Services on Demand
Journal
Article
Indicators
-
Cited by SciELO -
Access statistics
Related links
-
Cited by Google -
Similars in
SciELO -
Similars in Google
Share
Revista de Economía del Caribe
Print version ISSN 2011-2106
rev. econ. Caribe no.4 Barranquilla July/Dec. 2009
THE RELEVANCE OF DUESENBERRY CONSUMPTION THEORY! AN APPLIED CASE TO LATIN AMERICA*
Jairo Parada Corrales**
jparadac@uninorte.edu.co
** PhD. Professor Department of Economics, IEEC, Universidad del Norte. Barranquilla (Colombia).
William Bacca Mejia***
wbacamejia@gmail.com
*** Instructor, Department of Economics, IEEC, Universidad del Norte. Barranquilla (Colombia). PhD Student-Department of Economics-University of Missouri-Kansas City.
* This a modified version of a paper presented at the 2008 Post Keynesian Conference. Kansas City, MO (USA), June 28th-July 1st, 2008.
Fecha de recepcion: julio de 2009
Fecha de aceptacion: septiembre de 2009
ABSTRACT
In this paper we examine the to-date relevance of Duesenberry's Consumption Theory through an applied case to four economies in Latin America: Mexico, Brazil, Argentina and Colombia. Using annual time series of these countries we show that some empirical evidence of Duesenberry's theory still holds and should not be discarded in modern macroeconomics as it has happened in regular macro text books in mainstream economics. Duesenberry's theory includes important institutional factors that cannot be replaced by the permanent income hypothesis or the life cycle hypotheses. In the paper we explore different specifications of the consumption functions based on the relevant literature. Final conclusions are presented.
Keywords: Consumption Theory, Duesenberry, Latin America.
RESUMEN
En este trabajo se examina la relevancia de la teoria del consumo de Duesenberry a traves de un estudio de caso aplicado a cuatro eco-nomias de America Latina: Mexico, Brasil, Argentina y Colombia. A traves de series de tiempo y de algunas pruebas empiricas demos-tramos que la teoria de Duesenberry todavia tiene validez y no debe ser descartada de la macroeconomia moderna. Dicha teoria incluye importantes factores institucionales que no puede ser sustituida por la hipotesis del ingreso permanente o de la hipotesis del ciclo de vida. En este articulo se explora diferentes especificaciones de las funciones de consumo basadas en la literatura relevante.
palabras clave: Teoria del Consumo, Duesenberry, Lati-noamerica.
INTRODUCTION
Consumption maintains today a very important share of the GDP of any country of the world. The performance of this macro variable is related with savings, investment, production and employment. When things go wrong with any of the main components of aggregate consumption the economy begins to stall. In this paper we explore the relevance of James Duesenberrys Consumption theory which appears to be forgotten in most of mainstream macro textbooks and not very much mentioned in heterodox economic books.
At the beginning of this paper we review the main contributions of this theory, its initial success and sudden disappearance facing other approaches such as the life cycle hypothesis (LCH) and the permanent income hypothesis (PIH). Then we summarize different explanations given for that phenomenon followed by an estimation of a model inspired the relative income theory of consumption (RIT) inspired in Duesenberrys approach in a group of the main Latin American economies during the last two decades.We claim that the theory still holds despite all the new events that have occurred in the world economy and in the area, such as the globalization process and the implementation of orthodox macro policies inspired in the Washington Consensus that began to whither away in our continent.
THE ROLE OF AGGREGATE CONSUMPTION
Modern mainstream macro theory today examines aggregate consumption as a clear inter temporal choice between present and future consumption regarding present and future income, depending on the real interest rate. Individual isolated consumers make this decision that generates outcomes in the aggregated economy. Any interdependence of preferences among consumers is ruled out as it would hinder the general equilibrium solution of consumers in the aggregate economy.
But the truth of the matter is that consumption is the most important macro variable in any economy today. In a modern monetary economy with wage labor, consumption becomes a decisive variable in defining output levels and employment accounting for 75% to 86% of disposable income of main developed economies (see figure 1). Macro policies regarding income tax and the nature of government spending are crucial as they affect low income or higher income households with different impacts on employment.
In his General Theory Keynes (1936) defined clearly the relationship between Consumption and disposable income through the psychological fundamental law of the propensity to consume where aggregate consumption was a positive diminishing function of income. The importance of the aggregate consumption was clearly stated by Keynes (1936, 27) when he asserted that,
The outline of our theory can be expressed as follows. When employment increases, aggregate real income is increased. The psychology of the community is such that when aggregate real income is increased aggregate consumption is increased, but not by so much as income. Hence employers would make a loss if the whole of the increased employment were to be devoted to satisfying the increased demand for immediate consumption. Thus, to justify any given amount of employment there must be an amount of current investment sufficient to absorb the excess of total output over what the community chooses to consume when employment is at the given level.
Later during the 40s and 50s new empirical evidence found that the average propensity to consume was not a declining function but a constant in the long run. The debate generated different attempts to solve this puzzle as the stylized facts in short run cross sectional studies of household income showed the opposite: the average propensity to consume fell as income rises.There was therefore a clear contradiction between the short run cross sectional consumption functions and the long run one.
J.S. DUESENBERRY'S RELATIVE INCOME THEORY OF CONSUMPTION (RIT)
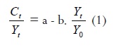
By the end of the 40's, J.S. Duesenberry (1949) published his Income, Saving and the Theory of Consumer Behavior where he tried to reformulate Keynes' theory of consumption. Duesenberry correctly viewed consumption as a social process, not an individual one, and questioned that it was based only on a rational forward looking calculation. His equation was somewhat different to the Keynesian traditional one:

Where Ct = Real per capita consumption of year t
Yt = Real per capita disposable income of year t
Yo = Previous peak of real per capita disposable income a, b > 0
In (1) we can observe that the second term of the right hand side of the equation introduces a ratchet effect on consumption depending on the variations of current income with respect to the previous peak. As Everett Hagen posited "a family whose income is reduced resists giving up its previous level of consumption, and its ration of consumption to income rises" (Hagen, 1955, 51).
Hagen also pointed out that Duesenberrys solution was similar to that presented by Modigliani, but he emphasized that "Duesenberrys explanation is more elegant. He claimed that "With superb economy of theory, he makes the same principle explain both the cyclical and the secular phenomena" (Hagen, 1955, 51).
Similarly, the well known macroeconomist Gardner Ackley (1951) underlined Duesenberrys view regarding consumption stating that "Consumption standards are largely socially determined, but the society which determines them undergoes profound changes", showing clearly a feedback process between consumers and society with its evolving pattern of urbanization, migration and deep changes in income distribution.
During the 1950s, Duesenberrys theory was displaced by Modigliani and Brumbergh's life cycle theory of consumption, followed by Friedman's permanent income hypothesis. Slowly, these new theories of consumption replaced the RIT of consumption, imposing the notion of an atomistic approach of consumers based on utility maximization and probabilistic calculations of current and future incomes. The idea of social interdependence of consumers was suppressed (Palley, 200).
On the Post Keynesian side, Bunting (1989) tried to 'solve' the consumption paradox tackled by Duesenberry, Modigli-ani and Friedman claiming that the problem arose from the confusion originated in comparing aggregated time series data with cross sectional household spending data. According to Bunting, "comparison should be on the basis of household or aggregate spending, not household with aggregate spending" (Bunting, 1989, 349).
Bunting claims that as cross-sectional functions are nonlinear transformations of national data, it is not a surprise that the marginal propensity to consume (MPC) is lower for the short run than for the long run.
Bunting also rightly warns us of the dangers of accepting Friedman's Consumption Theory based on the permanent income hypothesis. In fact, if a larger portion of consumption is autonomous based on the permanent income variable, the result is a smaller investment multiplier, and therefore fiscal policy is ineffective (Bunting, 1989, 357).
More recently, Roger Mason (2000) from an institutional perspective addressed the seminal importance of Duesenberry's theory of Consumption, linking his approach with Thorstein Veblen's Theory of Leisure Class. Mason argued that, Duesenberry with his work secured "proper recognition for the social significance of consumption within economics" (Mason, 2000, 554). In fact, according to Mason, Duesenberry underlined the role of the "demonstration effect" in consumption, reinforcing the idea of interdependence of preference systems. Hence, aggregate demand theory cannot be built on the basis of individual consumer's behavior without recognizing the influence of the consumption choices of others. Hence, the nature and direction of much individual consumption and saving was determined by relative and not absolute income.
Mason argued that the main reason why Duesenberry's theory was abandoned by mainstream economics was not because his theory failed in the empirical evidence but "because an alternative hypothesis was now available that in essence, recognized no sociology of consumption" (Mason, 2000, 569) and therefore would pose no threat to conventional mainstream economic analysis.
David Hamilton (2001) explored ahead the rationale of Duesenberrys analysis claiming that Veblens institutions/ technology dichotomy would have enriched the analysis in the sense of the role of technology in consumption. As invention is the mother of necessity according to theVeblenian perspective, "Consumers are not reluctant to drop that new technology when income falls only for reasons of status. For good solid technological reasons they cannot do so" (Hamilton, 2001, 746). No one would throw away his/her cell phones because income falls. The upward drift of consumption would be also explained under this perspective.
Later, a conventional economist such as Robert H. Frank, following his previous works during the 80s, commented on the reasons why Duesenberrys theory disappeared from text books in economics teaching (Frank, 2005). Indeed, we did ourselves our own inquiry and found that after an exhaustive bibliographical revision about the most used basic text books of Macroeconomics and Principles of Economics, the subject matter was the exposition of the Modigliani's Life Cycle Hypothesis about consumption and Friedman's Permanent Income theory.
For example, universities in Latin America offer courses of Introduction in Economics using as a basic textbook Mankiws and/or Bernanke's ones, and for the case of the macroeconomics courses the basic text books are Mankiw, Dornsbush, Blanchard, Sachs and Bernanke. All of them just ignored Duesenberrys theory as it never existed. It is not even a footnote in mainstream Economics text books.
Against conventional wisdom, Frank argues that Duesenberrys theory behaves better that Friedman's permanent income theory. Frank claims that all the empirical work done by careful studies show that savings rates rise sharply with permanent income. Moreover, people seem to consume permanent income at the same rate that transitory income. To Frank, economists do not want to recognize the possibility of wasteful spending races. That would not be rational. But in our opinion, from a Veblenian perspective it can be clearly explained.
The relevance of Duesenberrys theory is straightforward: if the ratchet effect plays an important role in consumption, those policies that emphasize income redistribution in favor of low and middle income families with higher propensity to consume would guarantee a more solid floor to the aggregate demand when facing business cycles. Also, as Palley puts it, "tax cuts aimed at the bottom of the income distribution are likely to be more expansionary than tax cuts aimed at the top" (Palley, 2008, 16).
CONSUMPTION IN LATIN AMERICA
Since the 1980's Latin America experienced economic reforms inspired in mainstream economic policies determined by the Washington Consensus. Inflation targeting and equilibrium budget policies have been the main recipes. Consumption has been punished through tax reforms that have increased indirect taxation in a regressive way. Tax exemptions and deductions have been granted to capital investments in physical capital of corporations and firms showing a bias against labor.
These policies contributed to the recession at the end of the 90s and generated a huge political turmoil that has generated important shifts in the political orientation of the main Latin American countries, due to the negative effects caused in terms of income distribution and unemployment. Price stability was achieved at a deep social cost.
We selected a group of the main Latin American economies in order to explore the validity of Duesenberrys theory in the region. Data was obtained from the Economic Commission of Latin America (ECLA) of United Nations. The information about disposable income was estimated by us for the period 1980-89 as we could not find this information directly, using the estimates by ECLA of the participation of taxes over national income.
In figure 2 we can observe the tremendous participation of aggregate consumption on disposable income and the stability of the long run average propensity to consume, as the long run trend of the APC is very much higher than those countries of figure 1, ranking from 80% to 90%. In developing nations with higher Gini coefficients it is well known that patterns of income distribution are generally worse than many developed countries. For that reason low and middle income household have a higher weight in the aggregate propensity to consume. Hence, it is no surprise than the APC of most households in developing nations with less capacity to save, is higher compared with the developed countries as data from figure 2 reveals.
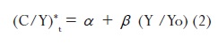
In order to estimate the Duesenberry consumption functions we used a modified version of (1), based on the fact that Ct is affected by previous Yo transforming this model in an implicit way in an autoregressive model. For that reason we used the transformation suggested by Singh et al (1976)1, based on Davis (1952) as followed:

Where (C/Y)* is determined by the Nerlovian "partial adjustment" model as

Where y is the adjustment coefficient. Therefore, the new equation to estimate would be:

And obviously,

Using (3) we run an OLS regression for four countries such as Mexico, Brazil, Colombia and Argentina, using time series as explained above. The model was run individually for each country and generally for a time series-cross sectional regression for all countries as the business cycle was very similar to all during the period 1980-2005.
In table 1 we can observe the results for our model defined in (3) where we got the best performance of the model for the case of Colombia where the Duesenberry effect is clear (ft ) with all the coefficients with the right signs and significant. The significance of the last term in all countries reflect the role of previous (C/Y)t 1 for all cases, demonstrating the role of previous habits. But in general we can assert that we found a weak presence of Duesenberrys effect in the sample. The worst results came from the case of Mexico. Serial autocorrelation was controlled using the h-Durbin test which is appropriate for autoregressive models.
This result should encourage us to go further in this kind of research. The Duesenberry effect is easily measured for regular periods of expansion and contractions. But Latin America went through huge policy shifts during these last twenty years generating important changes in income distribution across households and different impacts coming form changes in fiscal and monetary policies.
Another limitation was the fact we used Eclas time series in constant dollars, instead of original country time series in domestic currencies. This fact generates also many distortions as exchange rate fluctuations plague countries as Mexico, Brazil and Argentina. Colombia has a more stable exchange rate policy until the 90s when the traditional crawling peg system was abandoned.
And last but not least, we were restricted to use annual data as quarterly data was not available. This issue reduced the size of the samples and limited our research.
Conclusions
Despite the disappearance of John Duesenberry's Consumption theory form mainstream text books we argue this approach should be recovered in research and teaching in Economics. Modern empirical evidence suggests that this approach is more suitable to current events as Robert H. Franks has suggested.
Accepting a vision of Consumption based on a social environment follows a valid conception of an economy embedded in society. Consumer is no longer seen as a lighting calculator as Veblen used to say. For that reason, from a paradigmatic different perspective we are at variance with Palley's argument directed to integrate Duesenberry's theory with Firedman's Permanent Income Hypothesis. Modern empirical evidence does not require us to do that. Fiscal Policies are still powerful in a modern world characterized by a monetary theory of production where is a deep connection between the APC and the liquidity preference Keynesian theory.
The empirical evidence we found for Duesenberry's Consumption was valid for one country of a sample of four. But strong limitations of data sets could be the main reason. All regressions showed that past-consumption is a very important determinant of present consumption.
If that is the case, macro policies oriented to squeeze consumption through higher interest rates as inflation-targeting policies seem to suggest and anti-labor wage policies, are condemned to failure as they reduce an important protective floor for the economy regarding aggregate demand. In developing nations this fact of life means unemployment, underemployment and lack of accelerated growth very necessary for development.
1 Singh et al. (1976) proposed to use the previous peak Co as a proxy for Yo but in our case with not very good data bases (annual data instead of quarterly data) we preferred to use the original Duesenberry's formula.
References
Ackley, G. (1951,Aug.)."Income, Saving and the Theory of Consumer Behavior by James S. Duesenberry". The Review of Economic and Statistics,33(3), 255-257. [ Links ]
Bunting, D. (1989).The Consumption Function Paradox. Journal of Post Keynesian Economics, X1(3), 347-359. [ Links ]
Davis, T. E. (1952). The Consumption Function as a Tool for Prediction. The Review of Economics and Statistics,34(3), 270-277. [ Links ]
Duesenberry, J. S. (1949).Income, Saving and the Theory of Consumption Behavior. Cambridge, Mass: Harvard University Press. [ Links ]
Frank, R. H. (2005).The Mysterious Disappearance of James Duesenberry. New York Times, June 9. [ Links ]
Haggen, E. (2005).The Consumption Function: A review Article. The Review of Economic and Statistics, 37(1), 48-54. [ Links ]
Hamilton, D. (2001,Sep.).Comment Provoked by Mason's "Duesenberry's Contribution to Consumer Theory". Journal of Economic Issues, 35, (3),745-748. [ Links ]
Keynes, J. M.. (1964). [1936] The General Theory of Employment, Interest, and Money. New York: First Harvest/Harcourt Brace edition. [ Links ]
Mason, R. (2000, Sep.).The Social Significance of Consumption: James Duesenberry's Contribution to Consumer Theory". Journal of Economic Issues, 34(3), 553-572. [ Links ]
Palley, T. The Relative Income theory of Consumption: A Synthetic Keynes-Duesenberry-Friedman Model. URL: http://d.repec.org/n?u=RePEc:uma:periwp:wp170&r=pke [ Links ]
Singh Balvir, Drost Helmar and Kumar C. Hamesh.(1976,Jan.). An Empirical Evaluation of the Relative, Permanent Income and the Life-Cycle Hypothesis. Economic Development and Cultural Change, 26(2), 281-305. [ Links ]


















