Services on Demand
Journal
Article
Indicators
-
Cited by SciELO -
Access statistics
Related links
-
Cited by Google -
Similars in
SciELO -
Similars in Google
Share
CS
Print version ISSN 2011-0324
CS no.7 Cali Jan./June 2011
https://doi.org/10.18046/recs.i7.1043
ARTÍCULOS
Principios probabilísticos de la igualdad de Klemens Szaniawski1
Probabilistic Principles of the Klemens Szaniawski Equality
Princípios probabilísticos da igualdade de Klemens Szaniawski
Grzegorz Lissowski
Universidad de Varsovia, Polonia gliss@is.uw.edu.pl
Artículo de reflexión recibido el 25/10/2010 y aprobado el 27/04/2011
Resumen
La división de la colección de bienes indivisibles y heterogéneos casi inevitablemente provoca la distribución desigual de los repartos entre los participantes y hace necesario el uso de los métodos aleatorios de división. Klemens Szaniawski formuló dos principios probabilísticos de igualdad: la igualdad de oportunidades para la satisfacción y la igualdad de oportunidades para la elección. Demostró que incluso en una situación muy simplificada pueden existir diferentes concepciones de la igualdad, que pueden entrar en conflicto entre sí y con otros requisitos para los métodos de toma de decisiones sociales. Esta forma de comprobación y comparación de los principios de la justicia distributiva es actualmente dominante en la teoría de la elección pública.
Palabras clave: Bienes indivisibles, Métodos aleatorios de división, Justicia distributiva, Proporcionalidad, Teoría de la elección pública
Abstract
The division of the collections of undivisible and heterogenous goods almost inevitably provoques the unequal distribution of the shares between the participants which make necessary the use of random methods of division. Klemens Szaniawski formulated two probabilistic principles of equality: equal opportunities for satisfaction; and equal opportunities for election. He demonstrated in a very simplified situation that there could be different conceptions of equality, which can get into conflict among each other; and with other requisites for the models of decision making. This way to comprobate and comparate the principles of distributive justice is actually dominating the theory of public election.
Key Words: Indivisible goods, Aleatory Methods of division, Distributive justice, Proportionality, Theory of public election
Resumo
A repartição do conjunto de bens indivisíveis e heterogêneos provoca, quase inevitavelmente, a distribuição desigual entre os participantes e faz necessário o uso de métodos aleatórios de divisão. Klemens Szaniawski formulou dois princípios probabilísticos de igualdade: a igualdade de oportunidades para a satisfação e a igualdade de oportunidades para a escolha. Demonstrou que mesmo numa situação muito simplificada podem existir diferentes concepções da igualdade que podem entrar em conflito entre si. Esta forma de comprovação e comparação dos princípios da justiça distributiva é atualmente dominante na da eleição pública.
Palavras-chave: Bens indivisíveis, Métodos aleatórios de divisão, Justiça distributiva, Proporcionalidade, Teoria da eleição pública
Introducción
El hecho de tomar decisiones, tanto individuales como públicas, utilizando métodos aleatorios es hoy en día, a menudo, considerado como algo irracional. Sin embargo, tales métodos de toma de decisiones están conocidos desde los tiempos bíblicos. La oposición a su uso se asocia con la doctrina de la Ilustración de la libertad y la responsabilidad moral del hombre de la gestión de su destino, combinado con los postulados del igualitarismo en los ámbitos sociales, políticos y económicos (Fishburn, 1978). Sin embargo, se pueden proporcionar argumentos a favor del uso de métodos aleatorios e identificar situaciones en las que éstos tienen propiedades más deseables que los métodos deterministas. Por ejemplo, elegir entre varias soluciones igualmente buenas, imposibilitar la manipulación estratégico-individual de toma de decisiones colectivas, garantizar los derechos de las minorías o el uso de estrategias mixtas en juegos competitivos (Lissowski, 2006).
La necesidad de utilizar un método aleatorio aparece sobre todo cuando se comparte un conjunto de bienes indivisibles. En el caso de la distribución de los bienes divisibles existe normalmente, aparte de las situaciones especiales, la división que a todos los participantes proporciona utilidades no menores de los valores esperados de utilidades de loterías definidas en la colección de los bienes divididos, es decir, de la división aleatoria. En este artículo nos ocuparemos de la distribución aleatoria sólo de bienes indivisibles.
La división de un conjunto de bienes indivisibles, casi inevitablemente causa la desigualdad de los repartos obtenidos por los participantes. Esto resulta obvio cuando un conjunto de bienes comunes es menos numeroso que el conjunto de los participantes y son imposibles las maneras de compensar los repartos desiguales como el uso de la divisibilidad de uno de los bienes para compensar las diferencias, rotación del uso de los bienes, venta de los bienes y la distribución de dinero así obtenido etc.
El artículo se dedicará a la presentación de dos principios probabilísticos de la igualdad propuestos por Klemens Szaniawski (1966, 1975, 1979). La intención de Szaniawski fue analizar los principios de distribución de los bienes como método de toma de decisiones sociales, consistente en el estudio de sus propiedades y relaciones entre ellos. Esta forma de comprobación y comparación de los principios de justicia distributiva es la que prevalece actualmente en la teoría de la elección pública. Los principios de la igualdad de Szaniawski han sido objeto de estudio experimental (Lissowski, 1992) y sus aspectos éticos fueron analizados por Jacek Holówka (1990) esta cuestión se revisa a continuación en el texto.
Métodos aleatorios de división del conjunto de bienes indivisibles
Por "bienes" se entiende objetos que son deseados por los participantes de la división, que se distribuirán entre ellos, y su número es limitado y -al menos en el momento de la división- determinada. Los bienes pueden ser objetos materiales (como la herencia, pinturas, carros) e intangibles (por ejemplo privilegios, premios). También pueden ser homogéneos (votos en las elecciones) y heterogéneos (por ejemplo riñones para un trasplante). En el caso de bienes homogéneos puede haber diferencias significativas entre las preferencias de los participantes, que dependen del tipo, no sólo del número de los bienes recibidos. La división m de la colección de los bienes indivisibles D = {D1,...,Dm} entre n personas, es decir, los participantes de la división G = {1,...,n}, será un ordenado cuasi-partición de n-elementos del conjunto de bienes D. "Cuasi" - porque no se supone que los segmentos de esa partición sean vacíos. Cada división puede ser determinada en función de x: D
G, que asigna cada bien al participante específico. El conjunto de las posibles divisiones será determinado por X = {x, y, z,...,.}o X = {x1 , x2, x3 ,...}.
La partición de un conjunto de bienes indivisibles está bien ilustrado en el ejemplo "División de la herencia" que fue presentado a los participantes del experimento "Evaluación y elecciones". Su propósito fue examinar las evaluaciones de dos principios probabilísticos de la igualdad de Szaniawski. El experimento se describe en la Parte 9.
Ejemplo 1 División de la herencia
El problema de la división de la herencia consiste en la división de tres bienes: A el apartamento, B la casa de campo y C el carro. Entre los tres hijos del fallecido: Adán, Juan y Pedro. Dejando a un lado por un momento la información adicional recibida por las personas examinadas, consideremos las posibles maneras de compartir este conjunto de 3 bienes indivisibles. Si no hubiera habido restricciones adicionales, cada uno de los hijos podría recibir uno de los ocho repartos posibles. El conjunto de repartos posibles es el conjunto de todos los posibles subconjuntos del conjunto de bienes indivisibles. Este conjunto se llama un conjunto potencia y su tamaño es de 2m, donde m es el número de bienes. A continuación se muestra el conjunto de todos los repartos posibles en el problema "división de la herencia": {Ø, {A}, {B}, {C}, {A,B}, {A,C}, {B,C}, {A,B,C}}.
Dado que no es posible conceder el mismo bien a dos personas, un conjunto de posibles divisiones -permitiendo la situación de que no todos los bienes serán distribuidos- es de 64 (más en general (n+1)m, donde n es el número de participantes). Sin embargo, suponiendo que hay que distribuir todos los bienes, o sea, limitándose sólo a divisiones completas, un conjunto de posibles divisiones es de 27 (es decir nm).
El conjunto de las divisiones completas cuenta con divisiones que muy significativamente diferencian los repartos de las personas. Por ejemplo, uno de los hijos puede conseguir los tres bienes, y los otros dos ninguno. En este conjunto se puede imponer una restricción adicional natural, que cada persona recibe la misma cantidad de bienes (si el tamaño del conjunto de bienes no es un número múltiplo de las personas, se permitirá, por ejemplo, sólo divisiones en las que los individuos que participan no difieren en más de un bien). Suponiendo tal limitación en el ejemplo considerado, tenemos seis formas posibles de compartir la herencia.
X = {x1, x2, x3, x4, x5, x6},
donde:

(En el primer lugar se inscribió el bien, que recibe el primer hijo -Adán-, en el segundo lugar el que recibe el segundo hijo -Juan- y en el tercer lugar el que recibe el tercer hijo -Pedro).
Los métodos anteriormente descritos de la distribución de los bienes son deterministas (directos), es decir, definen claramente qué repartos recibirán los participantes de la división. Además, desde los tiempos bíblicos, se aplican los métodos aleatorios de división de los bienes, que consisten simplemente en la elección de la división al azar. Se utiliza para ello un mecanismo aleatorio, gracias al cual se sortea una división. La división de los bienes se lleva a cabo de acuerdo con la división elaborada. Sin embargo, los participantes todavía reciben el reparto del bien claramente definido. La principal diferencia consiste en el hecho de que la elección de la división no está determinada por una serie de criterios, sino que depende del resultado de la lotería.
Las probabilidades de selección de las distintas divisiones no tienen que ser idénticos. La distribución de probabilidad en el conjunto de bienes-divisiones, según la cual se sacan las divisiones, se llama distribución. En los métodos de división aleatoria se determina precisamente la distribución de probabilidad y no directamente a la distribución de los bienes. El método aleatorio sólo tiene que proporcionar un sorteo al azar de cada división de acuerdo con la probabilidad especificada en la distribución. Vale la pena señalar que el conjunto de las posibles distribuciones, en contraste con el conjunto de las divisiones de bienes indivisibles, es infinito. La admisión de la distribución aleatoria de bienes amplía sustancialmente las posibilidades de división del conjunto de bienes indivisibles.
Ejemplo 2. Método aleatorio de división en el problema de "División de la herencia"
El método aleatorio de división lo ilustramos en el ejemplo del problema considerado suponiendo que cada uno de los tres hijos del fallecido recibirá, como resultado de la división, exactamente uno de los tres bienes. De acuerdo con esta restricción, sólo se permite una de las seis divisiones de la herencia. Supongamos que se ha determinado la distribución
a presentada en la Tabla No. 1.

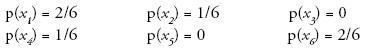
Si la división de la herencia fuera sorteado según esta distribución, entonces cada uno de los hijos, con la excepción de Pedro (la persona No. 3), podría recibir cada uno de los tres bienes. Sólo Pedro no podría recibir la casa (B). Las probabilidades de recibir los distintos bienes son diferentes. Los presenta la Tabla No. 2.

La distribución -una distribución de probabilidad sobre el conjunto de divisiones de bienes- establece para cada participante la probabilidad de recepción de los distintos bienes. Sin embargo, es posible que las consecuencias probabilísticas del uso de las distribuciones diferentes sean iguales. Esto se ilustra con dos distribuciones
b y
c presentadas en la Tabla No. 3.

Se puede notar fácilmente que, en caso de aplicación de las dos distribuciones
b y
c para cada uno de los tres hijos, la probabilidad de obtener cada uno de los tres productos es la misma, 1/3. Para decir cuál de las dos maneras de dividir -según la distribución
a o la distribución
b o
c - es más ventajosa o más justa desde la perspectiva de los individuos, se necesitará el conocimiento de sus preferencias o utilidades. Hay que destacar como característica específica la manera aleatoria de dividir bienes. Se trata de dos tipos de evaluaciones: evaluación ex ante, es decir, evaluación de la distribución antes de llevar a cabo el sorteo de la división, y la evaluación ex post, es decir, evaluación de división elaborada. Son diferentes. El método de división aleatoria permite proporcionar a los participantes la distribución equitativa de las oportunidades para obtener bienes, aunque no la igualdad de las acciones en el reparto que será sacado, lo que, los métodos deterministas clásicos no pueden proporcionar independientemente del criterio elegido de la división, por ejemplo: utilitario, igualitario o de prioridad determinada por la propiedad de los participantes (Goodwin, 1992). Probablemente, los participantes no aceptarán tales distribuciones probabilísticas que difieren de manera significativa de las evaluaciones ex ante o las evaluaciones ex post. Eso está justificado en imponer ciertas restricciones en el conjunto de las divisiones de bienes permitidas.
Supuestos de dos principios de la igualdad probabilística de Szaniawski
Un modelo muy simple de la situación de la división elegida por Szaniawski iba a permitir el análisis de la relación entre los diferentes requisitos para las formas de división de bienes desde el punto de vista de la justicia y demostrar que incluso, en esta situación simplificada, existen diferentes conceptos de la igualdad que pueden entrar en conflicto entre sí y con otros requisitos para los métodos de toma de decisiones sociales. Szaniawski suponía que el número de los bienes para dividir es igual al número de personas y, además, que cada persona recibe exactamente un bien. Esta condición tiene una natural justificación ética -limita la distribución desigual del resultado del reparto aunque, con diferencias significativas en el valor de los bienes, una reducción así no se evaluará como una reducción grande. Szaniawski no suponía el conocimiento de individuales, personales utilidades de los bienes y sólo el conocimiento del perfil de las preferencias personales en el conjunto de bienes. Sin embargo, las restricciones adoptadas por el conjunto de bienes y por el conjunto de divisiones permitían identificar las preferencias personales de cada persona en el conjunto de las divisiones admisibles directamente basado en sus preferencias sobre el conjunto de bienes. De esta manera, Szaniawski logró evitar los fuertes supuestos sobre el método de medir las preferencias individuales y sobre la posibilidad de las comparaciones interpersonales.2
Como se sabe, para el análisis de los principios de justicia distributiva normalmente es necesario adoptar supuestos más fuertes de medición y comparación y la naturaleza de estos supuestos, en gran parte, determina las diferencias entre los conceptos de la justicia. Además, Szaniawski descartó la existencia de la indiferencia en las preferencias de los participantes. Es un supuesto simplificador, pero no constituye una limitación significativa para la generalidad de las consideraciones.
Los principios de Szaniawski se pueden generalizar fácilmente a la situación en la que un número determinado de personas es mayor que el tamaño de un conjunto de bienes comunes. Para este propósito basta con añadir a un conjunto de bienes, los bienes ficticios: "no conseguir ningún bien". La generalización es más difícil cuando un grupo de personas es menos numeroso o si una persona puede recibir más bienes. En tales casos, para identificar las preferencias personales en el conjunto de las divisiones no es suficiente con la comprensión de sus preferencias en un conjunto de bienes. Esto se debe al hecho de que la utilidad de un conjunto de bienes no puede ser igual a la suma de los bienes de utilidad individual (Szaniawski, 1979). En estos casos es necesario asumir la aditividad de la utilidad de los bienes, o bien, tener información más rica sobre las preferencias personales sobre el conjunto de las divisiones de bienes admisibles.
Ambos principios de Szaniawski son las funciones de la elección social de distribución, es decir, cada perfil de preferencias personales designa a un subconjunto de la distribución, que es coherente con una concepción particular de la igualdad. Sin embargo, no permiten ordenar divisiones de bienes del más al menos justo.
El principio de igualdad de oportunidades de satisfacción
En la primera concepción de igualdad considerada por Szaniawski (1966, 1975; 1979), el trato equivalente de los participantes es entendido como la igualdad de oportunidades de recibir bienes que ocupan posiciones idénticas en su individual y personal arreglo de conjunto de bienes.
El principio de igualdad de oportunidades para la satisfacción (RSS) consiste en la elección de tales distribuciones que garanticen que todos los participantes tengan la misma probabilidad de recibir un bien que ocupa la posición k-esima (k = 1 ,..., m) en sus preferenciales arreglos personales del conjunto de bienes D.
Que vh: D
(1 ,..., m) es una función que a cada bien del conjunto D asigna rango en preferencia personal con arreglo a la persona h, es decir vhDi)>vh(Dj)
DiRhDj, donde Rh es relación de preferencia débil de h-esa persona3, mientras que pa[vh/(Di)=k] es la probabilidad asignada por la distribución
a a división o divisiones que tengan por resultado que la persona h recibe el bien de rango k. El principio de igualdad de oportunidades de satisfacción se puede escribir como: 
El método para determinar la distribución por las normas de igualdad de oportunidades de satisfacción puede ser ilustrado por la división de tres bienes: A, B, C, entre tres personas N°1, N°2 y N°3. Supongamos que las preferencias de las personas en el conjunto de bienes son los siguientes:

Según la limitación establecida, que cada persona recibe exactamente un bien, el conjunto de divisiones admisibles contiene seis elementos. Puede presentarse en forma de permutas del conjunto de bienes D con esta interpretación que hésimo elemento de esta permutación es asignado a h-esa persona. Los siguientes son rangos de bienes recibidos por los individuos definidos por sus personales arreglos preferenciales. El rango 3 recibió el bien mejor evaluado y rango 1 - el bien peor evaluado.

Los signos de las divisiones de bienes en la Tabla No. 4 se aplicarán en las secciones subsiguientes del artículo (excepto la sección 9) mientras que los rangos (es decir, las posiciones individuales de los bienes) dependerán del perfil de las preferencias individuales.
Para que todos los participantes en la división tengan la misma probabilidad de obtener, un bien que tenga la misma posición en individuales arreglos preferenciales, distribución deberá cumplir las siguientes condiciones:
La probabilidad de obtener el bien evaluado:

El sistema de ecuaciones podrá reducirse a:

Denotando t = p(x5), se pueden describir las probabilidades de recibir por las personas número 1, 2 y 3 los bienes mejor elevados por ellos, después los segundos en el orden de las utilidades (un poco peores) y, por último, los bienes peor evaluados.
La probabilidad de recibir el bien:

Como se puede ver, hay tantas distribuciones coherentes con el principio de igualdad de oportunidades para la satisfacción, como combinaciones de números: r, s, t que cumplan los siguientes requisitos (resultante de características de la probabilidad):

Aunque todas estas distribuciones garantizan las mismas posibilidades de recibir bienes que ocupan las mismas posiciones en individuales arreglos preferenciales de los participantes, no todos son igualmente beneficiosos para ellos. Se hablará de ello en la siguiente sección. Para el ejemplo considerado, las mismas consecuencias las tienen también, entre otros, las siguientes distribuciones:

En el caso de que los participantes sean indiferentes entre determinados productos hay muchas formas equivalentes de la asignación de rangos para bienes del conjunto D, debido a sus preferencias. La única diferencia es de rangos de estos bienes para los cuales son indiferentes. Entonces el principio RSS establece más distribuciones y la condición de la igualdad de oportunidades para la satisfacción es más fácil de cumplir.
La igualdad de las oportunidades y la optimalidad
No todas las distribuciones determinadas por el principio RSS son igualmente positivas para los participantes. Además, entre las divisiones que se pueden encontrar las divisiones que son perores en el sentido de Pareto de las otras de los otros divisiones admisibles.
Szaniawski, en el primer artículo sobre este tema "El concepto de distribución de los bienes" publicado en Estudios Filosóficos en 1966 consideraba oportunidad de complementar el principio RSS por la siguiente condición adicional: si una división no es óptima en un fuerte sentido de Pareto,4 la probabilidad de seleccionarla debe ser igual a cero.
Esta condición puede ser llamada el requisito de optimalidad ex post, porque se refiere a la exclusión de tales elecciones de divisiones que, según el criterio fuerte de optimalidad de Pareto son peores que otras divisiones disponibles.
En el primer ejemplo considerado en la sección anterior las divisiones que no son óptimas en el fuerte sentido de Pareto, son: x5 (está dominada por todas las otras divisiones), x2 (está dominada por x1), y x3 (está dominada por x1 y x4) Para que esta condición se cumpliera debe ser t=p(x5)=0 y s=p(x2)=p(x3)=0. En consecuencia, la única distribución que cumpla a la vez el principio de la igualdad de oportunidades para la satisfacción y condición adicional de optimalidad ex post es:

Para esta distribución estos son las probabilidades de obtener el bien:

Sin embargo, resultó que el principio de la igualdad de oportunidades para la satisfacción y postulado de la optimalidad ex post puede ser contradictoria, es decir, puede que no exista una distribución que los cumpla en el mismo tiempo. Esta contradicción se puede ilustrar con el siguiente ejemplo:

Del principio RSS se deduce que p(x1)=p(x4)=p(x5) y que p(x2)=p(x3)=p(x6). Se trata de un número infinito de distribuciones que cumplen este requisito, pero todas ellas llevan a la misma conclusión: cada persona recibe cada bien con la misma probabilidad, que es 1/3. Basándose en el postulado de la optimalidad ex post: p(x2)=0, porque x2 está dominado por x1 y p(x5)=0, porque x5 está dominado por x3. En consecuencia las probabilidades de sortear todas las divisiones deben ser iguales a cero.
Está claro que el principio RSS y el postulado de optimalidad ex post son compatibles si el conflicto de intereses entre los participantes es máximo o mínimo. El conflicto de interés máximo se ilustró en la sección anterior. El conflicto mínimo existe cuando a cada participante le gusta más el otro bien. El primer ejemplo muestra que el cumplimiento de ambos, el principio RSS y el postulado de optimalidad ex post, no necesariamente existe sólo en estos dos ejemplos extremos. Sin embargo, no es fácil encontrar el requisito suficiente y necesario para su compatibilidad. La respuesta parcial a esta pregunta la da el trabajo de Marta Kuc (2000) quien examinó todos los perfiles posibles de las fuertes preferencias individuales para n=m=3 y n=m=4. El número de estos perfiles es enorme (216, 331, 776). Sin embargo, se los puede reducir a 10 y 762 tipos. Perfiles que pertenecen a un tipo sólo difieren en el nombre de los bienes y/o el orden de personas. Resultó que entre 10 tipos de perfiles n=m=3 sólo en 4 casos el príncipe RSS y el postulado de optimalidad ex post fueron compatibles, y entre 762 tipos de perfiles n=m=4 compatibilidad sólo existía en 121 casos (Kuc, 2000 : 186). El principio RSS junto con la condición de optimalidad ex post llamaremos RSS-0post.
Evaluando las distribuciones designadas por los principios RSS se puede distinguir entre ellos el subconjunto de la distribución óptima en el fuerte sentido de Pareto. Algunas distribuciones conformes con el principio de RSS son mucho peores en el sentido de Pareto de los otros (por ejemplo en el primer ejemplo considerado en la sección anterior, la distribución t=p(x3)=1 que con la probabilidad igual a 1 asigna a todos los participantes los bienes menos evaluados por ellos). Al principio RSS se puede añadir el requisito de optimalidad ex ante:
Si alguna distribución, que es coherente con el principio RSS, no es óptima en el fuerte sentido de Pareto, no debe pertenecer al conjunto de distribuciones seleccionadas.
Cuando las utilidades cardinales no son especificadas, se puede suponer que la distribución
a no es óptima en el fuerte sentido de Pareto, si para todas las personas existen todas las probabilidades de recibir un bien de una posición específica (es decir, los que tienen un rango específico) o bienes que ocupan los posiciones más bajas (tienen rangos más bajos) son en el caso de distribución
a más grandes o iguales -como en el caso de la otra distribución
b- y además por lo menos para una persona son más grandes, es decir:

Según el lema de Hardy, Littlewooda y Poly, publicado en 1934 (Dasgupta, et al., 1973 : 182; Sen 1973 : 54), el hecho de que la distribución
a está dominada en el fuerte sentido de Pareto por la distribución
b significa que para cada persona, independiente de su función de la utilidad (siempre y cuando sea estrictamente cóncava), la distribución
a es peor que la distribución
b en fuerte sentido de Pareto. En consecuencia, el valor esperado de la utilidad asociada con la distribución
a no es mayor que la utilidad esperada asociada a la distribución
b.
Está claro que en el conjunto de distribuciones designadas por el principio RSS siempre existen las distribuciones que no sean peores en el fuerte sentido de Pareto que otras distribuciones en este conjunto. Pueden ser hasta todas las distribuciones que sean compatibles con la idea de igualdad. Puede existir también el conjunto infinito. El principio RSS, complementado por la condición de optimalidad ex ante lo denotaremos con RSS-0ante.
El principio de igualdad de oportunidades para la elección
La segunda concepción de la igualdad también supone un tratamiento simétrico e idéntico de los participantes en la división. Sin embargo, ésta no requiere que todas las personas tengan las mismas oportunidades de elegir el bien.
El principio de igualdad de oportunidades para la elección (RSW) se realiza utilizando el algoritmo que consiste en elegir bienes del conjunto D secuencialmente por los participantes. Cada persona elige un bien más evaluado del subconjunto de bienes que quedaron después de elecciones de los otros. Está claro que la persona que elige primero está en la mejor situación. Si el número de bienes es igual al número de las personas m=n, la elección del último participante está totalmente determinada por las elecciones de sus predecesores (si la palabra "elección" es adecuada). En cambio, si mn, las elecciones de bienes se repiten.
Si t significa permutación del conjunto de las personas G que indica el orden de las personas que eligen bienes, T significa el conjunto de todas las posibles permutaciones de este tipo. La realización de este algoritmo designa cierta división de bienes. La forma de asignar las divisiones del conjunto X a un conjunto de permutaciones del conjunto T llamaremos q: T
X. Si las preferencias personales en el conjunto de bienes D son arreglos fuertes, existe sólo una función q, de otra forma -existe el conjunto finito Q={q1,..., qw}.
El tratamiento simétrico de todos participantes es en el principio RSW está garantizado al proporcionar a cada uno de ellos la misma probabilidad del hecho de elegir k-ésimo (k=1, ..., n). En otras palabras, el principio de la igualdad de oportunidades para la elección asigna a cada permutación que determina el orden de elecciones, la misma probabilidad igual a 1/n!

donde Λ:

La aplicación del principio de igualdad de oportunidades para elecciones se puede ilustrar usando la misma, situación de reparto 3 bienes entre 3 personas:

Los bienes elegidos están presentados en el orden fijo: en primer lugar el bien elegido por la persona No. 1, en segundo lugar por la persona No. 2, y en el tercero - por la persona No. 3.

Entonces la distribución elegida es:

En ella se establecen las siguientes probabilidades de recibir ciertos bienes por ciertas personas.
Las probabilidades de obtener el bien:

El principio de la igualdad de las oportunidades para elecciones puede indicar una distribución o el conjunto finito de distribuciones (cuando en las preferencias personales existen indiferencias). Todas las divisiones elegidas según esta regla son óptimos de Pareto en el sentido débil.5 En el caso de que las preferencias personales en el conjunto de bienes D no sean arreglos fuertes, algunos de ellos no serán óptimos en el sentido fuerte de Pareto. En consecuencia, algunas distribuciones asignadas por el principio RSW no serán óptimos en el sentido fuerte.
La comparación de los dos principios probabilísticos de igualdad
Los conjuntos de distribuciones que fueron asignados según RSS y RSW pueden ser conjuntos disjuntos, lo que muestra las diferencias significativas entre las dos concepciones igualitarias de la justicia.
Para ilustrarlo comparemos las probabilidades de obtener bienes, designados por los principios RSS y RSW en la situación de que la preferencias de las tres personas en el conjunto de los tres bienes sean arreglos fuertes. Se resumen en la Tabla No. 5. El principio de la igualdad garantiza a las personas que tengan las mismas preferencias, las mismas probabilidades de obtener bienes mejor evaluados.

Para los perfiles de la Tabla No. 5, para los cuales la regla RSS asigna distribuciones que son compatibles con la condición ex post (perfiles 1, 2, 9 y 10), distribuciones que cumplen la condición de optimalidad ex ante, son idénticos que distribuciones asignadas por la regla RSW (perfiles 1,9 y 10) o incomparables con ellos (perfil 2). Este último ejemplo ilustra el hecho de que los conjuntos de distribuciones asignadas por las reglas RSS y RSW pueden ser los conjuntes disjuntos.
Para ninguno de estos perfiles el principio RSW asigna distribuciones mejores en el sentido de Pareto que las distribuciones optímales asignadas por el principio RSS. El análisis hecho por M. Kuc (2000 : 186) para los perfiles de las preferencias fuertes en la situación de que n=m=4 dan las conclusiones parecidas. Entre 121 tipos de perfiles de preferencias para las cuales el principio RSS y la condición de optimalidad ex post son compatibles, las distribuciones optímales asignadas por esta regla, en 39 casos fueron incomparables con las distribuciones asignadas por el principio RSW, en 70 casos -iguales y en 12 casos- mejores.
El ejemplo del perfil para el cual la distribución óptima asignada por el principio RSS es mejor en el sentido de Pareto que la distribución asignada por el principio RSW, es el siguiente:

Según el principio RSW sólo estas divisiones son elegidas:

Con las frecuencias siguientes:

Para esta distribución estos son las probabilidades de obtener bienes evaluados:

Esta es también una de las distribuciones compatibles con el principio RSS. Sin embargo, la distribución óptima asignada por esta regla es la siguiente: p(x2)=12/24 i p(x4)=12/24. Según la distribución para cada persona la probabilidad de obtener el bien mejor evaluado y clasificado como el segundo son iguales a 12/24. En este caso la solución según la regla RSW es peor que la óptima solución según la regla RSS.
La distribución no-óptima ex post asignada por la regla RSS tampoco tiene que ser peor en el sentido de Pareto que la distribución asignada por la regla RSW. Por ejemplo, la distribución para el perfil 3 en la Tabla No. 5 con la probabilidad igual a 1 asigna una división [B,C,A], la división que garantiza a todas las personas el bien evaluado como segundo, y que está dominada en el fuerte sentido de Pareto, por ejemplo por la división [A,C,B], es incomparable con la distribución asignada por la regla RSW.
Las letras r, s, t, v significan las probabilidades de divisiones que tienen que ser idénticas para que la condición RSS sea cumplida para el perfil dado. Los valores pueden ser diferentes, pero tienen que sumarse a 1 en cada línea. Dependiendo del perfil estas probabilidades son asignadas a diferentes divisiones.
En los casos en que la regla RSS no es compatible con la condición ex post, las distribuciones asignadas por la regla RSW pueden ser, y normalmente son mejores en el fuerte sentido de Pareto que las distribuciones asignadas por la regla RSS.
El problema de la relación entre dos reglas probabilísticas de igualdad, formulados por Szaniawski, y también entre dos versiones de la regla RSS, complementada por las condiciones de optimalidad ex post y ex ante, es un problema abierto y requiere una mayor investigación.
Los principios de Szaniawski, el postulado de proporcionalidad y el postulado de falta de envidia
No sólo el postulado de la optimalidad requiere de los principios igualitarios de la justicia. Consideremos dos postulados adicionales: proporcionalidad y falta de envidia. Estos no estaban analizados por Szaniawski, sino más tarde (Lissowski, 1985; Kuc, 2000).
El postulado de proporcionalidad requiere que cada uno de n participantes evaluara su parte de la división como no menor de 1/n del valor de todo el conjunto de bienes. Para evaluar el cumplimiento de este postulado normalmente se necesita el conocimiento de las utilidades de bienes de los participantes, y en el caso de la mayor cantidad de bienes -el conocimiento de utilidades de subconjuntos del conjunto de bienes o suponer la aditividad de utilidad de distribución- se refiere al valor de la utilidad esperada.
Para que la división concreta y determinista pueda cumplir el postulado de proporcionalidad, las preferencias de los participantes deben diferenciarse mucho y las personas deben obtener los bienes mejor evaluados. El postulado podría ser cumplido también si todos bienes son evaluados igualmente por los participantes, y su cantidad -igual a la cantidad de personas (o sus veces).
Si las evaluaciones de los bienes se expresan sólo en términos de preferencia personal, y no de las utilidades concretas que cumplan el postulado de aditividad, es difícil de decir qué valor tiene el conjunto de bienes para los participantes. Sin embargo, en el caso de los métodos probabilísticos de la división, eso no ayuda a decir si las distribuciones cumplen el postulado de proporcionalidad. En el caso de que la cantidad de los bienes m es igual a la cantidad de los participantes n, el postulado de proporcionalidad es cumplido por las distribuciones
*, que a cada persona dan cada bien con la misma probabilidad igual a 1/n. Está claro que las distribuciones
* son compatibles con el principio RSS. Obviamente no todas las distribuciones asignadas por la regla RSS tienen que cumplir el postulado de proporcionalidad (por ejemplo la distribución t = p(x3)=1 para el perfil 2 en la Tabla No. 4, que con la probabilidad igual a 1 asigna a todos los participantes los bienes peor evaluados por ellos). Se puede preguntar si todas las distribuciones que cumplen algún postulado adicional de optimalidad siempre cumplen el postulado de proporcionalidad. La respuesta es positiva. Las distribuciones asignadas por el principio RSSOante siempre garantizan a todos los participantes los valores esperados de la utilidad, no menores que la distribución
*, y esa distribución garantiza cumplimiento de proporcionalidad. De hecho estos son optímales en el sentido fuerte de Pareto en el conjunto que incluya la distribución
*. También todas las distribuciones asignadas por la regla RSS-Opost cumplen el postulado de proporcionalidad, porque eliminan las divisiones para las cuales existen las divisiones mejores en el sentido fuerte de Pareto.
También las distribuciones asignadas por la regla RSW cumplen este postulado. Lo proporciona el método de su construcción, que garantiza que las divisiones elegidas sean óptimas en el sentido débil de Pareto, aunque en el caso de existir indiferencias no tienen que ser óptimas en el sentido fuerte. En consecuencia, algunas distribuciones asignadas por la regla RSW pueden no ser óptimas en el sentido fuerte. Sin embargo para todos los participantes serán no peores que la distribución
*.
El postulado de falta de envidia normalmente se presenta en una forma que propuso Duncan K. Foley (1967). Requiere que ningún participante tenga envidia al otro. Como en el caso del postulado de la proporcionalidad, la división concreta, determinista podría cumplir con este requisito sólo en situaciones excepcionales (por ejemplo si los participantes difieren significativamente en sus evaluaciones de bienes, en especial los de más alto rating). En el caso de la división probabilística, el postulado de falta de envidia se cumple si cada persona piensa que la distribución es para ella menos beneficiosa que para los otros, o sea, las probabilidades de recibir el bien o los bienes mejor evaluados son no menores que las probabilidades de recibir los mismos bienes por cada uno de los otros participantes.
Las distribuciones
*siempre cumplen el postulado de falta de envidia. Los conjuntos de distribuciones que cumplen este postulado y los que asigna la regla RSS tienen entonces, por lo menos, un elemento en común. Muchas distribuciones asignadas por la regla RSS provocan el problema de envidia. Por ejemplo la distribución del perfil 2 de la Tabla No. 4, que con la probabilidad igual a 1 proporciona a todas las personas los bienes peor evaluados por ellos. En este caso cada uno tiene envidia a los otros. Todos aprovecharían si cambiaran los bienes entre ellos. También la distribución del perfil 3 no está libre de este problema, porque con la probabilidad igual a 1 proporciona los bienes que están evaluados como la segunda opción en sus arreglos personales de preferencias.
No todas las distribuciones que están compatibles con la regla RSSOpost están libres de envidia. Lo ilustra el ejemplo siguiente:

Se puede ver fácilmente que para que la distribución sea compatible con la regla: p(x1)=p(x2)=1/2, donde x1=[A,D,C,B], y x2=[C,A,B,D], estos son las probabilidades de obtener los bienes evaluados:

Se nota que la persona n°2 tendrá envidia a la persona n°1. De hecho, no todas las distribuciones compatibles con la regla RSSOante están libres de envidia.
Cuando las preferencias personales en el conjunto de bienes no tienen la indiferencia, la distribución asignada por la regla RSW, en la manera obvia está libre de envidia, por el método de construcción. También, cuando existen indiferencias y las personas indiferentes eligen los bienes al azar, entre los evaluados, igualmente, las distribuciones asignadas están libres de envidia. Sin embargo, si las elecciones de las personas indiferentes son tendenciosas en detrimento de algún participante y, sobre todo, si estas elecciones son coordinadas, la distribución elegida no necesariamente es libre de envidia. Lo ilustra el ejemplo siguiente, en el cual la persona n°1 es indiferente entre todos los bienes (se indica mediante un conector entre los bienes igualmente valorados en el orden preferencial) y conociendo el orden de tomar las decisiones -elige los bienes en la manera desfavorable para la persona n°3, y favorable para la persona n°2.

Entonces la distribución elegida es:

Para las personas No. 2 y No. 3, que tienen las preferencias iguales, las siguientes probabilidades de obtener bienes causan que la persona No. 3 tendrá envidia a la persona No. 2.
La probabilidad de obtener el bien:

El principio RSW siempre asigna por lo menos una distribución que no tiene envidia. Entonces se puede tratarla como una manera simple y eficaz de asignar la distribución libre de envidia.
Estudio experimental de principios de igualdad de Szaniawski
Los dos principios probabilísticos de la igualdad de Szaniawski eran el objeto de estudio experimental que llevó al cabo el autor. Los resultados fueron presentados en el otro artículo (1992). El experimento titulado Las evaluaciones y elecciones se llevó a cabo en 48 grupos de 3 personas. En general, la muestra fue de 144 personas. Para la parte del experimento que concernía a los principios de Szaniawski se eligió la situación más simple y teóricamente más interesante -la división de la herencia de 3 bienes indi visibles entre 3 hijos: Adán, Juan y Pedro. Los bienes fueron los siguientes: A -el apartamento, B -la casa de campo y C- el carro. Se suponía que cada uno de los hijos debe obtener precisamente un bien. La única información sobre los hijos fueron sus preferencias en este conjunto de bienes de 3 elementos. El experimento se llevó a cabo en 4 versiones que diferenciaron en los perfiles de preferencias de los hijos. Fueron los perfiles 2, 3, 4 y 6 de la Tabla No. 5.
Resultó difícil examinar el grado en que los métodos probabilísticos de la distribución de bienes están aceptados por la gente, debido a que requería de la gente que entendiera la palabra distribución. Para enseñar a alguien esta palabra, se le presentaba un procedimiento para una distribución al azar de la herencia. Cada uno de los hijos arrojaba las cartas con los números de estas divisiones que podía aceptar, a las urnas y después elegía una carta al azar. Finalmente la división entre los tres hijos se realizaba según esta división elegida. Los participantes fueron informados de que hay seis diferentes posibilidades de la división de la herencia, en las cuales cada hijo obtiene uno de los bienes.
A cada persona se le presentó sólo un perfil de preferencias de los hijos. En nombre de cada hijo, la persona arreglaba las divisiones desde el mejor hasta el peor, tomaba las decisiones qué divisiones se podía aceptar desde el punto de vista del hijo y después tiraba a la urna las cartas con los números de divisiones. Después, la persona asignaba la distribución, es decir, contaba cuántas cartas con los números de cada división habría en la urna, si los tres hijos hubieran tirado a la urna las cartas con números de estas divisiones que ella en su nombre acepto. Basado en el contenido de la urna, la persona contaba qué oportunidades tendría cada hijo para tirar de la urna la carta con el número de la división en la cual obtiene el bien más evaluado, el de segundo lugar y el bien peor evaluado.
El contenido designado en la urna era comparado después con 2 otros contenidos de la urna, que se podía obtener en la misma manera. La persona valoraba si el contenido asignado por sus elecciones en nombre de los hijos (mejor dicho: relacionada con el contenido la probabilidad de obtener bienes), es más, igual o menos justo que dos otros contenidos de la urna. Justificación de esta evaluación permitía decir si la persona había entendido la palabra distribución. La persona evaluaba también la justicia de la división de bienes y los arreglaba desde el más justo hasta el menos justo.
Los contenidos de las urnas que estaban presentados a la persona eran elegidas en la manera específica. Estaban elegidos usando dos reglas de igualdad de Szaniawski: RSS y RSW. Para los perfiles 2 y 3 el principio RSS proporciona toda clase de distribuciones, que tienen diferentes consecuencias. Por eso para el perfil 2 se decidió presentar a las personas la distribución que cumple el principio de optimalidad ex post y ex ante, y para el perfil 3 la distribución que con la probabilidad igual a 1 proporciona a cada hijo el bien evaluado por él como el segundo. La persona examinada iba a valorar cuál de los dos principios es más justo. Eso fue la primera manera directa de examinar cuál de estos dos principios la gente considera como más justo. Se trataba de comparar las consecuencias de su uso.
La segunda manera de comparar ambas reglas tuvo un carácter directo. A las personas examinadas se presentó la descripción de ambas reglas en la estilización adecuada para el problema de la división de la herencia. Las personas examinadas valoraban cuál de los dos siguientes procedimientos es más justo:
Procedimiento I. Se trata de elegir al azar la carta con el número de la división, que proporciona a cada hijo:
- la misma oportunidad de obtener el bien que evalúa más
- la misma oportunidad de obtener el bien que evalúa como en el segundo lugar
- la misma oportunidad de obtener el bien que evalúa menos
El mismo procedimiento garantiza entonces a Adán, Juan y Pedro las mismas oportunidades de recibir los bienes que ocupan la misma posición en sus evaluaciones.
Procedimiento II. Se trata de determinar al azar el orden en el cuál los hijos eligen los bienes. El primer hijo elige, entre todos los bienes, esto que evalúa como el mejor. Entonces el último hijo en elegir obtiene el único bien que quedó.
Este procedimiento garantiza a Adán, Juan y Pedro las mismas oportunidades de elegir el bien como la persona primera, segunda y tercera.
Estas dos maneras de comparar dos principios de Szaniawski dieron dos resultados.
Comparando directamente las dos reglas, el 55% de las personas dijo que la regla de la igualdad de las oportunidades para la satisfacción es más justa; el 12% consideró la regla de la igualdad de las oportunidades para elecciones, más que 22% consideró las dos reglas igualmente justas y 11% no tuvo la opinión acerca del asunto. Los datos detallados se presentan en la Tabla No. 6. Este resultado no parece sorprendente. La sociedad polaca es conocida por sus actitudes igualitarias, entendidas precisamente como el grado de igualdad de oportunidades para la satisfacción (Nowak, 1988).
Comparando las consecuencias de ambas reglas, es decir, los contenidos de las urnas asignadas, resulta que el 40% de las personas consideró el contenido de la urna asignado por la regla RSS y la misma cantidad de las personas -el contenido de la urna asignado por la regla RSW. el 20% de los participantes no tuvo la opinión acerca del asunto. Este resultado tampoco parece sorprendente. Se lo puede explicar por preferencia al perfil de preferencia, descrito anteriormente. Recordemos que para el perfil 2, la regla RSS, complementada por dos condiciones de optimalidad, establece la probabilidad muy alta de recibir bienes mejor evaluados y, además, iguales para todos los participantes. Las probabilidades de obtener el bien peor evaluado son iguales a cero. Para este perfil, las probabilidades de la recepción de los bienes, designadas por el principio de igualdad de oportunidades para la elección son variadas. Para el perfil 6 de las preferencias, la regla RSW daba muy altas, aunque desiguales las oportunidades de recibir los bienes mejor evaluados, en cambio la regla RSS -las probabilidades iguales de recibir cada uno de bienes. Para los perfiles 3 y 4 las diferencias entre las oportunidades asignadas por ambas reglas eran menores. Sin embargo, el principio RSW proporcionaba las oportunidades un poco mejor para todos los participantes. Estas diferencias se muestran en las evaluaciones de las personas que participaron en diferentes versiones del experimento (Tabla No. 7).
La Tabla No. 8 presenta las consecuencias de las divisiones particulares y de las evaluaciones sobre su justicia. El criterio dominante de la justicia de las divisiones son los beneficios de los participantes. La igualdad de las consecuencias de la división es aún menos importante, pero lo son más cuando las divisiones proporcionan mejores beneficios. Esto es claramente visible en la división de las elecciones individuales (no presentados en la Tabla No. 8). Las personas cuyos beneficios, como resultado de las divisiones, son de alto o medio, cuando se comparan las divisiones suelen aceptar las divisiones que garanticen mejores beneficios para los otros. En cambio, las personas cuyos beneficios son bajos -muy pocas veces aceptan las divisiones que proporcionen mejores beneficios para los otros. (Lissowski, 1994 : 184).
El resultado sorprendente es que la evaluación de estos dos principios, obtenidos por dos métodos, directos e indirectos, son estocásticamente independientes. En concreto, las hipótesis de independencia estocástica de estas evaluaciones no pueden ser despedidas (chi-cuadrado=11.03, df=9). Eso significa que la frecuencia de los que declaran la evaluación, cierta evaluación sobre las dos reglas, con su comparación directa es más o menos igual en los grupos de las personas que difieren en las opiniones sobre la justicia de los contenidos de las urnas, asignadas por las dos reglas. Vale la pena señalar que este resultado no puede ser interpretado como una consecuencia de responder a las preguntas al azar sobre las comparaciones de los dos principios. Las respuestas de los participantes fueron internamente consistentes. En los casos en los que era posible comprobar la transitividad de las preferencias en un conjunto de tres configuraciones de los contenidos de las urnas, 95% de las personas tenía las preferencias transitivas. Además, las justificaciones de las evaluaciones comparativas fueron consistentes con las evaluaciones formuladas.
Las consecuencias de la división: W -altamente valoradas, S -medio evaluadas, N -bajo evaluadas. Las valoraciones de la justicia (si las divisiones son justas) van desde 6 (la división más justa) hasta 1(la división menos justa).
Los principios probabilísticos de la igualdad cuando se conocen las utilidades personales
Proponiendo los dos principios probabilísticos de la igualdad, Szaniawski adoptó la hipótesis de que no se conocen las cardinales utilidades individuales y que las preferencias de los participantes no son comparables. Abandonemos ahora la primera suposición. Supongamos que se conozcan las utilidades individuales de los bienes compartidos. Esto significa que para dividir bienes se tienen en cuenta las evaluaciones de bienes relativas y no las absolutas.
El ejemplo 3.
Consideremos tres situaciones de la división de dos bienes: A y B entre dos personas. Hay solamente dos posibles divisiones que garanticen que cada persona reciba uno de los bienes:
x1 - bien A para la persona n°1 y bien B para la persona n°2.
x2 - bien B para la persona n°1 y bien A para la persona n°2
Los dos principios indican:
- En el caso de la situación S1 la división determinista x1 que conduce a las utilidades diferentes (0,7 y 0,6)
- En el caso de la situación S2 la división aleatoria (por ejemplo usando la moneda: cara o cruz): p(x1)=p(x2)=1/2, que proporciona a cada persona el mismo valor de la utilidad esperada (0,5). Esta es la utilidad ex ante. Por supuesto, después de sortear, la utilidad de una de las personas -utilidad ex post- será igual sólo a 0,3 y el de la segunda persona - 0,7.
- En el caso de la situación S3 es la misma división aleatoria como en la situación S2. Sin embargo son posibles más altos e iguales utilidades esperadas (7/13). Sin embargo, no se les puede obtener por una de las distribuciones en las divisiones x1 y x2. Estas utilidades esperadas se establecen por la asignación del bien B a persona No. 2 y la asignación aleatoria del bien A a la persona No. 1 con la probabilidad es de 10/13, mientras que para la persona No. 2 con la probabilidad de 3/13. Las utilidades esperadas para ambas personas son iguales a 7/13.
Este sencillo ejemplo conduce a las siguientes conclusiones. Si están conocidas las utilidades relativas de los bienes, los dos probabilísticos principios de igualdad de Szaniawski no garantizan la igualdad de los valores esperados de las utilidades.
La reducción del conjunto de posibles divisiones de bienes que garantizan a todas las personas recibir la misma cantidad de bienes, aunque reduce las grandes desigualdades, puede imposibilitar que los valores de las utilidades esperadassen iguales o mayores.
Esto implica la necesidad de la asignación de las distribuciones en el conjunto de todas las divisiones (cf. la parte 2), y no en el conjunto limitado de las divisiones.
Conclusión
La intención de Szaniawski fue proponer un determinado enfoque al análisis de los principios de justicia distributiva, comparar de estos principios y estudiar sus propiedades. Ahora bien, esto es el modo dominante de análisis de estos principios en la teoría de la elección social. Al considerar una situación muy simplificada Szaniawski mostró que existen diferentes concepciones de la igualdad. Además, mostró la contradicción entre la igualdad entendida como igualdad de oportunidades y la satisfacción de optimalidad. El problema de determinar las condiciones del conflicto hasta la fecha no ha sido totalmente resuelto. Este artículo también presenta la relación entre los principios probabilísticos de igualdad establecido por Szaniawski y otros requisitos para los métodos de distribución de los bienes: proporcionalidad y la falta de envidia.
Los principios probabilísticos de igualdad de Szaniawski fueron las primeras propuestas formales para la división de los bienes que usaron métodos de asignación aleatorias.
Sus supuestos -limitarse a las preferencias incomparables interpersonalmente en el conjunto de bienes- son extremadamente débiles. La mayor parte de los principios de justicia distributiva exige unos supuestos mucho más fuertes: utilidades cardinales y/o la comparabilidad interpersonal de las preferencias individuales. La modificación de las hipótesis de Szaniawski mostró una serie de cuestiones adicionales que se han planteado en este artículo y requieren más investigación.
NOTAS AL PIE DE PÁGINA
1.La revista CS agradece a Marta Ewa Bartol del Instituto de Sociología en la Universidad de Varsovia, por tramitar el permiso para la publicación de este artículo y por la traducción del mismo, del polaco al español.
2.Breve caracterización de los supuestos de medición y comparación, importantes para división de bienes, se presentó entre otros en: Nr 3 de Decyzje (Decisiones) (Lissowski 2005: 14-18).
3.Relación Rh es una relación binaria que cumpla las condiciones: la reflexividad, la coherencia y la transitividad.
4.La división x no es óptima en el fuerte sentido de Pareto si existe una división y que para cada persona la división x no es mejor que la división y, y además existe por lo menos una persona para cual la división y es mejor.
5.La división x es optima en El sentido débil de Pareto, Si existe la división y que para cada persona la división y es mejor que la división x.
Referencias
Dasgupta, P., Sen, A. y Starrett, D. (1973). "Notes on the measurement of inequality". Journal of Economic Theory, Vol. 6, pp. 180-187. [ Links ]
Fishburn, P. C. (1978). "Acceptable social choice lotteries", en: H.W. Gottinger, W. Leinfellner (Red.), Decision Theory and Social Ethics. Issues in Social Choice. Dordrech: Reidel, pp. 133-152. [ Links ]
Foley, D. K. (1967). "Resource allocation and the public sector". Yale Economic Essays, Vol. 7, pp. 45-98. [ Links ]
Goodwin, B. (1992). Justice by Lottery. Chicago: The University of Chicago Press. [ Links ]
Holowka, J. (1990). "Klemens Szaniawski on Practical Knowledge and Choice", en: W: P. Ploszajski (red.), Philosophy of Social Choice, Warszawa: Wydawnictwa Instytutu Filozofii i Socjologii PAN, pp. 95109. [ Links ]
Kuc, M. (2000). "Analiza zasad sprawiedliwości Klemensa Szaniawskiego". Studia Socjologiczne, No. 1-2, pp. (156-157) 167-195. [ Links ]
Lissowski, G. (2006). "Losowe metody podejmowania decyzji spolecznych a etyka". Decyzje, Vol. 5, pp. 94-106. [ Links ]
Lissowski, G. (2005). "Trzy typy zasad sprawiedliwości dystrybutywnej". Decyzje, No. 3, pp. 5-54. [ Links ]
Lissowski, G. (1994). "Ustalanie sposobu podzialu dóbr w sytuacji eksperymentalnej". Studia Socjologiczne, No. 3-4, pp. (134-135) 173-216. [ Links ]
Lissowski, G. (1992). "Probabilistyczny podzial dóbr". Prakseologia, No. 3-4, pp. (116-117) 149-165. [ Links ]
Lissowski, G. (1985). "Sprawiedliwy podzial dóbr". Studia Filozoficzne, No. 8-9, pp. (237-238) 95-114. [ Links ]
Nowak, S. (1988), Polish Society in the Second Half of the 1980s: An Attempt to Diagnose the State of Polish Consciousness. IREX Occasional Papers. [ Links ]
Sen, A. K. (1973). On Economic Inequality. Oxford: Clarendon Press. [ Links ]
Szaniawski, K. (1966). "O pojęciu podzialu dóbr". Studia Filozoficzne, Vol. 2(45), pp. 61-72. [ Links ]
Szaniawski, K. (1975). "Formal aspects of evaluative concpts". International Social Science Journal, Vol. 3(27), pp. 446-457. [ Links ] Przeklad polski: Analiza formalna pojęć wartościujących. W: K. Szaniawski, O nauce, rozumowaniu i wartościach. Warszawa: Wydawnictwo Naukowe PWN 1994, s. 494-505. [ Links ]
Szaniawski, K. (1979). "On formal aspects of distributive justice", en: W: E. Saarinen, R. Hilpinen, M.B. Provence Hintikka (red.), Essays in Honour of Jaakko Hintikka on the Occasion of Fiftieth Birthday on January, 12, 1979. Dordrecht: Reidel, s. 135-146. [ Links ] Przeklad polski: O formalnych aspektach sprawiedliwości dystrybutywnej. W: K. Szaniawski, O nauce, rozumowaniu i wartościach. Warszawa: Wydawnictwo Naukowe PWN 1994, s. 506-517. [ Links ]
















