Introducción
Cuando vi el reporte de lo que pasaba en la literatura académica de ingeniería en Colombia lo sentí ilegible: garabatos, números, ecuaciones, gráficas, y mis desenfoques me hicieron cuestionar hasta qué punto esta información nos revelaría cómo planificar la producción y distribución de los resultados de la investigación colombiana. Bibliometría y cienciometría, con sus décadas de trabajo, han permeado varias labores de la comunicación de la ciencia, pero, en la actualidad, casi se siente que sus resultados, legibles o no, se han vuelto obligatorios en los espacios de la burocracia académica. Justamente, diferentes centros de investigación como vicerrectorías, direcciones, bibliotecas o editoriales han concentrado esfuerzos en reforzar sus estudios sobre las tendencias de publicación y en orientar el trabajo conforme a los resultados. Bien hemos aplicado las técnicas bibliométricas para decidir sobre números monográficos, cambios en los tópicos de publicación e, incluso, para motivar a investigadoras e investigadores a mudar sus líneas de trabajo en concordancia con los temas de mayor visibilidad internacional en el momento.
En Colombia, el primer esfuerzo por internacionalizar la investigación, a finales de los noventa del siglo pasado, se realizó a través mecanismos de control como los índices de endogamia, las tasas de rechazo y la indexación de revistas nacionales en bases como Scopus o WoS, lo cual permitió evidenciar lo limitado del alcance de la publicación nacional y latinoamericana en relación con los intereses de la ciencia mainstream que dominan y marcan el camino en los tópicos y la citación en determinadas áreas del conocimiento. Entrando en el siglo XXI, la exclusión de renombradas revistas nacionales de la Convocatoria 768 de 2016 del Departamento Administrativo de Ciencia, Tecnología e Innovación (Colciencias) (2016) y, en consecuencia, la disminución de espacios de publicación nacional, movilizaron reformas y cambios dentro de los equipos de investigación, en los que se contemplaron planes de trabajo para instruir, motivar e incentivar a los investigadores e investigadoras a enviar sus artículos, conferencias y demás derivados de investigación a escenarios internacionales donde, creíamos, habría un mayor alcance de estos resultados.
Editores, investigadoras e investigadores nos dábamos como ganadores por estar incluidos en diferentes índices y revistas que publicaban en inglés y, a partir de esto, adaptamos sistemas de incentivos cada vez más rigurosos para estimular este tipo acciones. En menos de diez años el sistema de ciencia en Colombia ha corrido contra reloj para hacerse visible por los centros de producción de conocimiento más antiguos y poderosos del mundo; sin embargo, esas directrices nacionales, de una parte, soslayan el tiempo y las formas que han posibilitado la construcción de dichas estructuras internacionales; y, de otra, insisten en desconocer las desigualdades e inequidades para la producción de conocimiento en el país -situación continuamente señalada por parte de su comunidad académica y científica-. Adicionalmente, en tiempos más recientes, Gobierno, revistas y directivas institucionales de investigación, se han centrado en la citación como elemento clave del alcance e impacto de la producción científica, pero pareciera que aún no se entiende que la citación no es solo publicar en revistas de cuartiles, sino que es un asunto que depende de otras variables.
Hace un par de años, sobre el 2018, escuchaba a un importante investigador en bibliometría mencionar que ajustaba sus artículos y los de su equipo conforme a las tendencias de citación: esa era su forma para conectar sus trabajos con tópicos que movieran un mayor flujo de citas. Así, buscaba aumentar su probabilidad de ser referenciado y, con ello, impactar positivamente sus indicadores de desempeño. Recuerdo que dicha estrategia sonaba tentadora, pues daba una noción de control sobre el resultado del trabajo más allá de la publicación. Parecía que habíamos aprendido a jugar con las reglas para escribir un documento, pero ahora necesitábamos moverlo y darle visibilidad. Esa experiencia ahora no luce aislada sino que hace parte del juego de los cálculos de los modelos de medición donde el impacto, medido como número de citas, ha cobrado cada vez mayor relevancia, convirtiéndose en una mezcla de indicadores cada vez más cajanegrizado (Latour, 1992), tanto así que, para la Convocatoria 894 (2021)1, el indicador de citas a libros fue centro del debate debido a la imprecisión y oscuridad sobre cómo o de dónde se iba a tomar ese dato para este tipo de productos; mucho menos claro fue argumentar por qué la citación dictaminaría la categoría superior o inferior de un libro escrito por personas de la comunidad científica.
Frente a este sistema, en constante cambio e inestabilidad ofrecido desde las políticas, los equipos de investigación y publicación hemos optado por construir estrategias internas de anticipación orientadas hacia el rendimiento (Tandilashvili; Tandilashvili, 2022). La bibliometría, en apariencia una herramienta en común con los modelos nacionales, fue presentada como la puerta de acceso y de consumo de información que daría rumbo sobre hacia dónde y cómo mover la producción científica, sin contar con la extensa documentación sobre el cuidado que debemos tener en el uso de dichas prácticas (Gómez-Morales, 2015). Por ejemplo, se ha caído en la trampa de leer los resultados de los indicadores como metas, lo cual desconoce y soslaya el lugar desde el que trabajamos, pero la bibliometría se convirtió en el pan diario, la herramienta favorita y, prácticamente, el eje desde donde se tomaron decisiones institucionales respecto a la investigación.
Dicha práctica se conecta con las demás formas de cultura de la auditoría (control) adoptadas por las universidades (Strathern, 2000). Los equipos de investigación y publicación hemos planteado la bibliometría como una técnica de monitoreo que da a lugar a prácticas de revisión y autocontrol centrales en el desarrollo de políticas de ciencias institucionales con nuevos protagonistas (Schore; Wright, 2000), como los expertos bibliómetras. Sin embargo, lo que en principio funcionó para dar algunas luces sobre los caminos a seguir, como una técnica de monitoreo, ahora parece la estrategia de benchmarking (Schore; Wright, 2000: 60) y realineación, que identifica lo que es transferible proponiendo un estándar que reduce la práctica científica a su sistema de comunicación y el consumo de los artículos a número de citas (Gómez-Morales, 2005). Además, ese uso, al desconocer el contexto, iguala erradamente el quehacer científico de Colombia con los de centros científicos mundiales (Latour, 1992).
En este sentido, en este artículo presentamos un uso de la bibliometría como herramienta para describir la producción colombiana en ingeniería entre 1999 y 2019, identificar factores que condicionan la citación y hallar posibles pistas para una mejor explicación a los porqués de la circulación restringida2. Creemos que esos usos de la bibliometría permitirían mejores planes para la investigación nacional, tanto en lo editorial como en los equipos que hacen investigación, sobre todo en lo referido a tópicos o temas de investigación, que es el determinante de citación novedoso introducido en el texto.
El artículo describe, en una primera parte, el comportamiento de las publicaciones académicas colombianas de ingeniería en los siguientes términos: número de publicaciones, número de citas, afiliaciones de los autores y sus coautorías, destino (revistas) de los textos y temas recurrentes. En una segunda parte identifica los factores que explican por qué unos textos se citan y otros no; y en la tercera se discute sobre las dificultades y limitaciones de esos resultados bibliométricos como solución a los retos sobre la citación expuestos en esta introducción.
Cabe mencionar que el texto se presenta a dos voces, una en primera persona y otra en tercera persona, para distinguir los dos pensamientos y las dos escrituras de los autores con las que nos sentimos identificados en las maneras de articular lo hallado y vivido en torno al tema en cuestión con lo aquí escrito. Aunque, en apariencia, esto parecería una forma de distanciarnos, es más una manera para entender que las cooperaciones son el flujo de un vínculo y que, al final, eliminar la pretensión de universalidad y unidad de la comunidad científica es también extraernos de las purificaciones (Latour, 2010) que impiden explorar los contextos, estratificaciones y diversidades que son continuamente aplanados por el mismo sistema de medición que aquí criticamos. En este texto, así escrito, nos individualizamos, nos conectamos y nos relacionamos en un esfuerzo para insertarnos más en las conversaciones sobre las porosidades que emergen en la universalización de las formas de la comunidad académica y en la resistencia a ciertas prácticas que ejercen pretensiones de comunidad para luego medirnos por separado (Ramírez-Ajiaco, 2020).
Los resultados en bruto: número de publicaciones y citas
Una mirada descriptiva a los resultados de una búsqueda en Scopus de la producción científica colombiana de la ingeniería realizada a mediados de 20203 muestra que, entre 1999 y 2019, se publicaron cerca de 19 000 textos, en su mayoría artículos (57 %) y ponencias (conference paper) (38 %). Asimismo, el reporte de citación de ese entonces arrojó alrededor de 118 000 citas para todos los textos, las cuales fueron principalmente artículos (80 %) y ponencias (15 %). Los otros tipos de publicaciones (libros, capítulos de libro, editoriales, erratas, carta, notas, review y survey) participaron tanto en número como en citaciones en menos de 3 % (ver Cuadro 1).
Cuadro • 1 Tipos de publicación y citación
Fuente: elaboración propia.
El detalle anual de la producción por años permite entrever crecimiento en número de publicaciones y citas entre 1999 y 2019. La cantidad de publicaciones pasó de 85 en 1999 a 2354 en 2019, un aumento de casi 27 veces (2669,4 %) en 20 años, consecuencia de que cada año se ha publicado más que en el anterior. A su vez, la citación total mostró variaciones entre 745 citas en 2002 y 11 458 citas para las publicaciones de 2011, el año de más citas, mientras que la citación anual promedio4 arrojó: disminución entre 2001 (18,26) y 2019 (0,96), cierta estabilidad en 2008 (8,52) y 2016 (6,52); y descenso sostenido en la citación desde 2014 (7,28) hasta 2019 (0,96) (ver Figura 1).
Esas variaciones en la citación anual coinciden con un descenso en la cantidad de textos con al menos una cita. Para el caso de los artículos entre 2000 y 2016 el porcentaje de textos citados estuvo cerca de 80 %, a partir de allí se presenta un descenso hasta 41 % en 2019. Ese comportamiento es similar al de las ponencias5: la proporción de textos citados en cada año no mostró cifras por encima de 70 % y sí un descenso desde 2010 variando de 66,93 % textos citados a 10,06 % en 2019 (ver Figura 2).
Así, mientras el número de artículos y ponencias publicados en los 20 años transcurridos entre 1999 y 2019 fue aumentando anualmente, la cantidad de citas no tuvo el mismo comportamiento: fue creciente en la primera década y decreciente al final. Esto llama la atención, no solo por la disyuntiva entre las cantidades publicadas y número de citas, sino por las posibles explicaciones de ese comportamiento o por los interrogantes de ciertos académicos y editores de revistas alrededor de qué esperar o a dónde apuntar como productores de nuevo conocimiento. Si bien, para este caso en particular, es claro que el crecimiento en publicaciones es mayor que el de la citación, también se hace evidente que publicar más no significa, necesariamente, mayor citación promedio o mayor número de publicaciones citadas. Dicho de otra manera, no porque el país publique más, el mundo va a consumir más publicaciones colombianas.
Los resultados un poco desmenuzados: orígenes y destinos
Una primera mirada para entender dónde se afinca el conjunto de textos publicado permite ver temas y coautorías. En detalle, el análisis bibliométrico mediante mapas de coocurrencia para palabras clave (al menos 100 apariciones) y coautorías entre países y universidades muestra que las publicaciones colombianas de ingeniería provienen de investigaciones centradas en resolver problemas humanos, algoritmos, simulación computacional, optimización, automatización, control de procesos, psicología robótica, modelos matemáticos, procedimientos y educación, ingeniería biomédica, microscopía electrónica de escaneo, robótica, toma de decisiones, difracción de rayos x, métodos de elementos finitos, costos, procesamiento de imágenes. A su vez, el agrupamiento de las palabras clave en áreas temáticas presenta cinco grupos relevantes que pueden organizarse así (ver Figura 3):
1) Optimización: diseño de productos, toma de decisiones, algoritmos genéticos, manufactura, agricultura, evaluación de riesgos, resolución de problemas, robótica, comercio, simulación, desarrollo sostenible6.
2) Difracción de rayos X: reforzamiento, microscopía de escaneo electrónico, reforzamiento, materiales, nanopartículas, temperatura y campo eléctrico7.
3) Humanos: procedimientos, psicología algoritmos, algoritmos, biomecánica, simulación computacional8.
4) Algoritmos: inteligencia artificial, bioinformática, diagnóstico, procesamiento de señales, enfermedades, predicción9.
5) Educación: currículo, estudiantes, realidad virtual10.
Para las coautorías, la fuerza de cohesión de la producción académica en cooperación con otros países muestra la preponderancia de las colaboraciones entre autores colombianos (59 %), seguida por las coautorías con España (11 %) y Estados Unidos (10 %). A partir de allí, las colaboraciones con autores de otros países representan menos del 5 %, destacándose los casos de Brasil (5 %) y Francia (4 %). Esas coautorías muestran diferentes promedios de citación: con Estados Unidos tienen una media de citas de 11,86; con España 10,34; con Francia 7,82; con Brasil de 7,64; mientras que las publicaciones entre autores colombianos tienen una media de 5,48 citas; hecho que evidencia que el impacto de la producción endogámica es significativamente menor a la producción en cooperación foránea11 (ver Figura 4).

Fuente: elaboración propia en programa VOSviewer.
Figura • 4 Coautoría por país por número promedio de citas
Respecto de las universidades y sus coautorías, las instituciones que mayor disposición a la producción académica en cooperación, medida por la fuerza de conexión, son: Universidad de los Andes, Universidad Nacional de Colombia, Universidad Autónoma del Caribe, Universidad Industrial de Santander, Pontificia Universidad Javeriana, Universidad Distrital Francisco José de Caldas, Universidad Tecnológica de Pereira, Universidad del Valle y Universidad de Antioquia.
Dicha coautoría evidencia estrechas relaciones en la producción académica en ingeniería en seis grupos identificados así:
1) El primer grupo conformado por la interacción conjunta de las universidades Javeriana, de los Andes, Distrital Francisco José de Caldas y Nacional de Colombia en Bogotá; y las universidades de la Costa y del Norte en Barranquilla.
2) El segundo grupo está compuesto por las universidades del Valle y Autónoma de Occidente en Cali; la Universidad Nacional de Colombia en Manizales; y la Universidad Tecnológica de Pereira.
3) El tercer grupo lo conforman Universidad de Antioquia y Universidad Nacional en Medellín; Universidad del Valle en Cali; y Universidad Tecnológica de Pereira.
4) El cuarto grupo conformado por Delft University of Technology, Países Bajos; Universidad Nacional de Colombia y Universidad Pontificia Bolivariana en Medellín; y Universidad de los Andes en Bogotá.
5) El quinto grupo compuesto por Universidad de Nariño, Pasto; Universidad de los Andes, Bogotá; y Aalborg University, Dinamarca.
6) El sexto grupo conformado por Universidad Tecnológica de Pereira; Technical University of Catalonia, España; Universidad Autónoma de Manizales y Universidad Nacional de Colombia en Manizales.
Para la coautoría con universidades foráneas, la colaboración no aparece permanente y parece no seguir un programa de investigación robusto y de largo plazo. Las participaciones de University of South Florida, Delft University of Technology, University of Melbourne, Duke University, University of Delaware, Aalborg University, Dalhousie University, Yerevan State University, University of Sao Paulo; y Technical University of Catalonia que representan las mayores coautorías de las publicaciones colombianas en ingeniería representan menos del 5 % en citas y colaboraciones totales (ver Figura 5).

Fuente: elaboración propia en programa VOSviewer.
Figura • 5 Coautorías por universidad, según citación
Esos temas y esas conformaciones de grupos de autores redundaron en publicaciones que se aceptaron en un grupo identificable de revistas y proceedings. El desglose del destino de los artículos mostró que 25,6 % fue a cuatro revistas latinoamericanas que publican textos en español y recibieron más de 300 textos colombianos cada una: DYNA (Colombia) 10,53 %, Información Tecnológica (Chile) 6,66 %, Revista Facultad de Ingeniería (Colombia) 5,04 %, e Ingeniería e Investigación (Colombia) 3,41 %. Por su parte, para las ponencias, los diez primeros proceedings por número de publicaciones representan 25,52 % del total publicado; ese conjunto no tiene publicaciones de origen latinoamericano (ver Cuadro 2).
Cuadro • 2 Diez revistas y proceedings con mayor número de publicaciones
Fuente: elaboración propia.
La clasificación de revistas muestra que, en la citación, tres de estas concentran 20,17 % de las citas de los artículos: European Physical Journal C (12,92 %), IEEE Transactions on Power Systems (4,98 %) y DYNA (2,27 %). Para las ponencias, la citación está menos concentrada pues las diez revistas que publicaron ponencias de origen colombiano con mayores citaciones alcanzan menos del 5 % del total de citas: European Physical Journal C (1,43 %), Proceedings of the IEEE Conference on Decision and Control (0,72 %), Proceedings of SPIE - The International Society for Optical Engineering (0,52 %), Wear (0,36 %), Proceedings of the Annual International Conference of the IEEE Engineering in Medicine and Biology Society, EMBS (0,33 %), 2008 IEEE/PES Transmission and Distribution Conference and Exposition: Latin America, T and D-LA (0,22 %), Proceedings of the American Control Conference (0,21 %), 2009 IEEE Power and Energy Society General Meeting, PES '09 (0,19 %), Proceedings - IEEE International Conference on Robotics and Automation (0,19 %), Advances in Intelligent Systems and Computing (0,19 %).
De esta manera, la producción creciente de ingeniería estuvo atada a unos temas específicos, entre los que no se cuentan aquellos propios de las revistas de los primeros cuartiles de ingeniería (biotecnología, nanotecnología, materiales). Fue firmada, en su mayoría, por grupos de autores con filiación a universidades nacionales, la que tuvo bajas o ninguna citación, mientras que aquella firmada con autores con filiación española o estadounidense tuvo alta citación y fue, para el caso de los artículos, publicada en buen número en revistas latinoamericanas interesadas en textos de ingeniería miscelánea.
Asimismo, los resultados muestran el liderazgo de las universidades Nacional y de los Andes en producción y citación, la preponderancia de las coautorías con latinoamericanos y la concentración en revistas nacionales, lo cual se alinea con trabajos antecedentes para ingeniería (Rojas-Sola; De San-Antonio-Gómez, 2010), para las publicaciones colombianas en SciELO (Maz-Machado; Jiménez-Fanjul; Villarraga, 2016) y para las revistas locales de ingeniería (Aguilera-Prado; Aguirre; Salcedo, 2017). Sin embargo, para la década más reciente emergen otras universidades relevantes en participación, publicación, citación y redes de coautoría: Javeriana, de la Costa, del Norte, Distrital Francisco José de Caldas, del Valle, de Antioquia y Tecnológica de Pereira. Ello deja entrever un avance en la publicación de literatura científica en ingeniería y en la construcción de redes de coautoría desde universidades menos tradicionales respecto a las del siglo pasado.
Ese panorama daría para conjeturar sobre la relación entre la citación y algunas características de los textos, como su origen y sus autores. Si la baja citación de las publicaciones tiene que ver con las revistas que publican los artículos, entonces ¿qué tipo de textos producir para que los reciban en las revistas más citadas? Probablemente, la respuesta está en las discusiones que marcan el derrotero de las disciplinas a nivel mundial, no en aquellas locales o latinoamericanas.
Los resultados en sus relaciones: explicaciones e incertidumbres
Asumiendo que es posible encontrar un patrón para las publicaciones citadas y que, en consecuencia, la citación no es un asunto aleatorio, la literatura académica ha dispuesto dos tipos de constructos: uno sobre determinantes de la citación y otro para el pronóstico de las citas. Dentro del primer grupo existen variadas mediciones que relacionan características de autores, revistas y documentos con la citación (Mingers; Leysderdoff, 2015; Tahamtan; Safipour-Afshar; Ahamdzadeh, 2016), resaltándose trabajos que utilizan modelos correlacionales multivariados (Annalingam; Damayanthi; Jayawardena; Ranasinghe, 2014; Arnold; Butler; Crack; Altintig, 2003; Ayres; Vars, 2000; Bosquet; Combes, 2013; Confraria; Mira; Wang, 2016; Didegah; Thelwall, 2013; Frederiksen, 2004; Long; Crawford; White; Davis, 2009; Padial; Nabout; Siqueira; Bini; Felizola, 2010) que, si bien han avanzado en la identificación de los determinantes de la citación, aún no alcanzan altos valores en sus coeficientes de determinación, lo que implica baja fiabilidad para su uso como modelos predictivos (Tahamtan et al., 2016)
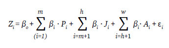
Esa literatura coincide en que el número de citas de cada artículo (Zi) se puede expresar como un componente promedio (ß o ), más la suma de variables de tres conjuntos: paper (P i ), journal (Ji) y grupo de autores (Ai), más un componente aleatorio (εi).
La diferencia de cada estudio, además del conjunto de referencia, ha estado en la selección de las variables y el tipo de modelación empírica construida. A continuación, se presenta un resumen de las principales variables y fuentes empleadas en la literatura académica sobre citación (ver Cuadro 3).
Cuadro • 3 Variables determinantes de la citación
Tipo de variable | Variable | Forma | Fuente |
---|---|---|---|
Paper | Novedad, popularidad e interés del tema | Etapa de la producción en el área | Metadato |
Características del área disciplinar y del tema | Número de artículos en el área | Paper | |
Citas por artículo en el área | |||
Edad promedio de vigencia en el área | |||
Metodología | Dicotómica para metodologías específicas | Paper | |
Tipo de documento (review, resultados) | Dicotómica para cada tipo | Metadato | |
Diseño del estudio | Dicotómica para cada diseño | Paper | |
Características de los resultados | Dicotómica para cada tipo de resultados | Paper | |
Uso de figuras, tablas y apéndices | Número de figuras, tablas y apéndices | Paper | |
Características del título, resumen y keywords | Número de palabras del resumen | Metadato | |
Característica de las referencias | Número de referencias en inglés | Metadato Referencias de los textos | |
Número de referencias de la misma revista | |||
Número de referencias recientes | |||
Número de referencias de los más citados | |||
Número de referencias de los mismos autores | |||
Extensión del texto | Número de palabras del texto | Paper Metadato | |
Número de páginas del texto | |||
Fecha de publicación | Edad del texto | Metadato | |
Tiempo de la primera cita y velocidad de citación | Diferencia entre la fecha de publicación y la primera cita | Cálculo desde los metadatos | |
Número de citas ponderado por la edad del texto | |||
Journal | Factor de impacto y prestigio | JCR, SCI, cuartil, Índice H de la revista | Metadato |
Idioma | Dicotómica para inglés | Metadato | |
Área disciplinar y su cobertura | Dicotómica para cada área de interés o disciplina | Metadato | |
Forma de publicación (conference, journal, proceeding) | Dicotómica para cada forma de publicación | Metadato | |
Autor | Numero de autores y número de citas de los autores (coauthorship) | Número de citas por autor | Metadato |
Índice h de los autores | |||
Reputación de los autores y citaciones previas | Número de artículos publicados | Metadato | |
Escalafón (rank) académico del autor | Antigüedad en el escalafón | Universidades de origen | |
Escalafón de los autores | |||
Autocitación (país, journal, disciplina, autores) | Número de autocitas por autor, por journal | Metadato Referencias de los artículos | |
Colaboración internacional o nacional | Número de países de origen de los autores | Metadato | |
Número de países angloparlantes en las filiaciones | |||
País de origen del autor | Dicotómica para países angloparlantes Producción/citación por país de filiación | Metadato | |
Género, edad y etnia de los autores | Edad al cuadrado para capturar el efecto no lineal | Metadato | |
Productividad de los autores | Número de publicaciones por autor, tipo, tema, año | Metadato | |
Número de apariciones en bases de datos | Base de datos bibliométrica | ||
Organización a la que pertenecen los autores | Producción/citación por organización | Construcción rankings: QS, Shangai, THE | |
Ranking de las instituciones | |||
Premios y fondos recibidos por los autores | Dicotómica para recibió o no patrocinio | Metadato Agradecimientos |
Fuente: elaboración propia con base en Tahamtan et al. (2016).
Del lado del pronóstico de citas, el aprendizaje de máquina ha sido empleado frecuentemente mediante diferentes aplicaciones, por ejemplo: i) modelos de regresión en el caso de 1274 artículos clínicos publicados en 2005 donde, además de variables tradicionales como número de autores, número de referencias con citas y tipo de artículo, y otras menos comunes como número de bases de datos en las que se encuentra indexada la revista, aparición pública de metadatos y un indicador de calidad de los artículos (puntaje de relevancia clínica) (Lokker; McKibbon; McKinlay; Wilczynski; Haynes, 2008); ii) clasificadores bayesianos, redes bayesianas, regresión logística, K medias y árboles de decisión para la predicción de las citas (altas, medias, bajas) en los artículos de la revista Bioinformatics, considerando como variables de entrada la sección de la revista donde apareció el artículo, edad del artículo y sus identificadores (palabras clave asignadas) (Ibáñez; Larrañaga; Bielza, 2009); y iii) algoritmos genéticos para una regresión multisalida para predecir las citas de artículos de profesores españoles con base en índices bibliométricos (h, g, hg, a, m, q2, ht, cit(h+1), hi, hc, c) (Ibáñez; Armañanzas; Bielza; Larrañaga, 2016).
Siguiendo esa ruta de la literatura académica para explicar la citación, una modelación por determinantes para el caso de los textos de ingeniería en Scopus, publicados entre 1999 y 2019, que incluye los temas (tópicos de cada artículo) como característica a relacionar con la probabilidad de citación, arrojó los siguientes resultados (ver Cuadro 4):
Cuadro • 4 Resultados modelos probabilísticos
Fuente: elaboración propia.
Esos resultados muestran que los modelos que mejor explican la citación del conjunto de textos en análisis son aquellos que consideran los tópicos como variables explicativas del fenómeno (m65, m70). En dichos modelos, los tópicos presentan una relación inversa a excepción de aquellos de eléctrica y nanotecnología (temas específicos de ciertas revistas Q1). Las demás explicativas son significativas y tienen los signos esperados: relación directa con la citación para ser publicado en revista internacional, un número mayor de autores, contar con colaboración de autores internacionales, ser un artículo.
La significancia individual para los tópicos muestra relaciones inversas y directas en la citación. El mayor efecto es negativo para el caso de educación (m65: -0,7890; m70: -0,9274) y es positivo en eléctrica (m65: 0,4325; m70: 0,2942), seguido por nanotecnología (m65: 0,1384). Para el caso de agroindustrial, sostenibilidad, resistencia de materiales, óptica (láser), física de partículas, robótica y procesamiento de imágenes, los valores oscilan entre -0,3637 y -4,0670.
Lo anterior indica que no necesariamente todos los tópicos tienen efectos directos en citación, aunque exista un amplio número de textos en ellos (Schwarz, 2018), en cambio, puede mostrar cómo la comunidad científica acoge ciertos temas y otros no. Sin embargo, habría que indagar mejor para el caso de las publicaciones colombianas de ingeniería dado que pudiera suceder que se estuviese publicando en tópicos relevantes, pero que las aplicaciones (métodos) y descubrimientos aún no sean de interés para la ingeniería como comunidad académica.
Respecto a las temporalidades, los artículos publicados en los primeros años del periodo (1999-2003) no tuvieron diferencias significativas en su citación, como tampoco hubo diferencias entre los publicados en 1999 y aquellos que aparecieron en 2016-2017. Así mismo, es de esperar el signo negativo (en general, la edad de las publicaciones tiene una relación cuadrática con la citación) para 2018-2019 ya que las publicaciones más recientes aún están en proceso de crecimiento lo que debería redundar en menos citación que aquellas que ya culminaron su ciclo de vida y se publicaron con anterioridad.
En los modelos de mayor poder explicativo (m65, m70) el intercepto es no significativo, esto es, no es posible identificar una probabilidad de citas para una publicación de ingeniería firmada en Colombia, sin definir sus características, en otras palabras, las publicaciones deben cumplir con ciertas particularidades -no solo estar en una revista de Scopus o ser de origen colombiano- para obtener, al menos, una cita.
Las otras variables explicativas incluidas en la modelación (publicación en revista internacional, número de autores, colaboración internacional, ser artículo) tienen los signos esperados: positivos para relación directa con la citación, lo cual añade evidencia a los antecedentes de la literatura sobre determinantes de citación (Confraria et al., 2016; Long et al., 2009; Tahamtan et al., 2016) que apunta a que: i) revistas con mejores factores de impacto (las nacionales de ingeniería son de cuartil tres) determinan mayor probabilidad de citación; ii) redes de coautoría incrementan citación por la ampliación en la distribución y el mejoramiento del índice h de los autores; y iii) en conjunto, los artículos se citan más que otro tipo de literatura.
En este punto, se puede agregar que la contribución a las explicaciones de la citación está en lo metodológico de la inclusión de los tópicos como variable de entrada al modelo, lo cual es la operacionalización del hecho de que los investigadores, para construir sus artículos, generan un algoritmo de búsqueda para palabras clave y resúmenes con las palabras o categorías de interés y que, luego de esa búsqueda, seleccionan los artículos con algún criterio de importancia relativa para citar aquellos de mayor relevancia para su investigación. En esa medida, agrupar los artículos según la probabilidad de pertenecer a uno u otro tópico, como se hizo en esta investigación, favorece la explicación acerca de la citación.
Adicionalmente, habría que remarcar que el hecho de que ciertos tópicos afecten positivamente la citación y otros lo hagan negativamente implica que a la comunidad que cita le interesan más unos temas que otros y que la ingeniería colombiana no escribe, en su mayoría, sobre estos. Ello, si se entiende que la academia es el resultado de la sociedad donde se circunscribe, podría configurar una separación entre los temas que le interesan a la ingeniería mainstream que escribe en las revistas más citadas, y aquellos de los que escriben científicos colombianos en revistas latinoamericanas. De allí se desprende la pregunta por si ese interés es legítimo (en el país existen necesidades que la ingeniería aún debe solucionar) o es una salida producto de la escasez de insumos necesarios (personales, físicos e institucionales) para acercarse a los temas de las revistas con mayor citación.
Un colofón para continuar la discusión
Los esfuerzos desde el sistema de publicación nacional por circular la producción en espacios internacionales y entrar en la competencia con los mismos centros de actividad científica -mainstream-, con miras a aumentar los niveles de citación, nos deja en clara desventaja. Las capacidades para crear agendas de investigación en ciertos temas son escasas; no podemos esconder la precariedad en la métrica de un grupo de citas, ni considerar que el continuo estudio de indicadores finalmente mostrará una respuesta distinta frente a las limitaciones con las que investigadoras e investigadores trabajan en el país, en donde se evidencia que son pocas las instituciones inscritas en los círculos internacionales de producción científica. No obstante, este es un fenómeno que no solo concierne a las capacidades internas: los puntos de partida cuentan, y la acumulación histórica de beneficios ha permitido la concentración de recursos en centros especializados (Latour, 1992). En este caso podríamos considerar que, entre las mismas instituciones, existen ventajas difícilmente superables mediante el uso de herramientas de control o de la simple formulación de políticas de internacionalización. En cambio, sí parece que subyace a agendas de investigación más robustas que incluyen colaboraciones, avances desde los resultados y especificidades que le interesen a una comunidad científica objetivo o a unos interese específicos a cumplir en el mediano o largo plazo.
Desde el positivismo de Merton (1973) se viene señalando que se requiere ampliar la mirada a las estructuras sociales que han brindado apoyo a la ciencia, por ejemplo, a la democracia que se supone ha aportado los espacios necesarios para el desarrollo del fin institucional de la ciencia, que era la extensión del conocimiento certificado. No obstante, además de que seguimos entendiendo a la ciencia como un elemento universal de la sociedad, tanto en resultados como en condiciones, las políticas y las estrategias internas han asentado el trabajo en los esfuerzos individuales de investigadoras e investigadores, así como de equipos en investigación en los que se construyen ejercicios en contextos limitados en recursos humanos, físicos y financieros, que ahora, ante el juicio de los indicadores, se ven abocados a prácticas que no buscan consolidar agendas propias, sino que van por el camino marcado por el mainstream sin su preparación, historia o insumos.
La bibliometría brinda información poderosa en tanto permite ver el panorama que enfrentamos en una de las actividades de producción de conocimiento. No es gratuito que vayamos a ella para revisar cómo vienen circulando ciertos temas, así como para tomar algunas decisiones que nos acerquen a discusiones de nuestro interés. Sabemos bien que muchas de las conversaciones se están dando lejos de los escenarios locales, que eso que llamamos top requiere más que una escritura fina y unos hallazgos contundentes. Hacemos esfuerzos desde aquí para, como señalaba Cronin (citado por Gómez-Morales, 2015), educar a autoras y autores sobre el papel de lo informacional de las citaciones como forma de direccionar las prácticas de referenciación (a quién citar), no obstante, la consistencia sobre dichas prácticas aún está lejos de brindarnos una luz sobre una teoría general de la bibliometría para la citación.
Entre las conversaciones para la escritura de este texto, en relación al modelado de la citación de las publicaciones colombianas de ingeniería, emergía el siguiente ejemplo: si tengo dos artículos, uno escrito por una persona con filiación en una universidad extranjera de prestigio y reconocimiento mundial y otro con una autora o autor colombiano, con el primero puedo predecir cómo se moverá el documento en términos de citación, sin necesidad de revisar aspectos de su contenido; pero en el caso del artículo colombiano, necesito todo el conjunto de variables del modelo para entrever sus posibilidades de citación. Ello apunta a que tener indicadores de citación o usar herramientas bibliométricas para capturar información poco o nada dice de las disputas, intereses, o el horizonte científico en Colombia. No obstante, si la bibliometría se toma como un indicador que indica, sí brinda luces de este lugar propio y contribuye al escenario de revisión del estado de las cosas, las posibilidades y brechas en las que seguimos trabajando editores y editoras, oficinas de investigación, investigadoras e investigadores.
Este trabajo presenta en sí mismo también limitaciones frente al escenario. De una parte, deja de lado la búsqueda de las explicaciones a los comportamientos de la publicación y la citación en el interior de las universidades, donde las burocracias propias podrían dilucidar direccionamientos acertados o errados para el aumento de la producción y distribución de los resultados de investigación nacional; y de otra, el estudio se limita a la producción colombiana en ingeniería, de la base Scopus, en el periodo 1999-2019 con lo que la universalización a toda la investigación nacional es temeraria, no obstante, abre un abanico de preguntas a otros campos del conocimiento o tipos de publicación, y también a otros repositorios con métricas alternativas que, seguramente, dadas las iniciativas globales, estarán más utilizadas en las próximas décadas.