Services on Demand
Journal
Article
Indicators
-
Cited by SciELO -
Access statistics
Related links
-
Cited by Google -
Similars in
SciELO -
Similars in Google
Share
Tecciencia
Print version ISSN 1909-3667
Tecciencia vol.11 no.20 Bogotá Jan./June 2016
https://doi.org/10.18180/tecciencia.2016.20.5
DOI: http://dx.doi.org/10.18180/tecciencia.2016.20.5
Study of the internal structure of long GRBs with similar redshift
Estudio de la estructura interna de GRB largos con corrimiento al rojo similar
Jonathan Quirola1*, Nicolás Vasquez1
1 Physics Department, Escuela Politécnica Nacional, Quito-Ecuador.
* Corresponding Author. E-mail: jonathan.quirola@institutoespacial.gob.ec
How to cite: Quirola, J., Vázquez, N., Study of the internal structure of long GRBs with similar redshift, TECCIENCIA, Vol. 11 No. 20., 35-40, 2016 DOI: http://dx.doi.org/10.18180/tecciencia.2016.20.5.
Received: 24 Nov 2015 Accepted: 04 Feb 2016 Available Online: 29 Feb 2016
Abstract
In this paper, we studied the internal structure, temporal and spectral, of a sample of 5 long GRBs detected by Swift satellite with similar redshift (z∼1). We determined the spectral lag applying an exponential model, proposed by Norris, according to the sensitivity of the BAT detector (15-150 KeV); on the other hand, we analyzed the spectrum in regions of 1 second width, and the temporal evolution of spectral parameters such as photon index and energy peak, and finally we investigated correlations between spectral lag and photon index or luminosity. For the spectral analysis we used three spectral models: power law, cut-off power law and band model. We concluded that high energy photons arrived before low energy photons in 88% of lags, the contribution of the synchrotron radiation inside the burst is important for the 66.67% of analyzed regions. Moreover, the spectral lag and luminosity are anticorrelated, nevertheless spectral lag and photon index are not correlated.
Keywords: Gamma Ray Burst, Spectral Lag.
Resumen
En este artículo estudiamos la estructura interna, temporal y espectral de una muestra de 5 GRB largos, con corrimiento al rojo similar (z∼1), detectados con el satélite Swift. Determinamos el retraso espectral aplicando un modelo exponencial, propuesto por Norris, de acuerdo con la sensibilidad del detector BAT (15-150 KeV) Por otra parte, analizamos el espectro en regiones de 1 segundo de ancho, y la evolución temporal de parámetros espectrales como el índice de fotón y pico de energía, y finalmente investigamos correlaciones entre retraso espectral e índice de fotón o luminosidad. Para el análisis espectral, usamos tres modelos: ley de potencia, ley de potencia recortada y modelo de banda. Concluimos que los fotones de alta energía llegaron antes de los fotones de baja energía para el 88% de retrasos, y que la contribución de la radiación sincrotrón dentro del brote es importante para el 66.67% de las regiones analizadas. Adicionalmente, el retraso espectral y la luminosidad están anticorrelacionados. Sin embargo, el retraso espectral y el índice fotónico no están correlacionados.
Palabras clave: Brotes De Rayos Gama, Retraso Espectral.
1. Introduction
Gamma Ray Bursts (GRBs) are extragalactic electromagnetic signals in the gamma-ray band with short duration [2] [3] [15]. Because of GRBs have an average isotropic luminosity of 1051 erg/s, they are the most energetic events in the universe after the Big Bang [2] [3] [4] [15] [21].
Moreover, these astrophysical events are candidates for studying the early universe, because they are plausible cosmological indicators [3] [13]. According with their time emission, GRBs are classified in two groups (long GRBs t > 2 s and short GRBs t < 2 s) [3] [4] [6]. The fireball model explain very good long GRBs (but not short GRBs) observational features and their time scales.
This is a relativistic blastwave theory that describes interaction between the "fireball" and the circumburst medium [21]. It predicted the afterglow emission in optical and radio band [4] [21]. Also, according to fireball model, likely, prompt emission of GRBs are generated by the internal shock of shells emitted by a progenitor like massive stars or binary compact systems (neutron star-neutron star or black hole-neutron star) [3] [4]. Among progenitors of GRBs are collapse of massive stars and binary compact systems like neutron stars [2] [3] [4] [9] [21].
In Section 2 we show the principal characteristics of our sample, in the section 3 we explain the methods using in the temporal and spectral analysis. In Sections 4 and 5 we present the results and conclusions respectively.
2. Sample selection
The sample has five GRBs detected by Swift satellite from Ukwatta's catalog (from 2006 to 2012) [14] [16]. These five GRBs have similar redshift close to one, very high fluence (bright GRBs) and regular pulses. In the Table 1, we can see measured properties by Swift of our sample of GRBs.
GRBs with redshift close to 1 were chosen for the purpose to analyze events in the same age of the universe (homogeneous sample), also a great number of long GRBs have this redshift value [16]. Due to the temporal properties were studied with an exponential model (Norris model) [1] [2], our GRBs must have bright regular pulses. GRBs with this redshift value usually are used for calibrating cosmological models as distance markers [22]..
3. Methods
The light curves was extracted using Heasoft 6.15.1 in four different energy bands (15-25, 25-50, 50-100 and 100-150 KeV) [7]. In the temporal analysis, an exponential model (Norris’s model [2]) was used to get the spectral lag, which was applied to individual pulses of GRBs [1] [2] [21]; therefore, the spectral lag was obtained between two different energy channels. The exponential model is defined as follows [1] [2] [21]:
To research the internal spectral structure of our sample of long GRBs, two kind of studies were realized. In the first analysis, the behavior of spectral parameters (photon index, and energy peak) inside the emission was analyzed, after that the photon index behavior was associated with the synchrotron mechanism (respect to "the synchrotron lines of death") [17] [18]. On the other hand, the second analysis showed a correlation between spectral parameters (photon index and luminosity) and the spectral lag per pulse was found.
For the spectral analysis, three different spectral models were used:
Power law (PL): this model is related only with synchrotron emission from a relativistic electrons distribution [8] [11]. This model is defined as follow:
where α is the photon index.
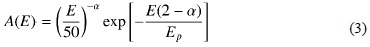
Cutoff power law (PLN): it may be associated with reacceleration process like inverse Compton or synchrotron self-Compton [11]. This model is defined as follow:
where α and Εp are the photon index and energy peak respectively.
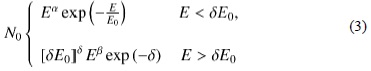
Band model (BD): it is an empirical model, which was proposed by Band in 1993 [3] [4] [20]. Moreover, it has a low energy component and a high energy component. Similarly to the cutoff power law model, it is associated with re-acceleration mechanisms. The band model is defined as [20]:
where δ =α −β (α: low energy photon index. β: high energy photon index).
4. Results
4.1 Temporal analysis
The spectral lag is defined as the delay between low energy photons respect to high energy photons [2] [3]; and according to the Norris' model, the spectral lag is determined like the difference between the maximum amplitude time (
of two energy channels:
. Positive spectral lags are related with the delay of low energy photons respect to high energy photons, while negative lags are associated from signal-noise in the high (100-150 KeV) and low (15-25 KeV) energy bands [2,3]. Despite the fact that only the GRB 110715A is located inside the galactic plane, its spectral lags have not been different from the other burst of the sample. We obtained that 88% of spectral lags are positive, namely high energy photons arrive before low energy photons (see Figure 2). Furthermore, spectral lag is associated with the interstellar medium (ISM) or GRB's host galaxy [6]; therefore, long GRBs with long spectral lags are related with high density ISM [6], while GRBs with short spectral lags are regarded with low density ISM [6]. Additionally, spectral lag is a property of pulses, and temporal parameters (τ1, τ2 and width pulse) are related with the energy of photons [6].
To work in the burst frame, a cosmological correction was realized to the spectral lag (τ= τ0[1+Ζ] −1). In the Figure 2, we can see histograms of spectral lags obtained with and without cosmological correction.
4.2 First spectral analysis
In the first analysis, the behavior of spectral parameters (photon index, energy peak) and the goodness of fit inside the bursts was researched. Also, we determined the importance of synchrotron mechanism analyzing the photon index according "the synchrotron lines of death" (−2/3 < α <−3/2) [17, 18], for this purpose the bursts were divided in regions of one second, which were fitted with two spectral models (PL, PLN) to obtain spectral parameters. If photon index of the analyzed region has a value between -2/3 and -3/2, then it would be related with synchrotron mechanism in PL model or with synchrotron radiation and additional mechanisms (inverse Compton or Synchrotron-self Compton) in the PLN model. Otherwise, the regions would not be associated with synchrotron mechanism [17] [18].
We found that 26.67% of regions are associated only with synchrotron mechanism, 40.00% are related with synchrotron emission and others mechanism like Compton inverse and synchrotron self-Compton, and 33.33% of regions are regarded with reacceleration process, regardless the synchrotron emission. Figure 3 shows the temporal evolution of spectral parameters and goodness of fit associated to power law model ( left) and cutoff power law model ( right) for GRB 071010B ( top), GRB 080413B ( middle) and GRB 080411 ( bottom). According to R. Basak and R. Rao [12], the energy peak behaves from hard to soft, where this behavior could be defined a new type of emission [12]; therefore, GRB 0710101B (see Figure 3, top-right), GRB 080413B (see Figure 3, middle-right) and GRB 110715A present this kind of behavior [12].
4.3 Second spectral analysis
In the second spectral analysis, the correlation between spectral lag and photon index or luminosity pulse to pulse was investigated [16] [19]. For this purpose, we applied three spectral models ( power law, cutoff power law and band model) to individual pulses, for which we used the same time interval that in the temporal analysis.
In this analysis, the correlation between spectral lag and photon index was not achieved. In other words, the number of pulses are not sufficient to confirm the correlation between spectral lag and photon index. Nevertheless, the anticorrelation between spectral lag and luminosity was demonstrated, therefore it is a property from pulses. Figure 4 shows spectral lag vs luminosity, which was obtained with cutoff power law model ( left) and Band model ( right). To work in the burst frame, a cosmological correction was realized to the spectral lag (τ = τ0[1+Ζ]−1), because the luminosity considered the cosmological distance to the burst [16] [19]. This results, confirm that the correlation lag-luminosity is a property of individual pulses. Additionally, Figure 4 shows that low spectra lag pulses of our sample of GRBs are associated to high luminosities, while high spectral lag pulses are related with low luminosities.
This fact might define a new sub classification of long GRBs, according to the interstellar medium and their host galaxies [6].
5. Conclusions
We researched the internal structure of a sample of GRBs at the same age of the universe. The Norris model provides the spectral lag between different energy channels, where high energy photons arrive before low energy photons [1] [2], we found that it is happening in the 88% of lags obtained. Therefore, the spectral lag is a property of the pulse, and not a property of the burst. Analyzing the behavior of the photon index respect to the synchrotron lines of death, we determined the role of synchrotron emission inside the bursts. The synchrotron emission is associated with 66.67% of the regions analyzed, this means that synchrotron emission is strongly related to the prompt emission of long GRBs. This results are related with fireball theory, because synchrotron radiation is important for generate the afterglow emission for long GRBs [4] [21]. On the other hand, the synchrotron mechanism is not considered on the 33.33% of the regions to generate the prompt emission.
Finally, we found the anticorrelation between spectral lag and luminosity per pulse, where this anticorrelation is generated by the nature of internal structure of GRBs, not by their possible progenitors. Also, in long GRBs, pulses with short spectral lags are related to high luminosities, while pulses with long spectral lags are associated to low luminosities. It might define a new kind of classification of long GRBs, which ought to be linked with the interstellar media and host galaxies.
References
[1] M. Arimoto et al. Spectral-Lag Relation in GRB Pulses Detected with HETE-2, Astronomical Society of Japan 62, 487-499, 2010. [ Links ]
[2] J.P. Norris, J.T. Bonnell et Al. Long-Lag, Wide-Pulse Gamma Ray Burst, The Astrophysical Journal, 2005. [ Links ]
[3] B. Zhang and P. Mészáros. Gamma-Ray Burst: Progress, problems and prospects, International Journal of Modern Physics A, Vol. 19, No. 15 2385-2472, 2004. [ Links ]
[4] T. Piran. The physics of gamma-ray bursts, International Journal of Modern Physics A Vol. 19, Reviews of Modern Physics, Volumen 76, 2004. [ Links ]
[5] J. Hakkila, et al. Correlations between Lag, Luminosity, and duration in Gamma-ray Burst pulses. The Astrophysical Journal, 2008. [ Links ]
[6] B. Zhang et al. Discerning the Physical Origins of Cosmological Gamma-Ray Burst Based on Multiple Observational Criteria: The Cases of Z = 6.7 GRB 080913, Z = 8.3 GRB 090423, and Some Short/Hard GRBs. The Astrophysical Journal, Volume 703, 2009. [ Links ]
[7] K. Arnaud et al. Xspec an X-Ray Spectral Fitting Package, HEASARC Astrophysics Science Division, 2014. [ Links ]
[8] G. Rybicki. Radiative Processes in Astrophysics, Wiley-Vch, 1979. [ Links ]
[9] D.H. Perkins. Particle Astrophysics, Oxford University, 2009. [ Links ]
[10] D. Andrade, y N. Vásquez. Distribución de tiempos de emisión con correcciones cosmológicas de los GRBs largos, Proyecto de titulación, Escuela Politécnica Nacional, 2014. [ Links ]
[11] G. Ghirlanda. Spectral evolution of GRBs: new insights into their physics, Thesis submitted for the degree of Doctor Philosophiae", Scuola Internazionale Superiore Di Avanzati, 2002. [ Links ]
[12] R. Basak, A. R. Rao. Time-resolved spectral study of Fermi GRBs having single pulses, Astronomical Society, 2014. [ Links ]
[13] G. Ghisellini. Gamma ray burst: basic facts and ideas, Proceedings IAU Symposium No. 275, 2010. [ Links ]
[14] A. Baquero, y N. Vásquez. Clasificación de ráfagas de rayos gamma largas usando lag espectral y ACF con correcciones cosmológicas, Proyecto de titulación maestría en física, Escuela Politécnica Nacional, 2014. [ Links ]
[15] P. Mészáros. The high energy Universe, Cambridge university press, 2010. [ Links ]
[16] T. Ukwatta. Spectral lags and variability of Gamma-ray Bursts in the Swift era, PhD tesis, The George Washington University, 2010. [ Links ]
[17] R. D. Preece, et al. The Synchrotron Shock Model Confronts a "Line of Death" in the BATSE Gamma-Ray Burst Data, The Astrophysical Journal, 506, L23, 1998. [ Links ]
[18] E. Cohen, J. I. Katz1 , T. Piran, R. Sari, R. D. Preece & D. L. Band. Possible Evidence for relativistic Shocks in Gamma-Ray Bursts, The Astrophysical Journal, 488, 330, 1997. [ Links ]
[19] T. N. Ukwatta et al. Spectral Lags and the Lag-Luminosity Relation: An Investigation with Swift BAT Gamma-ray Bursts, The Astrophysical Journal, 2010. [ Links ]
[20] Band, D. et al. BATSE Observations of Gamma-Ray Burst Spectra. I. Spectral Diversity, astrophysics Journal, 413-281, 1993. [ Links ]
[21] Kumar P. et al. The physics of Gamma-Ray Bursts and relativistic jets Physics Reports Volume 561, 24 February 2015, Pages 1-109. [ Links ]
[22] Nan Liang et al. Constraints on Cosmological Models and Reconstructing the Acceleration History of the Universe with Gamma-Ray Burst Distance Indicators. Phys.Rev.D81:083518,2010. [ Links ]


















