Services on Demand
Journal
Article
Indicators
-
Cited by SciELO -
Access statistics
Related links
-
Cited by Google -
Similars in
SciELO -
Similars in Google
Share
Revista de Economía del Caribe
Print version ISSN 2011-2106
rev. econ. Caribe no.7 Barranquilla Jan./June 2011
Desempeño de los equipos en el fútbol profesional colombiano: un análisis in game
Performance of the colombian professional soccer teams: An analysis ¡N GAME
Néstor Garza P.*
* Máster en Economía y Especialista en Política y Mercado de Suelo. Actualmente candidato a doctor en Land Economy - Universidad de Cambridge, Reino Unido. Profesor del Instituto de Estudios Económicos del Caribe-IEEC-Universidad del Norte. Barranquilla-Colombia.
Iván Yunis**
** Economista de la Universidad del Norte Barranquilla (Colombia).
Recibido: 15 de abril de 2011
Aceptado: 20 de mayo de 2011
RESUMEN
En este trabajo se evalúa el efecto que tienen la ventaja de campo y la calidad relativa en las decisiones y el desempeño in-game de los equipos del Fútbol Profesional Colombiano. Se realiza una variación conceptual al modelo Correia-Machado de recompensas en competencias pero se incluye explícitamente la ventaja de campo unida a la calidad relativa de los equipos como determinantes de su desempeño. Usando información de los torneos del año 2009, se encuentra que diferentes especificaciones de la calidad de los equipos no parece ser determinante en la toma de decisiones respecto al nivel de juego ofensivo; sin embargo, el jugar de local o visitante sí lo hace.
Palabras Clave: ligas de fútbol, estrategia deportiva, ventaja de campo, desempeño in game.
ABSTRACT
This article assesses the effects of home-field advantage and relative quality over the in-game decisions and performance of the teams playing in the Colombian First Division of association football. The Correia-Machado model is modified in order to explicitly include home-field advantage joint with relative quality of the teams as deter-minants of their performance. With a database for 2009 tournaments information, we find that different specifications for the quality of teams is not a determinant of offensive play decisions taken, unlike the field where the match is held which actually is.
Keywords: Soccer Leagues, Sports Strategy, Home-field Advantage, In-game, Performance.
Economics, as a branch of the more general theory ofhuman action, deals with all human action, i.e., with mans purposive aiming at the attainment of ends chosen, whatever these ends may be
Ludwig von Misses (Human Action)
1. INTRODUCCIÓN
El presente trabajo aborda un tema inusual en la literatura económica, cual es la problemática del deporte profesional, pero lo hace desde una perspectiva in game, que se concentra en el análisis del juego en sí, dejando de lado los aspectos puramente financieros o mercantiles.
Tal aclaración es importante ante este análisis que pretende encontrar las determinantes del tipo de acciones que toman los jugadores y cuerpo técnico de cada uno de los clubes participantes en el torneo profesional de fútbol en Colombia, pues si bien es cierto que la expresión de sus objetivos en el terreno de juego ha sido previamente influida por condiciones extradeportivas (particularmente financieras), esto no es lo único que define los resultados alcanzados en el solo ámbito del juego deportivo.
Bill Shankly, director técnico inglés, decía al respecto que "en un club de fútbol hay una sagrada trinidad: jugadores, cuerpo técnico y fanáticos. Los directivos no entran en ella. Solo están ahí para firmar los cheques".
Es en este orden de ideas que se plantea el presente tipo de análisis. Según la propuesta de Von Misses en el epígrafe presentado: se trata de seres humanos que hacen uso de las herramientas de acción a su alcance para conseguir objetivos predeterminados cualesquiera que estos sean.
Planteada esta digresión introductoria, se puede afirmar que el fútbol, como cualquier otro deporte, es una competencia en la que la recompensa obtenida por un jugador, o un equipo, depende del desempeño propio y el de los oponentes. Después de todo, como afirmaba el filósofo francés Jean Paul Sartre, "en el fútbol todo es complicado por la presencia del equipo contrario".
Para el caso del presente documento se aprovecha que la teoría de juegos permite el diseño de un ejercicio economé-trico estructural de predicción de las decisiones y el desempeño durante el juego que han llevado a los equipos a obtener la máxima recompensa posible: la victoria. El presente artículo acomete dicha tarea, construyendo con base en la interpretación propuesta por Correia y Machado (2002) para el caso de la norma de tres puntos en la liga portuguesa. Sin embargo, y teniendo en cuenta los hallazgos de Carmichael y Thomas (2005) según los cuales el efecto de localía determina los resultados en la liga inglesa de fútbol, se reconstruye la estructura teórica original para incluirlo explícitamente.
Los hechos estilizados del juego apuntan a que los determinantes propuestos son importantes como lo encuentra Segkin (2006), quien realiza un amplio ejercicio econométrico de determinantes in game de los resultados en la liga turca de fútbol, a pesar de que no intenta comprobar en sentido estricto alguna teoría. En este texto se considera necesario tener definido un marco conceptual previo al trabajo econométrico para de esta manera avanzar eventualmente a un examen sistemático de hipótesis de comportamiento del fútbol in game.
En este sentido, el presente documento realiza un análisis exploratorio de la literatura económica sobre el tema de la ventaja de campo (localía) en diferentes deportes y países en la sección dos antes de presentar explícitamente el modelo de juegos que se utiliza como punto de partida para la investigación en la sección tres. En la cuarta sección se propone una variación de este modelo de partida y en la sección cinco se presenta la estrategia de captura de la información para el caso colombiano, así como algunos hechos relevantes que asimismo se pueden destacar. Finalmente, en la sección seis se emplea la información capturada para practicar un ejercicio econométrico conforme el marco conceptual establecido.
2. VENTAJA DE CAMPO
La ventaja de jugar como local es un fenómeno deportivo ampliamente aceptado. La evidencia histórica muestra como los equipos que juegan de local obtienen realmente un mayor número de victorias que si estas solo dependiesen del azar o la probabilidad. En 1992, 23 de los 26 equipos de las Grandes Ligas de Béisbol (MLB por sus siglas en inglés) ganaron más juegos cuando actuaron de local que en calidad de visitante. Ese mismo año, los locales ganaron un total de 226 juegos más que los visitantes. En la temporada 1990 de la National Football League (NFL), el 60% de los juegos terminaron con victorias para el equipo de casa (Boyd y Boyd, 1998).
Un trabajo pionero sobre el tema en los Estados Unidos fue Schwartz y Barsky (1977), mientras que en el caso de las ligas de fúbol de Inglaterra y Escocia ha sido estudiado por Pollard (1986); Clarke y Norman (1995); y Nevill, Newell y Gale (1996). El caso del fútbol australiano fue analizado por Stefani y Clarke (1992).
A la hora de explicar la razón por la cual se presenta la ventaja de localía, los estudios se han enfocado en los motivos desde el punto de vista de la psicología social, tomando en cuenta que el tamaño de esta ventaja varía de un deporte a otro. Los factores causales de esta, son generalmente clasificados en cuatro categorías de acuerdo con Carmichael y Thomas (2005):
a) La familiaridad del equipo local con el terreno de juego y sus características.
b) Cansancio causado por el viaje que debe realizar el equipo visitante.
c) Reglas que favorecen a los locales, lo cual se da en algunos deportes como el béisbol en el cual el local tiene el último turno al bate.
d) Los posibles efectos que el público podría tener sobre el estado psicológico de los equipos, como estímulo al equipo local e intimidación al equipo visitante. El público también podría presionar a los jueces causando que sus decisiones favorezcan a los dueños de casa.
De otra parte, Pollard (1986) enfatiza el hecho de que complejos factores psicológicos pueden llevar a que la ventaja de localía sea una especie de profecía autocumplida y que "la sola aceptación de la existencia de una ventaja de localía puede por sí misma crear un círculo de causación que contribuye a su causa". Jugadores colombianos han declarado en ocasiones que "el problema es que los equipos visitantes, en la mayoría de los casos, juegan solo por el resultado", y "si un equipo suma tres malos resultados se empieza a hablar de crisis, a sacar gente. Eso lleva a que los equipos sean más defensivos", o como dice el director técnico portugués José Mourinho: esto causa que los equipos visitantes "lleguen a jugar el partido en un bus y lo dejen frente a la portería". Sin embargo, a la hora de interpretar y/o medir la ventaja de localía se presentan problemas como el hecho de que los factores relacionados con ella son difíciles de cuantificar, mientras que otros factores intervienen al mismo tiempo en el resultado, por ejemplo, la calidad de los equipos, el talento de cada jugador, o la importancia del juego.
Por lo general, en los artículos ya descritos parece haber acuerdo en que los factores que tienen que ver con viajes y reglas de juego han mostrado un efecto mínimo, mientras que el factor de familiaridad con el terreno de juego aún no está sustentado. De otro lado, parece ser que el efecto del público se siente más en deportes jugados bajo techo como el básquetbol o el hockey sobre hielo, donde la interacción entre los agentes de juego y la audiencia es más fuerte. En el caso del presente estudio es crucial considerar la disposición táctica empleada por los equipos, que puede estar relacionada con las demás variables. El equipo local podría salir al campo con un sistema de juego más ofensivo, mientras que el equipo visitante jugaría con un sistema más defensivo siguiendo la tesis de profecía autocumplida de Pollard.
En estudios específicos sobre el fútbol, Pollard (1986) encontró en su análisis para la primera división inglesa a lo largo del tiempo que la ventaja de localía ha sido una constante desde la fundación de la liga en 1888, aunque el efecto es menor en los clásicos, encuentros entre equipos de una misma ciudad o región.
Nevill et ál. (1996) han encontrado, además, que el tamaño del efecto de la ventaja de localía varía de acuerdo con la distribución hecha para las primeras cuatro divisiones de los sistemas de Inglaterra y Escocia durante la temporada 199293. Este cambio está significativamente asociado con la media de asistencia de cada una de estas divisiones. Además, el número de tarjetas rojas y goles anotados por medio de cobros de penaltis favorecían a los locales en mayor medida cuando la asistencia era mayor, puesto que el factor público provocaba un juego más violento entre los jugadores visitantes y/o influenciaba las decisiones de los árbitros a favor del equipo local. Por su parte, Clarke y Norman (1995) consideran que la calidad de los equipos debe ser tomada en cuenta a la hora de medir el efecto de la ventaja de localía. Para todos los torneos de la liga inglesa entre el otoño de 1981 y la primavera de 1991, encontraron que no hay variación significativa entre divisiones, pero que sí las hay por año.
Ninguno de estos estudios analizó variables de juego para determinar el efecto de la ventaja de localía. Serían Carmi-chael, Thomas y Ward (2000) los primeros en utilizar diversas variables de juego como disparos al arco o pases en zona de gol junto a una variable dummy de localía para tratar de determinar los efectos de esta en los resultados. Esta variable de localía probó ser determinante a la hora de obtener una victoria. Más tarde, Carmichael y Thomas (2005), utilizando el número de goles como variable dependiente, encontrarían una relación entre la localía y el juego ofensivo y entre ser visitante y el juego defensivo.
3. MODELO CORREIA-MACHADO
Correia y Machado (2002) desarrollan un juego dinámico no cooperativo1 con el fin de medir el impacto que tuvo el cambio de 2 a 3 puntos por victoria sobre el nivel ofensivo de los partidos de fútbol en la liga profesional de Portugal.
El modelo consta de dos equipos, el equipo A y el equipo B, que se enfrentan a una decisión: determinar su nivel de juego ofensivo X , cuyo valor se encuentra entre 0 y
, lo que corresponde al valor teórico del nivel de juego ofensivo máximo que un equipo puede alcanzar, es decir, la sumatoria de todos los esfuerzos individuales y las sinergias resultantes que el equipo tiene abocados plenamente a la labor de ataque. Por lo tanto, el nivel de juego defensivo de cada equipo es determinado automáticamente tan pronto como se decide el nivel de juego ofensivo. El valor del nivel de juego defensivo es igual a Xmx - X¡ . Todo esfuerzo que se ahorre en ataque, es utilizado en defensa.
Correia y Machado también un incluyen factor a que representa la calidad relativa de los equipos. Cuando el factor a es negativo, el equipo A es mejor que el equipo B. Cuando a es positivo, la calidad del equipo B es mayor. La probabilidad de anotar un gol (SG) y la probabilidad de conceder un gol (CG) están determinadas por XA, XB y a. Como se explicará más adelante, la relación de estas probabilidades con XA, y XB es positiva, mientras que a tiene una relación negativa con la probabilidad de que el equipo A anote, y positiva con la probabilidad de que el equipo B lo haga.

Las probabilidades f(.) y g(.) presentan una serie de propiedades esenciales para el desarrollo del modelo:
1. Jugar ofensivamente aumenta las probabilidades de anotar un gol al mismo tiempo que aumenta las probabilidades de anotar un gol del equipo rival, puesto que el nivel de juego defensivo decrece cuando aumenta el nivel de juego ofensivo2. Por lo tanto:

2. Cuanto más es el nivel de juego ofensivo, los beneficios de aumentarlo disminuyen. Es decir, el signo de
pasa de ser positivo a ser negativo al tiempo que XA XA se aleja de 0 y se acerca a Xmax y el signo de
pasa de positivo a negativo cuando XB aumenta.
3. Un aumento en el nivel ofensivo de un equipo mejora la productividad marginal de defensa-ataque del equipo rival, ya que si aumenta el nivel de juego ofensivo, el nivel de juego defensivo disminuye:

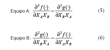
La resta de las derivadas en (4) representa la función de reacción de cada uno de los equipos (la esperanza del beneficio):

Esto representa las diferencias entre los pagos marginales y los costos marginales de aumentar el nivel de juego ofensivo de cada uno de los equipos. Por lo tanto, la función w(XA, XB) representa la línea donde los costos marginales son iguales a los beneficios marginales. Una vez las funciones de reacción cruzan esta línea, se presenta un cambio en el signo de estas.
4. Cuando un equipo aumenta su nivel de juego ofensivo, incentiva el aumento de juego defensivo del rival, lo que Correia y Machado llaman el uso de una estrategia de contra-ataque. Esto es representado matemáticamente como la relación entre las magnitudes relativas de la tercera propiedad (4) y un aumento en el nivel de juego ofensivo del rival:

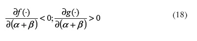
5. El factor a, que representa el valor teórico de la calidad relativa de los equipos toma un valor positivo cuando el equipo B es mejor que su rival y un valor negativo en caso contrario. Por eso cuando el valor de este factor a aumenta, la probabilidad de conceder un gol disminuye y la probabilidad de anotar uno se incrementan para el equipo B, mientras que la probabilidad de anotar un gol para el equipo A disminuye a la vez que aumenta la probabilidad de conceder un gol:

6. Los equipos de mayor calidad tienen menores costos marginales y mayores pagos marginales; es decir, cuando aumentan su nivel de juego ofensivo encuentran que el incremento en sus probabilidades de anotar un gol son superiores a las de concederlo. Por lo tanto, siempre intentarán jugar con un nivel de juego ofensivo alto. Combinando (3) y (8):

7. Si el equipo de menor calidad aumenta su nivel de juego ofensivo, sus probabilidades de anotar un gol no aumentan mucho, pero sus probabilidades de concederlo un gol aumentan considerablemente. Esto se debe a que los costos marginales de jugar ofensivamente para el equipo más débil superan sus beneficios marginales, al contrario de lo esperado para el equipo más fuerte. Combinando (7) y (8):

El juego se desarrolla de la siguiente manera: se decide al azar cuál es el equipo que comienza a jugar. El favorecido lanza una moneda para determinar si anota un gol. Si lo hace, el juego termina y este equipo es declarado el ganador del juego. Si no anota el gol, el segundo equipo lanza una moneda para determinar si anota un gol. Si lo consigue, gana el juego; si no lo logra, el juego termina en un empate. Las monedas están calibradas para reflejar las probabilidades J(-) y Las decisiones de juego ofensivo y defensivo son tomadas antes de que se sepa cuál de los dos equipos comienza a jugar. El correspondiente árbol de juego se representa en el gráfico 1.
De esta forma las probabilidades de ganar, perder y empatar un juego son las siguientes:


Para alcanzar un equilibrio en este juego, Correia y Machado asumen que cada vez que un equipo juega un partido maximiza la cantidad de puntos esperados. Ellos utilizan un parámetro p para representar los puntos obtenidos de una victoria, ya que el fin de su modelo es medir el efecto del cambio en la recompensa por victoria. En este caso podemos asumir que la constante que acompaña la probabilidad de ganar es 3 (puntos) en todos los casos.

4. VARIACIONES AL MODELO CORREIA-MACHADO
Al momento de analizar la evidencia proveniente de la liga portuguesa de fútbol, Correia y Machado separaron los equipos participantes en cuatro niveles de calidad según los resultados que estos arrojaron a lo largo de cuatro temporadas.
A través de esta clasificación pudieron determinar cuál era el equipo favorito en cada uno de los juegos que analizaron. Cuando equipos miembros de una misma categoría se medían uno al otro, el favorito resultaba tomando en consideración el campo de juego donde el partido se desarrollaba. Esto se debe a la ventaja deportiva que se obtiene cuando se oficia de local.
Tal y como se mencionó en una sección anterior, Carmi-chael y Thomas (2005) observan que la disposición táctica tomada por los equipos es una de las formas en las que la localía podría afectar el resultado de un encuentro deportivo, es decir, en el marco conceptual de teoría de juegos aquí descrito, su elección con respecto a Xi.
Por tal razón a continuación se realiza una variación del modelo Correia y Machado de autoría propia en la cual se incluye la localía como un factor determinante de f(.) y g(.), teniendo en cuenta la naturaleza de la información disponible.
Se agrega un factor
que representa el valor de la ventaja de localía, y que no es igual para todos los equipos en cada torneo porque en el caso colombiano esto no es de doble vuelta, como se explicará más adelante. Esto implica que la definición inicial del calendario produce desigualdades que se compensan solamente en un año completo, pero no en cada torneo.
Además, los equipos tienen diferentes promedios de asistencia lo que cambia el nivel de presión ejercido por el público. Cuando
< 0, el equipo A es el local. Cuando
> 0, el local es el equipo B. Se asume un
igual a 0 cuando los equipos enfrentados comparten estadio como ocurre con Millonarios-Santa Fe, Nacional-Medellín, y Cali-América. En estos casos, la localía es únicamente cuestión de organización y recaudos de taquilla y no debería tener ninguna incidencia de tipo deportivo.
En la presente modificación el efecto de ¡ es imputado al efecto causado por a. Cuando un equipo es local y de mayor calidad que su rival3, su ventaja deportiva es mayor que si es visitante. De la misma forma un visitante de menor calidad a su anfitrión tendrá aún más incentivo para proponer un juego defensivo.
Dado el caso que el efecto de localía sea contrario al efecto de la calidad relativa de los equipos, es decir, cuando los signos de a y ¡ son diferentes, los efectos antagonizan. Cuando el visitante es el equipo de mayor calidad, su nivel de juego ofensivo no será tan alto en comparación con el nivel por el que optarían en caso de tener la ventaja de localía; incluso, si la diferencia de calidad no es muy grande y el equipo visitante es tan solo un poco mejor que el local, este último podría terminar jugando el partido en la posición de favorito.
Así, las probabilidades de anotar y conceder un gol para cada equipo serían igual a las versiones modificadas de (1) y (2):

Esta variación en el modelo trae consigo una serie de propiedades nuevas:
1. Cuando la calidad del equipo local es mayor que la del equipo visitante, los incentivos para aumentar el nivel de juego ofensivo aumentan para el local.

2. Es más probable que un equipo visitante recurra a la estrategia de contra ataque que un equipo local. Se asume que el local tiene el incentivo o la obligación de atacar debido a la presión ejercida por su propio público, por lo que al equipo visitante le conviene aumentar su nivel de juego defensivo mientras espera la oportunidad de anotar que propicia el bajo nivel de juego defensivo de rival.

3. Cuando el equipo de menor calidad oficia de visitante y aumenta su nivel de juego ofensivo, sus probabilidades de anotar un gol no aumentan mucho; en cambio, crecen considerablemente sus probabilidades de conceder un gol.

Las funciones de reacción de los equipos no varían con respecto a la presentación original (ecuaciones 5 y 6).
Así, a la hora de encontrar las combinaciones de estrategias de equilibrio de cada uno de los equipos encontramos que (14) y (15) toman la forma para A y B:

Siguiendo el mismo proceso para el equipo B encontramos que:

Esta presentación permite apreciar que una evaluación empírica de la teoría se debe concentrar en detectar la relación positiva entre la capacidad ofensiva de la estrategia y la anotación de goles, junto a la capacidad defensiva y la correspondiente evitación de goles. En el caso de la información utilizada en el presente trabajo, el parámetro a será medido por el total de puntos alcanzados durante el torneo inmediatamente anterior o por una clasificación tipo UEFA de los resultados en los cuatro torneos anteriores; la ventaja de localía desempeñará su papel asignado como parámetro
.
5. INFORMACIÓN UTILIZADA Y ESTRATEGIA DE CAPTURA
5.1 Información disponible y discusión alrededor del factor a
En 2009 la temporada del fútbol profesional en Colombia, llamada Copa Mustang, estuvo dividida en dos torneos llevados a cabo durante un semestre cada uno. El Apertura 2009 (Copa Mustang I) con final en junio y el Finalización 2009 (Copa Mustang II) con final en diciembre.
El sistema para cada uno de estos campeonatos fue idéntico: una fase de liga, o de todos contra todos, en la cual los 18 equipos participantes se enfrentaban en una ronda con una fecha extra de clásicos regionales para lograr una paridad de fechas jugando en calidad de local y como visitante (9 y 9 respectivamente para cada equipo). Luego, los 8 primeros eran separados en 2 grupos de 4 donde chocaban en juegos de ida y vuelta. Los ganadores de estos cuadrangulares semifinales clasificaban a la final que se definía en una serie a 2 partidos, cada uno en la "casa" de los finalistas. Para el "todos contra todos" de Finalización, las localías eran invertidas con respecto a las del todos contra todos del torneo Apertura.
En el sitio web de ESPN deportes, se encuentran disponibles las informaciones correspondientes a 98 de los 234 partidos que conformaron las fases todos contra todos de los dos campeonatos de 2009: 35 juegos del Apertura y 62 partidos del Finalización. En estos juegos encontramos que 45 de ellos (46%) terminaron en victoria para los locales, 16 juegos (16%) fueron ganados por los visitantes y los 37 juegos restantes (37%) concluyeron en empate. Los partidos registrados en el sitio web fueron transmitidos tanto por televisión abierta como cerrada a lo largo del año, y esto constituye un prerrequisito para la mayor cantidad de información in game reportada cuando se les compara con los otros 136 partidos de la liga4. En la tabla 1 se presentan los datos discriminados por equipo:
Se puede afirmar al observar la tabla 1 que la selección de los partidos se ha realizado con un criterio comercial, pues el canal de deportes transmite aquellos que potencialmente tienen un mayor público, es decir, los de las cuatro ciudades más pobladas en el país.
Desde el punto de vista del presente análisis, dicha característica resulta ser una ventaja, pues el criterio de selección de los partidos que van a ser transmitidos y cuya información después podrá ser consultada no está necesariamente correlacionado con la calidad relativa de los equipos; esta es una variable de nuestro modelo que será explicada más adelante.
Al mismo tiempo, el criterio de selección de los partidos transmitidos no tiene por qué tener ninguna relación sistemática con la cantidad de goles anotados. Se puede considerar entonces que se trata, desde el punto de vista in game, de una muestra aleatoria con una representatividad del 42%.
Dentro de los tipos de jugadas capturadas en la información se incluyen disparos al arco que actúan como un proxy de Xi, y otras jugadas de naturaleza más ambigua como tiros de esquina y fueras de lugar, que si bien pueden ser tomadas como consecuencia de un nivel ofensivo alto, también poseen un valor defensivo.
Se utilizan variables dummy para representar el equipo local con valor de 1 y el visitante, 0. Esta variable se utiliza tras no poder encontrar la información de asistencia como una mejor aproximación a la presión del público sobre los jugadores, cuerpo técnico o jueces. Sin embargo, según se pudo apreciar en la tabla 1, una gran parte de los juegos analizados corresponden a los equipos de Bogotá, y en el caso de esta ciudad las asistencias serían de todas maneras un indicador muy deficiente de la presión por localía, dada la diversidad de fanaticadas que allí confluyen.
Una aproximación a la idea de calidad de los equipos (factor a) es utilizar los torneos ganados, pues desde el primer campeonato, jugado en 1948, los equipos de Bogotá, Medellín, Cali y Barranquilla han obtenido 60 de los 69 títulos entregados hasta diciembre de 2009 (tabla 2). Estos equipos históricamente han manejado los mayores presupuestos y los mayores niveles de popularidad en el país y se espera que obligatoriamente jueguen con un nivel alto de Xi sin importar en donde. A ellos se ha agregado el Once Caldas de Mani-zales, campeón de la Copa Libertadores de América en su versión 2004, ganador de dos campeonatos colombianos en los últimos ocho años y el único equipo que ha ganado más de un título nacional sin pertenecer a una de las cuatro grandes ciudades5.
Otra interpretación para medir el factor a toma el total de puntos alcanzados por los equipos a lo largo del campeonato inmediatamente anterior. Los partidos jugados en el torneo Apertura 2009 van acompañados por el puntaje de los equipos en el Finalización 2008 y los partidos jugados en el Finalización 2009 por los puntajes del Apertura 2009. De esta forma se representa la jerarquía de los equipos al momento de iniciar el campeonato. Así Real Cartagena fue el equipo ascendido en 2009, cuando toma el lugar del Atlético Buca-ramanga, y se le otorgan los mismos puntos que el equipo en el último lugar del Finalización 2008 en sus muestras correspondientes al Apertura 2009. Esta información se encuentra consignada en las tablas 2 y 3.
A continuación, en la tabla 4 se presenta una clasificación de los equipos según una adaptación del sistema UEFA, donde se toman en cuenta los resultados de las últimas 5 ligas. Se suma el total de puntos alcanzados (asignando 3 a cada victoria y 1 a cada empate), se divide por el número de equipos participantes, lo cual permite alcanzar un indicador de calidad relativa. Posteriormente, se multiplica por el promedio de puntos alcanzados y se suman los cinco años.
En esta clasificación es necesario tener presente que algunos de los equipos que jugaron los torneos anteriores descendieron de categoría, mientras que en el torneo 2009 juega el recién ascendido Real Cartagena. Para manejar este problema, se asume que los equipos que recién ascienden suman en la puntuación general como aquel que haya alcanzado la mínima del correspondiente torneo. Los resultados de dicha categorización se encuentran consignados en la tabla 4.
5.2 Exploración de la información disponible
En la tabla 5 se practica un análisis de correlación exploratorio de todas las variables compiladas y organizadas en la base de datos, que permite apreciar ciertas relaciones esperables en el juego del fútbol y en el caso del torneo colombiano.
Como era de esperarse, el número de goles muestra una correlación positiva con la variable de puntos, los coeficientes para cinco años y la dummy de localía, así como con todas las jugadas ofensivas y defensivas incluidas en el modelo. La correlación entre los goles y los disparos es especialmente alta. Tampoco sorprende que la correlación de las victorias logradas por cada uno de los equipos establezca conexiones similares con cada una de esas variables.
La variable de puntos indica una correlación negativa con la variable dicotómica que representa al equipo que consigue la primera anotación en un juego, pero su correlación con las variables de disparo y de jugadas ofensivas así como las defensivas es positiva, aunque muy cercanas a cero; ello indicaría que en el campeonato colombiano las diferencias entre la calidad de los equipos no es muy significativa a la hora de determinar las magnitudes de los niveles de juego ofensivo y defensivo, lo mismo ocurre en el caso de la variable coeficientes. La correlación de coeficientes con la variable victoria es negativa, síntoma de la irregularidad del campeonato y la tendencia de los equipos a seguir estrategias "exitosas" con campañas mediocres.
La correlación entre la dummy de localía y la variable de puntos es positiva, al igual que la correlación de la primera con las variables que miden Xi y que, además de ser positivas, son considerablemente altas. Esto podría ser a causa de la presión y el empuje del público local, lo mismo que un producto de la tesis de profecía autocumplida de Pollard. Se encuentra también una correlación positiva y alta entre ser local y obtener una victoria. Hay que mencionar entonces que la interacción entre las fuerzas que representan alfa y beta en el modelo tiene de antemano un resultado ambiguo debido a esta situación.
De otra parte, el número de títulos muestra correlaciones negativas con las variables de goles, victorias y puntos. Esto puede ser producto de la nivelación de los equipos en el campeonato colombiano y el fin de la estratificación histórica entre estos, lo que descarta la cercanía del parámetro alfa (sospecha que será confirmada en el análisis de la siguiente sección). Utilizando el argot futbolístico, "la camiseta ya no gana partidos". Sin embargo, sus correlaciones con las variables de juego ofensivo son positivas aunque bajas, quizá como un efecto de la necesidad de estos equipos de proponer juego ofensivo debido a las presiones ejercidas por la hinchada a causa de su historia y tradición.
6. ANÁLISIS ECONOMÉTRICO DE LA INFORMACIÓN DISPONIBLE
En la presente sección se aproximan los resultados del torneo colombiano, teniendo en cuenta que la variable dependiente es goles, ya que representa el resultado del esfuerzo ofensivo propuesto en el modelo Correia-Machado.
Para el análisis econométrico del modelo tomamos el número de goles anotados como la variable dependiente, ya que representa el resultado del esfuerzo ofensivo propuesto en el modelo Correia-Machado. Esta variable posee una media igual a 1.24, que puede ser discriminada entre locales y visitantes donde la media local es igual a 1,53 y la media visitante, igual a 0,96.
En la representación del parámetro a están incluidas las posibles variables puntos o coeficientes, ya explicadas. El valor que acompaña a cada equipo en el caso de los puntos varía dependiendo a cuál de los dos torneos (Apertura o Finalización) pertenece la observación. Es de esperar, según la teoría expuesta, que el efecto de esta variable sobre los disparos, y a través de estos sobre los goles, sea positivo.
En representación del parámetro ¡ está la variable dummyl, variable dicotómica que toma el valor de 1 cuando el equipo juega de local y 0 cuando el equipo es visitante. Se espera que su efecto sobre la variable dependiente sea positivo. Se ha agregado, además, una variable que controla a la anterior: dummy_falso_local que representa los juegos entre equipos que comparten estadio, pues en sentido estricto no existe la localía.
Para los valores representativos de X. se obtuvieron variables como disparos, es decir, son los que realiza cada equipo, incluyendo los disparos al arco: bien los que terminan en gol, o bien los que los arqueros logran detener; esquinas, los tiros de esquinas son otorgados a cada equipo, pero son una medida ambigua ya que resultan de la vocación ofensiva del que lo obtiene y de la buena defensa del que los sufre; y flugars, los fuera de lugar sufridos por cada equipo, y que son una variable con una naturaleza similar a la de la variable esquinas.
Se practicaron dos conjuntos de estimaciones; en el primer conjunto se utilizan regresiones lineales para confirmar las relaciones esperables entre las variables, mientras que el segundo conjunto de estimaciones en sistema (según el marco conceptual descrito) a causa de que la localía y la calidad estimulan el juego ofensivo, le corresponde a este último traducirse en goles anotados.
Esta especificación en sistema se puede resumir de la siguiente manera, con los correspondientes signos esperados:

Los resultados de diferentes especificaciones econométri-cas para las variables investigadas se representan en la tabla 6; los primeros 8 modelos son especificaciones en sistema, mientras que del modelo 9 al 18 son regresiones lineales.
El efecto de la variable disparos siempre es positivo y significativo sin importar las variables incluidas al correr cada especificación de la regresión. Al mismo tiempo el efecto de las variables esquinas y flugars nunca es positivo, lo que indicaría que es un acierto no considerarlas como variables representativas del juego ofensivo, y proponer a los disparos como dependiente en los modelos 1 al 8 (ver tabla 6).
Flugars no fue significativo en ninguna de las regresiones y sus errores estándar fueron siempre mayores a sus coeficientes.
Las regresiones muestran un efecto positivo de la variable dummyl sobre la variable dependiente, incluso en varias de las especificaciones lineales, y también cuando soporta el control ejercido por la variable para dummy_falso_local, la cual asimismo tiene un efecto positivo, pero es significativa solo si está acompañada de dummyl.
La variable puntos, nunca es significativa en las especificaciones en sistema, aunque lo es en las especificaciones lineales. Esto da a entender que las diferencias de calidad en el fútbol colombiano, entendidas como el mejor desempeño esperable de los equipos que alcanzan mejores resultados en el torneo inmediatamente anterior, son mínimas o inexistentes razón por la cual llevan a un campeonato sumamente parejo en que los resultados son determinados por otros factores6.
La variable coeficientes logra un mejor ajuste en los sistemas en donde se le emplea, y aun cuando incluso supera el control ejercido por puntos, no es determinante en las regresiones lineales. Por ello desde el punto de vista de los autores no se descarta necesariamente como representante de aunque el hecho de que la localía sí tenga el impacto esperado en la gran mayoría de especificaciones, tanto en sistema como lineales, lleva a pensar que en efecto las calidades de los equipos no determinan en mayor medida sus resultados.
El modelo número 3 podría ser considerado un benchmark del análisis propuesto, ya que es un sistema que incluye todas las variables tipo X,, una buena variable para el tipo ¡, y la correspondiente al tipo a con su respectivamente control por falsa localía.
En resumen, las variables ejercen las influencias esperadas, y aunque en sentido estricto no se han diseñado un ejercicio que permita detectar la importancia relativa entre a y ¡, la verosimilitud de la relación entre los goles y la localía es mayor que la de las calidades cuando se tienen en cuenta los problemas de los coeficientes en las regresiones lineales.
También puede ser que la variable coeficientes solo se relaciona con los goles a través de su influencia sobre los disparos (la estrategia ofensiva), tal y como lo establece la teoría descrita en el artículo, mientras que de esta forma dummyl tiene un efecto tanto indirecto como directo a través de variables omitidas en este análisis, entre los que se encuentran las decisiones arbitrales.
Con la intención de detectar dicha particularidad, en el modelo 7 de la tabla 6 se presenta una reinterpretación del modelo 3, en la cual se utilizan las dos dummies de localía (de manera que se controlen mutuamente) tanto en la ecuación para los disparos como en la ecuación para los goles; en ambos casos es significativa y positiva la dummy de localía, aunque la bondad de ajuste general del ejercicio no se incrementa demasiado.
Los problemas de endogeneidad inherentes a tal elección de la especificación son reconocidos por los autores, pero el modelo 7 se pone a disposición del lector para ilustrar que las otras eventualidades de juego relativas a la localía, en particular las relacionadas con las decisiones arbitrales y de las cuales desafortunadamente no se logró la construcción de indicadores, no aportarían un mayor grado de ajuste al ejercicio.
Otra reinterpretación en la intención de capturar el hecho de que la localía realmente ejerce influencia sobre otras características del juego y no en la decisión al ataque medida por la variable de disparos, se presenta en el modelo 8, donde las dumm es de localía se encuentran solo en la ecuación para los goles y no en la de disparos. Este modelo asemeja los resultados del modelo 7 sin incrementar en mayor medida la bondad de ajuste del modelo general; entonces, se considera conveniente el mantener dichas variables en la ecuación para los disparos de la especificación 3, tal como lo sugiere el marco conceptual.
7. CONCLUSIONES
El fútbol colombiano no es ajeno al efecto de ventaja de campo encontrado en todas las ligas deportivas del mundo. La influencia de la localía en el desempeño de un equipo durante el transcurso de un juego es enorme y sin duda alguna el escenario de un partido es una parte importante del proceso de toma de decisiones tácticas de los equipos participantes. La ventaja de campo si bien ejerce influencia a través del público, aumenta la familiaridad con el terreno de juego y la presión ejercida sobre los jueces; asimismo tiene un efecto sobre las decisiones de juego ofensivo y defensivo de los equipos que apoya la teoría de profecía autocumplida de Pollard (1986).
La investigación también encuentra que el nivel de juego ofensivo tiene una gran trascendencia para lograr la anotación de un gol, pero este se encuentra más correlacionado con el hecho de ser o no local que con la calidad relativa entre los equipos rivales. La calidad relativa incide pero sus variables asociadas cambian de signo y pierden significancia en cada especificación; esto no ocurre con la variable dummy que representa la localía. De allí surge la duda acerca del poder de este factor para predecir los goles anotados por los equipos, a diferencia de los casos observados en Portugal e Inglaterra.
El comportamiento de puntos es un indicador de lo pequeñas que son las diferencias en la calidad de los equipos que participan en el torneo colombiano. En Colombia no es posible separar a los equipos en niveles, tal y como hicieron Correia y Machado (1999) con los equipos portugueses, ya que las diferencias de presupuesto no se hacen notar en un campeonato tan corto con un sistema de juego que premia a los equipos ordinarios y no a los extraordinarios como sí lo hace un sistema de liga pura.
Lo anterior lleva a que factores como la ventaja de campo tomen una trascendencia decisiva en los juegos del Fútbol Profesional Colombiano, y a la consiguiente conformación no oficial de "fortalezas de calendario", ya que con la notable excepción de la pareja de clásicos regionales, todos los equipos juegan solo una vez con los otros equipos por torneo, por lo cual la localía de estos compromisos es determinada por sorteo. Todo esto sugiere que un campeonato largo, de ida y vuelta, antes de definir a los equipos semifinalistas sería más justo y daría una indicación más clara de los equipos que merecerían llegar a las instancias definitivas del torneo.
El nivel de los R2 para todas las regresiones es bajo. Esto indica que las variables incluidas no explican conjuntamente los comportamientos teóricos estudiados. Sería recomendable avanzar en el futuro con investigaciones que abarquen un mayor número de campeonatos, incluso aquellos en los que se jugaba con el sistema de torneo largo para realizar la correspondiente comparación en los resultados. Se requieren más partidos y más variables de juego, y si es posible la inclusión de variables que para esta investigación no estuvieron disponibles como son los datos de asistencia a los estadios, decisiones arbitrales y otras que pueden llegar a ser relevantes, por ejemplo, el valor en el mercado de los jugadores, la altura sobre el nivel del mar de las sedes, etc.
De todas maneras, hasta donde han podido constatar los autores, el tema de la economía del deporte en Colombia es casi inexistente, y mucho más si se enfatiza en las características in game. De allí que la presente investigación tenga un carácter exploratorio, y a pesar del énfasis en el análisis de proposiciones teóricas, se aspira también a abrir inmediatamente un diálogo aplicado sobre el tema.
1 Una introducción al tema se puede consultar en Monsalve y Arévalo (2005).
2 Básicamente se trata de una condición neoclásica de rendimientos marginales decrecientes para cada uno de los dos jugadores.
3 En la siguiente sección se explica qué indicadores se utilizan como proxies de la calidad a.
4 Es necesario tener presente que con objeto de practicar un análisis empírico de la información fue necesario buscar y digitar los datos para cada uno de los partidos en forma individual, y proceder después a homogeneizar la información disponible en una base de datos de 196 registros y 16 variables.
5 Como se verá más adelante, la variable dummy de gran equipo va a ser descartada del ejercicio econométrico a favor de los puntos y los coeficientes de cinco años.
6 Vale la pena mencionar que la variable títulos nunca logró participar de mejor manera en el ejercicio, y alcanzó incluso parámetros negativos.
Referencias
Austin, S. (2006, Sept. 29). Remembering Bill Shankly. Extraído desde http://news.bbc.co.uk/go/pr/fr/-/sport2/hi/football/teams/l/liverpool/5381414.stm [ Links ]
Boyd, D., & Boyd, L. (1998). The Home Field Advantage: Implications for the Pricing ofTickets to Professional Team Sporting Events. Journal of Economics and Finance, 22, 169-179. [ Links ]
Carmichael, F., & Thomas, D. (2005). Home Field-Effect and Team Performance: Evidence From English Premiership Football. Journal of Sports Economics, 6, 264-281. [ Links ]
Carmichael, F., Thomas, D., & Ward, R. (2001). Production and Efficiency in Association Football. Journal of Sports Economics, 2, 228-243. [ Links ]
Clarke, S., & Norman, J. (1995). Home Ground Advantage of Individual Clubs in English Soccer. Statistician, 44, 509-521. [ Links ]
Correia, J., & Machado, F. (2002). Changing rewards in contests: Has the three-point rule brought more offense to soccer? Empirical Economics, 27, 607-630. [ Links ]
ESPN Deportes / Colombia. www.espndportes.com [ Links ]
Monsalve, S. & J. Arévalo. (2005). Un curso de teoría de juegos clásica. Bogotá: Universidad Externado de Colombia. [ Links ]
Nevill, A., Newell, S., & Gale, S. (1996). Factors Associated with Home Advantage in English and Scottish Soccer Matches. Journal of Sports Science, 14, 181-186. [ Links ]
Pollard, R. (1986). Home Advantage in Soccer: A Retrospective Analysis. Journal of Sports Science, 4, 237-248. [ Links ]
Sekin, A. (2006). Home Advantage in Association Football: Evidence from Turkish Super League. Trabajo presentado en la Ecomod Conference, Honk Kong. [ Links ]
Schwartz, B., & Barsky, S. (1977). The Home Advantage. Social Forces,55, 641-661 [ Links ]
Stefani, R., & Clarke, S. (1992). Predictions and Home Advantage for Australian Rules Football. Applied Statistics, 19, 251-261. [ Links ]
















