciones. Esto ha debilitado mucho la visión mercantilista del comercio exterior en la cual las exportaciones son buenas porque crean empleos y las importaciones son malas porque los destruyen. Hoy, para producir y exportar son tan necesarios los trabajadores como las importaciones (Alvarez & Bermúdez, 2012).
En el siglo XXI, tradicionalmente Colombia ha registrado balanzas comerciales bilaterales con superávit con Chile y Perú y deficitaria con México. No obstante, gradualmente tales superávit, año tras año, se han reducido de forma alarmante, cerrando finalmente el 2014 con un déficit de USD 18 millones con Perú y un cada vez más pequeño superávit con Chile de USD 116 millones, cuya balanza bilateral disminuyó, entre 2012 y 2014 USD 1. 107 millones.
Por su parte, el déficit comercial con México, a pesar de reducciones en los años 2013 y 2014, continúa en niveles altos siendo la nación azteca, para el 2014, el cuarto mayor origen de las importaciones colombianas con un 8.2%, solo superado por los Estados Unidos, China y la Unión Europea, con unas participaciones respectivas de 28.4%, 18.4 y 13.7%. El déficit en balanza comercial con México constituye el segundo mayor déficit comercial de Colombia, solo superado por los USD 5.397 millones con China. (Figura 4)
A modo de complemento de la Tabla 2, la Gráfica 2, permite observar la evolución que ha tenido la balanza comercial de Colombia en conjunto con los restantes tres países de la Alianza del Pacífico, en los periodos analizados. Es decir, se identificaron los flujos de exportaciones de Colombia a cada uno de los países de la Alianza y el total se restó con los flujos de las importaciones totales de los tres países en conjunto. Se evidencia que en los últimos 14 años la balanza siempre ha sido deficitaria para Colombia, aumentando este saldo negativo año tras año para cerrar el 2014 con un déficit cercano al USD 4.261 millones. (Figura 5).
Con el fin de observar de una forma más detallada, en la Figura 5 se identifica que desde los primeros años del presente siglo, la brecha entre importaciones y exportaciones ha ido en aumento, el comercio de Colombia con sus similares de Chile, México y Perú aumentó constantemente desde el año 2000 hasta el 2012, año desde el cual se identifica un descenso tanto en importaciones como en exportaciones, tales aumentos no eran directamente proporcionales.
El mayor dinamismo en los flujos de comercio entre Colombia y el conjunto de los tres países de la Alianza se logra en el periodo 2010-2012 en donde el promedio de dicho comercio rondó los USD 11.130 millones anuales, este crecimiento coincide con el buen comportamiento económico de los cuatro países, en donde el crecimiento promedio anual en conjunto fue de 4.89%; 5.3% en 2010, 4.9% en 2011 y finalmente 4.4% en 2012. En los años 2013 y 2014 se evidencia una disminución de las exportaciones colombianas y un sutil repunte de las importaciones de origen de la Alianza, lo que responde en buena medida al enfriamiento económico que ha experimentado la región latinoamericana y del cual no escapan los países de este esquema integracionista, los cuales en su conjunto crecieron 2.8% en 2013 y 2.6% en 2014 (Ministerio de Comercio, Industria y Turismo, 2015).
Con el fin de reforzar el argumento anterior, se empleó el coeficiente de correlación de Pearson4, relacionando las tasas de crecimiento anual del PIB de cada uno de los cuatro países que hoy conforman la Alianza de Pacífico y la variable de crecimiento anual de las exportaciones de cada uno de estos países hacia el resto del hoy bloque regional. El análisis realizado con este coeficiente evidencia una relación positiva y significativa al 1%, entre las variables analizadas; es decir, a cambios en una de las variables la otra se ve afectada de forma directa y positiva; incrementos de las exportaciones al resto de los tres países de la Alianza, se ve manifestado en un incremento del producto interno bruto del país exportador. Tal correlación es más evidente en México, seguido de Perú, Colombia y finalmente Chile. El resultado se explica en razón del total exportado por México a los tres países, que correspondió, entre 2010-2014 en promedio, a USD 8.951 millones en FOB, constituyéndose así en la potencia exportadora al interior de la Alianza. (Tabla 4).
2. Ventajas comparativas de grupos de productos colombianos hacia el resto de la Alianza de Pacífico
Tanto el regionalismo abierto como los diferentes mecanismos de integración regional, incitan de forma implícita a una especialización de los países, con el fin de lograr una mejor distribución y optimización de las capacidades y de los recursos disponibles en un mundo globalizado y cada vez más competitivo. Se suele afirmar que en el de comercio exterior se logra un nivel económico óptimo cuando los países exportan aquellos bienes para los cuales tienen ventaja comparativa, e importan aquellos para los que tienen desventaja comparativa (Arias S & Segura, 2004). Por lo tanto, el análisis bilateral o con respecto a un grupo regional, de las ventajas o desventajas comparativas, ayuda a diseñar estrategias para orientar tanto el comercio como la inversión, lo que genera ciertas ventajas en la demanda u oferta internacional de bienes y servicios. Se entiende que un país con ventaja comparativa es aquel que presenta un menor costo de oportunidad de los recursos: sin olvidar, que uno de los fines de la alianza es lograr una efectiva inserción en las Cadenas Globales de Valor (CGV); lo anterior no excluye la posibilidad de convertir a este bloque regional en una plataforma para la optimización y aumento de la eficiencia del comercio intra- bloque. En ese sentido, retomando a Garay (1998), citado por García & Maldonado (2013), al señalar que para consolidar un proceso de apertura e internacionalización eficiente es necesario consolidar una inserción progresiva y creativa en el mercado internacional.
Ahora bien, una vez descrita y analizada la evolución y estructura general de los intercambios comerciales de Colombia con cada uno de los países que conforman la Alianza del Pacífico, el siguiente apartado tiene como cometido hacer más específico el análisis, identificando los grupos de productos, con uso de la Clasificación Unificada de Comercio Internacional (CUCI), que en el último lustro ha registrado las participaciones más altas en el total de productos colombianos exportados de cada uno de los tres restantes países de la AP, para así determinar la eficiencia exportadora o no, de Colombia, basados en las ventajas comparativas, como también identificar una serie de grupos de productos con baja participación en las exportaciones colombianas, pero que registran en promedio estables y considerables ventajas comparativas, y por lo tanto, potencial para mejorar tal participación.
El índice de Balassa compara la participación de las exportaciones de un producto o sector o grupo de productos en un país, con la participación de las exportaciones de ese mismo producto, sector o grupo de productos, en el comercio a analizar, sea mundial, regional o de un solo país. En pocas palabras, si la participación de mercado en un producto específico supera su participación de mercado global, estamos frente a una ventaja comparativa del país en particular con su producto.
Para estos efectos, se emplea el índice de Balassa (IB) normalizado para comparar la participación de las exportaciones de una serie de grupos de productos (según clasificación CUCI). Ecuación (5):
corresponde a las exportaciones del producto k cuyo origen es el país i y el destino es el país j. Por lo tanto, XTj obedece a las exportaciones totales del país i al j.
indica las exportaciones que realiza al mundo el país i del producto k. Finalmente, XTiw son todas las que envía el país i al mundo en el periodo analizado.
No obstante, para facilitar un mejor lectura y tratabilidad, el índice se puede normalizar a un máximo de 1 y mínimo de -1 (Durán & Ávarez, 2008). Ecuación (6)
Es posible entonces realizar la siguiente lectura:

En las Tablas 5, 5.1 (ver pág. 60) y 6 (ver pág. 60), se muestran los resultados arrojados, sobre los principales grupos productos de origen colombiano que más se han exportado en promedio a los diferentes países de la Alianza del Pacífico en el periodo comprendido entre el 2010 y el 2014, haciendo uso de la Clasificación Uniforme para el Comercio Internacional (CUCI). También incluye, tanto la participación de cada grupo de productos en el total exportado de Colombia hacia el determinado país de la AP, como el promedio de la ventaja comparativa revelada normalizada.
En primer lugar, es necesario señalar que en los cinco años analizados, la lista de los 14 grupos de productos de mayores exportaciones de Colombia hacia Perú, se ha mantenido altamente estable y con pocos cambios, se destaca la creciente importancia del grupo "846" (Accesorios de vestir de tela, sean o no de punto o ganchillo), el cual en años anteriores al 2014, ocupaba lugares cercanos pero fuera de esta lista de 14 y para este último año ocupa la posición 13 con una participación cercana al 2% y con una tendencia a consolidarse en los próximos años como un importante grupo de exportación.
Por otra parte, se evidencia que 12 de los 14 grupos de productos de la lista presentan ventaja comparativa considerable, en promedio de 0.65, y solo dos grupos de productos muestran desventaja comparativa, los códigos "333" y "334" referidos a Aceites de petróleo o aceites obtenidos de minerales bituminosos, crudos y no crudos, tal desventaja en estos grupos de productos se repetirá frente a Chile y a México. Con respecto al grupo "333", con una desventaja promedio de -0.50, su participación en el total exportado atraviesa por una etapa de descenso a partir del 2013, no obstante, a pesar de tal perdida de participación aún continúa siendo el grupo de productos con mayor participación en la oferta exportadora colombiana hacia el Perú.
Por otra parte, se observa también una estabilidad en cuanto a la participación total de los 14 grupos de productos en las exportaciones colombianas hacia Perú, la cual promedia un 61.5%, que indica una oferta exportadora medianamente diversificada y con potencial para nuevos productos.
En ese orden de ideas, no obstante la estabilidad en la composición de la oferta exportadora de Colombia hacia Perú, por medio del índice de Balassa, se logró identificar un conjunto considerable de grupos de productos, que, sin parecer reduccionistas, partiendo de un índice alto y estable en los últimos años, pueden representar buenas oportunidades de cara a una mayor oferta exportadora hacia el país inca. Sobresalen grupos de productos como tractores, estaño y caucho sintético, los cuales en promedio superan un índice de 0.8 pero en el periodo observado su participación es marginal en el total de exportaciones colombianas, ocupando posiciones entre los 130 y 173 en promedio. (Tabla 5,1 pág 60).
El caso de las exportaciones colombianas hacia Chile es un poco diferente a las que tienen por destino a Perú. En primer lugar, de la lista de los 14 grupos de productos con mayor participación en las exportaciones al país austral, solo cinco cuentan con un ventaja, es decir, con un índice superior de 0.33. Con Chile se hace más evidente la pérdida de participación del grupo de productos "333" el cual para el año 2012 representaba un 55.9% de las exportaciones colombianas y en el 2014 desciende a un 10.1% ubicándose en el segundo producto de mayor exportación hacia Chile. En segundo lugar, a excepción del grupo "333", los restantes 13 grupos, a pesar de contar con comercio intraproducto o desventaja, han incrementado sus participaciones en los últimos años; no obstante tales incrementos no han sido en la misma proporción de la disminución del grupo "333" lo cual se ve expresado en la disminución del valor total de exportaciones colombianas hacia Chile en cerca de la mitad en el periodo 2012-2014, tal como se evidencia en la Tabla 1.
Finalmente, a pesar de la disminución de la participación de esta lista de 14 grupos de productos de mayor exportación hacia Chile, aún continúa siendo, con respecto a Perú y Mexico, la oferta exportable colombiana de mayor concentración y menor diversificación. Es decir, en promedio en lo cinco años analizados, el 86.02% de las exportaciones colombianas hacia Chile, se concentraron en 14 grupos de productos de un total de 262 según la clasificación CUCI revisión 4 (Departamento de Asuntos Ecónomicos y Sociales, 2006). Incluso, si de la lista anterior se excluyen productos denominados "minero energéticos" que corresponden a los códigos 322 y 333, para el año 2014, estos dos grupos concentraron más del 50% del total exportado hacia el país austral, siendo también la constante en cada año analizado. (Tabla 6.1, pág. 62).
Ahora bien, en la indagación sobre grupos de productos con potencial para aumentar su participación en el total de exportaciones colombianas hacia dicho destino, basados en un índice con ventaja y estable en los años analizados, los resultados hallados evidencian una pequeña opción de grupos de productos con tales características, en total 4, con un índice de Balassa promedio de 0.6. (Tabla 7, pág. 62)
También, en dicho resultado, se observa que el rango de participación de tales grupos de productos se encuentra, en general, entre el puesto 68 y 38, lo cual indica una potencialidad mediana, es decir, no es tan marginal su participación en el total de exportaciones.
En ese orden de ideas, la exportación de bienes colombianos hacia Chile, en la actualidad cuenta con pocas opciones de ampliación de la oferta exportadora, según las ventajas comparativas, dada la importante apertura comercial chilena, expresada en el acceso de numerosos mercados.
En la lista de grupos de productos con mayor participación en las exportaciones colombianas hacia México, sobresale el repunte en los últimos años, puntualmente desde el 2012, que ha registrado el grupo de productos "781" (Automóviles y otros vehículos automotores diseñados principalmente para el transporte de personas), dicho comportamiento se explica en razón del "Protocolo Modificatorio al Tratado de Libre Comercio Colombia-México", el cual entró en vigor en agosto de 2011, y precisamente, una de las modificaciones se refiere a la desgravación de dicho grupo de productos (Secretaría Federal de Economía, 2012).
México, es el país miembro de la A.P. con quien Colombia presenta un mayor déficit en balanza comercial. En este sentido, disminuir la brecha de tal balanza es uno de los principales retos en materia comercial de Colombia, en el mediano plazo, a lo que a la Alianza del Pacífico se refiere, a diferencia de Chile, con el país azteca se logró identificar un universo más amplio de grupos de productos, con potencial, basados en su índice de Balassa, de aumentar significativamente las exportaciones.
En el grupo identificado se destaca la potencialidad de grupos de productos como: "Manufacturas de corcho" y "Otros productos químicos orgánicos", con índice promedio de 0.9 y 0.71, respectivamente, los cuales, en el periodo analizado ocuparon posiciones en el total exportado, superiores a la casilla 100. (Tabla 7.1)
Conclusiones
La pertinencia y efectividad de la Alianza del Pacífico no debe ser determinada solo a la luz de los resultados comerciales, si bien este aspecto ocupa una posición de suma importancia, tal esquema de integración bajo su denominación de integración profunda, propende por abarcar diversas áreas temáticas. No obstante, se concluye, que Colombia en materia comercial no se haya en una posición cómoda, con respecto a los demás socios de la Alianza, en especial con Chile y México, los cuales se constituyen en importantes potencias comerciales de la región, como resultado de un proceso de apertura y conquista de mercados más continuo y antiguo que el colombiano. Particularmente con el país azteca es alarmante el incremento gradual del déficit comercial.
Incluso, es preocupante para Colombia una suerte de estancamiento de los flujos de exportaciones hacia estos destinos, cosa contraria ocurre con las importaciones provenientes de estos países. Es decir es mucho menor el ritmo de crecimiento de las exportaciones colombianas que el de 5 las importaciones, lo cual en los últimos años ha agudizado una balanza comercial deficitaria bilateral, entre el país cafetero y los restantes miembros de la Alianza en conjunto.
Particularmente entre los retos que tiene Colombia, con el fin de convertir a la Alianza del Pacífico en una importante plataforma para el comercio, se destacan los siguientes: Incrementar las ventas externas hasta un nivel más adecuado a las necesidades de financiamiento externo. Diversificar las exportaciones hacia productos de mayor valor agregado, en busca de cambiar un modelo tradicionalmente basado en la comercialización de bienes primarios o extractivos, lo anterior se manifiesta como algo necesario en el caso puntual del comercio con Chile, en donde más del 50% de lo exportado son bienes minero-energéticos, con un muy bajo valor agregado. Otro reto importante va encaminado en la misma dirección del aumento de las exportaciones con valor agregado, como uno de los mecanismos tendientes a lograr uno de los objetivos propios de la Alianza, de insertar a las economías miembros en las Cadenas Globales de Valor.
Conflicto de intereses
Los autores declaran no tener ningún conflicto de intereses.
Notas
1 En donde indica todas aquellas exportaciones colombianas con destino al respectivo país de la hoy Alianza del Pacífico, son las exportaciones colombianas totales en el periodo especificado. Mij son las importado- 8 nes que llegan a Colombia con origen en cada país de la Alianza y Mi son las importaciones totales de Colombia.
2 Cuando Iij=l se traduce que no existe sesgo geográfico en el comercio 9 entre i y el socio j en el sentido de que la participación de j en las exportaciones de i y en las importaciones mundiales es la misma. Si Ij > 1 (Iij < 1), la proporción de las exportaciones del país i que tienen por destino el socio j es mayor (menor) que la que correspondería de acuerdo con la participación de j en la demanda mundial de importaciones, es decir, la que existiría en ausencia de sesgo geográfico (Aponte, Castro, & González, 2012)
3 Para realizar el promedio del resto de América Latina se tomaron los siguientes países: Bolivia, Ecuador, Costa Rica, República Dominicana, El Salvador, Guatemala, Honduras, Nicaragua, Panamá, Argentina, Brasil, Paraguay, Uruguay y Venezuela.
4 El coeficiente de correlación de Pearson (r), en dónde; si r = 1, existe una correlación positiva perfecta, por lo tanto el índice indica una dependencia total entre las dos variables denominada relación directa lo que indica que cuando una de ellas aumenta, la otra también lo hace 13. en proporción constante. Si 0 < r < 1, existe una correlación positiva. Si r = 0, no existe relación lineal. Pero esto no necesariamente implica que las variables son independientes: pueden existir todavía relaciones no lineales entre las dos variables. Si -1 < r < 0, existe una correlación negativa. Si r = -1, existe una correlación negativa perfecta. El índice indica una dependencia total entre las dos variables llamada relación inversa: cuando una de ellas aumenta, la otra disminuye en proporción constante.
5 Rango de participación en exportaciones, se refiere a la más baja y a la más alta posición ocupada por el grupo de productos en la lista de productos exportados de Colombia hacia el país en cuestión, en el periodo determinado.
Referencias bibliográficas
1. ACTIS, Esteban. Brasil y sus pares sudamericanos de la "Alianza del Pacífico". Divergencias regionales en las opciones nacionales e internacionales. En: Relaciones Internacionales. Enero-Junio, 2014, vol. 23, no. 46, p. 71-87. [ Links ]
2. ADUANAS CHILE. Estadísticas. En: Aduanas Chile. [en línea] 2015. [Citado el: 13 de agosto de 2015.] https://www.aduana.cl/series-estadisticas/aduana/2007-04-l8/155859.html. [ Links ]
3. ALIANZA DEL PACÍFICO. ¡Qué es la alianza?. En: Alianza del Pacífico. [en línea] 2015. [Citado el: 25 de julio de 2015.] http://alianzapacifico.net/que-es-la-alianza/#estructura-y-organigrama. [ Links ]
4. ÁLVAREZ RUBIANO, Martha Cecilia y BERMÚDEZ QUINTERO, Marco Aurelio. Mincit. Abril 2012 Obtenido de Mincit: http://www.mincit.gov.co/descargar.php?id=63058. [ Links ]
5. ANDERSON, Kym and NORHEIM Hegel. From Imperial to Regional Trade Preferences: Its Effect on Europe's Intra and Extra-Regional Trade. In: Weltwirtschaftliches Archiv. Marzo, 1993, vol 129, no. 1, p. 78-101. [ Links ]
6. APONTE JARAMILLO, Elizabeth; CASTRO URBANO, Emma Beatriz y GONZÁLEZ RODRÍGUEZ, Carlos Eduardo. Relaciones Comerciales y crecimiento económico de los países de la Comunidad Andina de Naciones (1990-2010). En: Gestión y Región. Julio-Diciembre, 2012, no.14, p. 105-118. [ Links ]
7. ARIAS SEGURA, Joaquín y SEGURA RUÍZ, Oswaldo. Índice de ventaja comparativa revelada: un indicador del desempeño y de la competitividad productivo-comercial de un país. En: InterCambio, 2004, p. 1-8. [ Links ]
8. BANCO CENTRAL DE CHILE. Estadísticas. En: Banco Central de Chile. [en línea] 2015. [Citado el: 7 de agosto de 2015.] http://www.bcentral.cl/estadisticas-economicas/series-indicadores/index_se.htm. [ Links ]
9. BANCO CENTRAL DE CHILE. Indicadores de Comercio Exterior. Cuarto trimestre 2014. En: Minería De Chile. [en línea] 2015. [Citado el: 4 de agosto de 2015.] http://www.mch.cl/wp-content/uploads/sites/4/2015/02/Reporte-comercio-exterior-2014.pdf. [ Links ]
10. BANCO MUNDIAL. Datos. En: Bancomundial. Abril, 2015. Obtenido de Bancomundial: http://datos.bancomundial.org/indicador/NY.GDP.MKTP.KD.ZG. [ Links ]
11. BARRAGÁN VÁSQUEZ, Luis. La orientación geográfica del comercio exterior ecuatoriano hacia los paises de Asia Pacifico. 2009 Quito: Grupo para la Investigación y Docencia Económica (GRIDE). [ Links ]
12. CEPAL. Interactive Graphic System of International Economic Trends Cepal. En: Cepal. [en línea] 2015. [Citado el: 27 de julio de 2015.] http://www.cepal.org/comercio/ecdata2/ [ Links ]
13. COLOMBIA. MINISTERIO DE COMERCIO, INDUSTRIA Y TURISMO. Perfiles económicos y comerciales por países. En: Mincit. [en línea] 2015. [Citado el: 4 de agosto de 2015.] http://www.mincit.gov.co/publicaciones.php?id=17622. [ Links ]
14. COLOMBIA. MINISTERIO DE COMERCIO, INDUSTRIA Y TURISMO. Acuerdos comerciales y de inversión. En: Mincomercio. [en línea] 2015. [Citado el: 4 de agosto de 2015.] http://www.tlc.gov.co/. [ Links ]
15. DEPARTAMENTO DE ASUNTOS ECONÓMICOS Y SOCIALES. Unstats. 2006. Obtenido de Unstats: http://unstats.un.org/unsd/publication/SeriesM/SeriesM_34rev4s.pdf. [ Links ]
16. DRYSDALE, Peter and GARNAUT, Ross. Trade Intensities and the Analysis of Bilateral Trade Flows in a Many-Country World: A Survey. In: Hitotsubashi Journal of Economics. Febrero, 1982, vol 22, no 2, p. 62-84. [ Links ]
17. DURÁN LIMA, José Elías y ÁLVAREZ, Mariano. Indicadores de comercio exterior y política comercial: mediciones de posición y dinamismo comercial. Santiago de Chile: Naciones Unidas, 2008. [ Links ]
18. FONDO MONETARIO INTERNACIONAL. World Economic Outlook Database. En: Imf. [en línea] 2015. [Citado el: 4 de agosto de 2015.] http://www.imf.org/external/pubs/ft/weo/2015/0l/weodata/index.aspx. [ Links ]
19. FOXLEY Alejandro y MELLER, Patricio. Alianza del Pacífico: en el proceso de integración latinoamericana. Santiago de Chile: Cieplan, 2014. 140 p. [ Links ]
20. GARAY SALAMANCA, Luis Jorge, et al. Colombia: Estructura industrial e internacionalización 1967-1966. Bogotá: Departamento Nacional de Planeación. 1998. [ Links ]
21. GARCÍA LUNA, Rafael y MALDONADO ATENCIO, Alexander. (2013). Competitividad del calzado de cuero colombiano: perspectiva de la ventaja comparativa revelada (1980-2008). En: Dimensión Empresarial. Enero-Junio, 2013. vol. 11, no. 1, p. 77-91. [ Links ]
22. GONZÁLEZ PARIAS, Carlos Hernán; MONTOYA URIBE, Diego Alejandro y DUARTE HERRERA, Lisbeth Katherine. Colombia de cara al nuevo regionalismo renovado: La Alianza del Pacífico. En: Punto de Vista. Julio-Diciembre, 2014, vol. 5, no. 9, p. 137-168. [ Links ]
23. OTSUBO Shigeru and UMEMURA Testsuo. Forces Underlying Trade Integration in the APEC Region: a gravity model analysis of trade, FDI, and complementarity. In: Journal of economic integration. Marzo, 2003, vol 18, no. 1, p. 126-49. [ Links ]
24. REDRADO, Martín y LACUNZA, Hernán. Una nueva inserción comercial para América Latina. Buenos Aires: Banco Interamericano de Desarrollo. 2004. [ Links ]
25. MÉXICO. SECRETARÍA DE ECONOMÍA. Economía. En: Secretaría de economía. [en línea] 2015. [Citado el: 1 de agosto de 2015.] http://www.economia.gob.mx/comunidad-negocios/comercio-exterior/informacion-estadistica-y-arancelaria. [ Links ]
26. MÉXICO. SECRETARÍA FEDERAL DE ECONOMÍA. Economía. [en línea] 2015. [Citado el: 1 de agosto de 2015.] http://www.economia.gob.mx/files/transparencia/informe_APF/memorias/5_md_protoco-lo_modificatorio_tlcmexico_colombia_sce.pdf. [ Links ]
27. PERÚ. SISTEMA INTEGRADO DE INFORMACIÓN DE COMERCIO EXTERIOR. Ranking de países. Agrupado por bloque económico. [en línea] 2015. [Citado el: 18 de agosto de 2015.] http://www.siicex.gob.pe/promperustat/frmRanking_x_Pais.aspx. [ Links ]
28. ZULUAGA, Sandra y LOZANO, Olga Lucía. El grupo de los tres (G-3): las negociaciones comerciales entre Colombia, México y Venezuela. En: Las americas sin barreras: Negociaciones comerciales de acceso a mercados. Washington, ESTEVADERDAL, Antoni y ROBERT Carolyn, 2001, p. 163-186. [ Links ]






























