Services on Demand
Journal
Article
Indicators
-
Cited by SciELO -
Access statistics
Related links
-
Cited by Google -
Similars in
SciELO -
Similars in Google
Share
Revista de Economía del Caribe
Print version ISSN 2011-2106
rev. econ. Caribe no.18 Barranquilla July/Dec. 2016
Transmisión del capital humano entre padres e hijos en Colombia: mecanismo causal de pobreza
Transmission of human capital between parents and children in Colombia: A causal mechanism of poverty
Yhelin Cristina Calle Espinosa*
* Economista por la Universidad de Antioquia. Investigadora del Instituto de Investigaciones Económicas y Sociales del Sur. Becaria Consejo Nacional de Investigaciones Científicas y Técnicas, Argentina. Medellín, Colombia.
ccalle@iiess-conicet.gob.ar.
Fecha de recepción: febrero 2016
Fecha de aceptación: junio 2016
RESUMEN
La literatura del desarrollo económico ha llegado a un consenso sobre la importancia de la educación y la salud como determinantes del desempeño económico de los individuos. La hipótesis de que estos factores se heredan de una generación a otra podría explicar la existencia de una trampa de pobreza y establecer un mecanismo causal de pobreza, que es evidenciado por una baja movilidad intergeneracional. Usando un sistema de ecuaciones triprobit, este trabajo presenta la relación entre el nivel de educación y de salud de los jefes de hogar y esos mismos factores en los individuos en edad escolar del hogar, para Colombia.
Palabras clave: mecanismos causales de pobreza, movilidad intergeneracional y capital humano.
Código JEL: C35 E24 I30 I32 J62
ABSTRACT
The literature of economic development has reached a consensus on the importance of education and health as determinants of economic performance of individuals. The hypothesis that these factors are inherited from one generation to another could explain the existence of a poverty trap, establishing a causal mechanism of poverty, which is evident by low intergenerational mobility. Using a system of equations triprobit, this paper presents the relationship between the level of education and health of household heads and those same factors in school children in home, for Colombia.
Keywords: mechanisms causes of poverty, intergenerational mobility, and human capital.
Code JEL: C35 E24 I30 I32 J62
1. INTRODUCCIÓN
Colombia se ha caracterizado por tener altas tasas de pobreza persistentes en el tiempo. Así es como, para 2014, 48.5 y 57.4 % de los colombianos reportó que sus condiciones económicas actuales no habían mejorado respecto de las de los hogares en los que se criaron ni de las que tenían hace cinco años; y para el mismo año, 44.8 % de los colombianos se consideraba pobre (Departamento Administrativo Nacional de Estadística, 2014).
Dada esta situación, este trabajo tiene dos objetivos. El primero es esclarecer la relación entre los conceptos de mecanismo causal de pobreza, movilidad social intergeneracional y trampa de pobreza, con el fin de brindar un panorama más claro sobre la utilización de explicaciones fundamentadas en mecanismos causales en contraposición a las explicaciones basadas en leyes generales, que se han utilizado en las ciencias económicas.
Y segundo, es evidenciar un mecanismo causal de pobreza que transmita las condiciones de capital humano de una generación a otra y provoque una prolongación de la predisposición a la pobreza, mediante la presencia de efectos latentes ambientales que pueden actuar como un círculo vicioso.
Para cumplir los objetivos propuestos, se presenta en el primer aparte el concepto de mecanismo causal, cómo este ha sido empleado en la economía y en la sociología para el estudio de la pobreza y su relación con los conceptos de movilidad social y trampa de pobreza. La principal conclusión de esta sección es que ante una situación de trampa de pobreza subyace un mecanismo causal que es evidente por una baja movilidad social.
En el aparte dos, se procede a medir la movilidad intergeneracional y evidenciar un mecanismo causal por el cual los estados de educación y salud de los jefes de hogar afectan conjuntamente la probabilidad de que los menores en edad escolar asistan a una institución educativa, se hayan enfermado durante el último mes o hayan tenido que ser hospitalizados durante el último año. Esto mediante un sistema de ecuaciones probabilísticas con tres ecuaciones.
Se concluye que, realmente, existe evidencia que señala un mecanismo por el cual las condiciones educativas y de salud de una primera generación repercuten en la acumulación de capital humano de la segunda generación, que hereda la predisposición a ser pobre. Y se señala que este efecto, además de transmitirse por el ingreso, puede hacerlo por el ambiente de crianza y cuidado en el hogar.
2. PRINCIPALES CONCEPTOS REFERENTES A MECANISMOS CAUSALES DE POBREZA
2.1. Mecanismos causales
A grandes rasgos, un mecanismo causal se puede definir como un engranaje subyacente que produce un fenómeno como resultado de las interacciones de diferentes elementos y sus propiedades de acuerdo con una ley causal (Glennan, 1996, citado por Hedström y Ylikoski, 2010). Por eso, un mecanismo causal se debe entender más allá de la simple suma de los elementos que lo conforma, y se debe comprender como una cadena de causas y consecuencias que conecta el origen de un fenómeno con todas las posibles manifestaciones.
Hedström y Ylikoski (2010) presentan una revisión de diferentes conceptos de mecanismos causales en las ciencias sociales,1 de los cuales extrae que los mecanismos causales son una concepción multifacética, es decir que varios resultados pueden ser determinados por un mismo mecanismo. También señala que los mecanismos siempre son una noción causal, que se refiere a un proceso que produce un resultado, y por tanto establece una jerarquía entre causas y consecuencias.
Y finalmente especifica que los mecanismos están no solo en función de los elementos que lo conforman, sino también de las propiedades de dichos elementos, las acciones y el orden en que estos elementos se engranan siguiendo leyes o generalizaciones, ya que, como expresa Elster (2010), la especificación de cadenas causales no significa el abandono completo de las leyes generales sino la utilización de leyes menos abstractas.2
Estas afirmaciones son coherentes con la definición presentada por George y Bennett (2005), quienes definen un mecanismo causal como un proceso físico o social por el cual un agente con capacidad causal altera las características, capacidades o propiedades de otras entidades, de forma que el cambio persista en cuanto el mecanismo subsecuente actúe.
En cuanto a la pobreza y la desigualdad, existe una gama de mecanismos causales. Rambla y Jacovkis (2011) mencionan algunos mecanismos causales de la pobreza.3 Dichos mecanismos son complejos y con factores causantes diversos, y surgen como respuesta a la hipótesis que asocia la prosperidad de un individuo con la productividad de su propio esfuerzo.
Ese mismo autor detalla dos clases de mecanismos causales desde la sociología, que son estos: la clausura social y la jerarquización o emulación. El primero se refiere a la distribución censurada, ya sea intencional o no, de los recursos de la economía, donde un grupo específico tiene acceso privilegiado. Mientras que la emulación o la jerarquización se refieren a fenómenos culturales, donde los grupos privilegiados disfrutan de beneficios inmediatos de sus hábitos, mientras los demás grupos solo alcanzan una imitación imperfecta de la cultura privilegiada.
En cuanto a esto, Tilly (1998) expone cuatro mecanismos de desigualdad, de los cuales dos actúan directamente en la perpetuación de la pobreza, como la explotación y el acaparamiento de oportunidades; y otros dos que refuerzan los efectos de los anteriores, como la emulación de procesos que favorecen la desigualdad y la adaptación a estructuras sociales desiguales.
Para este autor la desigualdad tiene una relación causal, de tal forma que tanto la explotación como el acaparamiento de oportunidades establecen categorías distributivas diferentes. Las categorías distributivas a su vez generan directamente retribuciones desiguales e indirectamente la acumulación de capacidades diferenciadas, que al final ahondan en la desigualdad de las retribuciones.4
Por otro lado, Wright (1995) contrasta cuatro formas comunes de explicar la pobreza, que a su vez divide según dos categorías. Primero, según la naturaleza de la explicación, ya como un mecanismo causal, ya como una característica inherente a un sistema. Y segundo, según la unidad de análisis, bien la sociedad, bien el individuo.5 Esta clasificación se muestra en la tabla 1.
Los mecanismos causales de pobreza son dos: la cultura o conducta de la pobreza y la disposición de las oportunidades. El primer mecanismo se enmarca en un ámbito individual y hace referencia a los factores aprendidos que determinan el desempeño económico, como son la propensión a ahorrar, la valoración intertemporal y el grado de aversión al riesgo, entre otros. Estos factores, al ser aprendidos, pueden ser heredados de una generación a otra.
El segundo mecanismo es de orden social, y se presenta en el caso de acaparamiento de oportunidades. Un claro ejemplo de esta explicación es el diseño de sistemas educativos excluyentes, mercados laborales incompletos y sistemas de seguridad social ineficientes. Este acaparamiento de oportunidades no permite que todos los individuos tengan las mismas alternativas de elección, sino que existan estructuras sociales donde individuos con los mismos atributos tengan diferentes oportunidades.
Las dos explicaciones restantes hacen referencia a circunstancias sistemáticas. Las condiciones genéticas o raciales apelan a características inherentes del individuo y se refieren a problemas genéticos que pueden causar falta de inteligencia o desventajas físicas.6 Aunque estos ejemplos son altamente rebatidos, una variante de esta explicación más aceptada es el subdesarrollo biológico por malnutrición. Y finalmente se encuentra la explotación de clase, que es una explicación de índole social, donde la pobreza no es una eventualidad, sino una característica sistemática esencial para la ejecución de los intereses de ciertos actores.
Aunque es posible decir que la interacción simultánea de estas cuatro facetas es la que en última instancia el nivel de pobreza que experimenta un individuo, este trabajo solo se centrará en el primer mecanismo causal. Concretamente el presentado por Gallego Duque (2009, 2010), que establece que los estados de salud, educación y nutrición de los niños son funcionamientos que pueden estar causados por un bajo nivel de ellos y capacidades de sus padres.7 Esta autora también asevera que la pobreza, al responder a patrones y no leyes, hace que los criterios metodológicos de información causal ofrezcan explicaciones satisfactorias y arroje propuesta de políticas paliativas.
2.2. Baja movilidad intergeneracional como resultado de mecanismos causales
Teniendo en cuenta que la conducta o cultura puede actuar como un mecanismo que transmita las características relacionadas con la carencia, entonces es posible pensar que ante la ausencia de cambios externos el estatus socioeconómico será heredado de padres a hijos. Esta herencia implica que el desempeño económico del individuo dependerá total o parcialmente de su linaje o parentela. Ya que la movilidad intergeneracional se relaciona con una situación donde las características familiares, étnicas o regionales no determinan las oportunidades con las que cuenta un individuo, sino que estas están determinadas por el mérito (Bouillón y Lora, 2013), la anterior situación resultará en una baja movilidad social intergeneracional.8
Entonces, la baja movilidad social intergeneracional se convierte en la primera prueba de la existencia de uno o varios mecanismos causales de pobreza. Por tanto, al testear el grado de movilidad en una sociedad, es necesario no solo constatar que existe una correlación en el ingreso sino también entre las variables que lo determinan. Por ejemplo, la correlación entre diferentes indicadores socioeconómicos, como la educación.
Particularmente en Colombia, el debate sobre la movilidad social ha girado en torno a dos ideas opuestas. Por un lado, se refiere a que Colombia ha establecido un espacio propicio para la movilidad social, donde existe una clase media en aumento, la mayoría proveniente de una ascendencia rural pobre (Reichel-Dolmatoff, 1953; Berry-Urrutia, 1975, citados por Angulo, Azevedo, Gáviria y Paéz, 2012). En cambio, existe otra idea que plantea que la movilidad social ascendente es escasa (Smith, 1950; Parra, 1973, citados por Angulo et al., 2012).
Sin embargo, las mediciones realizadas han demostrado que en Colombia la movilidad social intergeneracional es reducida tanto fuera como dentro del sistema educativo. Behrman et al. (2001) y Angulo et al. (2012) calculan coeficientes de correlación del estatus socioeconómico usando diferentes indicadores y concluyen que existe una baja movilidad social, con mayor énfasis en las familias más ricas y más pobres; las más móviles son las familias de clase media.
3. MECANISMOS CAUSALES EN LA TEORÍA DE TRAMPAS DE POBREZA
Por otro lado, de la teoría económica, se han desarrollado las teorías de trampa de pobreza, sin embargo, Bowles, Durlauf y Hoff (2006) indican que las nuevas teorías sobre la pobreza persistente deben describir los mecanismos que causan las trampas de pobreza, y señalan que los factores que determinan el prospecto socioeconómico del individuo están fueran del control de este y no responden al achievement model of income determination.
Esto hace referencia a la necesidad de incorporar explicaciones basadas en mecanismos causales a las teorías de trampas de pobreza. En particular, en la literatura existen dos mecanismos causales que se han explorado ampliamente. Uno se refiere al nivel educativo y otro al estado de salud, y es el capital humano uno de los factores fundamentales que determina el desempeño económico de un individuo y su familia.
Primero, en cuanto a la educación, se ha identificado que una de las causas de la herencia de la pobreza es debido a la baja inversión educativa, en cuanto esto Berti (2001) afirma que la inequidad persistente en capital humano surge del hecho de que los pobres requieren retornos relativamente más altos para incrementar el gasto en educación, ya porque los padres pobres ven la educación de sus hijos como bienes de lujo, ya porque los padres educados puedan transmitir una mejor visión acerca de los beneficios de la educación.
Igualmente, Formichella (2010) propone una explicación a las trampas de pobreza, donde no solo las familias difieren de los recursos para acceder a la educación,9 sino que también las familias educadas presentan un ambiente más propicio para la acumulación de capital humano. De lo anterior se desprende que, dado un monto de dinero invertido en educación, el nivel de capital humano al que accede un individuo proveniente de una familia poco educada es menor que al que accede quien forma parte de una familia más educada.
Estas explicaciones son coherentes con el mecanismo basado en la cultura o la conducta, presentado por Wright (1995), donde hábitos y comportamientos determinados por la crianza y el ambiente familiar aparecen como el proceso subyacente que determina la acumulación de capital humano y por ende el desempeño económico del individuo. Aunque la autora no especifica las variables ambientales que intervienen en dicho mecanismo, se puede apelar a un mejor acompañamiento escolar, una mejor alimentación y un ambiente de mayor seguridad, entre otros.
El otro gran mecanismo causal, que podría transmitir la pobreza entre generaciones, es el estatus de salud, ya que este afecta el desempeño económico no solo mediante la muerte prematura y la reducción de la productividad, sino también mediante la presencia de grandes gastos que pueden reducir el patrimonio en una o varias generaciones.10
Phipps (2003) presenta una revisión de los estudios sobre la relación entre los estatus socioeconómico y de salud, en la que extrae tres conclusiones. Primero, que la relación entre estos dos aspectos no es lineal, es decir, los choques de ingreso negativo tienen un mayor efecto en la salud que los choques positivos. Segundo, la pobreza de larga duración tiene mayores consecuencias negativas en la salud que los episodios ocasionales de pobreza. Y además tanto el ingreso como su tasa de variación son buenos predictores del estado de salud.11
Uno de los trabajos más relevantes para este tema fue realizado por Chakraborty, Papageorgious y Peréz (2010), que proponen dos sendas de crecimiento de largo plazo: una donde las enfermedades contagiosas están altamente dispersas y el crecimiento es bajo y otra donde las mejoras sostenidas del estándar de vida predisponen a la erradicación de las enfermedades infecciosas. La senda que experimente una economía va a estar determinada por su ingreso inicial, la prevalencia de enfermedades y determinantes ecológicos.12
Estos autores proponen un canal basado en la posibilidad de contraer una enfermedad contagiosa, donde la probabilidad de que un individuo contagie a su descendencia depende de la probabilidad de que este se enferme, lo cual a su vez está determinado por la salubridad del ambiente y la inversión en prácticas preventivas que este pueda hacer.13 Una mayor inversión en prevención reducirá la probabilidad de enfermedad y consecutivamente la probabilidad de contagio.
Las presentes trampas de pobreza basadas en el estatus de salud también pueden ser explicados mediante los mecanismos de cultura y conducta propuestos por Wright (1995). Por un lado, se puede apelar a los aspectos conductuales donde entran en juego los hábitos de prevención y, por otro lado, las configuración cultural sobre la gestión de los riesgos.
Como se ha visto, es posible pensar que los hijos de padres con mayores niveles educativos tengan una mayor propensión a presentar un buen desempeño educativo, de la misma forma se ha dicho que los hogares con padres enfermos incrementan la posibilidad de que sus hijos contraigan enfermedades. Pero es posible pensar que tanto los factores de educación y salud están relacionados, y hay un entrecruzamiento entre estos.
Tal relación se basa en el hecho de que la educación guarda una relación estrecha con la mortalidad, por ejemplo el nivel educativo alcanzado por la población puede establecer una señal confiable del riesgo a morir (Kittagawa y Hauser, 1972, citados por London, Temporelli y Monterubianesi, 2009). Por otro lado, un buen nivel de educación hará más eficiente el gasto en salud, debido a un mayor entendimiento y control de los factores de riesgo, que hacen más adecuadas las prácticas preventivas (Grossman, 1972, citado por London, Temporelli y Monterubianesi).14
3.1. Capital humano e ingreso
Finalmente, para poder establecer que la transmisión de capital humano entre generaciones es un mecanismo causal de pobreza, es de vital importancia la suposición de que el capital humano es determinante fundamental del ingreso. La teoría de capital humano establece que las mejores condiciones de salud y educación generan una mayor productividad en el trabajador, lo cual garantizará una mayor remuneración y mejores posibilidades laborales. A continuación, se presentan los principales referentes.
La relación entre el ingreso y los niveles de educación y salud tiene un componente macroeconómico y un componente microeconómico. El primero se refiere a la falta de crecimiento económico, entendido este como el crecimiento del PIB, que se presenta en los países que poseen bajos niveles educativos y de salud. El segundo componente se refiere a los determinantes del ingreso individual y el efecto que tiene la salud y la educación en la riqueza de un individuo.
London, Temporelli y Monterubianessi (2009) hacen un recuento de modelos que relacionan los niveles de salud e ingreso, entre los que se encuentran los de Grossman (1972), Preston (1975), Pritchett (1996), modelos que estudian diversos canales de transmisión entre el ingreso y la salud, como son las mejoras nutricionales, el acceso a agua potable y la atención sanitaria tanto preventiva como terapéutica. Los autores también repasan otros modelos que estudian la doble causalidad entre la salud y el crecimiento económico, como Bhargava (2001), Fuchs (2004), Muenging (2008), donde aseguran que esta doble causalidad se presenta con mayor énfasis en los países de bajos ingresos.
En cuanto a la educación, se encuentran todas la teorías de crecimiento por medio de la innovación, ya que en estas teorías la capacitación de los trabajadores aumenta la productividad, de forma que los trabajadores calificados se dedicarán a actividades de mayor creación de valor, mientras que los trabajadores menos calificados lo haran a la producción de insumos, de forma tal que la formación de los trabajadores es un factor en la función de producción.
En este aspecto, se puede hacer referencia a la teoría de salarios y educación, con su principal exponente Mincer (1985), que expresa que los trabajadores más educados accederán a un mayor ingreso y a una mayor probabilidad de instrucción. También existen teorías donde la educación es concebida como una inversión, cuyos retornos serán unos mejores salarios. Entre estas ideas, se encuentran autores como Schultz (1960, 1961) y Becker (1983). La educación también tiene un efecto en el ingreso, al tener valor como señal en mercados con información imperfecta (Spence,1973 y Groot y Hartog, 1994).
4. EVIDENCIA DE UN POSIBLE MECANISMO CAUSAL DE POBREZA EN EL CAPITAL HUMANO
Esta sección se divide en dos partes. La primera se refiere a un ejerci-cio retrospectivo que mide el grado de movilidad intergeneracional dentro del sistema educativo, ya que se usará como indicador del estatus socioeconómico el nivel educativo, en concordancia con otras medidas que se han elaborado con anterioridad, como Behrman et al. (2001). En la segunda parte, se realiza una regresión probabilística multivariante, para tres indicadores del estado de salud y educación, extraídos de Gallego Duque (2009), que se reconocen como indica-dores del bienestar del hogar que incide en la salud y educación de niños y jóvenes.
4.1. Movilidad intergeneracional: ejercicio retrospectivo
Como se ha dicho, la baja movilidad social intergeneracional es el primer indicio de la existencia de un mecanismo causal de pobreza; por tanto, antes de evidenciar algún tipo de relación causal, se debe testear primero el grado correlación entre el estatus socioeconómico de diferentes generaciones. Normalmente esto se hace mediante el cálculo de un factor de covarianza o correlación, que relaciona un indicador de estatus socioeconómico de un padre y un hijo.
La medición de la movilidad intergeneracional se basa generalmente en la estimación de un parámetro beta, tal que como expresa Angulo et al. (2012) vincula el indicador de estatus socioeconómico de los hijos con el indicador de estatus socioeconómico de los padres en un determinado linaje. Sin embargo, puede pasar que los indicadores del estatus socioeconómico no sigan una distribución normal o que sean variables categóricas ordenadas, y que por tanto sea preferible usar test de correlación no paramétricos, como el rho de Spearman o la tau de Kendall.
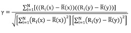
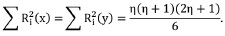
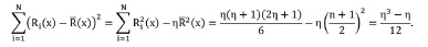
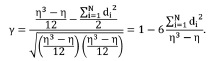
El rho de Spearman se basa en el hecho de que las variables cate-góricas pueden ser ordenadas en rangos, que posteriormente pueden ser comparados por cada individuo, de la siguiente forma:

Donde
por la propiedad telescópica

Mientras tanto

De igual forma para y. Ahora, si definimos dicomo la diferencia entre rangos entre las variables, de tal forma que



Donde la escritura del coeficiente resulta:

Lo que toma los valores entre 1 y 0.

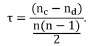
Por otro lado, la tau de Kendall (1938) tiene la siguente forma:

n c es el número de pares concordantes donde xi < y i.
Puede darse el caso en que se presenten varias observaciones iguales con el mismo valor, entonces el estadístico se transforma en τb.

Donde tdesigna el número de observaciones iguale sy ues el caso de observaciones diferentes. La prueba de hipótesis para este coeficiente de correlació se basa en una distribución aproximadamebte normal estándar.







Para el cálculo de dichos índices de correlación, se toma de la Encuesta de Calidad de Vidade 2014 los jefes de hohar que reportan los niveles de educación de sus progenitores, lo cual significa una muestra de 14873 jefes de hogar. Las varibles usadas son estas: el máximo nivel educativo alcanzado por el padre jefe de hogar, el máximo nivel alcanzado por la madre del jefe de hogar y el máximo nivel educativo alcanzado por el jefe de hogar .15(tabla 2)
Como se ve, los dos índices que se calcularon muestran que el nivel de correlación entre el nivel educativo del jefe d ehogar y sus padres ronda en alrededor de un cuarenta por ciento, lo cual sugiere que el nivel educativo de los padres es causante del nivel educativo de los jefes de hogar. Aunque esta correalción no muestra la dirección de la relación, el carácter temporal del fenómeno puede señalar la dirección de esa posible causalidad.
A pesar de la correlación existente entre estos dos aspectos, se espera que exista algún grado de movilidad. Para poder apreciar la movilidad, se realiza la matriz de movilidad intergeneracional, que ubica los individuos según su nivel educativo y el nivel educativo de sus padres (Bouillón y Lora, 2013) (tabla 3).16
Como se puede ver, el hecho de que la matriz superior tome valores mayores a los de la matriz inferior muestra una movilidad ascendente que puede responder, entre otras cosas, a los avances en cobertura educativa. Sin embargo, la mayor movilidad se registra solo en el nivel primario, donde 52 % de los padres con ninguna educación tiene hijos con nivel primario, mientras que la movilidad a los niveles superiores es mucho menor, por ejemplo solo 0.57 % de los padres con ninguna educación pudo brindarles educación universitaria a sus hijos.
4.2. Mecanismo causal de pobreza: ejercicio prospectivo
Se procede a evidenciar la existencia de un mecanismo causal que determine si un mayor o mejor nivel educativo y estado de salud de los jefes de hogar y sus cónyuges pueden crear un ambiente latente, que a su vez haga más propicio que los menores en edad escolar de esos hogares sean educados y tengan unos buenos estados de salud. Para esto, de la Encuesta de Calidad de Vida 2014 se seleccionan los hogares con jefatura compartida, es decir, donde el jefe de hogar tiene una pareja o un cónyuge,17 y hogares donde hayan individuos entre 5 y 17 años,18 lo cual arroja una muestra de 6739 hogares con 31279 individuos.
Siguendo a Gallego Duque (2009), se toman tres indicadores de capital humano del menor: si los menores de edad educativa asisten a una institución educativa, si se han enfermado durante el último mes y si han sido hospitalizados durante los últimos doce meses. Para los indicadores de capital humano de los jefes de hogar, se tomaron los mismos indicadores, excepto para el caso del indicador de educación, donde, en lugar de tomar la asistencia a una institución educativa, se tomó el nivel educativo alcanzado. Además se adicionó como indicador de salud el estado genral de salud.
Dado el número y la naturaleza de las variables por tratar, se eligió una metodología para variables dependientes binaria. Siguiendo a Camerony Trivedi (2009), a la estimación de probit se le puede dar una interpretación de variable latente, donde se puede distinguir entre una variable observable que toma valores dicotómicos y una variable subyacente y*(latente) que satisface un modelo de un solo índice.

Aunque y* no es observable, se puede observar

Donde 0 es umbral normalizado, que x es una consecuencia de que x no incluya un intercepto.
por tanto,

Donde F (.) es una función de dsitribución conjunta de μ. La identificación de una variable latente requiere la restricción de la varianza de μ, porque el modelo de un solo índice puede identificar un β más un escalar. La explicación a esto es que soo se utiliza si y* = x' + μ > 0, pero esto no distingue x' β + + μ ++ > 0, donde β + = α β y μ + = μ α para cualquier α > 0.
Según Cappellari y Jenkins (2003), se puede utilizar un método de simulación a una estimación de máxima verosimilitud de un modelo de regresión de una regresión probit multivariada. A partir de esto, se hace uso de la programación realizada por Antoine Terracol, la cual esta disponible en la base de datos SSC IDEAS.
Así al considerar un modelo de tres ecuaciones, que sigue la notación de Cappellari y Jenkins (2003):


Donde ε im es un término de error distribuido como una normal multivariada cada una con una medida 0 y una matriz de varianza covarianza V, en la que V tiene valores de 1 en la diagonal proncipal y es simétrica, es decir que ρjk=ρjk. Esto tiene la misma estructura que un modelo de regresión aparentemente no correlacionado, solo que los valores dependientes son variables vinarias.
La función de verosimilitud toma la siguiente forma:

Donde Φi es un peso opcional para cada observación, y la función Φ3 es una función de distribución normal estándar con argumentos de medida y varianza. El método de simulación usado en el Geveke-Hajivassillon-Keane, que se basa en el hecho de que una función de distribución normal multivariante puede ser expresada como el producto de la secuencia condicional de una función de distribución normal univariada, que puede ser fácilmente evaluada.
En este caso, la probabilidad de un éxito conjunto es de:

Esta expresión involucra las condiciones de las variables inobser-vadas que están correlacionadas la una con la otra. Con la descompo-sición de Cholesky, se aproxima a una distribución condicional que permita que la función de verosimilitud solo requiera la evaluación de una integral univariada.
Para estimar un triprobit de la anterior forma, se crearon variables dummies para cada nivel educativo y el estado de salud tanto del jefe como de su cónyuge. Para eso, se tomó como categoría base el nivel de ninguna educación y un mal estado de salud. Los resultados se muestran en las tablas 4, 5 y 6.19
En términos generales, se puede ver que el sistema de ecuaciones es significante con un test de Wald de 906.43, sigue una distribución chi cuadrada con 60º de libertad y es significativa a 99.9 %. Esto indica que examinar las cuestiones de salud y edu-cación conjuntamente brinda información adicional y logra precisar un efecto conjunto de los estados de salud y educa-ción de los jefes de hogar en cada una de las probabilidades de asistencia, enfermedad y hospitalización de los hijos. Por tanto, es posible pensar que parte de estos efectos proceden del am-biente de acumulación del capital humano del hogar que actúa co-mo una variable latente y*.
Como se puede ver, todos los niveles educativos excepto el primario del cónyuge tienen efectos significantes y positivos en la probabilidad de que los menores en edad escolar asistan a una institución educativa, en comparación con aquellos jefes que no recibieron ninguna educación. Además se puede observar el hecho que dichos coeficientes aumentan con respecto al nivel educativo y, en términos generales, la educación del jefe de hogar presenta un mayor coeficiente que la educación del cónyuge (tabla 4).
Acorde con lo anterior, se puede ver que el efecto más notorio es cuando los jefes alcanzan la universidad, mientras que para el caso del cónyuge el mayor efecto se presenta cuando este realiza un posgrado.
En cuanto a la probabilidad de que un menor se haya enfermado durante el último mes, es afectada levemente y de manera positiva, por el hecho del que el cónyuge tenga menos de nueve años de educación secundaria o tenga posgrado. Igualmente es afectada por el hecho de que las cabezas de hogar se hayan enfermado o por el hecho de que el jefe haya sido hospitalizado (tabla 5).
En cuanto a la correlación entre los errores de las ecuaciones (rho12 rho23 y rho31), se puede decir que son significativamente diferentes de 0. Así es como con una hipótesis nula de rho12 = rho23 = rho31 = 0 es rechazada con un nivel de confianza de 99.9 % con el test deradio de máxima verosimilitud de 110.2 que sigue una distribuciónchi-cuadrada.
Particularmente, la correlación entre el error de la ecuación que determina la probabilidad de asistir a una institución educativa y el error de la ecuación que determina la probabilidad de haberse enfermado durante el último mes (rho12), toma un valor de 0.17 con un error estándar de 0.035 y un p-valor de 1.97e-06. Y la correlación entre el error de la ecuación que determina la probabilidad de haberse enfermado durante el último mes y el error de la ecuación que determina la probabilidad de haber tenido que ser hospitalizado durante el último año toma el valor de 0.31 con un error estándar de 0.031 y un p-valor de 0.
Es importante notar que este análisis no puede diferenciar el efecto que tienen las características de los jefes de hogar en las condiciones de los menores en edad escolar mediante el ingreso o través de procesos ambientales, tales como la crianza. Pero, al ver conjuntamente las condiciones, no solo del jefe del hogar, sino también del cónyuge, permite intuir un mecanismo adicional al ingreso, que no puede ser incluido en el análisis precisamente por el hecho de estar correlacionado con las características del jefe de hogar y su cónyuge.
Las anteriores afirmaciones respaldan que la aplicación de políticas contra la pobreza complementaría las políticas de ingreso. Es decir que también tienen efecto en la reducción de la pobreza las políticas que apunten a la planificación familiar, a la promoción de buenas prácticas de cuidado y crianza y al fomento de hábitos saludables, entre otros. Esto debido al hecho de que el aumento en el nivel educativo o el estado de salud, que incluye la salud sexual y reproductiva, de los miembros adultos del hogar repercute de manera positiva en los factores relevantes que condicionarán el desempeño económico de los menores en un futuro. Así como el fomento de comportamientos que mejoren la interacción de los individuos pobres en ambientes adversos puede propiciar el desarrollo humano independiente del ingreso.
En cuanto a los programas de transferencia condicionada,20 se puede esperar que estos tengan consecuencias parciales si no logran repercutir en los factores no monetarios que predisponen a la pobreza, porque, como se ha visto, no toda transmisión intergeneracional del capital humano es vía ingreso. Particularmente, los programas que establecen contraprestaciones, como la escolaridad y los controles médicos, no especifican el efecto del subsidio en las conductas de crianza y cuidado entre los pobres, sino que establecen requerimientos meramente formales, como la matrícula a una institución educativa y controles de crecimiento y desarrollo.
Sobre todo, teniendo en cuenta que con este tipo de subsidios se corre el riesgo de segmentar los servicios de salud y educación entre las personas pobres y no pobres, donde se brinda un servicio mínimo de mala calidad para las personas subsidiadas (Franco, 2006), que no es suficiente para romper los mecanismo adversos a los que se somete el menor pobre y su familia, que limita la eficiencia de dichas políticas.
5. CONCLUSIÓN
La primera conclusión que se puede extraer de este estudio es que la pobreza, además de ser explicada mediante circunstancias sistemáticas, tales como la explotación de clases o las desventajas raciales o genéticas, puede ser explicada como el resultado de diferentes mecanismos causales, ya de índole social, ya individual.
Por un lado, la distribución de oportunidades en los sistemas educativos, de salud y de trabajo pueden configurar mecanismos de exclusión y pobreza, mientras que, por otro, la conducta y la cultura pueden configurar un ambiente adverso a la acumulación de capital humano. Si estos factores conductuales son heredados por medio de la crianza, es posible pensar que la predisposición a la pobreza será heredada de padres a hijos.
Una situación como esta se refleja en una baja movilidad intergeneracional, donde el desempeño económico de un individuo depende de la familia de la que este provenga. Por tanto, se puede decir que una baja movilidad intergeneracional es síntoma de la existencia de un mecanismo causal que involucre la interacción de componentes latentes.
Aunque la mera correlación entre el estatus socioeconómico de los padres y los hijos no implica una relación causal, el carácter temporal de este fenómeno permite avanzar en la búsqueda de una cadena causal, al determinar que la dirección de esta relación es de padres a hijos, y no viceversa.
Por otro lado, dentro de la teoría de las trampas de pobreza se encuentra toda la gama de teorías de capital humano que relaciona las condiciones de salud y educación con el ingreso. Estas relaciones, por lo general, se teorizan de manera bidireccional donde existe una doble causación entre el ingreso y el capital humano. Pero también se teoriza una retroalimentación de forma que no solo existe una relación entre la educación y el ingreso o la salud y el ingreso, sino también entre la salud y la educación.
Particularmente, en estas teorías, se ha establecido que los hijos de los padres más educados pueden obtener un mayor nivel educativo, dado un monto de inversión en educación. Asimismo se ha establecido que los hijos de los padres con menos enfermedades están menos expuestos a contraer enfermedades, dado el mismo ingreso. De esta forma, la teoría de trampas de pobreza también ha apuntado a una baja movilidad intergeneracional.
Esto significa que tanto la educación como la salud de los jefes de hogar pueden configurar un ambiente que determine conjuntamente el estado de salud y la educación de los menores, e indirectamente las condiciones que fijan el ingreso.
Así, en este trabajo, se concluye que la relación entre las trampas de pobreza, la baja movilidad intergeneracional y los mecanismos causales de pobreza se debe a que, si un individuo se encuentra frente a una situación de trampa de pobreza, es víctima del mecanismo causal de pobreza que no es observable de un modo indirecto, pero sí indirecto por medio de una baja movilidad social, más específicamente la baja movilidad social intergeneracional.
Esto es respaldado por el sistema de ecuaciones probabilísticas estimadas, que confirma que la probabilidad de asistencia a una institución educativa, la probabilidad de sufrir una enfermedad durante el último mes o haber tenido que ser hospitalizado durante el último año, por parte de los menores, es conjuntamente afectado por estos mismos indicadores de educación y salud en los jefes del hogar.
En particular, la probabilidad de asistencia a una institución educativa es afectada positivamente por nivel de educación tanto del jefe de hogar como de su cónyuge, y tiene un mayor efecto el hecho de que el jefe de hogar tenga educación universitaria.
La probabilidad de que un menor se haya enfermado durante el último mes es afectado tanto por aspectos de educación y salud, del jefe de hogar y su cónyuge, y tiene un mayor efecto que este último también haya estado enfermo. Igualmente, la probabilidad de que un menor haya tenido que ser hospitalizado durante el último año está afectado por las condiciones de educación y salud del jefe de hogar y su cónyuge; con mayor preponderancia en el hecho de que el jefe de hogar haya estado hospitalizado durante el último año.
Este efecto diferenciado del cónyuge y el jefe de hogar hace pensar que los menores son afectados por factores diferentes del ingreso, y tener en cuenta a los dos cabezas de hogar permite capturar de una mejor manera los factores ambientales a los que están expuestos todos los miembros del hogar, ya que incluye el efecto del capital humano de quien provee el ingreso, ya del jefe de hogar, ya de cónyuge, y también la consecuencia en las actividades de cuidado y acompañamiento independiente de quien lo realice, según el grado de división de trabajo en cada hogar.
Sin embargo, es necesario realizar futuros trabajos que permitan diferenciar y cuantificar cada uno de los canales de transmisión, bien el ingreso recibido por el jefe de hogar, bien su cónyuge, o buenas prácticas de crianza ejercidas por ambos. Así como es necesario realizar estudios adicionales en otras poblaciones, como hogares monoparentales o con menores entre los 0 y 5 años, entre otros.
Finalmente, la afirmación de que las condiciones ambientales constituyen un mecanismo de transmisión permite justificar la implementación de políticas contra la pobreza adicionales a aquellas que buscan complementar el ingreso, como el desarrollo de hábitos saludables, la planificación familiar, ya que esto constituye un aspecto íntegro de la salud y el desarrollo humano y la gestión del riesgo, como forma de mejorar la interacción con el ambiente.
Notas
1 Esta revisión incluye: Bechtel y Abrahamsen (2005), Bechtel (2006, 2008), Bunge (1997, 2004), Glennan (2002), Machamer (2000), Darden (2006), Craver (2007), Elster (1989, 1999), Hedström (2005), Little (1991) y Woodward (2002).
2 El autor aclara que cuanto más se avanza en una cadena causal, más fácil es rechazar la mera correlación.
3 Entre los que se encuentran: Wright (1994), Tilly (1998), Øyen (2004), Thernborn (2006).
4 Este proceso explica cómo la mecánica de distribución inequitativa garantiza la prolongación de la pobreza a lo largo del tiempo.
5 El autor hace una importante aclaración sobre la familia como otra unidad de análisis y especifica que cuando se usa esta unidad las explicaciones propuestas son acerca de los individuos dentro de la familia o las condiciones sociales a las que se enfrenta.
6 Esta explicación no vincula directamente los genes con la pobreza, sino que lo hace con el desempeño del individuo. Algunos ejemplos son estos: Sánchez, Sánchez-Campillo, Morreno-Herrero y Rosales (2014), quienes relacionan el desempeño matemático con la exposición a la testarean y Haworth et al. (2009), quienes consideran solapamientos de los efectos ambientales y genéticos en el desempeño educativo.
7 Los términos funcionamientos y capacidades corresponden a concepción presentada por Amartya Sen.
8 Sin embargo, la igualdad de oportunidades no siempre resulta en movilidad social, especialmente en movilidad social ascendente. Se pueden dar casos donde la meritocracia resulta ser un factor separador y perjudicial para la sociedad.
9 Lo que lleva a ciertas familias a una trampa de pobreza por una baja acumulación de capital humano, ciclo que se repite en las consiguientes generaciones.
10 Sobre todo si la cobertura de la seguridad social es limitada. En el caso anterior, los estímulos a la inversión se ven afectados por un menor horizonte de vida. Esto, a su vez, reduce los incentivos a establecer sistemas de ahorro y programas de pensiones y cesantías y aumenta las primas de los seguros de vida.
11 El mismo autor revisa la evidencia de esta relación en población infantil y muestra que la magnitud de dicha asociación es sensible a las medidas utilizadas. Mientras que para los indicadores de salud individuales se pueden observar leves consecuencias, para un conjunto de indicadores se evidencia un efecto acumulativo, sobre todo en los que tienen en cuenta el estado en los primeros años de vida.
12 En el primer escenario, la presencia de externalidades sanitarias afecta la conducta racional del individuo y entorpece los incentivos al crecimiento, por medio de una mayor morbilidad y mortalidad. En el segundo caso, los niveles más altos de ingresos permiten mayor prevención y a su vez la baja incidencia de enfermedades genera mayores incentivos para el crecimiento económico.
13 La nutrición desempeña un papel fundamental en la determinación de la salud, por tanto, un ingreso que permita acceder a una dieta adecuada no solo a los individuos sino también a su descendencia (Fogel, 1997, citado por Chakraborty, Papageorgiou y Sebastián (2010).
14 Es posible pensar que los factores de educación de los padres pueden afectar la salud de los menores del hogar. Por ejemplo, una madre al contar con mayor información puede tener conductas preventivas más acertadas en el cuidado de sus hijos. Pero también se debe pensar en otro tipo de relaciones, donde los estatus de salud de los jefes de hogar afecten el estatus de escolaridad de los menores a su cuidado, como el caso en que los menores no pueden asistir a una institución educativa o tienen un bajo rendimiento porque sus cuidadores se encuentran enfermos.
15 Para los jefes de hogar, 0 será designado para los jefes de hogar que no poseen ningún nivel educativo, 1 para la básica primaria 2 para la básica secundaria, 3 para la media, 4 para el técnico, 5 para el tecnólogo, 6 para el universitario sin título, 7 para el universitario con título y 8 para el postgrado. Para el nivel educativo del padre y la madre del jefe de hogar, 0 será designado para ningún nivel educativo, 1 para la primaria, 2 para para la secundaria, 3 para uno o más años de técnico y tecnológico 4 para técnico y tecnológico completo, 5 para uno omás años de universidad y 6 para universidad completa.
16 Solo se muestra la matriz de movilidad intergeneracional respecto del padre del jefe de hogar, ya que es bastante similar a la matriz en relación con la madre.
17 Al incluir las características del cónyugue se puede abarcar un espectro más amplio de las condiciones del hogar. Estos resultados deben ser contrasta-dos con hogares monoparentales.
18 El capítulo de educación de la escuesta solo es preguntando para los índividuos con 5 años o más, por lo que es importante contrastar resultados en la primera infancia.
19 continuación solo se muestran los resultados significativos a 99.9% (***), a 99.5% (**) y a 95% (*). Todos los demás resultados se encuentran en el anexo.
20 En el caso colombiano el PTC se denomina Más Familias en Acción, y para una mayor ilustración remitirse a Villatoro (2009).
REFERENCIAS
Angulo, R., Azevedo, J., Gaviria, A. y Páez, G. (2012). Movilidad social en Colombia. Documentos CEDE, 43. [ Links ]
Behrman, J. R., Gaviria, A., Székely, M., Birdsall, N. y Galiani, S. (2001). Intergenerational mobility in Latin America. Economía, 2(1), 1-44. [ Links ]
Berti Ceroni, C. (2001). Poverty traps and human capital accumulation. Economica, 68(270), 203-219. [ Links ]
Bouillón, C. y Lora, E. (2013). Pobreza, desigualdad y movilidad social. En La realidad social: una introducción a los problemas y políticas de desarrollo social en América Latina. Banco Interamericano de Desarrollo. [ Links ]
Bowles, S., Durlauf, S. N. y Hoff, K. (eds.) (2006). Poverty traps. Princeton: Princeton University Press. [ Links ]
Cameron, A. C. y Trevedi, P. K. (2009). Microeconometrics using Stata. Texas: Stata Corp. [ Links ]
Chakraborty, S., Papageorgiou, C. y Sebastian, F. P. (2010). Diseases, infection dynamics, and development. Journal of Monetary Economics, 57(7), 859-872. [ Links ]
Cappellari, L. y Jenkins, S. P. (2003). Multivariate probit regression using simulated maximum likelihood. The Stata Journal, 3(3), 278-294. [ Links ]
Departamento Administrativo Nacional de Estadística (2014). Encuesta Calidad de Vida de 2014. Base de Microdatos. [ Links ]
Elster, J. (2010). La explicación del comportamiento social: más tuercas y tornillos para las ciencias sociales. Barcelona: Gedisa. [ Links ]
Franco, R. (2006). Transferencias con corresponsabilidad: una mirada latinoamericana. México: Flacso. [ Links ]
Formichella, M. (2010). Educación y desarrollo: análisis desde la perspectiva de la equidad educativa interna y del mercado laboral (Tesis doctoral, Universidad Nacional del Sur, Bahía Blanca, Argentina). [ Links ]
Gallego Duque, L. M. (2009). Modelo Estructural de Covarianza (MEC) aplicado al análisis de bienestar de los hogares antioqueños y su relación con los funcionamientos de salud y de educación de los niños y jóvenes (Documents de Recerca del Program a de Doctorado en Economía Aplicada Universitat Autònoma de Barcelona). [ Links ]
Gallego Duque, L. M. (2010). Acercamiento al problema social de la pobreza y los mecanismo causales. Revista de Trabajo Social, 9, 1-29. [ Links ]
George, A. L. y Bennett, A. (2005). Case studies and theory development in the social sciences. Cambridge: Mit Press. [ Links ]
Haworth, C., Kovas, Y., Harlaar, N., Hayiou‐Thomas, M. E., Petrill, S. A., Dale, P. S. y Plomin, R. (2009). Generalist genes and learning disabilities: A multivariate genetic analysis of low performance in reading, mathematics, language and general cognitive ability in a sample of 8000 12‐year‐old twins. Journal of Child Psychology and Psychiatry, 50(10), 1318-1325. [ Links ]
Hedström, P. y Ylikoski, P. (2010). Causal mechanisms in the social sciences. Annual Review of Sociology, 36, 49-67. [ Links ]
Kendall, M. G. (1938). A new measure of rank correlation. Biometrika, 30(1/2), 81-93. [ Links ]
London, S., Temporelli, K. y Monterubblanesi, P. (2009). Vinculación entre salud, ingreso y educación: un análisis comparativo para América Latina. Economía y Sociedad, 14(23), 125-146. [ Links ]
Phipps, S. A. (2003). The impact of poverty on health: A scan of research literature. Ottawa, Canadá: Canadian Institute for Health Information. [ Links ]
Rambla, X. y Jacovkis, J. (2011). Entre la gestión y la producción de pobreza: un análisis del discurso oficial sobre el Programa Familias para la Inclusión en Argentina en Convergencia. Revista de Ciencias Sociales, 56(18), 157-179. [ Links ]
Restrepo, L. F. y González, J. (2007) De Pearson a Spearman. Revista Colombiana de Ciencias Pecuarias, 20, 187-192. [ Links ]
Sánchez, Á., Sánchez-Campillo, J., Moreno-Herrero, D. y Rosales, V. (2014). 2D: 4D values are associated with mathematics performance in business and economics students. Learning and Individual Differences, 36, 110-116. [ Links ]
Tilly, C. (1998). Desigualdad persistente. Oakland (CA): University of California. [ Links ]
Villatoro, S. (2004). Programas de reducción de la pobreza en América Latina. Un análisis de cinco experiencias. Serie Políticas Sociales, 87. [ Links ]
Wright, E. O. (1995). The class analysis of poverty. International Journal of Health Services, 25(1), 85-100. [ Links ]
5.3. Anexo


















