I. INTRODUCCIÓN
El problema de transporte público está estrechamente ligado a la urbanización de las ciudades, en el caso de las ciudades latinoamericanas, estas fueron diseñadas y construidas por los españoles que conquistaron el continente en el siglo XVI, basándose en los criterios griegos, que son erigirse en términos rectangulares que circunvalan una plaza central, una iglesia y la administración o regimiento de la ciudad que velaba por establecer las políticas derivadas de los virreyes o encargados de la explotación de la ciudad [1].
El caso de Pereira no es distinto a las otras ciudades latinoamericanas, una cuadricula que se va multiplicando, negando cualquier acto de reforma urbanística [2].
Gracias a la migración del campo hacía la ciudad, las ciudades empezaron a crecer sin la infraestructura necesaria para ello, lo cual convirtió a Pereira en una ciudad antigua crecida, teniendo problemas con referentes a la movilidad y transporte [2].
En Latinoamérica y el Caribe, los estados han propiciado una fuerte regulación al sector del transporte, siendo participes en un porcentaje menor en la década de los 70, como entes operadores de transporte en ciudades como: Lima, Asunción, Santiago, Caracas, Sao Paulo, México DF e incluso Bogotá, en ese entonces con trolebús. Esta participación por parte del estado tuvo como consecuencia una administración ineficiente y un déficit significativo [3].
Se puede deducir que los procesos urbanísticos latinoamericanos, influyen directamente en los procesos del sector transporte, al ser desarrollados en ciudades coloniales con falta de planeación y control del crecimiento urbano y el contraste generado por el crecimiento acelerado de estas. El caso de estudio de este trabajo se centra en AMCO (Área Metropolitana de Centro Occidente) la cual tiene a Pereira como motor de desarrollo y dinamismo que apoya los procesos que se llevan en los municipios que conforman el área.
Buscando una solución al problema de crecimiento poblacional relacionado al transporte, se tienen en cuenta las siguientes grandes superficies en la ciudad como nuevos proyectos urbanísticos y comerciales: Plazoleta Ciudad Victoria, Unicentro, Home Center, Carrefour, Éxito-Carulla-Viveros, Makro, El LagoPaza, Alkosto [4].
Esta planeación estaba acompañada de la modelación de un sistema de transporte urbano integrado que busca satisfacer las necesidades de la ciudad de Pereira y sus municipios aledaños, Dosquebradas y La Virginia, esta planeación fue el resultado de la contratación de estudios por parte del Estado para el desarrollo conceptual del SITM [5] y la estructuración técnica, legal, institucional y financiera del SITM del AMCO, dejando como resultado dos subsistemas. El primer subsistema tiene como nombre “Megabús” el cual consta de un sistema de rutas troncales que se abastece por rutas alimentadoras, y el segundo sistema llamado “Complementario”, comprende una red de rutas que buscan satisfacer la demanda de transporte que no logra abarcar “Megabús”, así estos sistemas buscan remediar las necesidades actuales y futuras de movilidad del AMCO.
En la actualidad, el Estado representado en AMCO como autoridad de transporte y Megabús como ente gestor, ha venido realizando estudios [6,7], durante los últimos años en búsqueda de nuevas acciones que ayuden en la implementación del Sistema Integrado de Transporte Público Local. Los cuales además de promover la integración de los sistemas masivos y colectivos, incluye como medio innovador el desarrollo de un sistema de transporte por cable promovido por la administración de Pereira, para ser anexado al SITP y al sistema tarifario, conllevando a nuevos retos para el sostenimiento financiero y el equilibrio económico.
Como conclusión se puede tener que el transporte urbano en Pereira ha sufrido varios cambios a la tímida descentralización de Pereira y sus municipios aledaños, su mejora en la infraestructura vial para poder ofertar nuevas formas de transporte con cargas vehiculares mucho más altas, ya que como dice Mendieta y Perdomo “ los individuos se desplazan con el objeto de realizar una actividad en el espacio tiempo, siendo el transporte un insumo necesario de manera intermedio para otras actividades de carácter económico, social o ambos” [8].
II. DESARROLLO DEL ARTÍCULO
Inicialmente se plantea la participación de la tarifa en la problemática asociada a la demanda de transporte. Luego se definen los conceptos de oferta y demanda en transporte. Posteriormente se caracterizan los datos con los que se va a realizar el estudio, para procesarlos estadísticamente y aplicarlos al esquema de elasticidad de la demanda sugerido en la literatura especializada; obteniendo el comportamiento del sistema de transporte estudiado en este trabajo.
III. LA TARIFA Y SU PARTICIPACIÓN EN LA PROBLEMÁTICA
En América latina y en Colombia como efecto histórico en el área del transporte como regulación y control, la tarifa ha estado impactado por mitos y costumbres que han dejado como consecuencia procesos sin carácter técnico, soportados en negociaciones políticas, dejando a un lado el real detonante para el “alza tarifaria” que es una rentabilidad tanto social para el cliente, como económica para las entidades prestadoras del servicio como el sistema de transporte en sí.
Lo anterior genera ciertas adversidades a la industria y a sus inversores, desfigurando las realidades económicas del sector en la localidad a diferencia de lo evidenciado en otras regiones del país, adicionalmente yendo en contravía de lo pactado con el Banco Mundial en el 2004 [9], en las condiciones de financiamiento donde la tarifa del subsistema no puede ser subsidiada. En este pacto se acuerda que cada ciudad que hace parte debe crear un organismo público para planear, controlar y regular la operación de los BTR y establecer la tarifa al cliente que garantice la sostenibilidad del sistema sin subsidios operacionales.
Entendiéndose como subsidio todo aporte económico o en especie que se adicione a los requerimientos de generación del punto de equilibrio después de fijar el valor del pasaje final al cliente para sostener la estructura del subsistema. En el caso de estudio este subsidio ha sido pagado por los operadores privados, pudiéndose observar en las liquidaciones semanales del sistema en estudio, que ha estado operando bajo un déficit durante toda su existencia, en serios estudios realizados por FEDESARROLLO (2013) [10].
Además, en este acuerdo [9] se previó la integración tarifaria con los subsistemas locales, como igualmente lo previó Megabús en los contratos de concesión. Tarea que se debería basar en parámetros técnicos y contractuales claros, en relación a la tarifa, a partir de un conglomerado de índices que permitan la fijación de una tarifa con un valor apropiado para el cliente, el cual debe de estar blindado, soportado y salvaguardado a través de un convenio interadministrativo firmado entre las partes, es decir, entre Megabús y la única autoridad de transporte, el AMCO, este convenio no se ha dado, debido a que no se ha establecido una tarifa técnica fijada [11].
“Aunque las tarifas hayan subido mucho, los clientes las aceptan con mayor pasividad, o resignación, que en décadas anteriores.” [3]. Esto se puede dar por dignificación del servicio, al aumentar la calidad de este reduciendo el costo social de viajar en un servicio público, como ha sucedido en los dos subsistemas locales.
En el estudio realizado se evidenció la afectación de la demanda de 2 períodos de los 6, debido a una falla en la calidad del servicio prestado, lo que lleva a corroborar la teoría de economía de transporte referente a la existencia de una elasticidad con respecto a la calidad del servicio prestado, aunque la calidad del servicio es una variable clara de cuantificar, está relacionada con la regulación de la operación y el cumplimiento de los servicios programados.
El valor del pasaje más el costo social en estos momentos es menor, lo que viene siendo olvidado por quienes tienen esta responsabilidad de generar equilibrios en materia económica y financiera para hacer viables los sistemas. Lo económico y social del sistema es lo que llevó la implementación del Megabús, reduciendo el promedio de viajes por persona y los costos de desplazamiento, mejorando así los indicadores de calidad y oportunidad del servicio, generando un equilibrio en los gastos y costos entre los pasajeros, olvidando a los operadores en esta distribución. Establecer el valor de los pasajes a un costo inferior de los costos a largo plazo desincentiva la inversión [3].
IV. LA ECONOMÍA EN EL TRANSPORTE PÚBLICO
Se ha demostrado de manera empírica que la inversión en infraestructura vial no es la solución para el transporte, que, en el AMCO, se ha evidenciado con la construcción de obras excepcionales para la operación del subsistema Megabús, pero que en tema de transporte los inconvenientes en movilidad se siguieron presentando, caso contrario al transporte público, donde estas obras realizaron justicia social apostando al desarrollo de la localidad.
En general el servicio de transporte público consta de una cantidad compleja de aspectos como el que tiene relacionado esta investigación, hay que aclarar que la demanda del transporte no se da por ella misma, es decir, nadie utiliza el transporte por utilizarlo, siempre viene acompañado de la necesidad de realizar otra actividad, como lo puede ser la compra de un producto en un espacio geográfico determinado. Lo que igualmente genera que la demanda de este producto esté ligada a la oferta de transporte [12].
La necesidad de transporte está definida como la representación de desplazamiento de un individuo de un punto de origen, a otro punto de destino [13]. Y con el crecimiento de la ciudad este desplazamiento se va ampliando con celeridad, mientras los atributos como educación, política, población, empleo se van distanciando, lo que genera una alteración en el equilibrio de los subsistemas del AMCO.
Otro aspecto importante es que el servicio de transporte es incontenible, es decir, un servicio de oportunidad, por lo que es importante ajustar el servicio a la demanda. Sin embargo, el transporte es un servicio de primera necesidad, por esto no puede ser solo prestado cuando sea rentable, sino que se debe de organizar su operación tal que satisfaga las necesidades del cliente en las zonas horarias establecidas para esto, y además que genere rendimientos para los inversores.
“La esencia del servicio es transportar al pasajero, desde su origen hasta su destino, para hacerlo requiere un costo de operación y un cierto tiempo, brindando comodidad al pasajero” [13]. Esto soportado en dos recursos indispensables, que son el tiempo como recurso económico que todos los seres humanos cuentan como igual, y el espacio, recurso físico necesario para el desarrollo de la actividad transportadora.
El sistema de transporte público de pasajeros se ha convertido en el medio de transporte más importante de América Latina, el cual se ha caracterizado por la importancia social que lleva a un pasajero a utilizar este servicio, siendo sus razones el estudio, el trabajo, atención médica y el ocio, además del impacto en el costo de la canasta familiar, representando casi un tercio del salario líquido de las personas con más bajos ingresos [14].
A. Los Participantes
Para desarrollar la investigación se estableció que se necesitan dos componentes básicos para que los sistemas de transporte existan y subsistan, los cuales son los clientes y los operadores, por lo que los diferentes actores que están involucrados vienen siendo parte de los accesorios de la operación, como un plus.
Los pasajeros al ser humanos, por naturaleza propia, buscan las mejores condiciones para su subsistencia, esto quiere decir que buscan lo mejor en todos los aspectos que le competen, por esto los clientes esperan que el servicio que se les oferte cuente con el mejor trato posible, que sea confortable, expedito y en el horario necesario para satisfacer sus necesidades.
Cumplir con todas estas necesidades explícitamente no es posible, por lo que los individuos se ven obligados a utilizar un medio que los satisfaga a un precio justo, donde se debe de ajustar a las ofertas del mercado como lo es caminar desde su punto de origen hasta el lugar donde se pueda acceder a cualquiera de los subsistemas, este medio lo debe de compartir con personas que comparten la misma necesidad de movilidad. Además, en algunos casos debe de realizar trasbordos dependiendo del punto de destino, lo que lleva en algunos casos el aumento de tiempo de viaje, o en el peor de los casos, cuando el punto de destino no está cubierto por ninguno de los subsistemas el desplazamiento se demora mucho más.
Así, buscando el cliente siempre el servicio más parecido que le pueda brindar un automóvil, con rutas que le reduzcan la cantidad de distancia que debe de caminar para llegar al subsistema, los tiempos de espera, frecuencias más cortas para poder viajar sentado y una red que abarque gran cantidad de espacio, obviamente, por la menor tarifa posible.
El operador de transporte actúa como un inversionista más, por lo que sus necesidades son maximizar sus ganancias e incrementar la rentabilidad del ejercicio de ofertar transporte, mediante el desarrollo de procesos de optimización de los recursos como lo son las rutas, el aumento continuo de la calidad del servicio, el ajuste de los servicios a las necesidades de la comunidad disponiendo de la legislación, los contratos y el conocimiento aplicado por el Ente Gestor.
Lo que se espera es que los dilemas del transporte sean los mismos problemas de cualquier actividad de explotación industrial, donde el cliente busca maximizar la relación beneficio-precio, y el operador busca maximizar las ganancias mediante la función precio-costo del servicio; buscando el punto de equilibrio de estas dos funciones sin maximizar una por encima de la otra, ya que al final los pasajeros necesitan desplazarse y los operadores necesitan las ganancias [2].
Esta concertación tarifaria se encuentra concertada con la única autoridad de transporte de la región, AMCO, donde se encuentran establecidas para el tiempo de operación concesionado del sistema bajo la figura de tarifa técnica establecida, mediante las formulas contenidas en sus contratos de concesión y anexos [11,15] y aprobadas por el convenio interadministrativo suscrito con Megabús [16] y soportados debidamente en su interior en efectos legales y de toma de decisiones (Acuerdo Metropolitano 006, [17]). Esta misma concertación se debe de lograr con el subsistema de transporte colectivo con la autoridad de transporte de la región.
En la nueva concesión otorgada en el mes de Febrero (2018) [18], desaparece el riesgo de tarifa en cabeza del ente gestor Megabús. Esta actividad económica surge de la combinación de la necesidad de algunos de transportarse y la oportunidad de otros de prestar el servicio, lo que obliga a seguir, evaluar y retroalimentar de manera juiciosa, e involucrar la sostenibilidad y la oportunidad como factores determinantes de la misma.
B. La Oferta
La oferta de transporte urbano local contempla los siguientes atributos: la utilización de los medios físicos que representan el subsistema de transporte público colectivo por la infraestructura de las empresas, las vías por las que circulan los vehículos, los diferentes elementos que componen el subsistema de transporte masivo, o sea, intercambiadores, estaciones y la infraestructura del Ente Gestor y del operador de recaudo, lo que quiere decir todos los elementos físicos que disponen para la operación del servicio de transporte; además, los vehículos que se utilizan para prestar el servicio de transporte y las reglas de operación que se encuentran ceñidas bajo lo establecido por el Ministerio de Transporte, el AMCO, Megabús y las de cada empresa de transporte.
Para analizar la oferta es necesario evaluar los aspectos que se deben de tener en cuenta para un sano desarrollo de la prestación de servicio, comenzando con el análisis de las características físicas de viabilidad como lo son el ancho de las calzadas, número de carriles, calidad del pavimento, longitud a recorrer para el transporte terrestre, en el transporte aéreo se analizan los pilones, las estaciones de servicio y la estructura electromecánica; con esta información se obtiene el coste operacional en cada caso, la velocidad y la capacidad instalada del servicio. El último atributo que debe de ser considerado es el costo por la prestación del servicio, el cual no solo puede ser cuantificado desde la parte monetaria, sino que, al estar hablando de un tema económico, se debe de tener en cuenta el costo social que conlleva el tiempo de desplazamiento desde el punto de origen al punto destino. De estos costos depende el éxito de la sostenibilidad y rentabilidad del sistema, que en el caso del transporte público masivo recae en el el Ente Gestor.
La representación matemática de la oferta de transporte está dada por la cantidad de servicios que se está ofreciendo, que a su vez está representada en función de servicios dado a la cantidad de vehículos-kilometro ofrecidos a determinada tarifa. También se puede decir que es la cantidad de puestos por kilómetro ofrecidos a determinada tarifa.
C. La Demanda
Según el Banco Mundial en [1], la demanda de viaje es una función que depende de las actividades urbanas que se desarrollen en las ciudades, siendo así el estudio del uso del suelo y la caracterización de las actividades de sus habitantes, esenciales en la determinación de la demanda de transporte.
Por esta razón, la demanda dependerá de los ingresos de los consumidores y de los precios del servicio en particular con relación a otros precios, también existen factores externos como el desarrollo de las actividades económicas de la región [13], recordando que el transporte no es un bien final, sino uno intermedio que apoya el desarrollo de otras actividades económicas [8].
El modelamiento para la generación de los viajes debe de responder a cada tipo de flujo, teniendo en cuenta las diferentes funciones de demanda, se asocian diferentes categorías socioeconómicas y a la participación en actividades distintas inidentificadas por motivos diferentes de viajes [19].
Existen diversos aspectos que determinan la demanda de transporte, uno de ellos es el precio del servicio, el cual es inversamente proporcional a la cantidad de servicios demandados, sin embargo, hay un concepto llamado inelasticidad que no puede ser confundido con esta proporción [12].
Los precios relativos entre los diferentes modos de transporte se deben de tener en cuenta, en el caso del AMCO no existe una diferencia entre el sistema de transporte colectivo y el sistema de transporte masivo, debido que tienen una regulación tarifaria. Pero se puede notar en otros tipos de transporte como lo son los servicios particulares (taxis), a pie, transporte mixto, motociclismo, intermunicipal o medios alternativos como el informal.
El tercer aspecto por tener en cuenta es la fluctuación del ingreso per cápita de una región, ya que como se sabe el aumento o disminución de los recursos económicos, quiere decir un aumento o disminución en las actividades económicas y sociales de la región [12].
El cuarto aspecto es la velocidad del servicio, que está ligada implícitamente a la disposición de tiempo del cliente a desplazarse. Por ende, el tiempo de viaje es uno de los aspectos cruciales, debido a su dependencia del nivel socioeconómico del cliente, donde para calcular dicho valor se debe de tener en cuenta el costo de oportunidad del cliente, el cual está relacionado a su salario [8].
Información provista por Transconsult (2016) [6] con la integración intermodal (Masivo, Colectivo y Cable), se retoman el estudio de elasticidad de la demanda realizado por ASEMTUR en el (2009) [20], el cual fue utilizado por el AMCO como soporte en toma de decisiones tarifarias y operacionales. Pudiéndose observar un aumento por fuera de lo recomendado en dos ocasiones dentro del Período 2014 - 2018.
Estos incrementos tarifarios no son predecibles, ya que no responden a una tendencia clara, esto se puede notar donde hay períodos muy largos sin aumentos en la tarifa, caso contrario de otros momentos en los que se aumenta de manera significativa en períodos cortos. Estos aumentos altos en períodos cortos tienen un efecto negativo en la demanda de pasajeros, pero los períodos donde no se realiza un ajuste a la tarifa por mucho tiempo son perjudiciales para los operadores del sistema.
De no hacer los incrementos necesarios establecidos en la ley 1753 de 2015 [21], se procede a buscar otras formas de financiación expuestas en el artículo 33 de la ley mencionada, los cuales son:
Fondos de estabilización y subsidio de la demanda:
Contribución por el servicio de garajes y zonas de estacionamiento:
Cobros por congestión y contaminación:
Cofinanciación:
Otras fuentes
Por esto la Transconsult, recalca en [6], la importancia de primar los soportes técnicos en la toma de decisiones tarifarias, por encima de los criterios políticos. Refiriéndose cómo el ingreso del Cable Aéreo puede generar un desequilibrio económico, por lo tanto, el municipio debería de subsidiar la operación que se encuentre en déficit de esta fase 3 del SITP. Lo que lleva a realizar un análisis más profundo, debido al sesgo que se evidenciará en el siguiente estudio por la crisis que desato el operador Promasivo S.A.
Para entender cómo se comporta la demanda de manera lineal, se presenta la siguiente función lineal que representa la demanda del transporte se encuentra en la Ec. 1 definida en [19]:
Donde
corresponde a la cantidad de demanda del servicio, y tanto
como
son parámetros constantes.
Como se puede contrastar con la información suministrada por el AMCO [22], esta cambia dependiendo de variables exógenas rutinarias y de actividades económicas de alta repetición, existiendo en la mayoría de los casos presentando comportamientos cíclicos con tendencia estable en algunos períodos del año [12],[23].
Analizando Fig. 1 y Fig. 2, podemos deducir que la demanda tiende a estabilizarse los martes, decaer los lunes, domingos y miércoles, y contiene picos los viernes. Además, en la Fig. 1 se puede observar que existen picos entre las 7 y 10 AM, picos entre las 5 y 7 PM, existiendo una falta de oferta que se da por la naturaleza del servicio de transporte, pero también existen los casos de sobreoferta, causando unos costos de operación que deben de ser asumidos por los operadores, y terminan siendo asumidos por el sistema mismo. Esto se da por no hacer reajustes a la oferta basados en la demanda real, estableciendo única y exclusivamente bajo parámetros netamente matemáticos [12].
Los períodos de concentración de la demanda, o sea los PDM, no necesariamente son rentables, debido a la utilización de algunos vehículos solo en esas horas de alta demanda, siendo estas muy pocas para llegar al punto de equilibrio, generando costos operacionales al sistema. Demostrando que en algunos casos es más rentable los períodos donde la demanda no es la máxima [19]. Con esta información se corrobora que el día para realizar las observaciones debe de ser el martes.
V. ELASTICIDAD DE LA DEMANDA
De acuerdo con la teoría de la demanda del consumidor, la cantidad demandada de un producto o servicio depende del precio que se le asigne, los ingresos del consumidor, el precio de los bienes sustitos o complementarios y las preferencias del consumidor [24]. Por esto la demanda del servicio de transporte depende de varias razones como lo son aumentar el precio del servicio, aumentar el ingreso per cápita de la población, disminución del precio de los distintos medios de transporte informales, entre otros.
La teoría económica indica que el precio y la cantidad demandada en el tema del transporte, tiene una relación inversamente proporcional a corto plazo, pero a mediano plazo tiene una tendencia a estabilizarse comprendiendo toda la demanda cautiva, con relación a la elasticidad [12].
Ginés de Rus en [19], expone que en el sector transporte, la elasticidad de la demanda con relación a la tarifa, oscila entre
y
, en particular el transporte urbano, lo que traduce que el incremento de tarifas en un sector con alta inelasticidad de la demanda puede provocar que la recaudación total sea ciertamente mayor que con tarifas bajas.
La elasticidad de la demanda permite medir el grado de respuesta de esta, ante un cambio en los factores de la demanda en sí (precio del servicio, otros precios, informalidad, ingresos, calidad de servicio, etc.) [12].
En este estudio se busca hacer seguimiento y evidenciar la afectación positiva o negativa en función del valor de la tarifa. Para esto se debe de diferenciar los conceptos de elasticidad; los primeros son los de elasticidades propias, o sea, aquellas que se generan por el mismo modo y que son propias del sistema, y las elasticidades cruzadas, son aquellas que depende de los cambios generados por otros modos de transporte existente, como lo son el transporte.
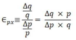
La fórmula propuesta para medir la elasticidad es la relación entre el cambio porcentual en la cantidad de demanda y el cambio porcentual en el precio [19]. Esta se presenta a continuación en la Ec. 2:
Donde
es la variación de la cantidad,
son los cambios en el precio; y las variables
y
corresponden al precio y la cantidad respectivamente.
Se puede evidenciar una relación negativa entre el cambio en el precio del servicio y el cambio en la cantidad de demanda, deduciendo que el precio crece en dirección contraria al crecimiento de la demanda, por esto Islas Rivera dice en [12]:
Cuando la elasticidad de la demanda es menor a
, se dice que la elasticidad de la demanda es elástica, significando que si se llega a presentar un cambio en el precio, el cambio porcentual en la cantidad de viajes será mayor, siendo la demanda relativamente sensible a los cambios en el precio. En caso de estar entre
y
, quiere decir que es inelástica la elasticidad de la demanda, o relativamente poco sensible.
Analizando los posibles valores del valor absoluto de la elasticidad existen los siguientes panoramas (ver Fig. 3):
: Área elástica de la función de demanda, donde los cambios pequeños en el precio suscitan grandes cambios en la demanda.
: Demanda unitaria, un cambio porcentual en el precio traduce un cambio porcentual en la demanda.
: Reducir o aumentar el precio, es indiferente a las cantidades de demanda del servicio.
La elasticidad precio de la demanda puede medirse en diferentes maneras. La más directa es por series de tiempo de observaciones de los niveles de tarifa y de pasajeros transportados con dichas tarifas. Es importante incluir otros factores que pueden afectar la demanda como cantidad de automóviles, ingreso per cápita o los niveles de servicio, estos factores se pueden incluir mediante técnicas estadísticas mulitvariables como el análisis de regresión múltiple [12].
La demanda de transporte público masivo es altamente inelástica, oscilando entre 0,1 y 0,4 del valor absoluto de la elasticidad, esto se debe al bajo índice de rotación relacionado a las ubicaciones de los clientes.
VI. ELASTICIDAD PRECIO DE LA DEMANDA EN EL SISTEMA
Para desarrollar una investigación seria, es necesario analizar los históricos del comportamiento de los viajes en el subsistema de transporte público masivo del AMCO respecto al cambio de precio del servicio.
Las siguientes son las condiciones establecidas con base en lo expuesto por Lind en [25], para que el estudio sea lo más acertado posible, eliminando los sesgos que puedan distorsionar el muestreo:
Realizar un análisis estadístico de los datos de movilización ex ante y ex post a la fecha de los incrementos tarifarios, teniendo en cuenta que este es el 3er estudio que recoge todos los incrementos de las tarifas hechas en el sistema, permitiendo afinar los análisis hechos posteriormente y convalidar la con mayor fuerza las tesis aquí sustentadas.
Se analizarán solo los datos del martes, acordando con lo establecido con Islas Rivera.
No se tendrán en cuenta los días martes después de lunes festivos, al ser comportamientos de la demanda no comunes.
Ídem, días martes feriados.
Ídem los días martes de los períodos de Semana Santa.
Se tiene en cuenta solamente las personas que hayan pagado el 100% del valor de la tarifa, es decir, exceptuar las personas que reciben subsidios como estudiantes, comuneros y personas afiliadas a Megabús.
Los incrementos de tarifa en términos de tiempo y cuantía no son fácilmente predecibles como se aprecia en la Tabla I, ni obedecen a una tendencia clara, se notan períodos discontinuos entre unos y otros.
Primero se realiza una distribución de frecuencia [25]. La amplitud de cada una de las categorías de los datos se calcula como se presenta en la Ec. 3.
Donde
es el tamaño del intervalo,
es el mayor observado,
es el menor valor observado y
el número de clase.
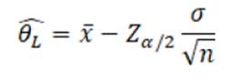
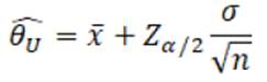
Es cierto que la exactitud de la estimación aumenta cuando las muestras son grandes; pero incluso así no tenemos razones para esperar que una estimación puntual de una muestra dada sea exactamente igual al parámetro de la población que se supone debe estimar. Hay muchas situaciones en que es preferible determinar un intervalo dentro del cual esperaríamos encontrar el valor del parámetro [26]. Se procede a hallar un intervalo de confianza de la muestra con la siguiente inecuación:
Para calcular los límites superior e inferior de los intervalos, se utilizan las Ec. 4 y Ec. 5 respectivamente establecidas en [26].
En las expresiones anteriores tenemos que
corresponde al valor
del error asumido en el nivel de confianza, que para este caso es de
, siendo
,
es el valor del promedio de la demanda de pasajeros en el Período analizado,
es la desviación estándar,
es la cantidad total de datos observados en el Período,
es el límite inferior del intervalo de confianza del Período, y
el límite superior del intervalo de confianza del Período.
Luego, la Tabla II, reúne los valores hallados para cada uno de los períodos observados, los cuales constituyen las entradas que permitirán realizar los cálculos de la elasticidad de la demanda en cada Período.
Se utiliza la Ec. 2 para calcular la elasticidad en el intervalo analizado, realizando 4 procedimientos, y obteniendo así los valores absolutos correspondientes. Posteriormente, se procede a hallar el promedio de cada Período, con el fin de obtener un valor más acertado de esta estimación. Las elasticidades calculadas son las siguientes:
: Elasticidad de la demanda utilizando los límites inferiores de los períodos observados.
: Elasticidad de la demanda utilizando los límites superiores de los períodos observados.
: Elasticidad de la demanda utilizando el límite inferior del Período antes del alza en la tarifa y el límite superior del Período después del alza en la tarifa.
: Elasticidad de la demanda utilizando el límite superior del Período antes del alza en la tarifa y el límite inferior del Período después del alza en la tarifa.
Después del análisis de cada uno del grupo de datos obtenidos en cada Período se procede a hallar las elasticidades. Como se puede observar en la Tabla III, para este primer Período, los 4 cálculos realizados arrojan datos inelásticos, así como el promedio de estos. Esto quiere decir que el alza en el precio no fue un factor influyente en la demanda del transporte para este Período. Además, este valor es acorde a lo expresado en la literatura [19].
En el Período correspondiente a la Tabla IV, los 4 cálculos realizados también arrojan datos inelásticos, y su promedio en efecto, presenta un valor inelástico por debajo de 0,5.
Ahora, para el período analizado en la Tabla V, los 4 cálculos realizados producen datos inelásticos, y su promedio arroja un valor por debajo de 0,5.
Durante el Período presentado en la Tabla VI, sucede algo particular, surge una elasticidad en 3 de los cuatro períodos, alcanzando en uno de ellos el valor de 2. El promedio de los datos arroja que el Período es elástico con un valor de 1,47. Si se examina el diferencial de viajes, podemos concluir que en este caso el alza del precio generó una disminución de pasajeros.
Siguiendo la tendencia incremental del Período anterior en el valor de la elasticidad, en el caso de la Tabla VII, aumenta 0,42 con respecto al Período anterior, obteniendo un valor promedio de 1,89. Estableciendo que el precio sí fue influyente en la demanda del transporte. Analizando los datos correspondientes al diferencial de viajes, se puede concluir que, en este Período contrario al anterior, se generó un alza en los pasajeros del sistema durante este Período de manera significativa.
Finalmente, para la Tabla VIII, cabe resaltar que de este Período sólo se tienen 14 datos para la observación. En este caso, se obtienen dos datos de carácter inelástico y dos datos elásticos, el promedio de los datos es de 1,01 arrojando un dato elástico, pero se observa que el sistema se tiende a estabilizar en este nuevo Período de observación, inclusive cuando el alza en el pasaje es el doble de los 2 períodos anteriores, por esto se recomienda realizar un análisis de los otros factores que afectan el cálculo de la demanda en un sistema de transporte.
VII. CONCLUSIONES Y FUTUROS TRABAJOS
Los datos obtenidos en los períodos observados se agrupan a continuación en la Tabla IX:
Para realizar un análisis y un mayor entendimiento, presenta la Fig. 4, con los valores de elasticidad para cada Período.
Como se puede observar en el gráfico, los 3 primeros períodos analizados, se comportan tal y como se establece en la literatura [19], obteniendo valores absolutos entre 0 y 0,5, lo cual indica que el alza del precio de la tarifa no fue un factor clave para la variación de la demanda en estos períodos.
El cambio más drástico en la gráfica es el cambio del Período III al Período IV donde existe un incremento de 1,3 en el valor de la elasticidad. Si revisamos el diferencial de la tarifa en este Período podemos observar que no es elevado por ende se realizó una revisión del contexto histórico de las condiciones de operación del sistema, ya que la disminución de pasajeros pudo haber sido relacionada a otros factores.
El Período IV comprendido entre el 16 de junio de 2011 y el 1 de febrero de 2015 en donde desde el 23 de enero de 2012 se presenta un incremento en la tarifa de $100 pesos tiene una serie de factores externos que pueden ser la causa de la variación de la demanda durante estos dos períodos, el primero de ellos es la disminución en los precios de las motos y su fácil acceso, pues gracias a los bancos que ofrecen el 100% de su financiación sin tener historial crediticio, ha generado que desde el 2011 el incremento de las ventas de este bien se haya incrementado, siendo esta una opción alterna al uso de transporte público. La construcción y apertura del intercambiador ubicado al lado del Centro Comercial El Progreso en Dosquebradas el 10 de mayo de 2014, la apertura de nuevas rutas como lo son: Aeropuerto (2014), San Fernando (2011), Cerro Azul (2012) y Puerto Caldas (2012).
Durante el siguiente Período, Período V comprendido desde el 23 de enero de 2012 hasta el 1 de enero de 2018 con un aumento en la tarifa de $200 pesos desde el 1 de febrero de 2015, se puede observar el pico más alto de la gráfica, teniendo un valor absoluto de elasticidad de 1,89 llegando casi a 2. Esto puede suceder debido al aumento de pasajeros del sistema durante este Período, evidenciado en el diferencial de viajes de la Tabla VII, que responde al suceso de una serie de hechos ocurridos durante este período, el primero sucede en el 2015 cuando el ente gestor Megabus no permite la operación en el sistema a la empresa Promasivo por incumplimiento en la operación del sistema, hasta que en 2016 cancelan el contrato de operación, este hecho afectó al sistema en general dejando la operación del sistema a cargo de Integra S.A. Otro hecho que puede ser el causal de la diferencia marcada en los pasajeros, es la apertura de nuevas rutas, que representan más servicios dentro del sistema, como lo son: Universidad (2016), Paya rica (2016), Pueblo Sol (2016), Milán (2016) y La Virginia (2016). Además, la incorporación de rutas alimentadoras con servicio para personas con discapacidad.
El último Período por analizar dentro de esta investigación tiene una condición especial, y es que la vigencia del incremento de la tarifa aún no ha terminado, por ende, el valor de la elasticidad de este Período no es la real. Sin embargo, se puede evidenciar que en este Período VI, el valor absoluto de la elasticidad es casi de 1, el valor mínimo para considerar el sistema inelástico con relación al aumento en el precio de su tarifa.
Como trabajos futuros se propone realizar el análisis de la elasticidad de la demanda, con otra variable que no sea el precio de su tarifa, como puede número de servicios ofertados. También se pude realizar un cálculo de la elasticidad de la demanda de manera cruzada, es decir la elasticidad de la demanda teniendo como variable de análisis el precio del servicio de un modo de transporte sustituto o el precio de un servicio sustituto.


































