Services on Demand
Journal
Article
Indicators
-
Cited by SciELO -
Access statistics
Related links
-
Cited by Google -
Similars in
SciELO -
Similars in Google
Share
Revista Colombiana de Ciencias Hortícolas
Print version ISSN 2011-2173
rev.colomb.cienc.hortic. vol.9 no.1 Bogotá Jan./June 2015
https://doi.org/10.17584/rcch.2015v9i1.3743
Doi: http://dx.doi.org/10.17584/rcch.2015v9i1.3743
1 Programa de Maestría en Ciencias Agrarias, línea Fisiología de Cultivos, Facultad de Ciencias Agrarias, Universidad Nacional de Colombia, Bogotá (Colombia).
2 Facultad de Ciencias Agrarias, Departamento de Agronomía, Universidad Nacional de Colombia, Bogotá (Colombia).
3 Autor para correspondencia.hardilag@unal.edu.co
Fecha de recepción: 05-03-2015. Aprobado para publicación: 28-05-2015
RESUMEN
La poda en el cultivo de lulo ha sido poco estudiada en procura de aumentar la producción, siendo esta una de las especies frutales con mayor potencialidad en Colombia. Con el fin de encontrar la poda que origina el mayor número de frutos, rendimiento e ingreso bruto se evaluaron plantas en el municipio de San Antonio del Tequendama (Cundinamarca, Colombia). Se utilizó un diseño experimental de bloques completos al azar con arreglo factorial 3x3+1, en donde el primer factor correspondió al número de tallos por planta (3, 4 y 5) y el segundo fue el número de racimos por planta (20, 30 y 40), más un testigo sin poda. Se evaluaron las variables número y peso de frutos (rendimiento) en las diferentes categorías de calidad (extra, primera a quinta), establecidas para este cultivo. Se encontró que las plantas con 20 racimos desarrollaron el menor número de frutos y producción por planta, pero compensado con una proporción alta de frutos en la categoría extra. El testigo produjo el número de frutos más alto (213/planta), pero con la mayor proporción en las categorías de calidades inferiores (tercera a quinta) y, además, el rendimiento de las plantas sin poda (38,6 t ha-1) fue significativamente menor que en las plantas con 30 o 40 racimos, independiente del número de tallos. Podando las plantas a 40 racimos y dejando 4 o 5 tallos, se produjo no solamente el mayor rendimiento de frutos (53,8 y 53,9 t ha-1, respectivamente), sino también el valor comercial más alto de la producción.
Palabras clave adicionales: rendimiento, peso fruto, numero frutos, categoría, valor comercial, naranjilla.
ABSTRACT
Pruning in lulo crops has been little studied in terms of increasing production, especially since this species is one of the fruits with higher potential in Colombia. To find out if pruning causes the greatest number of fruits, the yield and gross income of plants were evaluated in the municipality of San Antonio del Tequendama (Cundinamarca, Colombia). The experimental design used completely randomized blocks with a factorial arrangement of 3x3+1, where the first factor corresponded to the number of stems per plant (3, 4, and 5) and the second factor was the number of clusters per plant (20, 30, 40), along with a control without pruning. The measured variables were number of fruits, fruit weight (yield) and different categories of fruit quality (extra, first to fifth category). It was found that the treatments with 20 clusters per plant developed the lowest number of fruits and total fruit production per plant, but this was compensated for by having the highest proportion of fruits in the extra category. The control produced the highest fruit number (213/plant), but it also had the highest proportion of fruits in the lower categories (third to fifth). Also, the yield of the plants without pruning (38.6 t ha-1) was significantly lower than that of the plants with 30 or 40 clusters, irrespective of the number of stems. Pruning the plants to 40 clusters, leaving 4 to 5 stems, not only produced the highest fruit yield (53.8 and 53.9 t ha-1, respectively), but also had the highest commercial production value.
Additional key words: yield, fruit weight, fruit number, category, commercial value, naranjilla.
INTRODUCCIÓN
El lulo es considerado un frutal importante en Colombia y promisorio para la exportación a mercados internacionales, debido a su alto valor nutricional, sabor y apariencia (Huyskens-Keil et al., 2001; Tamayo et al., 2001). En Colombia, para el año 2013, se reportó un área de producción de aproximadamente 7.327 ha, con una producción de 68.748 t y un rendimiento de 9,4 t ha-1 (Agronet, 2015). El 74% de la producción del cultivo en Colombia se realiza en un esquema de economía campesina, donde se desconoce el efecto de diferentes prácticas agronómicas sobre la producción de este frutal (Ríos et al., 2004).
La planta de lulo es considerada una especie de sotobosque (Fischer, 2005), pero a nivel comercial se puede sembrar bajo condiciones de luz solar plena (Lobo, 2000). La planta alcanza una altura entre 2,0 a 2,5 m, con tallos fuertes y semileñosos, y hojas gruesas, suculentas de 45 cm de largo y 35 cm de ancho, con un color verde oscuro y venas visibles de color morado o verde. Los frutos son globosos de color amarillo-dorado y con numerosas semillas (600-1.200) (Bonnet y Cárdenas, 2012).
El rendimiento y la calidad del lulo están definidos, entre otros aspectos, por el manejo realizado a la plantación, el cual involucra conocimiento sobre la poda, así como de la fisiología de la planta y del fruto, antes y después de cosechado, por tanto, los esfuerzos y recursos invertidos en la plantación pueden perderse fácilmente por la aplicación de prácticas inadecuadas de manejo, tanto en cultivo como en poscosecha (Mejía et al., 2012).
La poda es una práctica agronómica indispensable para el desarrollo de diferentes cultivos, debido a que permite incrementar la producción y calidad de frutos (Casierra-Posada y Fischer, 2012). El objetivo principal de la poda es balancear el crecimiento vegetativo y reproductivo de la planta, con el fin de obtener la mejor producción posible (Génardet al., 2008), sin embargo, las podas drásticas reducen el área foliar, la fotosíntesis y la translocación de fotoasimilados a órganos como frutos y raíces favoreciendo el crecimiento vegetativo (Casierra-Posada y Fischer, 2012). En las podas es necesario entender que las bases fisiológicas de la producción de biomasa seca dependen del concepto fuente/demanda, donde la fuente es la capacidad para fotosintetizar y la demanda es la capacidad potencial para aprovechar los productos fotosintetizados (Fischer et al., 2012). Si la demanda es pequeña, el rendimiento agronómico se puede ver afectado en cantidad, pero si la demanda es grande, en número y tamaño, el rendimiento puede ser bajo si la actividad y el tamaño de la fuente son limitados (Cabezas, 2006).
Medina et al. (2008) estudiaron la dinámica diferencial de acumulación de materia seca en plantas de lulo crecidas a plena exposición de luz, encontrando que en la etapa vegetativa, la biomasa se acumula principalmente en el follaje (>50% de la biomasa de la planta), mientras que en la fase reproductiva, se presenta un aumento porcentual de esta en los tallos y, por último, en el periodo productivo, se presenta una redistribución parcial de la materia seca foliar, entre las hojas, las flores y los frutos. A pesar de lo anterior, la información es limitada en cuanto al efecto de la poda en la producción, redistribución de masa seca y rendimiento de plantas de lulo. Además, en algunas zonas nuevas de producción, se adoptan recomendaciones de podas de otras zonas productoras, lo cual es una limitante para un manejo agronómico adecuado del cultivo, y genera producciones deficientes y de baja calidad (Ardila, 2015). Por tanto, el objetivo del presente trabajo fue evaluar el efecto de diferentes intensidades de la poda de tallos y racimos de plantas de lulo en la producción, rendimiento y calidad del cultivo, lo cual es de gran importancia debido a que permitirá realizar una recomendación de poda para obtener los mayores rendimientos y calidades de frutos del cultivo.
MATERIALES Y MÉTODOS
El experimento se realizó en un cultivo comercial en el municipio de San Antonio del Tequendama (Cundinamarca), en la vereda "Laguna Grande" finca "La Despensa", situada a 4°38'02,55" N y a 74°20'07,57" W, a 1.900 msnm. Esta zona presentó una temperatura promedio de 18°C, humedad relativa del 80% y una precipitación anual de 1.700 mm. El material vegetal utilizado fueron plantas de lulo de Castilla (Solanum quitoense. var. septentrionale), que se sembraron a una distancia de 3,0 × 2,5 m (1.333 plantas/ha).
La fertilización se realizó a partir del análisis de suelo, aplicando los nutrientes requeridos por el cultivo según recomendación de Bonnet y Cárdenas (2012), con las fuentes 18-18-18-2 (N-P- K-Mg) y 10-30-10 (N-P-K), el complemento de la nutrición con elementos menores se realizó con fuentes simples según los requerimientos del cultivo. El riego se efectuó de acuerdo con las condiciones climáticas presentadas en la zona, tratando de conservar el suelo a capacidad de campo. Para el control de plagas y enfermedades se realizaron monitoreos semanales para determinar las incidencias de plagas y enfermedades, adelantar un manejo preventivo a las plantas y así evitar ataques severos que pudieran influenciar negativamente con relación a la producción y calidad de los frutos en el ensayo.
Las podas de los tallos se realizaron a los 60 d después del trasplante (ddt), retirando los tallos basales de la planta que se presentaran a una altura menor de 50 cm, con un corte recto a ras del tallo principal, dejando 3, 4 o 5 tallos sanos; estos se seleccionaron de la estructura principal de la planta y todos por debajo de la horqueta (figura 1), estos tallos forman parte de la estructura primaria de la planta.

La poda de los racimos florales fue realizada a medida que se completaban el número de racimos por tallo requeridos para el ensayo, cuando se alcanzó el número necesario de racimos por tallo, este se despuntó dejando una hoja por encima del último racimo floral para evitar los daños por golpe de sol; esta práctica se ejecutó en horas de mañana. En el testigo no se hizo despunte después de los 40 racimos, pero también se lo condujo con cinco tallos que se desprendieron de la estructura primaria.
La cosecha de los frutos se realizó a partir de 330 ddt y terminó en máximo 360 d, cuando los tratamientos con 40 racimos terminaron su desarrollo del fruto. El criterio para definir el tiempo de cosecha fue cuando los frutos presentaron un desarrollo de color naranja del 90%. En cada cojín floral (racimo) se determinó el número de frutos, y cuando el cojín floral presentó más de seis frutos se eliminaron los excedentes. Al final de la cosecha se realizó un conteo total de los frutos por racimo, tallo y planta.
Las calidades se determinaron según las categorías establecidas por el Icontec (2002), de la siguiente manera: categoría extra: peso >200 g, primera: 170-199 g, segunda: 150-169 g, tercera: 120-149 g, cuarta: 90-119 g y quinta: <90 g.
Se utilizó un diseño experimental en bloques completos al azar, con arreglo factorial de tratamientos 3 × 3+1, en donde el primer factor correspondió al número de tallos por planta (3, 4 o 5) y el segundo factor fue el número de racimos por planta (20, 30 o 40), además se incluyó un testigo absoluto sin ninguna de las anteriores podas. Cada unidad experimental estuvo compuesta por tres plantas, para un total de 120 plantas. Los tratamientos y sus abreviaturas fueron: 3T+20R (3 tallos + 20 racimos); 3T+30R (3 tallos + 30 racimos); 3T+40R (3 tallos + 40 racimos); 4T+20R (4 tallos + 20 racimos); 4T+30R (4 tallos + 30 racimos); 4T+40R (4 tallos + 40 racimos); 5T+20R (5 tallos + 20 racimos); 5T+30R (5 tallos + 30 racimos); 5T+40R (5 tallos + 40 racimos); testigo (sin poda) (figura 1).
Los datos cumplieron los supuestos de normalidad (Shapiro-Wilk) y homogeneidad de varianzas (Levene). Se realizó un análisis de varianzas (Anova) y prueba de comparación de medias de Tukey (P≤0,05) para determinar diferencias entre tratamientos.
RESULTADOS Y DISCUSIÓN
Número de frutos
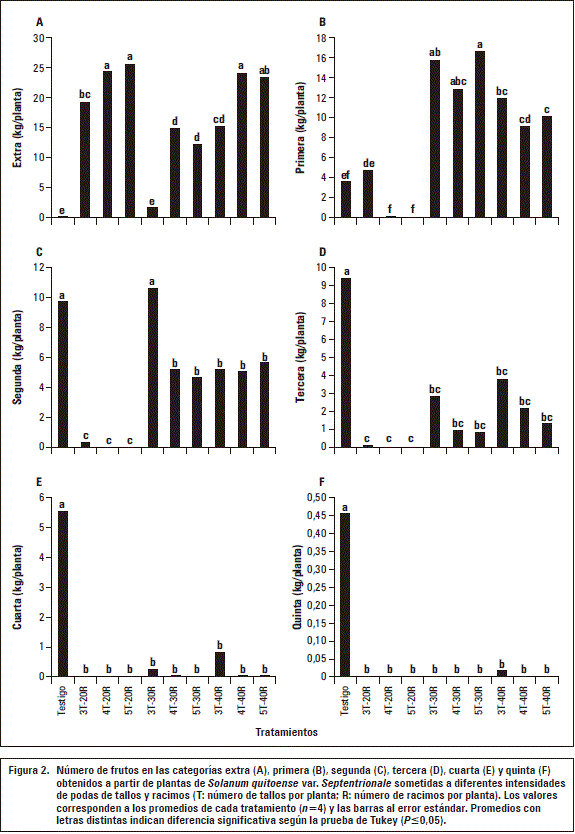
Categoría extra. El testigo y el tratamiento 3T-30R presentaron el menor número de frutos en la categoría extra, con diferencias significativas (P≤0.05) respecto a los demás tratamientos (figura 2A). Las plantas sin poda produjeron pocos frutos de alta calidad, coincidiendo con lo encontrado por Marini (2003), quien afirma que la poda de árboles frutales es una práctica necesaria para mejorar la calidad de los frutos, debido a la eliminación del exceso de yemas florales, fomentando el crecimiento de nuevos brotes con yemas florales de alta calidad. Los tratamientos 4T-20R, 4T-40R, 5T-20R y 5T-40R presentaron el mayor número de frutos, lo que significa que al incrementar el número de racimos no necesariamente disminuye el número de frutos de alta calidad, por lo menos hasta 40 racimos por planta, indicando que la planta de lulo tiene la capacidad de suministrar fotoasimilados para el crecimiento de los frutos de 40 racimos. En este sentido, Cabezas y Novoa (2000) reportaron que una hoja de lulo puede llenar hasta 8 frutos por racimo floral. En los tratamientos con 3 tallos se presentó un menor número de frutos comparado con los tratamientos con 4 y 5 tallos, lo cual puede deberse a la menor cantidad de hojas en 3 tallos (Ardila, 2015). A su vez, Gautier et al. (2001) señalan que la poda disminuye la carga de órganos demandantes como los frutos, debido a que las plantas deben retomar de nuevo el crecimiento vegetativo, incrementando la cantidad de carbohidratos disponibles para este crecimiento, previamente a la formación de frutos. Sin embargo, el tratamiento 3T+20R no mostró este comportamiento; posiblemente por lo que tiene un menor número de frutos en estos racimos para llenar.

Categoría primera. Los tratamientos que mostraron el menor número de frutos en esta categoría fueron 4T+20R y 5T+20R (figura 2B), teniendo en cuenta que estas plantas tuvieron altas cantidades de frutos categoría extra. Los tratamientos con el mayor número de frutos en la categoría primera fueron los que involucraron 30 racimos, independiente del número de tallos, lo que coincidió con la menor producción de frutos calidad extra de estas plantas, que se puede ver como un efecto de compensación entre estas dos categorías de calidad. A su vez el testigo presentó de nuevo un número de frutos bajo, pero una cantidad un tanto mayor que en la categoría extra.
Categorías segunda e inferiores. El testigo presentó la mayor cantidad de frutos a partir de la segunda categoría y en las demás categorías inferiores (figuras 2C y 2D). Las plantas podadas a 20 racimos, que produjeron alta cantidad de frutos extra (figura 2A) y poca primera (figura 2B) presentaron una cantidad de frutos casi nula, solamente con 3 tallos y 20 racimos hubo pocos frutos de segunda.
La producción de frutos en los tratamientos con 30 racimos, que fue todavía la más alta en la categoría primera (figura 2B), disminuyó constantemente en la medida que bajaron las categorías y que fue nula en la quinta (figura 2F). Igualmente, las plantas podadas a 40 racimos florales, especialmente las con 4 y 5 tallos, disminuyeron su producción con la disminución de las categorías de calidad, desde la extra hasta la quinta (figura 2), en la cual fue nula también. El testigo presentó una inversión en frutos de muy baja categoría, característica indeseable en términos productivos ya que repercutirá en una mayor cantidad de frutos no comerciables, situación que no se observó en ninguno de los tratamientos con podas. Este comportamiento ratifica lo enunciado por Tworkoski y Glenn (2010), quienes afirman que no podar o podas mínimas implican una mayor carga de frutos, pero de tamaño reducido. Además, la mayor sombra en las plantas no podadas podría haber interferido en una menor producción de fotoasimilados, disminuyendo el calibre de los frutos. Fischer et al. (2012) mencionan que la capacidad fotosintética foliar depende de la incidencia de la luz, en la cual las partes sombreadas del dosel asimilan menos y necesitan más hojas para un óptimo llenado del fruto.
Número total de frutos. El tratamiento que presentó el mayor número de frutos por planta fue el testigo, aunque sin diferencias estadísticas con ninguno de los tratamientos en los cuales se dejaron 40 racimos por planta, independiente del número de tallos (figura 3). Este comportamiento del testigo coincide con lo reportado por Gautier et al. (2001) en plantas de tomate con una alta carga de frutos que presentaron menor área foliar y, por consiguiente, los carbohidratos pueden ser el factor limitante, produciendo frutos de bajo calibre.

Los tratamientos con 20 racimos (20R) produjeron significativamente (P≤0,05) menor cantidad de frutos comparado con los demás tratamientos, los cuales casi duplicaron el número de frutos (figura 3). Estos resultados evidencian que el número de frutos obtenidos no depende directamente del número de tallos, sino del número de racimos por planta y de los frutos en cada racimos después del raleo.
Respecto a si las plantas de lulo podadas presentan una estrategia de producir un número ele vado de frutos o de aumentar el peso de pocos frutos, en esta investigación se encontró que la respuesta es diferencial de acuerdo con la intensidad de poda realizada; donde podas agresivas (20 racimos/planta), ocasionan un aumento del número de frutos en categoría extra, pero con pocos frutos totales (figura 3). Por su parte, podas menos fuertes (40 racimos/planta) mostraron el mayor número de frutos totales, con alta proporción en la categoría extra, comparado con plantas con 30 racimos.
Se debe tener en cuenta que la carga de frutos actual afectará también el número de frutos que se genere en las siguientes cosechas, por lo que la recomendación del número de racimos a dejar dependerá del historial de producción de las plantas, ya que es necesario tener un equilibrio fisiológico entre el crecimiento vegetativo y reproductivo para que las plantas puedan expresar su potencial de producción (Casierra-Posada y Fischer, 2012). Como lo afirman Samach y Smith (2013), una alta carga de frutos inhibe el crecimiento vegetativo y la inducción de nuevas flores y, por consiguiente, pocos frutos en el siguiente ciclo.
Rendimientos
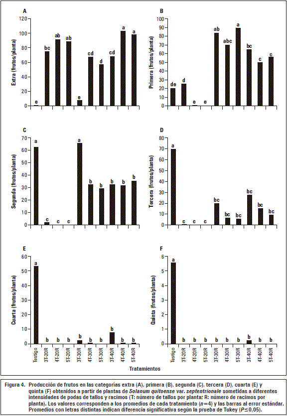
Categoría extra. Los tratamientos con cuatro y cinco tallos mostraron los mayores rendimientos, especialmente en las plantas que tenían 20 y 40 racimos (figura 4A), esto puede deberse a que cuatro y cinco tallos tengan más hojas por racimo, lo cual signifique una mayor producción de fotoasimilados en comparación con plantas de tres tallos que presentaron menor área de tejidos fuente (Ardila, 2015), ya que como lo mencionan Fischer et al. (2012), el desarrollo del tamaño del fruto depende, entre otros factores, de la relación fuente/demanda (hoja/fruto).

Por su parte, las plantas con 30 racimos, especialmente aquellas con tres tallos, además del testigo, presentaron la menor producción en la categoría extra, sin diferencias estadísticas (P>0,05) entre ellos (figura 4A), lo cual coincide con el menor número de frutos obtenidos (figura 3).
Categoría primera. Los tratamientos con 30 racimos (30R) mostraron la mayor producción en esta categoría (Figura 4B), compensando las bajas producciones en la categoría extra (figura 4A). A su vez, las plantas con 20 racimos (3T-20R, 4T-20R y 5T-20R) presentaron la menor producción en categoría primera, sin diferencias estadísticas (P>0,05) con el testigo (figura 4B). Las plantas con 40 racimos (40R) produjeron el segundo grupo de producción más alto, en la categoría primera, teniendo en cuenta que en la categoría extra estuvieron entre las plantas con los rendimientos más altos. Esto demuestra la capacidad de esta práctica, donde, con 40 racimos, se pueden producir frutos de altas calidades; por ejemplo, con tres tallos se producen más frutos de primera (figura 4B) y con 4 a 5 tallos, más de categoría extra (figura 4A).
Categoría segunda e inferior. Como en la variable número de frutos el no podar las plantas (testigo) resulta en la más alta producción de frutos en las calidades inferiores, solamente para el caso de la categoría segunda el tratamiento 3T-30R igualó la producción del testigo (figura 4C), coincidiendo con las plantas de menor calidad extra (figura 4A), es decir, que existe un fenómeno de compensación entre las diferentes categorías de frutos producidos (pocos frutos-mayor peso; muchos frutos-menor peso).
Los tratamientos con 20 racimos (3T-20R, 4T-20R y 5T-20R) presentaron una producción nula a partir de la categoría segunda (figuras 4C, 4D, 4E y 4F); este comportamiento fue similar al de las plantas con 40 racimos, aunque estas últimas produjeron algunos frutos de segunda y tercera calidad (figura 4C y 4D). El tratamiento 3T-30R mostró la más alta producción en la categoría segunda y diferencias significativas (P≤0,05) con los demás tipos de podas.
Se observa que los tratamientos con 3 tallos tienden a presentar mayor producción en las categorías inferiores en comparación con 4 y 5 tallos, comportamiento que puede indicar una alta competencia por fotoasimilados que se traduce en frutos de bajo calibre (Dennis, 1996).
Producción porcentual según categoría. El testigo presentó la distribución de las categorías de calidad más homogénea, pero de menor calidad (figura 5), por consiguiente, el efecto de no realizar poda en plantas de lulo no favorece la producción de ninguna categoría en especial (figura 5). Los tratamientos que involucraron 20 racimos fueron los que menor producción tuvieron, pero casi exclusivamente en la calidad extra, lo que sugiere que plantas con un menor número de racimos tienden a presentar un mejor llenado de frutos, obteniendo una mejor calidad en comparación con otros tratamientos, debido a una menor competencia entre frutos. Allen et al. (2004) señalan que los frutos son considerados fuertes demandas y, al eliminarlos (en este caso podar los racimos florales), una cantidad significativa del flujo de fotoasimilados es traslocado a los frutos remanentes en las ramas restantes.

Los tratamientos que involucran 30 racimos presentaron la más baja producción en categoría extra y obtuvieron los valores más altos en la categoría primera (figura 5), debido a una compensación en el número de frutos entre estas dos principales categorías comerciales.
Las plantas con 40 racimos, sin importar el número de tallos, desarrollaron la segunda mejor cantidad de producción extra y tuvieron significativamente una mayor producción por planta, especialmente las de 4 y 5 tallos que superaron también las de tres tallos (figura 5), que tuvieron una menor producción de categoría extra (figura 4A). Esto coincide con lo reportado por Villasante et al. (2012) y Dennis (1996) que la remoción de ramas puede redundar en la disminución del calibre de los frutos obtenidos, especialmente por la reducción del área foliar y así de la relación fuente/demanda.
El ensayo muestra muy claro que la poda de tallos y racimos permite al fruticultor obtener frutos tos en categorías deseadas, en concordancia con Marini (2009) que la poda en árboles frutales es un arte basado en la comprensión de la fisiología y fenología de la planta, con la cual se puede alterar, modificar, favorecer o limitar el crecimiento y la fructificación.
Rendimiento. Extrapolando la producción por planta a la obtenida en 1 ha, se observa que hay una mayor producción a medida que se presenta una mayor cantidad de racimos y de tallos (figura 6), mostrando que existe una interacción entre estos dos factores sobre la producción de fruta obtenida. Este comportamiento es congruente con Almanza et al. (2012), quienes afirman que al realizar podas excesivas para el caso de uva, se acelera el vigor de la planta y se estimula el crecimiento vegetativo sobre el reproductivo.

La producción total más alta (P≤0,05) se encontró en los tratamientos con 40 racimos, mientras que la menor estuvo en las plantas de 20 racimos, que obtuvieron producciones incluso menores (P≤0,05) a las obtenidas por el testigo (figura 6), ratificando lo anteriormente mencionado que la intensidad de la poda determina la calidad y cantidad de frutos obtenidos (Dennis, 1996). Se ha reportado que la demanda de los vertederos (cantidad de frutos) regula la fotosíntesis de las hojas, en donde una baja demanda ocasiona la disminución de la fotosíntesis por acumulación de productos de la fotosíntesis (azúcares solubles y almidón) en las hojas (Li et al., 2007; Taiz y Zeiger, 2010). En este sentido, la menor producción en plantas con 20R puede ser debida al anterior fenómeno de regulación de la fotosíntesis.
Los rendimientos obtenidos en los diferentes tratamientos (figura 6) están dentro del rango que mencionan Bonnet y Cárdenas (2012) con 10 a 160 kg por planta, pero siendo en todos los casos mayores a los reportados para las diferentes zonas productoras del país. Muñoz (2011) reporta que en la zona oriental de Caldas en sistemas de monocultivo del lulo "La Selva", se obtienen rendimientos un poco superiores a las 15 t ha-1 bajo un sistema de producción tipo empresarial; mientras que Agronet (2015) reporta que los principales departamentos productores que son Huila, Valle del Cauca, Tolima, Antioquia, Nariño y Norte de Santander, presentan un rendimiento promedio de 8,5 t ha-1. Esta variación tan alta al comparar el rendimiento obtenido en esta investigación con los reportados puede deberse a que existen diversos factores que varían en el sistema productivo y que implicarían incrementos o disminuciones en la producción, como lo son el genotipo sembrado, la densidad de plantas/ha, el sistema de producción (a libre exposición o bajo sombrío), así como otras prácticas como la siembra con cultivos intercalados, sistema de tutorado, condiciones ambientales, entre otros (Casierra-Posada y Fischer, 2012; Criollo et al., 2014).
Si el destino de los frutos es principalmente para consumo en fresco, la prioridad será la calidad del producto, por lo que el objetivo es tener una mayor producción de frutos en categorías extra y primera, con 20 y 30 racimos por planta, respectivamente, aunque se sacrifica la producción total. Ya que el mercado objetivo está relacionado con el procesamiento de fruta, el cual puede ser más flexible en los requerimientos de calidad, se desea obtener altas producciones, siendo lo más recomendable dejar 40 racimos por planta, incrementando el número y producción de frutos obtenidos. Igualmente, Criollo et al. (2014) encontraron en la uchuva 'Silvania' que una formación de plantas con ocho ramas secundarias, significó un rendimiento de 4,98 kg/planta; mientras cuatro ramas secundarias apenas produjeron 2,36 kg/ planta, sin embargo, en comparación con el lulo, un mayor número de frutos en la uchuva causó una mejor calidad debido a un menor porcentaje de frutos rajados.
Marini (2003) afirma que el rendimiento de árboles frutales podados es casi siempre menor que el rendimiento de árboles no podados, pero la calidad de la fruta es mejorada por esta labor, lo que confirma plenamente los resultados de esta investigación.
Para el caso del testigo, en estas plantas sin poda se presentó sombrío entre las hojas, por lo que un alto número de demandas (frutos) puede llegar a competir por recursos limitados tales como carbohidratos y nitrógeno (Tworkoski y Glenn, 2010), teniendo en cuenta que la capacidad fotosintética depende de la incidencia de la luz y, por consiguiente, partes sombreadas de la planta presentan tasas fotosintéticas más bajas (Fischer et al, 2012).
Valor comercial de la producción
Un análisis económico básico, en torno al precio de la fruta en las principales categorías comerciales, determina qué tratamiento ofrece el mayor beneficio económico. Para ello, se calculó el ingreso bruto obtenido de acuerdo con los precios de las categorías extra, primera y segunda obtenidos de Corabastos (2015), principal comercializadora de frutas y verduras de Bogotá, con precios del 16 de enero de 2015.
Los tratamientos con 4 y 5 tallos y 40 racimos obtuvieron los mayores ingresos brutos/ha, $106.975.000 y $108.882.000, respectivamente, mientras que el testigo mostró los menores ingresos (figura 7). Ello establece que a nivel económico es mejor tener plantas de lulo con un alto número mero de racimos (30 a 40) y de tallos (4 a 5), que aunque tengan un menor porcentaje de producción en la calidad extra obtenida con 20 racimos, el valor comercial de la producción es mucho más alto. Bonnet y Cárdenas (2012) reportan para el cultivo de lulo ingresos brutos de $68.750.000/ha en el segundo año del cultivo que están muy por debajo de los obtenidos en el presente estudio, dejando 4 y 5 tallos y con 30 o 40 racimos florales.
El raleo de flores y frutos lo describe Gil-Albert (2005) como una técnica complementaria a la poda y básica para obtener beneficios comerciales, pero en el caso de lulo, bajo las condiciones del ensayo no fue rentable dejar menos que 40 racimos florales, especialmente en el caso de los de 4 y 5 tallos por planta.
CONCLUSIONES
Plantas de lulo sin poda presentan una alta cantidad de frutos, sin embargo, la mayoría de ellos no cumple con las características de calidad necesarias para ser catalogados como aptos para el mercado, ratificando que la poda es una labor indispensable para plantaciones comerciales de lulo.
Los tratamientos con menor cantidad de racimos (20) presentan la mayor proporción de frutos en categoría extra, pero con el menor número de frutos y la más baja producción total. En contraste, los tratamientos con mayor cantidad de racimos por planta (40), independiente del número de tallos (3 a 5), presentan el mayor número de frutos totales, en las categorías extra, primera y segunda.
Por consiguiente, el número de tallos no es tan relevante como sí lo es el de racimos para la producción de frutos en las diferentes categorías comerciales.
En términos económicos, son más rentables las plantas que presentan el mayor número de racimos (40) y entre 4 y 5 tallos, mientras que las plantas no podadas no llegaron ni a un tercio del valor económico de estas con 4 y 5 tallos.
REFERENCIAS BIBLIOGRÁFICAS
Agronet. 2015. Área cosechada, producción y rendimiento de lulo, 1986-2013. En: http://www.agronet.gov.co; consulta: marzo de 2015. [ Links ]
Allen, M., P. Prusinkiewicz y M. DeJong. 2004. Using L-systems for modeling source-sink interactions, architecture and physiology of growing trees: the L-PEACH model. New Phytologist 166, 869-880. Doi: 10.1111/j.1469-8137.2005.01348.x [ Links ]
Almanza, P.J., P.A. Serrano y G. Fischer. 2012. Manual de viticultura tropical. Universidad Pedagógica y Tecnológica de Colombia, Tunja, Colombia. [ Links ]
Ardila, G.H. 2015. Efecto de la poda de formación y del número de tallos y de racimos sobre la producción y calidad de frutos de lulo (Solanum quitoense var. septentrionale). Tesis de maestría. Facultad de Ciencias Agrarias, Universidad Nacional de Colombia, Bogotá [ Links ].
Bonnet, J.G. y J.F. Cárdenas. 2012. Lulo (Solanum quitoense Lam.). pp. 600-626. En: Fischer, G. (ed.). Manuel para el cultivo de frutales en el trópico. Produmedios, Bogotá [ Links ].
Cabezas, M. and D.L. Novoa. 2000. Efecto de la remoción de hojas y frutos en la relación fuente demanda de asimilados en lulo (Solanum quitoense Lam). pp. 68-74. En: Memorias 3er Seminario Frutales de Clima Frío Moderado, Manizales, Colombia. [ Links ]
Cabezas, M. 2006. Asignación y distribución de la materia seca en plantas cultivadas, con énfasis en especies leñosas. Rev. UDCA Actual. Divulg. Cient. 9(1), 3-19. [ Links ]
Casierra-Posada, F. y G. Fischer. 2012. Poda de árboles frutales. pp. 169-185. En: Fischer, G. (ed.). Manual para el cultivo de frutales en el trópico. Produmedios, Bogotá [ Links ].
Corabastos. 2015. Boletín diario de precios. Frutas. En: http://www.corabastos.com.co/index.php/app-precios-menu; consulta: enero de 2015. [ Links ]
Criollo, H., T.C. Lagos, G. Fischer, L. Mora y L. Zamudio. 2014. Comportamiento de tres genotipos de uchuva Physalis peruviana L.) bajo diferentes sistemas de poda. Rev. Colomb. Cienc. Hortic. 8(1), 34-43. Doi: 10.17584/rcch.2014v8i1.2798 [ Links ]
Dennis, F.G. 1996. Fruit development. pp. 107-116. En: Maib, K.M., P.L. Andrews, G.A. Lang y K. Mullinix (eds.). Tree fruit physiology: growth and development. Good Fruit Grower, Yakima, WA. [ Links ]
Fischer, G. 2005. Aspectos de la fisiología aplicada de los frutales promisorios en cultivo y poscosecha. Revista Comalfi 32(1), 22-34. [ Links ]
Fischer, G., P.J. Almanza-Merchán y F. Ramírez. 2012. Source-sink relationships in fruit species. A review. Rev. Colomb. Cienc. Hortic. 6(2), 238-253. Doi: 10.17584/rcch.2012v6i2.1980 [ Links ]
Gautier, H., S. Guichard y M. Tchamitchian. 2001. Modulation of competition between fruits and leaves by flower pruning and water fogging, and consequences on tomato leaf and fruit growth. Ann. Bot. 88(4), 645-652. Doi: 10.1006/anbo.2001.1518 [ Links ]
Génard, M., J. Dauzat, N. Franck, F. Lescourret, N. Moitrier, P. Vaast y G. Vercambre. 2008. Carbon allocation in fruit trees: from theory to modelling. Trees 22(3), 269-182. Doi: 10.1007/s00468-007-0176-5 [ Links ]
Gil-Albert, F. 2005. Tratado de arboricultura frutal. Vol. V. Poda de frutales. Ed. Mundi-Prensa, Madrid. [ Links ]
Huyskens-Keil, S., H. Prono-Widayart, M. Schreiner y P. Lüdders. 2001. Effect of surface coating and film packing on the keeping quality of solanaceous crops (Solanum muricatumAit., Solanum quitoense Lam.). Acta Hort. 553, 621-625. [ Links ]
Icontec. 2002. NTC 5093. Frutas frescas. Lulo de Castilla. Especificaciones. Instituto Colombiano de Normas Técnicas y Certificación, Bogotá [ Links ].
Li, W., W. Duan, P. Fan, S. Yan y S. Li. 2007. Photosynthesis in response to sink-source activity and in relation to end products and activities of metabolic enzymes in peach trees. Tree Physiol. 27, 1307-1318. Doi: 10.1093/treephys/27.9.1307 [ Links ]
Lobo, M. 2000. Papel de la variabilidad genética en el desarrollo de los frutales andinos como alter- nativa productiva pp. 27-36. En: Memorias 3er Seminario Frutales de Clima Frío Moderado, Manizales, Colombia. [ Links ]
Marini, R.P. 2003. Physiology of pruning fruit tres. Virginia Cooperative Extension 422-025. Virginia State University, Petersburg, VA. [ Links ]
Medina, C.I., E. Martínez, M. Lobo y M.O. Vargas. 2008. Distribución de la materia seca durante la ontogenia del lulo (Solanum quitoense Lam.) a plena exposición solar en el bosque húmedo Montano bajo del oriente antioqueño, Colombia. Rev. Fac. Nal. Agr. Medellín 61(1), 4256-4268. [ Links ]
Medina, C.I., M. Lobo y E. Martínez. 2009. Revisión del estado del conocimiento sobre la función productiva del lulo (Solanum quitoense Lam.) en Colombia. Corpoica Cienc. Tecnol. Agropecu. 10(2), 167-179. [ Links ]
Mejía, C., D. Gaviria, A. Duque, L. Rengifo, E. Aguilar y A. Alegría. 2012. Physicochemical characterization of the lulo (Solanum quitoense Lam.) Castilla variety in six ripening stages. Vitae 19(2), 157-165. [ Links ]
Muñoz, J. 2011. Análisis de la competitividad del sistema de producción de lulo (Solanum quitoense Lam.) en tres municipios de Nariño. Tesis de maestría. Facultad de Agronomía, Universidad Nacional de Colombia, Bogotá [ Links ].
Ríos, G., M. Romero, M.I. Botero, G. Franco, J.C. Pérez, J.E. Morales, J.L. Gallego y D.I. Echeverri. 2004. Zonificación, caracterización y tipificación de los sistemas de producción de lulo (Solanum quitoense Lam.) en el eje cafetero. Corpoica Cienc. Tecnol. Agropecu. 5(1), 22-30. [ Links ]
Samach, A. y H. Smith. 2013. Constraints to obtaining consistent annual yields in perennials. II: Environment and fruit load affect induction of flowering. Plant Sci. 207, 168-176. Doi: 10.1016/j.plantsci.2013.02.006 [ Links ]
Taiz, L. y E. Zeiger. 2010. Plant physiology. 5th ed. Sinauer Associates Inc., Publishers. Sunderland, MA. [ Links ]
Tamayo, A., J. Bernal, M. Hincapié y M. Londoño. 2001. Frutales de clima frío moderado. Cartilla divulgativa. Editorial Corpoica-Sena, Rionegro, Bogotá [ Links ].
Tworkoski, T. y D.M. Glenn. 2010. Long-term effects of managed grass competition and two pruning methods on growth and yield of peach trees. Sci.Hortic. 126, 130-137. Doi: 10.1016/j.scienta.2010.06.020 [ Links ]
Villasante, M., S. Godoy, J. Zoffoli y M. Ayala. 2012. Pruning effects on vegetative growth and fruit quality of 'Bing'/'Gisela®5' and 'Bing'/'Gisela®6' sweet cherry trees (Prunus avium). Cien. Inv. Agr. 39(1), 117-126. Doi: 10.4067/S0718-16202012000100009 [ Links ]












