Services on Demand
Journal
Article
Indicators
-
Cited by SciELO -
Access statistics
Related links
-
Cited by Google -
Similars in
SciELO -
Similars in Google
Share
Revista Ingeniería Biomédica
Print version ISSN 1909-9762
Rev. ing. biomed. vol.9 no.18 Medellín July/Dec. 2015
ADAPTACIÓN DE UNA METODOLOGÍA PARA LOS PROCESOS DE ADQUISICIÓN DE SISTEMAS DE AIRE ACONDICIONADO EN SERVICIOS DE SALUD
ADAPTATION OF A METHODOLOGY FOR PROCUREMENT PROCESSES OF AIR CONDITIONING SYSTEMS IN HEALTH SERVICES
ADAPTAÇÃO DE UMA METODOLOGIA PARA OS PROCESSOS DE AQUISIÇÃO DE SISTEMAS DE AR CONDICIONADO NOS SERVIÇOS DE SAÚDE
F. H. Gandur1, N. J. Escobar1, B. J. Galeano1, J. H. García2
1 Grupo de Bioingeniería, Universidad Pontificia Bolivariana. Medellín, Colombia.
Dirección para correspondencia: beatriz.galeano@upb.edu.co.
2 Grupo de Bioingeniería, Universidad de Antioquia. Medellín, Colombia.
RESUMEN
La adquisición efectiva de tecnologías en salud está enfocada al mejoramiento de la calidad y eficiencia, en la prestación de los servicios de salud ya que es un proceso complejo. Dentro de este proceso se destacan la evaluación técnica y clínica. El objetivo de la evaluación de tecnologías en salud es recolectar, analizar y sintetizar información y conocimiento para contribuir a mejorar la toma de decisiones en la práctica médica y en las políticas de salud. En este trabajo se presenta una evaluación en procesos de adquisición de sistemas de aire acondicionado en servicios de salud, basada en la definición de variables en campos de evaluación; dichas variables cuantifican lo técnico y funcional del equipo en su entorno clínico y económico. De igual manera, se pretende impulsar en los departamentos de ingeniería clínica la implementación de metodologías de amplia aceptación y efectividad que tienen como objetivo primordial la adquisición de tecnologías en salud basados en la evidencia.
PALABRAS CLAVE: Aire acondicionado; zonas blancas; evaluación técnica; evaluación jurídica; evaluación económica.
ABSTRACT
The effective acquisition of health technologies is focused on improving the quality and efficiency in the provision of health services as it is a complex process. Within this process the technical and clinical evaluation are highlighted. The objective of the health technology assessment is to collect, analyze, and synthesize information and knowledge to help improve decisionmaking in medical practice and health policy. This paper presents an evaluation process of acquiring air conditioning systems in health care facilities, based on the definition of variables into a field evaluation; these variables quantify the technical and functional team in their clinical and economic environment. Similarly, it is intended to promote in clinical engineering departments, the implementation of widely accepted methodologies and effectiveness that have, as its primary objective, the acquisition of technologies in evidence-based health.
KEYWORDS: Air Conditioning; White Areas; Technical Evaluation; Legal Evaluation; Economic Evaluation.
RESUMO
A aquisição efetiva das tecnologias da saúde é focada na melhoria da qualidade e eficiência na prestação de serviços de saúde, pois é um processo complexo. Dentro deste processo se destaca a avaliação técnica e clínica. O objetivo da avaliação de tecnologias em saúde é coletar, analisar e sintetizar informações e conhecimentos para ajudar a melhorar a tomada de decisão na prática médica e a política de saúde. Neste trabalho se apresenta um processo de avaliação de aquisição de sistemas de ar condicionado nos serviços de saúde, com base na definição de variáveis no campo da avaliação; essas variáveis vão quantificar o técnico e o funcional do equipamento em seu ambiente clínico e econômico. Da mesma forma, pretende-se promover nos departamentos clínicos de engenharia a aplicação de metodologias amplamente aceitas e eficácia que têm como objetivo principal a aquisição de tecnologias em saúde baseada em evidências.
PALAVRAS-CHAVE: Ar condicionado, áreas brancas, avaliação técnica, avaliação legal, avaliação econômica.
I. INTRODUCCIÓN
La tecnología biomédica es actualmente una de las piezas claves de los sistemas de salud, teniendo implicaciones importantes en el costo y la calidad de los servicios; es por esto que las organizaciones de salud están interesadas en metodologías que les permitan mejorar los servicios y en lo posible reducir los costos. Existe una normatividad para las entidades de salud y que en su componente de tecnología exige que los departamentos de ingeniería cuenten con procesos claros, eficientes y el recurso humano respectivo. Los equipos utilizados en la prestación de servicios de salud, se pueden clasificar dependiendo su uso en:
- Equipos de transporte.
- Equipos de apoyo.
- Equipos industriales de uso hospitalario.
- Equipos médicos.
Entre los equipos industriales se destaca el aire acondicionado de un hospital o clínica, que además de controlar la temperatura, debe caracterizarse, principalmente, por contar con niveles de filtración adecuados y direcciones correctas de flujo entre las áreas.
Por lo mencionado anteriormente, la calidad del aire en los hospitales es un asunto que cobra importancia cuando se trata del bienestar y recuperación de los pacientes y profesionales que allí laboran. A nivel de entidades de salud se requiere de una planeación en tecnología mediante un proceso legítimo de adquisición y utilización que beneficie a éstas, a los usuarios y al sistema en general. En este sentido se propone adoptar metodologías, procedimientos o modelos de adquisición, para prevenir el desbordamiento de los costos que puede producir la compra de tecnología, y así buscar una meta más allá en cuanto a costos y funcionamiento del equipo, como es la calidad de la atención en salud y la seguridad del paciente y sus acompañantes [1- 3].
El Sistema Único de Habilitación de Colombia establece los requisitos mínimos de obligatorio cumplimiento para toda entidad de salud sin importar el nivel de complejidad. Se encuentra que a noviembre de 2014 hay 31 IPS acreditadas en Colombia [4] y uno de los grandes ejes del sistema de acreditación es la gestión de tecnología. Teniendo en cuenta solo éste aspecto es evidente la necesidad de tener metodologías claras, rigurosas y ampliamente difundidas; las cuales tengan en cuenta, no solo la normatividad Colombiana, ya que ésta es muy generalizada en cuanto a sistemas de aire acondicionado en zonas blancas, sino también la internacional basadas en la ASHARE (American -Society of Heating Refrigerating and Air-Conditioning Engineers), para lo cual una institución pueda decidir el formato a utilizar para la adquisición de un sistema de aire acondicionado en zonas blancas, dado que no importa si estas actividades son realizadas por personal interno o a través de terceros, es la institución la directamente responsable por la forma de hacerlo y los resultados obtenidos. Diversos autores han propuesto metodologías para evaluar equipos biomédicos [5-8], algunos de estos, han definido un conjunto de aspectos técnicos, clínicos y económicos; sin embargo, no han propuesto nada en lo referente a equipos industriales de uso hospitalario.
El presente artículo tiene como finalidad proveer al personal clínico y administrativo una guía básica para la aplicación de una metodología para la evaluación en procesos de adquisición de sistemas de aire acondicionado en servicios de salud, basada en la definición de variables en campos de evaluación; dichas variables pretenden cuantificar lo técnico y funcional del equipo en su entorno clínico y económico. Lo anterior logrado por la adaptación de la metodología propuesta por [9].
II. METODOLOGÍA
La metodología para la evaluación en procesos de adquisición de sistemas de aire acondicionado en servicios de salud, se inicia con las características técnicas e incluye las siguientes 3 fases: 1. Jurídica donde se verifica el cumplimiento de orden legal, documentación, formas de pago y condiciones de pliego; 2. Evaluación técnica donde se evalúan y califican las ofertas; 3. Evaluación económica en la cual se comparan los costos de cada propuesta. Estas fases se cumplen de acuerdo al diagrama de la Fig. 1, para finalmente seleccionar la propuesta que mejor se ajuste a las necesidades técnicas y de servicio solicitadas [9].
A. Definición de las características técnicas
El objetivo es proporcionar un puntaje técnico que permita comparar cuantitativamente varias propuestas en función exclusivamente de sus características técnicas. Para esto se propone un puntaje técnico (PT) para cada propuesta, que se obtiene de (1).
En la cual se considera puntaje por especificaciones (PE) con una importancia del 70% del PT con la ecuación (2), el puntaje por valor agregado (PVA) que corresponde a todas las características, accesorios, insumos y demás opciones no solicitadas, que no afecten el valor ofertado y se consideran con un 5% del resultado, y finalmente el puntaje de respaldo (PR) que se refiere al soporte técnico o al préstamo de equipos con un 25% sobre el total de la valoración; en esta evaluación los porcentajes se modifican por el grupo de trabajo en compañía de la persona designada por la institución así como por los criterios personales asociados en la literatura consultada para establecer el estado del arte y marco teórico del presente trabajo.
En la Tabla 1 se muestra la definición de variables:
En el puntaje por especificaciones (2), se considera puntaje por compresor (Comp) con una importancia del 45% del PE, el puntaje por la válvula de expansión (Vexp) se considera con un 25% del resultado, y finalmente el puntaje del Evaporador (Eva) y el condensador (Cond), con un 15% cada uno de estos sobre el total de la valoración, en esta evaluación de porcentajes y criterios (aplicados a los Sub-sistemas analizados) se modifican estos porcentajes y criterios por los autores del presente trabajo, con el fin de ser adaptados a los sistemas de aire acondicionado en servicios de salud; los valores de adaptación fueron establecidos por personal que trabaja en el área y que se basaron en los fundamentos que son recomendados en la literatura y los fabricantes de sistemas de aires acondicionados en zonas blancas.
Con la restricción que PVA no podrá superar la unidad. La Institución realizará la verificación en el mercado del valor VA y en caso de discrepancias asumirá el valor promedio de los servicios o equipos cotizados por todos los proponentes.
El puntaje correspondiente a la calidad del respaldo se calcula mediante (4) que es modificada por los autores con el fin de satisfacer los requerimientos de uso y vida útil de los sistemas de aire utilizados en zonas blancas; cada variable se divide por el valor máximo que puede tener para garantizar que ninguna supere la unidad. Para las variables "Stock, Spropio, Smedica, Stock y Manuales" el valor es uno si lo tienen o cero si no lo cumple.
En el caso del tiempo de garantía se divide por 36, para que sea el 30% de la vida útil del mismo. El mantenimiento por garantía se divide por 22, para cumplir con 12 mantenimientos en el primer año, 6 en el segundo y 4 en el último año de la garantía. Los años que garantiza repuestos se divide por 10, ya que está es la vida útil del equipo según los fabricantes.
B. Evaluación Jurídica
En esta etapa se comprueba el cumplimiento de los requisitos de orden legal: el sistema de aire acondicionado ha sido reglamentado bajo las normas ASRHAE desde que fue fundada en 1894, las cuales ponen límites y condiciones para sostener una calidad del aire en un ambiente estableciendo normas de seguridad en distintos lugares interiores. La ASHRAE es una sociedad internacional técnica dedicada a mejorar la calidad de vida a través de los avances tecnológicos relacionados a la calefacción, refrigeración, aire acondicionado y ventilación (HVACR) [10]. Estas normas proponen distintas pautas para diferentes zonas e interiores respecto a la calidad del aire. En el caso de esta metodología las normas a seguir son dirigidas a hospitales o clínicas, que son llamadas "zonas blancas". Las normas a seguir son:
- Norma Colombiana: Es una norma creada por el Ministerio de la Protección Social y en el cual se dictan las pautas para el cumplimiento del contenido del Título IV de la Ley 09 de 1979, en lo referente a las condiciones sanitarias y a los requisitos básicos y mínimos de infraestructura que deben cumplir las edificaciones e infraestructura física de los prestadores de servicios de salud, considerando que de acuerdo con el artículo 241 de la Ley en mención, al Ministerio de la Protección Social compete reglamentar "lo relacionado con las condiciones sanitarias que deben cumplir las edificaciones para Instituciones Prestadoras de Servicios de Salud y similares, para garantizar que se proteja la salud de sus trabajadores, de los usuarios y de la población en general". Esta norma sugiere algunas características para mantener la calidad en el ambiente y lo divide en áreas, donde se extraen solo los elementos y criterios que hacen parte del control ambiental de la información encontrada en la norma Colombiana, resolución 4445 de 1996 [11].
- Norma Internacional: 1999 ASHRAE HANDBOOK. Applications, chapter 7, Health care facilities [12].
Y otras especificaciones solicitadas en el pliego: tiempo de existencia de la empresa, representación legal y cumplimiento de la contratación, inhabilidades o incompatibilidades para contratar con la institución, se exige como parte de las condiciones a cumplir por el proveedor la demostración de experiencia en venta de este tipo de equipos como una forma de filtrar aquellos proponentes que cuenten con la capacidad económica para ofertar pero no la experiencia técnica y de soporte; esta etapa es ejecutada por el departamento jurídico de la institución y solo las propuestas que cumplan dicha etapa jurídica serán evaluadas en el cumplimiento de las características técnicas ya que es una fase excluyente del proceso.
Ya que existen proveedores que distribuyen dos o más equipos que cumplen con las características requeridas, se recomienda que las condiciones del pliego permitan hacer una oferta principal y una alternativa [10].
C. Evaluación Económica
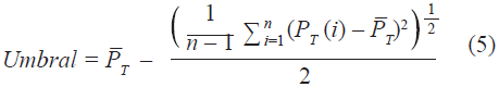
La evaluación económica se realiza sobre aquellas propuestas que superen el umbral descrito por (5); Donde
T es el puntaje técnico promedio de las ofertas evaluadas y n el número de ofertas en estudio.
Los proponentes que lleguen a este punto cumplen las características técnicas solicitadas y solo a partir de este momento se empieza a tener en cuenta el valor de la oferta; pero ya que éste no debe ser el único punto de decisión para la el puntaje final (PF), por el cual se le asigna un 50% del puntaje al valor de la oferta y el 50% restante se distribuye entre la experiencia empresa con un 20% y el resultado de la evaluación técnica de los equipos con un 30% del puntaje final.
Donde MV es el menor valor de todas las ofertas en estudio, V es el valor de la oferta en estudio, C(i) es el valor de los contratos en el año i, de tal manera que el numerador del segundo término de (6) representa la suma del valor de los contratos realizados por proponente en los últimos dos años y el denominador es el mayor valor aportado por algún proponente. PT es el puntaje técnico.
Para el cálculo del término correspondiente a la experiencia de la empresa, se tendrán en cuenta los contratos de venta de equipos similares ejecutados en los dos últimos años anteriores a la fecha de inicio de este proceso.
El puntaje final (PF) entregará el orden de selección de los proponentes.
III. DISCUSIÓN
La finalidad principal de este trabajo fue proveer al personal clínico y administrativo una guía metodológica para la evaluación en los procesos de adquisición de sistemas de aire acondicionado en las instituciones prestadoras de servicios de salud. Estudios anteriores han propuesto metodologías para evaluar equipos biomédicos [5-8], algunos de estos, han definido un conjunto de aspectos técnicos, clínicos y económicos; sin embargo, no han propuesto nada en lo referente a equipos industriales de uso hospitalario.
Se tomó como base la definición de variables en campos de evaluación; dichas variables pretenden cuantificar lo técnico y funcional del equipo en su entorno clínico y económico. Lo anterior logrado por la adaptación de la metodología propuesta por [9], como se evidencia en Ec. (1), (2), (3), (4) y (5). Y se demuestra en el Puntaje de Especificaciones toma el mayor porcentaje del valor del Puntaje Técnico el cual está dado por la subdivisión de este en los valores del Evaporador, Condensador, Compresor y Válvula de Expansión.
IV. CONCLUSIONES
Se adaptó una metodología para la adquisición de sistemas de aire acondicionado, permitiendo garantizar la calidad de los equipos adquiridos con el mínimo gasto para las instituciones prestadoras de servicios salud.
La metodología permitirá aumentar la confiabilidad y seguridad de los pacientes debido al uso de equipos médicos industriales debidamente controlados y mantenidos.
Este modelo aporta a la mejora continua y cumplimiento de estándares de atención con alta calidad en los procesos de atención de pacientes.
Contribuye a la reducción de los eventos adversos asociados al uso de la tecnología en equipos industriales en las instituciones prestadoras de servicios de salud.
REFERENCIAS
[1]. Dyro, J.F., Cheng M. Good Management Practice for Medical Equipment. Dyro, J. F. Clinical Engineering Handbook. Elsevier, 31, 108-110, 2004. [ Links ]
[2]. Di Virgilio, V., Clinical engineer and his role in a Hospital. En: http://www.nib.fmed.edu.uy/Seminario%202006/Trabajos%20estudiantes%202006/Taborda,%20Rodrigo.pdf. [ Links ]
[3]. ECRI Institute. Health Technology Decision Making in the 1990s, A Guide For Hospital Executives. Cap.4. [ Links ]
[4]. Colombia Single Accreditation System: Central Government of the Republic of Colombia En: http://www.acreditacionensalud.org.co. [ Links ]
[5]. Clark J.T., Forsell R. Biomedical Instrumentation & Technology, Vol. 14, 271-276, july/august 1990. [ Links ]
[6]. Fennigkoh L. A. Medical Equipment Replacement Model. Journal of Clinical Engineering, 17(1), 41-47, 1992. [ Links ]
[7]. Capuano M. Technology acquisition strategies for clinical engineering. Biomed Instrum Technol, 31(4), 335-357, 1997. [ Links ]
[8]. Cohen T. Validating Medical Equipment Repair and Maintenance Metrics: A Progress Report. Biomedical Instrumentation & Technology, 31(1), 23-32, january/february 1997. [ Links ]
[9]. Ramos J. Process Modeling Related Hospital Engineering Management. Universidad de Antioquia, 2012. [ Links ]
[10]. Memotionsoft. ASHRAE Guadalajara Chapter. En: http://www.ashraegdl.org/. [ Links ]
[11]. Colombian Ministry of Health Standards. Resolution number 4445. Ministry of Health, 20-24, 1996. [ Links ]




















