Services on Demand
Journal
Article
Indicators
-
Cited by SciELO -
Access statistics
Related links
-
Cited by Google -
Similars in
SciELO -
Similars in Google
Share
Revista de Economía del Caribe
Print version ISSN 2011-2106
rev. econ. Caribe no.15 Barranquilla Jan./June 2015
Propuesta de un sistema de equilibrio general
clásico de los precios con capital circulante
susceptible de ofrecer diversas calidades*
A PROPOSAL OF A GENERAL CLASSIC EQUILIBRIUM
OF PRICES WITH CIRCULATING CAPITAL
SUBJECT TO OFFER DIFFERENT QUALITIES
Iván A. Montoya Restrepo**
Luz Alexandra Montoya Restrepo***
* Este artículo de reflexión hace parte de los productos generados por el grupo de investigación Modelamiento y Análisis Energía Ambiente Economía. Este artículo rinde homenaje a los aportes del profesor Homero Cuevas, (QEPD).
** Profesor Asociado, Facultad de Minas, Universidad Nacional de Colombia -Sede Medellín. Colombia. Administrador de empresas. Magíster en Administración, Doctor en Ciencias Económicas, Universidad Nacional de Colombia, Sede Bogotá. Miembro del Grupo de investigación en Mercadeo, Innovación y Competitividad en Gestión Agropecuaria MILAGRO. iamontoyar@unal.edu.co
Dirección: Carrera 80 No 65-223 - Núcleo Robledo, Teléfono: 4255000.
*** Profesora Asociada, Facultad de Minas, Universidad Nacional de Colombia - Sede Medellín. Colombia. Administrador de empresas. Magíster en Administración, Doctora en Ciencias Económicas, Universidad Nacional de Colombia - Sede Bogotá. Miembro del Grupo de investigación en Mercadeo, Innovación y Competitividad en Gestión Agropecuaria MILAGRO. lamontoyar@unal.edu.co
Dirección: Carrera 80 No 65-223 - Núcleo Robledo, Teléfono: 4255000.
Fecha de recepción: febrero de 2015
Fecha de aceptación: mayo de 2015
RESUMEN
Este artículo busca hacer una contribución para proponer un sistema de equilibrio general clásico de los precios con capital circulante susceptible de ofrecer diversas calidades, mediante la inclusión de probabilidades para que los insumos puedan entrar de manera efectiva para la elaboración de los productos. Tiene como antecedentes las aportaciones de Sraffa (I960), Cuevas (2001) y Montoya y Montoya (2005; 2007). El documento retoma las principales aportaciones hechas respecto a un sistema como el propuesto; posteriormente, busca introducir en el análisis el problema de la consideración de las calidades, inspirándose en las funciones de utilidad de Von Neumann- Morgenstern empleadas eneconomía de la información y, finalmente, presenta una propuesta y enuncia brevemente las principales implicaciones de la misma.
Palabras clave: Economía clásica, capital circulante, formación de precios.
Clasificación jel: A1, B4, E3
ABSTRACT
This paper seeks to suggest a contribution to propose a classical general equilibrium system of prices with circulating capital to be expected to offer different qualities, by including probabilities for the inputs can come effectively to the development of products. Its background contributions came from Sraffa's contribution (I960), Cuevas (2001), Montoya and Montoya (2005), and Montoya and Montoya (2007). The paper resumes the main contributions leading to a system like the one proposed, then seeks to introduce in the analysis the problem of considering the qualities, inspired by Von Neumann- Morgenstern's utility function used in information economics, and finally insinuates a proposal and sets out briefly the main implications of the same.
Keyword: classical economics, circulating capital, price formation.
Jel Codes: A1, B4, E3
1. LAS APORTACIONES CONDUCENTES A UN SISTEMA DE EQUILIBRIO GENERAL CLÁSICO DE LOS PRECIOS
Los sistemas de mercado operan como un conjunto de instituciones que permiten orientar la asignación de actividades productivas. Desde la concepción liberal hedonista, propuesta a partir del enfoque original económico clásico, lo que encamina a cada individuo a su actividad es el móvil de la ganancia mediante una pretensión personal, y a la final esto es lo que hace que la sociedad alcance mayores niveles de bienestar como un todo (Smith, 1776) . De acuerdo con Heilbroner, la evolución del sistema de mercado fue promovida por el cambio en la concepción del ánimo de lucro, el crecimiento del interés por la ciencia y la institucionalización de la idea del cambio como elemento esencial de la sociedad humana (Heilbroner, 1953).
Este sistema de mercado ha sido modelado de acuerdo con diferentes categorías, clases o tipos de agentes (consumidor-productor, trabajador-empresario, familias-empresas, por ejemplo), quienes confrontan sus intereses individuales de lucro, lo cual se traduce en ajustes de ciertos precios y cantidades (Montoya & Montoya, 2005). En particular ha sido de interés la consideración del trabajo como una mercancía y los efectos de un aumento en la tasa de salarios, lo cual fue una de las preocupaciones centrales de los economistas clásicos.
Un aumento en la tasa de salarios suele tener una interpretación en cuanto a que genera efectos inflacionarios. David Ricardo estudió el impacto de un aumento de los salarios en los precios al descomponer en dos partes su análisis: por un lado, aquellos efectos generados por la variación en el valor del dinero, y en otro sentido se recogen los demás impactos. Este primer aspecto originó la reflexión sobre el problema de encontrar una medida de valor invariable, ya intuida por Ricardo —el autor pensaba que era posible aislar los impactos de la tasa de salarios en los precios generados por la variación en el valor del dinero (Ricardo, 1821) — y que en Marx se va a orientar hacia el concepto de composición orgánica del capital de una mercancía igual a la media, cuya variación en el precio fuera nula, así como en la consecuente teoría del valor-trabajo.
Tanto Ricardo como Marx observaron que un aumento en los salarios incidía con mayor impacto en las actividades intensivas en trabajo, es decir, en aquellas con una relación capital/ trabajo menor. Para ello, supusieron una tasa de salarios homogénea y ciertas condiciones para lograr un equilibrio competitivo clásico (que acoge los supuestos de información adecuada, racionalidad maximizadora y libre fluidez en la asignación de los recursos), para lograr una tasa de beneficios homogénea, con precios no relativos, medidos en las mismas unidades que el valor agregado y donde los precios actúan como ingresos para los agentes. Estos desarrollos teóricos fueron de gran importancia para poder avanzar en la formulación de un modelo de equilibrio clásico, esfuerzo que fue realizado de manera original por Piero Sraffa.
Un modelo clásico para la determinación de los precios en equilibrio general, recoge información necesaria sobre la forma de realizar procesos y actividades dispuestas para la elaboración de productos, para establecer —en interrelaciones complejas—, algunas orientaciones sobre los precios. Por su parte, hacen énfasis en la elección de la(s) industria(s) o producto(s) hacia donde se dirigirá la inversión (Cuevas, 2001, citado en Montoya & Montoya, 2005).
En un modelo clásico para la determinación de los precios, de equilibrio general, suele suponerse que los precios actúan como mecanismos de ingreso para los agentes en una economía. Esta afirmación equivale a suponer una teoría de valor trabajo, en la que los precios se encuentran medidos en una supuesta unidad de valor invariable, el trabajo, el cual constituye el valor agregado de una economía (Smith, 1776) (Cuevas, 2001). En el marco de un modelo de insumo producto, de equilibrio clásico competitivo, en el cual se asumen comportamientos de racionalidad maximizadora individual, información adecuada y fluidez en la asignación de recursos, tal como el propuesto por el autor (con capital variable y sin depreciación, en el cual todos los bienes son reproducibles por el sistema, con un salario equivalente a la mera remuneración al trabajo y pagadopostfactum), es posible encontrarse con una situación de tasa de beneficio homogénea, al ponerse en operación los mecanismos iterativos y compensadores del enfoque competitivo supuesto (Sraffa, 1960, citado en Montoya & Montoya, 2005). El modelo de Sraffa introduce la recurrencia, al considerar la posibilidad de la producción de mercancías por medio de mercancías, y se encamina a encontrar una mercancía de precio invariante o "patrón", tal como lo consideraron David Ricardo y Marx.
Tal como se afirma en Montoya y Montoya (2005), y explicando los aportes de Sraffa (1960), la mercancía compuesta "patrón", buscada por Sraffa, tiene como virtud su pretensión de mantener el capital invariante, con lo cual resulta posible identificar que la tasa de beneficio y los salarios tienen una variación aparejada, en relación inversa, si el capital permanece invariante (Sraffa, 1960). Así, la relación entre las variables opera mediante mecanismos de precios en actividades intensivas integradas o recurrentes en capital o trabajo (del proceso en estudio y de las actividades insumo del proceso considerado). Este desenlace es similar a la propuesta de la escuela neoclásica al orientarse a la elección de un numerario arbitrario (Hahn, 1982) y una tecnología ficticia de "una firma representativa", con lo cual se termina por suponer que el capital es independiente de la distribución y los precios.
También señalan Montoya y Montoya (2005), que uno de los aportes importantes de Piero Sraffa consiste en figurarse un modelo insumo producto con recurrencia, con lo cual pueden construirse modelos para la producción de múltiples bienes, a partir de múltiples actividades, de manera matricial, así como incluir temas de relevancia, como el grado de monopolio, las rentas diferenciales o el capital humano, como acertadamente ha sido desarrollado por Cuevas (2001), quien obtuvo conclusiones significativas sobre estos aspectos.
El sistema propuesto por Sraffa es el siguiente, en la versión presentada y complementada por Cuevas (2001):
Con equilibrio competitivo g ni es la tasa de beneficio media.
La propuesta del modelo de Sraffa considera que las mercancías de manera recurrente contribuyen a la fabricación de mercancías y se asume que entran como insumos de alguna manera para la elaboración del producto. En Montoya y Montoya (2005) se analiza el desaprovechamiento del producto empleando el marco conceptual extendido por Cuevas (2001); sin embargo, no se menciona en los modelos propuestos sobre diferencias de calidades en el capital circulante.
Este documento busca elaborar una contribución a la comprensión de la introducción de las diferencias de calidades en el capital circulante, mediante la incorporación de algunas novedades en el sistema, que provienen de la comprensión de las asimetrías informacionales, al asumir que los insumos del capital circulante tienen la probabilidad de cumplir con lo que se espera de ellos para la elaboración del producto (lo que representa la buena calidad), y que, adicionalmente, es posible constituir un contrato de seguro que ofrezca cobertura frente a la posibilidad de que el insumo no sea idóneo para la elaboración de productos (cobertura frente a la mala calidad). En tal sentido, el documento busca extender las posibilidades que tiene el equilibrio general clásico de los precios propuesto por Sraffa, mediante el empleo de una función de utilidad del tipo Von Neumann- Morgenstern (empleada en economía de la información). El uso que se propone de esta función de utilidad es para mostrar qué insumos pueden tener una probabilidad de ser exitosamente incluidos en cada proceso del tipo insumo-producto, o que puede cada proceso estar expuesto a insumos de baja calidad. De allí que se pretende introducir este tipo de función en un análisis clásico de los precios, toda vez que es un instrumento matemático que se considera aplicable para el problema de contribuir a apreciar calidades en el análisis sraffiano, aclarando que, si bien se emplea este tipo de función que es útil en el enfoque neoclásico, no se encuentra este análisis en esta corriente de pensamiento, sino en la de la economía clásica "en renovación".
2. CONSIDERACIONES ONTÓLOGICAS Y EPISTEMOLÓGICAS
En virtud de esta aproximación, la pretensión ontológica es introducir el problema de las calidades a partir de incluir probabilidades de incorporación de los insumos en los procesos, en el sistema insumo-producto ideado por Sraffa. A nivel epistemológico, no se advierte que la inclusión de este tipo de función implique, forzosamente, aludir al individualismo metodológico, sino más bien se considera que es empleable en tanto discute la probabilidad de un insumo de poder ser exitoso, bajo cierta probabilidad, para entrar como tal en la elaboración de un producto, en cada fila (proceso), del modelo sraffia-no. Así, la intención clásica y en particular sraffiana de presentar de manera realista la elaboración de mercancías a través de mercancías, con un sistema más complejo, no se propone que se vea afectada por la introducción de este tipo de herramienta matemática.
La siguiente sección expone la manera como se pueden modelar asimetrías informacionales mediante contratos de seguros y el uso de la función von Neumann-Morgenstern, y esta aplicación resultará útil para los propósitos de extender el análisis de equilibrio "clásico" de los precios.
3. HACIA LAS DIFERENCIAS DE CALIDAD: EL PROBLEMA PROBABILÍSTICO MEDIANTE LA ASIMETRÍA INFORMACIONAL
En la economía neoclásica, y siguiendo a Stiglitz, la eficiencia de la información de las economías de mercado se enfoca principalmente al problema de la escasez de información. El autor menciona que existen problemas de información relacionados con precios y calidades de objetos y/o procesos en el mercado, de las calidades y esfuerzos de los trabajadores que se deben contratar o de los retornos en los proyectos de inversión. Esta consideración de Stiglitz suele resolverse al suponer información perfecta información en la búsqueda del equilibrio general neoclásico y las consecuentes suposiciones de convexidad y continuidad para que pueda probarse la existencia del equilibrio originado por un vector de precios (Stiglitz, 2001). El autor, incluso, sugiere que existe una no concavidad fundamental en el valor de la información que implica que no puede pagarse por cantidades infinitesimales adicionales de información (Stiglitz, 2001).
De acuerdo con Montoya y Montoya (2007), la economía de la información ha venido ganando en importancia desde hace ya algunos años en la teoría económica, especialmente en los modelos de principal agente, riesgo moral y selección adversa. Señalan los autores que Macdonald (1984), citado en Montoya y Montoya (2007), argumenta en este sentido y propone un esquema de análisis de los aportes en la temática, resaltando cómo los modelos han pasado de modelos de un único agente para un único periodo general y las restricciones requeridas, hasta modelaciones con más de un agente y/o múltiples periodos.
Según Spence (2001), el campo se sitúa en un esfuerzo orientado a capturar los aspectos informacionales de la estructura de mercado, para estudiar las formas en las cuales los mercados se adaptan, y las consecuencias de la falta de información para el desempeño de los mercados.
Riley (2001) señala que el primer modelo formal fue sugerido por Akerlof (1970), sobre información asimétrica en los equilibrios de mercado, explicada mediante el caso de venta de vehículos usados. Allí, los propietarios que desean vender sus vehículos usados en buen estado optarán por segregarse y estar por fuera del mercado, de forma que solo serían comercializados los peores carros, dado que el mercado ofrece precios bajos que solamente convienen a los vendedores de carros en las peores condiciones. Al existir asimetrías informacionales sobre la calidad de los carros, se ofrece un contrato que no diferencia entre las calidades, lo que conduce a equilibrios inestables (Stiglitz, 2001).
Riley (2001) elabora el problema informacional de la selección adversa con un modelo de seguros. Un contrato de seguro X=(r,m) es un compromiso ofrecido por el asegurador en el cual en retorno por recibir un premio m, proporcionaría una cobertura r en el evento de una pérdida L. Si se considera una probabilidad de pérdida para cada individuo Pt y unas dotaciones iniciales de riqueza W, es posible construir una función de utilidad estrictamente cóncava del tipo von Neumann-Morgenstern (Riley, 2001, citado en Montoya & Montoya, 2007):
De la función de utilidad anterior es posible construir curvas de indiferencia y señalizar el área de beneficios rentables para la empresa de seguros n, tal como se aprecia en la siguiente gráfica.

Montoya y Montoya (2007) proponen un proceso de chantaje empleando el marco que ofrece la selección adversa, en el cual uno de los agentes posee interés en adquirir (o preservar) un beneficio (agente 1) que el otro agente (agente 2) está en capacidad de suministrarle, de manera que, además de la cesión de derechos de propiedad en las transacciones que realizan los agentes, se desarrolla otro tipo de transacción, que corresponde a la situación de chantaje. Esta novedosa transacción posee como particularidad que, en la medida que el interés de uno de los agentes se acrecienta o puede ser acrecentado, a partir de comportamientos de su contraparte, este primer agente (o agente 1) tiene un estímulo a ofrecer un pago (en unidades monetarias o en especie) con el cual "compra" la posibilidad de adquirir o preservar un beneficio (como opción financiera). El agente 2, quien ostenta la posibilidad de otorgar el goce del beneficio, por origen deliberado o emergente, puede considerar razonable el pago y mantener en cierto nivel de incertidumbre al agente 1, para así perpetuar periodo a periodo el valor del pago que ofrece el agente 1. Esta sería la condición para un equilibrio estable. La consideración de pago razonable puede no corresponder a racionalidad maximizadora en el agente 2 (en el corto plazo, el agente 2 puede conseguir pagos mayores). Con el fin de ampliar el pago que puede recibir, tiene motivación para aumentar en cada periodo, y de periodo a periodo, el nivel de incertidumbre de recibir el beneficio por el cual tiene expectativas el agente 1. Así, podrá el agente 2 procurarse un mayor pago y esfuerzo por parte del agente 1. Este mecanismo hace que el agente 1 perciba un incremento en el riesgo de recibir o preservar el beneficio, pues siente amenazada su posibilidad y se orienta a realizar un mayor pago, bien con indicación del agente 2, o sin ella, con el cual no solamente compra la opción, sino que paga también el incremento del riesgo, comprando una porción apreciada artificialmente en mayor valor por el agente 2 (beneficio artificial). El agente 1 podría decidir retirarse al valorar el costo que ahora ofrece el beneficio, pero también puede decidir continuar asumiendo el costo, pues piensa que estaría perdiendo todo el esfuerzo acumulado que ha empeñado para adquirir la opción que le interesa (Montoya & Montoya, 2007).
En esta propuesta, puede llegar el punto en el cual el valor del pago excede la disponibilidad en dotaciones iniciales que el agente 1 tiene para pagar la opción. Es decir, se ha dado una situación de agotamiento del presupuesto. El agente 2 desarrolla una posición monopolística o de privilegio como proveedor único del beneficio para el agente 1. Si el agente 2 posee información suficiente sobre la posibilidad precaria para pagar del agente 1, así el último tenga disponibilidad para hacerlo, la consecuencia de ello conduce a una modificación de contrato. También, si el agente 1 no puede pagar, existen motivos para realizar una modificación de contrato (Montoya & Montoya, 2007).
Para su modelamiento, los autores presentan una función de utilidad von Neumann-Morgenstern para el agente 1. Es necesario aclarar que esta función representa la transacción adicional asociada a la cesión de derechos de propiedad propia de la negociación básica. Esta negociación básica, salario por trabajo, ingreso por cosecha, etcétera, se supondrá por razones explicativas de tal naturaleza que intercambia la remuneración al factor con el equivalente exacto a su productividad marginal.

El anterior análisis de contrato de seguro podría buscar incluirse en el sistema de equilibrio general clásico de los precios, para poder discernir sobre implicaciones teóricas al considerar divergencias en calidades. La sección siguiente busca contribuir en este esfuerzo.
4. PROPUESTA DE UN SISTEMA DE EQUILIBRIO GENRAL CLÁSICO DE LOS PRECIOS CON CAPITAL CIRCULANTE SUSCEPTIBLE DE OFRECER DIVERSAS CALIDADES
En el marco del equilibrio general clásico de los precios sraffiano, y con respecto a la problemática de la economía de la información ya expuesta, es interesante apreciarla como campo aplicativo del instrumento matemático que es la función de utilidad de Von NeumannMorgenstern; este último instrumento podría llevarse al campo de los análisis de los sistemas insumo-producto de la economía clásica sraffiana y así considerar el problema que los insumos puedan o no resultar exitosos para entrar como tales, de buena calidad, en la elaboración de los productos, y de esta manera es como entrarían los problemas de calidad en la concepción del capital circulante. En el modelo Insumo-Producto de los precios en equilibrio general, los bienes producidos entran como insumos. Dentro del modelo inicial, toda actividad receptora de precios y consumidora de trabajo contribuye a la producción de valor agregado.
A continuación se precisa un sistema propuesto para la elaboración de cada producto.
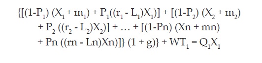
Sistema propuesto para la elaboración de cada producto X1: [1]
En esta propuesta se tiene lo siguiente:

Una vez propuesto el sistema de combinación de insumos para la elaboración del producto X1, es importante realizar las siguientes consideraciones
- Existen dos tipos de mercancías frente a la calidad, algunas que son de naturaleza, digamos "dicotómica", y otras que tienen variaciones incrementales en la calidad.
- Dependiendo de las probabilidades P1, P2, se pueden agregar para multiplicar cantidades del mismo producto por precio. Esto es lo que se muestra en el Sistema propuesto [2].
- Sobre los aspectos que inciden en las probabilidades, es posible pensar que la probabilidad de exponerse a la mala calidad puede ser evadible o no evadible. Una teoría de probabilidades "manejables" o de factores que permiten incidir sobre las probabilidades constituirían una teoría del know how y una forma de medición. Por su parte, si las probabilidades no reciben factores para poder incidir en ellas, sería necesario considerar una teoría de incentivos sobre el control de las calidades.
Al considerar que la calidad es homogénea entre el mismo insumo, valga decir, que podría suponerse de manera plausible que cada insumo proviene del mismo proceso y variabilidad, de manera que una unidad del insumo puede exhibir las mismas condiciones de calidad que otra unidad del mismo insumo, es posible multiplicar por un escalar las cantidades de cada insumo y así configurar los insumos que constituyen el capital circulante, para efectos de construir un sistema de equilibrio general. Al realizar esta suposición, puede expresarse de la siguiente manera un sistema de equilibrio general clásico de los precios para la elaboración de n productos con diferencias en calidades: Sistema propuesto para la elaboración de n productos con cantidades homogenizables A de cada insumo: [2]
Algunas implicaciones pueden desprenderse de considerar un sistema como el propuesto, entre ellas las siguientes:
Insumos con baja calidad que entran en la producción de bienes implican importantes sobrecostos. La generación de estos sobrecostos puede representar un negocio que puede prestarse para la especulación, en la medida en que se subestimen o se pretenda timar a un realizador de un proceso, engañando con una supuesta o pretendida calidad, y que ocasione pérdidas muy sustantivas que haga que la especulación sea notoriamente rentable.
Sobre los aspectos que inciden en las probabilidades, se procura en la propuesta mostrar que es posible pensar que la probabilidad de exponerse a la mala calidad puede ser evadible o no evadible. Tal como se afirmó anteriormente, una teoría de probabilidades "manejables" o de factores que permiten incidir sobre las probabilidades constituirían una teoría del know how y una forma de medición, en tanto un realizador de un proceso es capaz de lograr "evadir" los sobrecostos de la mala calidad y, de igual manera, puede encontrarse que primas bajas o premios para lograr cobertura pueden hacer rentable o no el desarrollo del proceso. Un realizador competitivo podría imponer barreras a la entrada para otros competidores que evitaran la libre fluidez en la asignación de recursos y el conocimiento o know how de conocer cómo evadir la mala calidad; aunque se reconoce tradicionalmente como una medida de capital intangible, puede ser considerada como lo que se gana en el proceso el realizador por lograr una producción de bienes al evadir la baja calidad. Si las probabilidades no se ven influenciadas por algunos factores que incidan en ellas, podría considerarse una teoría de incentivos sobre el control de las calidades.
La inclusión del análisis con calidades, de la manera que se propone en el presente documento, muestra que el costo de la mala calidad, pretendida como "buena", y la falta de regulación sobre este tema, se presta para elevados niveles de negocios especulativos que requerirían incentivos de regulación para favorecer el desarrollo de proceso competitivos. La mala calidad puede influir en generar unos beneficios extraordinarios en aquellos que ostentan "buena calidad". Esto implica que, al fijarse los precios en el equilibrio general con insumos de mala calidad, y por ende, con procesos menos eficientes, se observaría que los procesos con buena calidad reciben rentas extraordinarias diferenciales relacionadas con su buena calidad. Esto muestra la presencia de rentas ricardianas en la elaboración de productos y en la conformación misma del capital circulante. Así las cosas, la generación de una tasa de beneficio homogénea en el sistema, en la práctica se ve influenciada por las rentas extraordinarias que algunos procesos pueden recibir. Por otra parte, las diferencias en calidad pueden generar distorsiones que impliquen problemas de medición en la intensidad del capital en un sistema objeto de evaluación.
En otro aspecto de análisis, si un agente tiene posibilidad de incidir en las probabilidades de buena calidad de otros, por ser un agente monopolístico en proveer el insumo, o en ofrecer la cobertura frente a esa "mala calidad", puede acontecer que se llegue a la situación en la cual el valor del pago de las primas exceda la disponibilidad en dotaciones para pagar, lo cual condicionaría un cambio de contrato que pueda implicar la subordinación de un agente a otro, lo cual incidiría en las libertades económicas individuales preconizadas por el liberalismo de la Economía clásica.
Finalmente, vale la pena señalar que una propuesta de modelo extendida como la que se sugiere, permite enriquecer el análisis del equilibrio general de los precios en su versión clásica y advertir sobre las asimetrías o afectaciones que aspectos como la calidad de un proceso pueden hacer en la formación de los precios de manera sistémica.
5. CONCLUSIONES
Este documento busca hacer una contribución para proponer un sistema de equilibrio general clásico de los precios con capital circulante susceptible de ofrecer diversas calidades, mediante la inclusión de probabilidades para que los insumos puedan entrar de manera efectiva para la elaboración de los productos. Este análisis es un primer aporte en este sentido y ofrece novedosos aspectos de análisis que afectan el equilibrio general de un sistema económico, puesto que las calidades en los insumos afectan o demeritan la posibilidad de un proceso para desempeñarse como uno competitivo.
REFERENCIAS
Akerlof, G. A. (1970). The market for "Lemons": Quality Uncertainty and the Market mechanism. The Quarterly Journal of Economics, 84(3). Aug., 488-500. [ Links ]
Cuevas, H. (2001). Economía clásica en renovación. Bogotá: Universidad Nacional, FCE. [ Links ]
Hahn, F. (1982). The Neo-Ricardians. En: Cambridge Journal of Economics, 6. Academic Press, Londres. [ Links ]
Heilbroner, R. (1953). The worldly philosophers (7th edition, 1999). New York: Simon and Schuster. [ Links ]
Macdonald, G. M. (1984).New directions in the Economic Theory of Agency. The Canadian Journal of Economics, 17(3), Aug., 415-440. [ Links ]
Montoya Restrepo, I. A. & Montoya Restrepo, L. A. (2007). Reflexiones para una elaboración conceptual del proceso de chantaje, a partir del problema de selección adversa. Revista Ecos de Economía, Universidad EAFIT, 11(24), 9-26. [ Links ]
Montoya, I. & Montoya, A. (2005). Pagos Por servicios ambientales desde la consideración de un sistema de equilibrio general clásico de los precios.VI Simposio Latinoamericano de Investigación y Extensión en Sistemas Agropecuarios IESA- AL "La valoración de bienes y servicios ambientales y su papel en la reducción de la pobreza: Una mirada desde el enfoque sistémico". Julio de 2005, Manizales, Colombia. [ Links ]
Ricardo, D. (1821/1973). Principios de economía política y tributación. Fondo de Cultura Económica. [ Links ]
Riley, J. G. (2001). Silver rules: Twenty Five years screening and signaling Journal of Economic Literature, Jun. [ Links ]
Smith, A. (1776/1961). La riqueza de las naciones. Madrid: Aguilar. [ Links ]
Spence, M. (2001) Signaling in retrospect and the informational structure of markets. Prize Lecture, Dec., 08. [ Links ]
Spence, M. (2002). Signaling in retrospect and the informational structure of markets. The American Economic Review, 92(3), Jun., 434-459. [ Links ]
Sraffa, P. (1960). Production of commodities by means of commodities. Cambridge, UK: Cambridge University Press. [ Links ]
Stiglitz, J. E. (2001). Information and the change in the paradigm in economics. Prize Lecture, Dec.,08. [ Links ]
Stiglitz, J.E. (2002). Information and the change in the paradigm in economics. The American Economic Review, 92(3), Jun., 460-501. [ Links ]
















