Services on Demand
Journal
Article
Indicators
-
Cited by SciELO -
Access statistics
Related links
-
Cited by Google -
Similars in
SciELO -
Similars in Google
Share
Revista de Economía del Caribe
Print version ISSN 2011-2106
rev. econ. Caribe no.18 Barranquilla July/Dec. 2016
Estimación del índice de agencia: el caso de San José de Cúcuta (Colombia)*
Estimated rate of agency, the case of the city of San Jose de Cucuta (Colombia)
Jorge Raúl Ramírez Zambrano**
Ana Yarima Arias***
Carolina Marulanda Ascanio****
* El trabajo se realizó en colaboración y con el auspicio de la dirección ejecutiva del Observatorio Socioeconómico Regional de Frontera de la Universidad de Pamplona. Los autores agradecen a los investigadores Dennys Jazmín Manzano, Angélica Solano, Mario Zambrano y Alexander Botello, quienes con sus aportes contribuyeron a crear mejoras sustantivas en la investigación.
** Docente e investigador de la Facultad de Ciencias Económicas, Administrativas y Contables de la Universidad Libre de Colombia (seccional Cúcuta, Colombia). Correo electrónico: jorge.ramirez@unilibrecucuta.edu.co.
*** Especialista en Gerencia Financiera por la Universidad Libre de Colombia (seccional Cúcuta, Colombia). Investigadora. Docente catedrática del Departamento de Economía de la Universidad de Pamplona.
**** Economista por la Universidad de Pamplona (Villa del Rosario), actualmente estudia un posgrado en Gerencia Financiera en la Universidad Libre de Colombia (Seccional Cúcuta, Colombia). Investigadora.
Fecha de recepción: noviembre 2014
Fecha de aceptación: agosto 2016
RESUMEN
El presente artículo tiene por objetivo estimar el índice de agencia para San José de Cúcuta (Colombia) durante 2013, a fin de que permita establecer un análisis sobre la relación de este en función de los factores demográficos y socioeconómicos de la población objeto de estudio. La estimación y el análisis se realiza a partir del enfoque de las capacidades humanas, el cual fue desarrollado por Amartya Sen. Los resultados evidencian la existencia de una influencia significativa entre las condiciones socioeconómicas sobre el índice de agencia humana y se destaca que la agencia es un concepto con valor intrínseco con conexiones empíricas con las libertades y las capacidades.
Palabras clave: índice de agencia, capacidades, desarrollo, libertades.
Clasificación JEL: A1, I3, O1, O5.
ABSTRACT
This article aims to estimate the rate of human agency for the city of San Jose de Cucuta (Colombia) in 2013, in order to establish that an analysis of this relationship in terms of demographic and socio-economic factors of the study population. The estimation and analysis are based on the focus of human capabilities (ECH), which was developed by Amartya Sen. The results suggest the existence of significant influence between socioeconomic conditions on the rate of human agency, emphasizing that the agency is a concept of intrinsic value with empirical connections with the freedoms and capabilities.
Keywords: agency index, capabilities, development, freedom, operation.
JEL Codes: A1, I3, O1, O5.
1. INTRODUCCIÓN
El presente artículo tiene por objetivo estimar el índice de agencia para San José de Cúcuta (Colombia) en 2013, a fin de que permita establecer un análisis sobre la relación de este en función de los factores demográficos y socioeconómicos de la población objeto de estudio. La estimación y el análisis se realiza a partir del enfoque de las capacidades humanas, el cual fue desarrollado por Amartya Sen y se utiliza como referente metodológico el trabajo de Alkire (2005a, 2005b) e Ibrahim y Alkire (2007).
En este sentido, se realizan unas adaptaciones al instrumento de recolección de información dada las especificidades del contexto y su población. A tal efecto, se utiliza el muestreo aleatorio simple sobre nueve comunas de las diez existentes en Cúcuta. Habida cuenta de las dificultades de acceso a la hora de establecer contacto con la población, es decir, lo que se pierde en amplitud se gana en profundidad debido a la heterogeneidad de las condiciones socioeconómicas de la muestra, puesto que en una de las nueve comunas se pueden encontrar subpoblaciones que pertenecen a los estratos 1 a 5. Teniendo en cuenta lo anterior, el trabajo de investigación presenta las siguientes limitaciones: 1) en referencia al tipo de preguntas, la disposición y el estado de ánimo de las personas influyen en las respuestas; 2) en la gran mayoría de los casos, las preguntas suponían alguna dificultad para los encuestados, ya que se indaga sobre aspectos externos e internos del ser; y 3) la dificultad de captar todos los aspectos de la vida de una persona y no poder identificar o evidenciar otras limitaciones frente a la agencia humana, más allá de las condiciones socioeconómicas (como la dependencia emocional), que puede ser encubierta por el orgullo personal a la hora de dar las respuestas.
La investigación está estructurada de la siguiente forma: la primera es esta breve introducción. En la segunda, se exponen las bases teóricas y empíricas. En la tercera, se desarrollan la metodología y las estimaciones. En la cuarta, se enseñan los resultados y finalmente se plantean la discusión y las conclusiones. Los resultados muestran la existencia de una correlación significativa entre el índice de agencia y las condiciones socioeconómicas de los individuos, y se destaca que la agencia es un concepto con valor intrínseco con conexiones empíricas con las libertades y las capacidades, las cuales permiten generar cambios de orden individual y para el caso de estudio se evidencia la imposibilidad de generar cambios de tipo social, lo cual debe ser objeto de atención de próximos estudios, de los hacedores de política y de la sociedad.
2. BASES TEÓRICAS Y EMPÍRICAS
El enfoque de las capacidades humanas fue creado por Amartya Sen, el cual es definido por él mismo como un referente teórico y normativo que permite evaluar los resultados del desarrollo en función de las libertades efectivas que gozan los individuos. Alkire (2008) y Hick (2012) coinciden en mostrar que el enfoque de las capacidades humanas es un marco teórico-normativo adaptable, que facilita que los arreglos sociales puedan ser evaluados de acuerdo con el nivel de libertades que las personas tienen para promover y alcanzar.
Bajo este enfoque, las capacidades son “las combinaciones de alternativas que una persona puede hacer o ser: los distintos funcionamientos que puede lograr”, mientras que los funcionamientos “representan partes del estado de una persona: en particular, las cosas que logra hacer o ser al vivir”. De manera que “la capacidad de una persona refleja combinaciones alternativas de los funcionamientos que ésta puede lograr, entre las cuales puede elegir una colección” (Sen y Nussbaum, 1996, pp. 54-56). Por tanto, la capacidad es un tipo de libertad, como afirma el nobel Amartya Sen:
Es la libertad fundamental para conseguir combinaciones de funciones (o en términos menos formales, la libertad para lograr diferentes estilos de vida). Por ejemplo, una persona rica que ayune puede conseguir los mismos resultados funcionales en lo que se refiere a comer o a nutrirse que una persona desfavorecida que se vea obligada a pasar hambre, pero la primera tiene un conjunto de capacidades diferentes al de la segunda (la primera puede decidir comer bien y estar bien nutrida, mientras que la segunda no. (2000, p.100)
El enfoque de las capacidades humanas está constituido por cinco tipos de libertades: 1) las libertades políticas, 2) los servicios económicos, 3) las oportunidades sociales, 4) las garantías de transparencia y 5) la seguridad protectora. Cabe decir que la principal característica de las libertades instrumentales es el grado de complementariedad e interconexión que existen entre estas. Dicha característica se muestra en la figura 1.
Por otro lado, Sen (1999, 2009) afirma que las libertades son de carácter instrumental, porque permite a los individuos decidir y hacer, según las razones que tienen para valorar y desear. Bajo esta visión las libertades políticas1 se definen como la capacidad que tienen las personas para actuar de forma libre en los sistemas democráticos, la cual procura la posibilidad de elegir y ser elegido, de asumir posiciones en público a través del debate y la crítica. La libertad como agencia está relacionada con el uso de la libertad política, porque es el agente quien encarna objetivamente la posibilidad de razonar y de actuar en público, de donde se deriva que los estilos de vida específicos dependen del contexto cultural, social, económico, institucional y de los valores imperantes.
La agencia humana representa entonces la capacidad de las personas para actuar en nombre de los objetivos que les son importantes, y este aspecto de la libertad según Sen es un ingrediente esencial del cambio social positivo. Por lo que para Sen —los agentes— no son receptores pasivos de ingeniosas políticas y de planes para el desarrollo, sino sus definidores y creadores. Los agentes, bajo esta perspectiva, son individuos conscientes que procuran formular cambios para sí mismos y para el entorno. De ahí el interés de plantear esta investigación con la estimación del índice de agencia, siguiendo la invitación de Sabine Alkire (2005) y del Programa de las Naciones Unidas para el Desarrollo (PNUD, 2010). En este sentido, la investigación es pionera en el país y en el contexto latinoamericano, debido a las escasas investigaciones sobre la materia.
El enfoque de las capacidades humanas ha sido objeto de un enriquecedor debate, muchas han sido las críticas desde diversos campos disciplinares y de autores como Ronald Dworkin, Robert Nozick, Martha Nussbaum, G. H. Cohen e Ingrid Robeyns. Las principales críticas hacen énfasis en la debilidad específica o general, la ambigüedad y circularidad del enfoque o, en su defecto, las críticas se orientan a cuestionar y proponer distintas alternativas de operacionalización y aplicación del enfoque de las capacidades humanas, al respecto ver los trabajos de Brandolini y D'Alessio (1998), Robeyns (2000), Saith (2001), Alkire (2002), Fukuda-Parr (2003), Kuklys (2003). Particularmente, Alkire (2005) no solo invita a crear agendas de investigación en esta materia, sino que propone rutas metodológicas para ser tratadas. Así esta investigación se circunscribe en esta visión, para lo cual se plantean reformas en relación con el contexto donde se desarrolla.
En cuanto a los estudios sobre las estimaciones del índice de agencia, la literatura no es tan abundante, de la cual se puede considerar el trabajo del Oxford Poverty and Human Development Initiative (OPHI), que ha sido el pionero en el abordaje de este tema con investigaciones que identifican las dimensiones faltantes en la medición de la pobreza y la construcción de indicadores comparables internacionalmente.
James E. Foster (1993) presenta una aproximación intuitiva para comparar conjuntos de oportunidades respecto de la extensión de la libertad. La principal cuestión que ocupa a Foster (1993) es esta: ¿cuándo un conjunto de oportunidades tiene mayores libertades efectivas que otro? El autor muestra las diversas propiedades que deben cumplirse en la medición de las libertades efectivas: unanimidad (o intersección) y composición.2 Un ejemplo clave es la condición que muestra cómo la relación efectiva de libertad puede clasificar conjuntos efectivos, incluso cuando los órdenes de preferencia estén en desacuerdo unos con otros. Dependiendo de la colección de las preferencias, el enfoque puede generar el ranking de utilidad indirecta, para lo cual las alternativas no elegidas no tienen ningún valor, o como el caso del ranking de cardinalidad de Pattanaik y Xu (2000), en el que cada alternativa tiene el mismo valor intrínseco.
De igual manera, Pattanaik y Xu (2000) elaboraron una investigación sobre la clasificación de conjuntos de oportunidad y examinaron cómo la libertad de elección se refleja en los conjuntos de oportunidad de un agente con la medición en entornos económicos. Los autores utilizan una metodología axiomática3 y concluyen que bajo diferentes conjuntos de axiomas se puede representar el ranking de grupos compactos de oportunidad por diferentes tipos de funciones reales con propiedades intuitivamente plausibles. Pattanaik y Xu (2000) proponen relaciones binarias sobre conjuntos de oportunidades que recogen adecuadamente los juicios de valor sobre la libertad de elección. Al igual que Foster (1993, 2010), Pattanaik y Xu (2000) se basan esencialmente en enfoques y metodologías axiomáticos para dar respuesta a las comparaciones entre diferentes conjuntos de oportunidad de libertades efectivas.
Arlegi, Lapresta y Meneses (2007) elaboran una revisión bibliográfica en la cual explican los criterios para elegir entre distintos conjuntos de oportunidades, entre ellos, el criterio de utilidad indirecta,4 el enfoque de la cardinalidad de los conjuntos de oportunidades,5 el basado en las preferencias razonables,6 el enfoque del bienestar7 y el basado en la preferencia por la flexibilidad.8 Los autores concluyen que casi todos los trabajos existentes en la literatura sobre libertad de elección siguen una metodología axiomática en función de lo que se entienda por libertad. Estos autores critican el hecho de que la teoría económica de la decisión, quizá por estar muy centrada en ciertos tipos de decisiones (de consumo o de producción), no ha sido capaz de reflejar satisfactoriamente el valor incuestionable del poder de elegir que tiene para el individuo.
Por su parte, Ibrahim y Alkire (2007) realizan una investigación en la que proponen una lista de indicadores internacionalmente comparables para la agencia individual y el empoderamiento y describen las definiciones de agencia y empoderamiento sobre las planteadas por Amartya Sen. En este artículo, presentan la propuesta de “lista corta” de los indicadores, la cual incluye un control sobre las decisiones personales de dominio específico, la toma de decisiones del hogar, la capacidad de cambiar aspectos de la vida individual y comunitaria. Adicionalmente, discuten las fortalezas y debilidades de cada indicador y plantean la necesidad de complementar esta lista con otras variables que permitan mejorar y profundizar las medidas internacionalmente comparables de la agencia y el empoderamiento, lo cual es el propósito de la presente investigación.
Tratando de estudiar aspectos que no se ven pero que son relevantes en la vida cotidiana, Pick et al. (2007) intentan medir los componentes de la agencia y el empoderamiento en México, para lo cual construyen la Escala para Medir Agencia Personal y Empoderamiento. Esta Escala incluye conceptos psicológicos como autoeficacia, autonomía, autodeterminación, control y autorregulación. A tal efecto, los autores incorporan reactivos agrupados según las siguientes variables: 1) autoeficacia, 2) autodeterminación, 3) control sobre las conductas personales, 4) pensamiento independiente, 5) identificación de necesidad de cambio, 6) miedo al éxito, 7) reconocimiento del aprendizaje personal, 8) percepción del contexto en lo individual y 9) control personal sobre el entorno.
Posteriormente, los autores realizan un análisis factorial y de frecuencias de ejes principales con rotación oblicua, cuyos resultados revelan que “la agencia personal y el empoderamiento son dos conceptos relacionados pero separados” (Pick et al., 2007). Asimismo muestran que esta Escala permite evaluar con validez y confiabilidad el efecto conjunto producido por ambos procesos. El estudio señala: “El empoderamiento puede ser causado a partir del contexto o a partir de la persona misma, que es precisamente el empoderamiento agéntico” (Pick et al., 2007). Por tanto, proponen que las mediciones futuras deben orientarse a la diferenciación entre estos.
En esta misma línea, Santos, Samman y Yalnetzky (2009) llevaron a cabo un trabajo pionero en tres capitales de países latinoamericanos en un intento por investigar y medir directamente el rol de agencia a partir de los desarrollos teóricos de Amartya Sen. Esta investigación explora su utilidad para disminuir la transmisión intergeneracional de la desigualdad, fue ejecutada en Buenos Aires, Managua y Ciudad de México y tenía un módulo de preguntas para medir el rol de agencia, que toma como referencia a Ibrahim y Alkire (2007). Este módulo fue aplicado a una muestra representativa de población adulta con hijos entre 12 y 18 años, con el objeto de construir el poder de decisión global, la escalera de libertad de decisión, la posibilidad de realizar cambios en la cuadra o edificio y la posibilidad de generar cambios en el barrio o localidad, los cuales sintetizan los indicadores globales de agencia. Además, Ibrahim y Alkire (2007) consideraron tres indicadores específicos: 1) las compras menores del hogar, 2) la actividad principal que realiza el entrevistado y 3) la educación de los hijos. Con estos criterios, crearon variables denominadas poder de decisión de compras del hogar y rol en el hogar y educación de los hijos. Para lo anterior, los autores recurrieron a la teoría psicológica de la autodeterminación desarrollada por Edward L. Deci y Richard M. Ryan (2000), citados por Santos, Samman y Yalnetzky (2009). A partir de ella construyeron el índice de autonomía relativa teniendo en cuenta que en esta teoría el concepto de autonomía está alineado con el concepto de rol de agencia de Sen. Adicionalmente, los autores usaron cuatro herramientas de análisis empírico, que son “el coeficiente de correlación de Kendall Tau b, pruebas de homogeneidad de distribuciones multinomiales, análisis de componentes principales y análisis de regresión con variables dicótomas (modelo probit) y con variables continuas (modelo de mínimos cuadrados ordinarios)” (Santos, Samman y Yalnetzky, 2009, p. 8). Los resultados muestran que funcionaron mejor los indicadores globales de agencia que los específicos, que la variable educación está más correlacionada con las diferentes variables en los tres países, seguida del nivel socioeconómico. En cuanto al género, no hay claridad, posiblemente los grupos entre 30 y 44 años ostentan mayor rol de agencia en México y en Nicaragua.
Es de destacar que para Alkire (2008) la agencia es inevitablemente plural en su concepción y en su medición.9 Asimismo describe las diferentes medidas de agencia que han sido utilizadas como variables (indirectas) como proxy de activos y como variables directas de control: la capacidad y los avances del propio bienestar. Finalmente concluye que uno de los problemas evidenciados es que muchas medidas proxy de la agencia son en realidad idénticas a las medidas tradicionalmente utilizadas en el análisis de la pobreza.10 Alkire (2008), al igual que Sen, reconoce que la atención en la agencia se ha centrado casi exclusivamente en el ejercicio directo de la agencia personal (entendida como control directo).
Por su parte, Samman y Santos (2009) ofrecen una visión general de la literatura sobre la agencia y el empoderamiento. Las autoras toman los indicadores propuestos por Ibrahim y Alkire (2007) para medir el empoderamiento a partir del concepto de agencia de Sen; en la revisión de la evidencia empírica (en su mayoría proveniente de Asia y África), encuentran que las principales correlaciones positivas de empoderamiento se asocian con la educación, la propiedad de la tierra, la situación del mercado laboral, la edad, la estructura familiar, el número de hijos, las normas sociales y la participación en los programas de microcrédito. La religión y la nacionalidad no parecen ser predictores importantes de la agencia. Asimismo, resaltan la ausencia de trabajos que indagen sobre los efectos de la agencia en los resultados del desarrollo, para lo cual invitan a elaborar trabajos que busquen modelar el efecto de la transmisión intergeneracional de la agencia.
Por otro lado, Foster (2010) revisa la literatura sobre la evaluación de la libertad de oportunidad, que, de manera intuitiva, define como el grado en el que un conjunto de opciones o un conjunto de oportunidades ofrece a un agente una serie de indicadores de opciones. Los objetos básicos del estudio son las clasificaciones de los conjuntos de oportunidad y las medidas de libertad basadas en medidas axiomáticas. En tal trabajo, este autor revisa tres enfoques para evaluar y medir la libertad de oportunidades: 1) la preferencia individual, 2) las preferencias plurales y 3) el ordenamiento de preferencias múltiples. En el primero, toma la posición insostenible de que simplemente no hay forma de determinar la conveniencia relativa de opciones. En el segundo enfoque, plantea la discusión exactamente en el tipo de información necesaria para evaluar la preferencia de la calidad de las diversas opciones. El tercer enfoque es utilizado para la evaluación de la libertad que asume que el tomador de decisión tiene múltiples ordenamientos de preferencias, cada uno de los cuales podría ser el relevante cuando existe una alternativa por elegir entre un conjunto de oportunidades. Bajo esta línea de análisis un argumento crítico puede ser ampliar la base de la evaluación para incluir otros factores, tales como el proceso por el que se hizo la elección, el número y las características de alternativas no elegidas (Sen, 1988, 2002).
Finalmente, el Informe regional sobre desarrollo humano para América Latina y el Caribe (PNUD, 2010) adoptó como documento base el desarrollado por Santos, Samman y Yalnetzky (2009). En este informe, se resalta la importancia de las aspiraciones y la autonomía, así como el rol de agencia en la superación de la desigualdad y la pobreza. El PNUD (2010) invita a seguir realizando trabajos que permitan medir y analizar el nivel de agencia, cabe anotar que en América Latina como en Colombia son muy pocos o casi inexistentes.
Por esta razón, se asume el enfoque de las capacidades humanas como marco teórico y normativo, el cual concibe la agencia como la capacidad de definir las metas de forma autónoma y de actuar a partir de ellas, que se entiende como “aquello que una persona tiene la libertad de hacer y lograr en búsqueda de las metas o valores que él o ella considere importantes [la traducción es nuestra]” (Sen, 1985, p. 203). Al respecto, Pick et al. (2007) sostienen que el concepto de agencia incorpora la acción y la intención humana, es decir, el significado, la motivación y el propósito que los individuos fijan en sus actividades. Por tanto, “la faceta de agente de la persona no se puede comprender sin tener en cuenta sus objetivos, propósitos, fidelidades, obligaciones y —en un sentido más amplio— su concepción del bien [la traducción es nuestra]” (Sen, 1985, p. 86). En suma, la agencia implica no solo la capacidad de predicción y control que las personas tienen sobre sus elecciones y decisiones, sino las acciones de las cuales son responsables. En este orden de ideas, la investigación incorpora los índices de autonomía relativa de Deci y Ryan (1985) citados por Santos, Samman y Yalnetzky (2009), que buscan determinar en qué medida las personas se involucran o no libremente en la realización de sus actividades, que tiene en cuenta una serie de mecanismos psicológicos reguladores de la conducta conducentes a una mayor comprensión hacia la motivación autodeterminada. Esta es una de las teorías que cuenta con una de las construcciones teóricas más coherentes y sólidas para explicar la motivación humana, las cuales son útiles para entender el concepto de agencia en el enfoque de las capacidades humanas.
De ahí que la presente investigación se realice atendiendo lo sugerido por el PNUD (2010) y pretenda utilizar la herramienta desarrollada por Santos, Samman y Yalnetzky (2009) e Ibrahim y Alkire (2007) con ajustes de contexto que permiten estimar el índice de agencia para Cúcuta en 2013.
3. METODOLOGÍA
La investigación emplea una metodología cuantitativo-exploratoria no experimental de corte transversal, en la que se utiliza una muestra representativa que se calcula a través de un muestreo aleatorio simple en poblaciones finitas, para esto se usa la encuesta social a fin de recolectar la información necesaria que permite estimar el índice de agencia y luego poder establecer la influencia entre el rol de agencia y las condiciones demográficas, socioeconómicas y políticas de la población, para lo cual se emplea un modelo econométrico como herramienta auxiliar de análisis.
3.1. Estimación muestral
Cúcuta cuenta con una población de 637 302 habitantes (2013), que representa 1.35 % de la población total nacional. Para calcular el valor muestral, se tienen en cuenta nueve de las diez comunas de la ciudad y se realiza un mayor número de encuestas en aquellas con más población (comunas 3, 7 y 8). De esta manera se cubren los estratos 1, 2, 3, 4 y 5 ante la imposibilidad de tener acceso a las comunas-zonas de estrato 6. En tal sentido, la muestra equivale a 384 individuos y sus características sociodemográficas son las siguientes: 70.31 % son mujeres y el valor restante son hombres y la mayoría de los adultos se encuentra en el rango etario entre los 36 y 45 años (44.53 %), seguido por 30.73 % con edades entre 46 y 55 años, y el resto es menor de 35 años.
Por otro lado, cerca de 64.31 % de la población está casada o en unión libre, mientras que 35.69 % se encuentra sin pareja (soltero, separado o viudo). Con respecto a la estratificación de la vivienda, 21.62 % reside en una vivienda ubicada en el estrato 1, 47-65 % vive en una zona estrato 2, 19.53 % habita en el estrato 3, mientras que en el estrato 4 y 5 se encuentra 9.64 % y 1.56 %, respectivamente.
Al revisar el nivel educativo de la población objeto de estudio, se evidencia que 16.66 % culminó el ciclo primario, 24.22 % posee ciclo secundario, 6.51 % alcanzó el nivel técnico, 8.85 % acumuló educación universitaria, mientras que tan solo a nivel posgradual 2.86 % posee una especialización y cerca de 0.78 % terminó una maestría. Finalmente, cerca de 3.65 % de la población es analfabeta, el resto acumula estudios incompletos en primaria, secundaria y universitaria (36.86 %).
En cuanto a las condiciones laborales, sobresalen las ocupaciones informales, con 52.86 %, mientras las actividades laborales formales representan 22.66 %, resultado que es consistente con la situación laboral de la ciudad, el resto o está desempleado (2.31%) o se clasifica como población económicamente inactiva (22.13 %); en esta última categoría sobresalen las amas de casa.
3.2. Cálculo del índice de agencia global
El cálculo del índice de agencia global cuenta con dos tipos de indicadores: 1) los de tipo global y 2) los de tipo específico. Entre los llamados globales se encuentran:
a) El poder de decisión global, que indaga sobre el control que la persona considera que tiene sobre las decisiones en sus actividades cotidianas, toma valores de 1 (opción “ninguna”), 2 (opción “algunas”), 3 (opción “la mayor parte”) y 4 (“opción “todas”).
b)La escalera de libertad de decisión, que hace uso del dibujo de una escalera, busca evidenciar la libertad para elegir y decidir del encuestado a través de la posición que asuma en una escala de 1 a 10 escalones, donde el primer escalón indica que el individuo no tiene nada de libertad para elegir o decidir, y el décimo refleja todo lo contrario.
c) La posibilidad de cambios a nivel individual, que intenta evidenciar el grado de dificultad que enfrentaría la persona para poder realizar cambios en su vida, toma valores de 1 (“otro”), 2 (“su comunidad y gobierno”), 3 (“su familia y amigos”) y 4 (“usted mismo”).
d) La posibilidad de cambios a nivel colectivo, que, al igual que el anterior, mostrará la dificultad para poder realizar cambios en la localidad o barrio en que vive, se agrupa en tres opciones de respuesta: si, fácilmente; sí, con dificultad; y no, para nada.
Por otra parte, entre los índices específicos se encuentran:
a) El poder de decisión de compras del hogar (índice de autonomía relativa-C), que trata de indagar sobre quién o quiénes deciden sobre las compras menores que se hacen en el hogar.
b)El rol en el hogar (índice de autonomía relativa-AP), que muestra la actividad principal que realiza la persona, si es ama de casa, si participa en el mercado laboral y qué actividad realiza.
c)La educación de los hijos (índice de autonomía relativa-EDH),que se refiere al logro educativo de los hijos, el año que cursanolos estudios terminados, se asume como índice de autonomíarelativa relacionado con el logro educativo.
A partir de las preguntas planteadas por los autores de la teoría de la autodeterminación y las adaptaciones hechas por Santos, Samman y Yalnetzky (2009) para medir el índice de agencia global, se obtienen unas variables para cada tipo de regulación externa, otras para la regula-ción introyectada y una de regulación identificada para toda la muestra. Paso seguido con las variables se construyen los subíndices de índice de autonomía relativa-C, el índice de autonomía relativa-AP y el índice de autonomía relativa-EDH. El índice de autonomía relativa toma valores entre –9 y 9, que muestra un nivel creciente de autonomía. La fórmula es la siguiente:
Índice de autonomía relativa= (–1) [respuesta de presión externa 1] + (–1) [respuesta de presión externa 2] +(–1) [respuesta de regulación introyectada] + (3)[respuesta de regulación integrada e identificada]11 (1)
La presente investigación contempla dos supuestos para los indica-dores específicos en aquellas personas que manifiestan no participar en estos contextos: 1) en las personas que no participan porque así lo han decidido, su índice de autonomía relativa toma un valor de 0 y 2) en las que no participan porque no pueden (algo o alguien se lo impide) se asume un valor de –9. Lo anterior permite identificar al individuo que tiene y al individuo que no tiene la opción de decidir y elegir.Para calcular el índice de agencia individual y el índice de agen-cia global que resume los índices globales y específicos, se recurre a una estimación no paramétrica similar a la metodología usada en el cálculo del índice de desarrollo humano. Los pasos son los siguientes:
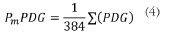
Se calcula el nivel de agencia de cada individuo como un promedio de los siete subíndices que integran el índice de agencia; en ausencia de un valor de referencia, el valor hallado se adopta como tal para cada individuo a partir de la siguente ecuación:

Una vez se obtiene el valor de referencia de cada individuo e identificado el mínimo y el máximo nivel de agencia entre los individuos, se estima el índice de agencia a tráves de la siguiente fórmula:

La fórmula 3 permite estimar un índice que varía entre 0 y 1, por lo que un resultado de 0 indica un nivel nulo de agencia, mientras que uno de 0,5 indica que el nivel de agencia del individuo se encuentra en un nivel medio; en consecuencia, un índice de agencia igual a 1 revela un índice de agencia alto y deseable. Esta aplicación muestra "la posición de cada individuo respecto del del mínimo valor de agencia, ponderado por la distancia máxima entre los individuos conmayor y menor nivel de agencia" (PNDU, 2010, p. 141).
Similar al ejercicio anterior, el cálculo del índice de agencia global se lleva a cabo a partir del promedio de cada uno de los subíndices, que identifica el mayor y menor promedio entre los siete







Luego se halla el índice a partir de cada uno de los subíndices, los cuales oscilan entre 0 y 1:







Finalmente, se emplean los subíndices estimados y se procede a calcular el índice de agencia global de todos los individuos.

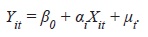
Luego de estimar los índices, se establece un modelo de regresión que permite establecer la influencia de las condiciones demográficas, sociales, económicas y políticas atribuibles al individuo sobre el ín-dice de agencia estimado. La versión del modelo se representa como:

Donde:
Yit: es el índice de agencia del individuo i en el año t, que en lainvestigación es 2013.
β0: es el intercepto.
Xit: es el vector que recoge la influencia de las condiciones demográficas, socioeconómicas y políticas atribuibles al individuo i durante 2013.
αi: es la variable residual que representa el cambio del vector Xit,mientras que µt es el término error del modelo.
Los factores demográficos vienen dados por el sexo, la edad, la condición civil y el número de hijos de cada individuo. El factor que representa las condiciones sociales es el nivel educativo alcanzado, mientras que las condiciones económicas y políticas vienen representadas por el estrato y el número de veces que ha votado cada individuo en los comicios electorales de Cúcuta.
4. RESULTADOS
Se estimaron cuatro indicadores globales. El primero de ellos hace referencia al nivel de poder de decisión global, cuyos resultados para Cúcuta muestran que 1 % de los individuos manifiesta no tener control sobre “ninguna” de sus decisiones cotidianas, 28 % sobre “algunas” y el referente a las decisiones como “la mayor parte” y “todas” presenta un patrón de 35 %, respectivamente. El segundo indicador es la escalera de libertad de decisión, donde el escalón mínimo elegido por la población es el 4 (0.52 %) y 87 % se ubica entre los escalones 7 y 10, que refleja una elevada libertad para elegir y decidir sobre su vida. El tercer índice es la posibilidad de cambios a nivel individual, cuyas estimaciones muestran que 57 % de los individuos expresa que tiene la posibilidad de realizar cambios en su propia vida, mientras que 58.6 y 30.5 % de los encuestados manifiesta que difícilmente puede realizar cambios a nivel colectivo o en su defecto expresa que no puede realizar cambios de orden social.12
Los índices de autonomía relativa revelan el poder de decisión y el nivel de autonomía de las personas en tres contextos específicos: 1) el índice de autonomía relativa-C, 2) el índice de autonomía relativa-AP y 3) el índice de autonomía relativa-EDH. Los resultados muestran que en la ciudad los valores más frecuentes en los subíndices de índice de autonomía relativa-C y de índice de autonomía relativa-AP oscilan en intervalos de cuatro a seis, que representan 41 % para cada índice. En cambio, el índice de autonomía relativa-EDH muestra una mayor proporción con 55.5 % con valores de siete a nueve.
Sin embargo, las personas que no participan en las decisiones del hogar y presentan un nivel nulo de autonomía se sitúan en su mayoría en el índice de autonomía relativa-EDH y el índice de autonomía relativa-C con 7.55 y 1.6 %, respectivamente. Este comportamiento puede ser explicado en el primer caso, porque algunos de los hijos de las personas encuestadas cursan estudios universitarios, poseen mayoría de edad y además trabajan, lo cual explica que sean ellos los que tomen sus propias decisiones y no la persona encuestada; en el segundo caso, podría justificarse por aquellas situaciones en las que el individuo es hombre (y por tradición las actividades atinentes al hogar son “labores femeninas”). También se presenta el caso donde el individuo es una mujer (ama de casa) que además no devenga un sueldo, por lo que está constreñida y no puede tomar decisiones al respecto. Asimismo, el índice de autonomía relativa- de los hijos es el que presenta la mayor dispersión de los datos (4.85) con respecto a la media (5.065), aunque la diferencia entre el promedio de los índices de autonomía relativa en los tres contextos específicos (compras, actividad principal y educación de los hijos) no es tan estadísticamente amplio: 5.3, 5.3 y 5.0, respectivamente.
El resultado de la estimación del índice de agencia evidencia que la población presenta una alta capacidad para decidir sobre su propia vida y una baja capacidad para generar cambios de orden social o colectivo, como se refleja en el índice de agencia global de 0.695 para el primer caso. Este resultado es producto de los elevados índices globales de cada uno de los siete subíndices que integran el índice de agencia. De los cuatro índices calculados para los indicadores globales13 contrastan dos de ellos: la posibilidad de “cambios a nivel individual” (0.80 puntos) y “cambios a nivel colectivo” (0.40 puntos).14 Esto puede ser explicado probablemente debido a que las condiciones demográficas, socioeconómicas y políticas son favorables para una pequeña porción de la población, como se indicó en párrafos anteriores, y esto se relaciona con los funcionamientos de las libertades reales de los individuos. En cuanto al índice global de la “escalera de libertad” y el “poder de decisión global”, arrojan resultados igualmente altos, con valores de 0.684 y 0.732, respectivamente.
Los subíndices de autonomía relativa presentan un comportamiento similar a los indicadores globales, toman valores de 0.796 (índice de autonomía relativa-C), 0.665 (índice de autonomía relativa-AP) y 0.781 (índice de autonomía relativa-EDH) puntos. Cabe resaltar que, en el índice de autonomía relativa-C, 93 % de los encuestados manifiesta poder participar con autonomía en las decisiones sobre las compras del hogar, frente a 7 % que afirma no poder hacerlo; el índice de autonomía relativa- sobresale en la medida en que la totalidad de los entrevistados (100 %) suele decidir sobre su actividad laboral. Ahora bien, frente EDHal índice de autonomía relativa-, 82.5 % expresa participar en la educación de sus hijos, mientras 17.5 % declara lo contrario.
Al contrastar las estimaciones del índice de agencia teniendo en cuenta las características demográficas de la población, se devela que las mujeres cuentan con una mayor capacidad de agencia, que representa un índice de 0.683, mientras que el índice para el caso de los hombres equivale a 0.664. No obstante, al tener en cuenta la edad en los rangos de 36 a 45 y 46 a 55 años, los hombres ostentan un índice de agencia mayor, aunque cabe advertir que en la medida en que avanza la edad, el índice cae, hecho que fue corroborado con el modelo econométrico que se utiliza como herramienta auxiliar de análisis.15
Una vez realizadas las estimaciones del índice de agencia teniendo en cuenta los valores altos y los valores bajos, se plantean dos escenarios con condiciones demográficas y socioeconómicas antagónicas: uno favorable y otro desfavorable. Para el primer escenario, se plantea que sea hombre o mujer, casado, con estudios posgraduales (especialización o maestría), con empleo formal, estrato 4 y con ingresos mayores a cinco salarios mínimos mensuales legales vigentes, dichos individuos obtienen un índice de agencia igual a uno. Mientras que bajo el escenario desfavorable, siendo hombre o mujer, en unión libre, con estudios primarios completos o incompletos, en estrato 1 o 2, que devengen uno o menos de un salario mínimo y sean desempleados, el índice de agencia es igual a 0. El índice tiende a ser de 0.5 para el caso de los individuos que realizan actividades informales.
Al comparar estos hallazgos con las estimaciones paramétricas, las condiciones socioeconómicas medidas con el estrato y el nivel educativo presentan una relación positiva con el índice de agencia, con un parámetro de 0.01 y 0.05.16 Para el caso de la participación política, el signo es positivo pero el estimador no es estadísticamente significativo. Para el caso de las condiciones demográficas, la influencia sobre el índice de agencia es negativa y significativa con la edad (0.003), el sexo (0.07) y el número de hijos (0.01), excepto el estado civil,17 mientras que el efecto conjunto es equivalente a 0.41 (figuras 2, 3, 4 y 5).
5. DISCUSIÓN Y CONCLUSIONES
Esta investigación se encargó de estimar el índice de agencia en Cúcuta. Los cálculos condujeron a realizar comparaciones con condiciones demográficas y socioeconómicas opuestas, que evidencian que el rol de agencia está influenciado positivamente por los logros educativos y por las mejoras de las condiciones económicas de la población, mientras que el efecto es negativo cuando se tiene en cuenta el incremento de la edad y el número de hijos a cargo. Lo anterior sirve de sustento para probar los nexos empíricos entre las libertades instrumentales, en este caso específico, entre las libertades como oportunidades sociales (educación alcanzada) o en su defecto entre las libertades económicas (ocupación, estrato o ingreso devengado) y la agencia humana.
En este sentido, los arreglos sociales y los resultados del desarrollo han de evaluarse en función del grado de libertad efectivo y de la capacidad real para ejercer la agencia razonada, es decir, la libertad como agencia. Un medio para tal fin es la educación. Es evidente que los hacedores de políticas deben tener como objetivo lograr una ampliación de las oportunidades sociales a través de la educación y, dada la interdependencia e interconexión entre las libertades, el resultado es una mejora en las condiciones de vida de las personas, que les permiten generar cambios e iniciativas encaminadas a superar sus propias privaciones.
En este estudio, se logra evidenciar que la población con condiciones socioeconómicas desfavorables presenta problemas u obstáculos que no permiten generar cambios a nivel colectivo, no siendo así a nivel individual, lo cual está relacionado por el contexto. En Cúcuta, es razonable pensar que el marco institucional y el sistema económico ha provocado privaciones que limitan las formas de ser y hacer de los individuos, que genera una percepción limitada de la libertad y del ejercicio de la agencia.
Notas
1 Las libertades económicas hacen referencia a la capacidad que tienen los individuos para participar efectivamente en los mercados de trabajo, la producción o el consumo. Las libertades como oportunidades sociales aluden al sistema social creado para generar oportunidades con la educación, la vivienda o la salud, etc. Las libertades como seguridad protectora son las redes de protección institucional que se crean para evitar que una persona caiga en la peor de las privaciones. Por último, la libertad como garantías de transparencia se refiere al nivel de franqueza, confianza y solidaridad existente entre los individuos, que permite crear tejido social para diversos fines.
2 Foster construye un ranking de libertad por la intersección de las clasificaciones indirectas de utilidad, derivadas de un conjunto de preferencias. Bajo este enfoque, un conjunto tendrá una mayor libertad que otro si —y sin importar la relación de preferencia— tiene por lo menos una alta utilidad indirecta y si por alguna relación de preferencia es más alta.
3 Se imponen ciertos axiomas o condiciones que reflejan intuiciones plausibles acerca de qué significa ser más o menos libres para elegir en situaciones sencillas, y se analizan criterios generales de comparación de conjuntos de oportunidades que sean lógicamente consistentes con el conjunto de axiomas impuestos.
4 Según este criterio, solo se tiene en cuenta el mejor elemento de cada conjunto, de forma que el máximo bienestar para un agente se consigue cuando se escoge aquel conjunto que contenga la mejor alternativa para el agente.
5 Cuando los conjuntos de alternativas son finitos, se preferirán aquellos que contengan un mayor número de alternativas, sin entrar a valorar la calidad de las alternativas que forman cada conjunto.
6 Solo se deben tener en cuenta aquellas preferencias que cualquier persona razonable tendría en la posición del agente cuya libertad se desea evaluar.
7 Este enfoque combina el criterio de la utilidad indirecta con consideraciones sobre libertad de elección, de forma que el agente se preocupa tanto por la calidad de la elección final como por la libertad de elección asociada a un conjunto de oportunidades.
8 La preferencia por la flexibilidad surge con decisiones referentes a más de un periodo y cuando existe cierto grado de incertidumbre sobre el valor y la disponibilidad de alternativas futuras.
9 La agencia se ejerce con respecto a las metas de los valores de la persona, incluye el poder efectivo, el control directo sobre bienestar u otros con respecto a los objetivos. La agencia también implica una evaluación del valor de las metas para el agente.
10 Tal como los años de escolaridad, la situación laboral, la propiedad de bienes y el estado de salud.
11 Versión original del índice IAR = (–2) [respuesta de presión externa] – [respuesta de regulación introyectada] + [respuesta de regulación identificada] +2 [respuesta de regulación integrada].
12 Cuarto índice global que representa la posibilidad de hacer cambios de nivel colectivo.
13 La desviación estándar de estos indicadores no es estadísticamente significativa.
14 El 57.03 % de la población considera que puede realizar cambios sobre su vida, pero que difícilmente puede llevar a cabo cambios colectivos (58.59 %), junto con los que creen no poder desarrollarlos (30.47 %).
15 Ver figuras 3 y 4. Los rangos de edad se codifican de la siguiente manera: 34-35 (1), 36-45 (2), 46-55 (3), 56-65 (4), 66-75 (5); y el estado civil: casado (1), separado (2), soltero (3), unión libre (4), viudo (5).
16 Nivel de significancia de 95 % y un margen de error de 5 %.
17 La variable número de hijos es significativa a un margen de error de 6 y 10 %, respectivamente, mientras que el estado civil no es relevante, al contrario de los hallazgos de Santos, Samman y Yalnetzky (2009).
REFERENCIAS
Alkire, S. (2005a). Valuing freedoms: Sen's capability approach and poverty reduction. Oxford, Nueva York: Oxford University Press. [ Links ]
Alkire, S. (2005b). Subjective quantitative studies of human agency. Social Indicators Research, 74(1), 217-260. [ Links ]
Alkire, S. (2008a). Concepts and measures of agency'. OPHI Working Paper, 9. University of Oxford. [ Links ]
Alkire, S. (2008b). The capability approach to the quality of life. Recuperado de http://www.insee.fr/fr/publications-et-services/dossiers_web/stiglitz/doc-commission/capability_approach.pdf. [ Links ]
Ángulo Salazar, R., Díaz Cuervo, Y. y Pardo Pinzón, R. (2011). Índice de pobreza multidimensional para Colombia 1997-2010. Archivos de Economía, 382. Recuperado de https://colaboracion.dnp.gov.co/CDT/Estudios%20Econmicos/382.pdf. [ Links ]
Arlegi Pérez, R., García Lapresta, J. y Meneses Poncio, L. (2007). Libertad de elección: algunos enfoques axiomáticos. Asepuma,15(1), 104-115. [ Links ]
Brandolini, A. y D'Alessio, G. (1998). Measuring well-being in the functioning space. Recuperado de http://www.ophi.org.uk/wp-content/uploads/Brandolini-DAlession-19981.pdf. [ Links ]
Fukuda-Parr, S. (2003). The human development paradigm operationalizing Sen is ideas on capabilities. Feminist Economics, 9, 301-317. [ Links ]
Foster, J. E. (2010a). Notes on effective freedom. OPHI Working Paper, 34. University of Oxford [ Links ]
Foster, J. E. (2010b). Freedom, opportunity and wellbeing. OPHI Working Paper, 35. University of Oxford [ Links ]
Hick, R. (2012). The capability approach: insights for a new poverty focus. Journal of Social Policy, 41(2), 291-308. [ Links ]
Ibrahim, S. y Alkire, S. (2007). Agency and empowerment: A proposal for internationally comparable indicator. OPHI Working Paper, 4. University of Oxford. [ Links ]
Kuklys, W. (2003). Measurement and determinants of welfare achievement-evidence from the UK. Cambridge: Cambridge University. [ Links ]
Pattanaik, P. K. y Xu, Y. (2000). On ranking opportunity sets in economic environments. Journal of Economic Theory, 93(1), 48-71. [ Links ]
Pick, S., Sirkin, J., Ortega, I., Osorio, P., Martínez, R., Xocolotzin, U. y Givaudan, M. (2007). Escala para medir agencia personal y empoderamiento (ESAGE). Interamerican Journal of Psychology, 41(3), 295-304. [ Links ]
Programa de las Naciones Unidas para el Desarrollo (2010). Informe Regional sobre Desarrollo Humano para América Latina y el Caribe 2010. San José, Costa Rica. [ Links ]
Robeyns, I. (2000). An unworkable idea or a promising alternative?: Sen's capability approach re-examined. Recuperado de https://feb.kuleuven.be/drc/Economics/research/dps-papers/dps00/dps0030.pdf. [ Links ]
Saith, R. (2001). Capabilities: The concept and its operationalization. Working Paper Number 66. QEH Working Paper Series. Queen Elizabeth House, University of Oxford. [ Links ]
Samman, E. y Santos, M. E. (2009). Agency and empowerment: A review of concepts, indicators and empirical evidence. Recuperado de http://www.ophi.org.uk/wp-content/uploads/OPHI-RP-10a.pdf. [ Links ]
Santos, M. E., Samman, E. y Yalnetzky, G. (2009). Agencia de los padres y logros de los hijos: explorando el caso de América Latina. Recuperado de http://www.ophi.org.uk/wp-content/uploads/OPHI-RP-12a.pdf. [ Links ]
Sen, A. (1982). Rights and agency. Philosophy and Public Affairs, 11(1), 3-39. Recuperado de http://www.jstor.org/stable/2265041. [ Links ]
Sen, A. (1985). Well-being, agency and freedom. Philosophy and Public Affairs, 82(4), 169-221. Recuperado de http://www.jstor.org/stable/2026184. [ Links ]
Sen, A. (1997). Bienestar, justicia y mercado. Barcelona: Paidós. [ Links ]
Sen, A. (2000). Desarrollo y libertad. Barcelona: Planeta. [ Links ]
Sen, A. (2009). La idea de la justicia. Madrid: Taurus. [ Links ]
Sen, A. y Nussbaum, M. (1996). Capacidad y bienestar. En A. Sen y M. Nussbaum (eds.), La calidad de vida (pp. 54-83). México: Fondo de Cultura Económica. [ Links ]


















