INTRODUCTION
The purple passion fruit (Passiflora edulis f. edulis Sims, Passifloraceae family) is an exotic fruit grown mainly in the Andean zone of Colombia, between 1,600 and 2,300 m a.s.l. (Fischer and Miranda, 2021; Fischer et al., 2022a; Fischer et al., 2024). Colombia is the largest producer of this species. It is a profitable crop and most of the production is sold in the international market, because the fruit has nutritional and sensory characteristics highly appreciated by developed countries for fresh consumption and industrial use (Ocampo et al., 2020). In 2021, the country produced a total of 9,813 t, generating close to US$42 million (DANE, 2022). However, current yields are low relative to the potential that the species offers, due to factors such as attack by pests and diseases such as Fusarium oxysporum f. sp. Passiflorae (Lopez et al., 2022), as well as extreme weather conditions such as the “El Niño” and “La Niña” phenomena (Osorio et al., 2020). In the context of climate change, one of the most important phenomena is the reduction in precipitation and a change in rainfall regimes, which can generate prolonged periods of drought that cause water deficit in plants (Fischer et al., 2022b).
Water stress in P. edulis f. edulis generates yield losses by negatively affecting leaf development, causing floral abortion and increasing the proportion of small fruits that are not commercially desirable (Jiménez et al., 2012; Paull and Duarte, 2012; Ocampo et al., 2020; Fischer and Miranda, 2021). These effects are partially caused by the stomatal closure signaled by abscisic acid (ABA), which decreases the assimilation of carbon dioxide by RuBisCO, negatively affecting not only the Calvin cycle but also the performance of photosystems, and hence the general process of photosynthesis (Taiz et al., 2018). Additionally, water stress damage in P. edulis f. edulis can also affect the vegetative stage of the crop due to the generation of oxidative stress, which can cause damage to both the apparatus and photosynthetic pigments, as well as to other macromolecules necessary for growth and development (Lozano-Montaña et al., 2021).
Brassinosteroids are a group of plant hormones essential for multiple physiological processes of growth and development, as well as acclimatization to biotic and abiotic conditions (Planas-Riverola et al., 2019; Manghwar et al., 2022). It has been observed that, through exogenous application of these hormones, tolerance to water stress can be increased, mainly through the negative regulation of the abscisic acid (ABA) transduction pathway during the growth stage (Wang et al., 2020; Ahmad et al., 2022). Similarly, it has been observed that their application promotes the activity of antioxidant enzymes and the synthesis of compatible osmolytes, reducing oxidative damage caused by reactive oxygen species (ROS) and increasing the water intake capacity due to the decrease in water potential inside the plant (Peres et al., 2019; Anwar et al., 2018; Fariduddin et al., 2014; Castañeda et al., 2022). In addition, in yellow passion fruit (P. edulis f. flavicarpa) an increase in yield of 65% and in total soluble solids (°Brix) was found with the exogenous application of a brassinosteroid analog, attributed to an increase in the assimilation of CO2 and a possible stimulation in the transition from vegetative to reproductive shoots (Gomes et al., 2006). However, in purple passion fruit the effects of this bioregulator are unknown.
The objective of this study was to determine the effect of the exogenous application of a brassinosteroid analog on the physiology of P. edulis f. edulis grafted onto a P. maliformis rootstock under water stress conditions, so that brassinosteroids can be included within a stress mitigation management plan for this crop.
MATERIALS AND METHODS
The study was carried out in the greenhouses of the Faculty of Agricultural Sciences of the “Universidad Nacional de Colombia, Bogota, Colombia”, with a latitude of 4°38'11.9'' N, 74°05'18.2'' W at 2,650 m a.s.l. The temperature and relative humidity were determined with the HOBO Ux100-003 datalogger. The average temperature was 23°C and the average relative humidity was 49%.
Forty eight 3-month-old seedlings of P. edulis f. edulis were used. These seedlings were grafted into terminal scion on P. maliformis L. as rootstock, since this is the main propagation method used in Colombia for the control of Fusarium oxysporum f. sp. passiflorae (Forero et al., 2015; Rodríguez et al., 2020). P. maliformis is also cultivated commercially for its fruit (Molano-Avellaneda et al., 2020). The grafted plants were obtained from the Quyscua nursery (it has ICA registration), belonging to the Ocati® exporting company. The nursery is located in the municipality of El Colegio (Cundinamarca, Colombia). Both P. edulis f. edulis and P. maliformis are obtained by seed, which comes from fruits of the best productive lots and with minimal phytosanitary problems, this indicates that continuous rotation of the seed is made, but there are no varieties, genetic lines or ecotypes characterized.
The experiment was carried out in 2 L pots of soil and rice husks in a 3:1 ratio, respectively. The sterilization of the substrate was carried out by the autoclaving method. The fertilization consisted of 0.88 g N, 0.18 g P, 0.84 g K, 0.58 g Ca, 0.23 g Mg, 0.02 g S, 20 mg Fe, 2 mg Mn, 0.2 mg Cu, 0.4 mg Zn, 2 mg B, 0.02 mg Mo and 0.006 mg Co per liter of water, this amount was based on the treatment of 100% irrigation, and this same nutrients amount was applied to all treatments.
The experimental design corresponds to a completely randomized design with a factorial arrangement, where the first factor is water stress with three levels (100, 50 and 25 percent of irrigation of the evaporation), and the second factor is the application of brassinosteroids with two levels (without brassinosteroids [-], with brassinosteroids [+]). Eight replicates per treatment were used, giving a total of 48 plants. The irrigation level was established taking into account the methodology of the evaporimeter tank described by Álvarez-Herrera et al. (2019). Application of the brassinosteroid analogue DI-31 (25R) - 3β. 5α-dihydroxy -spirostan-6-one at a concentration of 10% w/v was carried out every 7 d in a dose of 8 mL L-1 from 21 d until the end of the experiment (84 days after treatment, dat).
To assess the water status of the plants, stomatal conductance (gs) was measured with the SC-1 porometer (Decagon Device, USA) between 9:00 and 11:00 am, making two measurements per sampled plant. Chlorophyll content was measured with the chlorophyll meter (SPAD 502 plus, Konica Minolta, Japan) four times per leaf. The fluorescence of chlorophyll “a” was quantified with the JUNIOR-PAM modulated fluorometer (Walz®, Germany), and used to obtain the maximum quantum efficiency of photosystem II (Fv /Fm), after adaptation to darkness for 30 min. These variables associated with photosynthesis were evaluated in the fourth fully expanded leaf. To identify the oxidative effects of reactive oxygen species (ROS), the stability of the membrane was evaluated through electrolyte leakage at 84 dat according to Agami et al. (2018).
Regarding growth variables, the height was measured at 84 dat with a flexometer from stem base to the highest part, and the dry and fresh weight of both the aerial part and the root were obtained with a scale, with an uncertainty of 0.005 g. Additionally, the leaf area was determined with the LI-3100 (LI-COR Inc., Lincoln, NE, USA) at 84 dat.
Statistical analysis was performed using ANOVA and Tukey's multiple comparison test (P<0.05). The data analysis was performed with the software R Studio V. 2022.02.0+443.
RESULTS AND DISCUSSION
Variables associated with photosynthesis
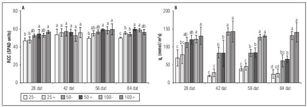
The relative chlorophyll content (RCC) presented significant differences at 28 dat between the 50+ and 100+ treatments in the plants under the 25% irrigation treatment (Fig. 1A). Likewise, at 56 dat the 50+, 100- and 100+ treatments had significant differences with respect to the 25- treatment. Finally, at 84 dat the RCC content in the 25- treatment was significantly lower than in the other treatments, while the 50+ and 100- treatments had a significantly higher RCC compared to 25+ and 50-. Water stress in the plant generates ROS, which are highly reactive due to their unpaired electrons, and therefore generate damage to molecules such as chlorophylls (Ahanger et al., 2017; Schneider et al., 2019). ROS such as O2 ●- and H2O2 are mainly generated by the electron transport chain due to a decoupling in electron flow between the Hill reaction and the Calvin cycle (Khorobrykh et al., 2020; Foyer and Hanke, 2022). It has been shown that the exogenous application of brassinosteroids in tomato plants under water stress has increased the activity of antioxidant enzymes such as CAT, SOD, APX, and POD, resulting in a reduction in the concentration of MDA and H2O2 (Behnamnia et al., 2009; Yuan et al., 2010). Similar results have been found in Raphanus sativus, Prunus persica, and Brassica rapa (Mahesh et al., 2013; Wang et al., 2019; Ahmad et al., 2022). This would explain the findings that the treatments with application of BR (25+) at 56 and 84 dat did not present significant differences in RCC to the 100+ treatment but did with the 25- treatment on the respective days. Finally, at 42 dat no significant differences were observed between the treatments, which is why it is thought that at this time the plants could acquire a mechanism that protected the chlorophylls from reduction by ROS, however, when the stress was greater, this mechanism was not enough to maintain the optimal state of the photosynthetic pigments in prolonged stress.

Figure 1. Variables associated with the photosynthesis of P. edulis f. edulis under water stress (100, 50, and 25% irrigation) with (+) or without (-) the application of a brassinosteroid analogue. (A) relative chlorophyll content and (B) stomatal conductance. Different letters indicate significant differences (P<0.05) between treatments. Vertical bars in each average indicate the standard error (n=8).
Regarding stomatal conductance (gs), this was generally observed to decrease as the irrigation level was lower (Fig. 1B). However, an effect of the BR was observed in the treatment at 28 and 84 dat where it did not have significant differences with the 50 and 50- treatments, respectively. This is because water stress induces ABA-signaled stomatal closure to prevent water loss through transpiration (Pantin et al., 2013; Nakashima et al., 2014; Soma et al., 2021). This response decreases the amount of CO2 captured by the plant and therefore the rate of CO2 fixation in the Calvin cycle, which would explain the uncoupling with the Hill reaction. Similarly, the effect of the BR is evident in the 25+ treatment at 28 and 84 dat due to a possible antioxidant mechanism, also reflected in the RCC at 84 dat (Fig. 1A). Lozano-Montaña et al. (2021) also reported a decrease in gs in purple passion fruit plants under progressive water deficit in the vegetative stage and stated that this physiological parameter is a non-invasive marker to trace water deficit stress.
However, no other effect of BR was detected in the other treatments. Similar results were obtained by Ahmad et al. (2022) in the KBS3 genotype in Brassica rapa, where water stress treatments with and without the application of BR had no significant differences in gs or transpiration. Even so, the authors attributed tolerance to this stress to the effect of BR in increasing the efficient use of water, anthocyanins, proline, phenolic compounds, and the activity of APX, CAT, SOD, and GR enzymes. On the other hand, during the experiment, the deficiency of structural elements of chlorophyll such as nitrogen and magnesium was evidenced, mainly in the plants with the 25% irrigation treatments. These results can be explained by associating these deficiencies with the difficulty in the uptake of nutrients by mass flow, since the decrease in the amount of water available in the substrate has the consequence that the water potential of the substrate decreases, making it difficult to transport water and nutrients (such as N and Mg) inside the plant.
Variables associated with stress
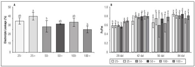
No effect was shown of brassinosteroids on electrolyte leakage (Fig. 2A). However, differences are observed at the level of water stress treatment, whereby as the amount of water supplied in irrigation increases, the loss of electrolytes is reduced. This is because the phase decoupling generated by water stress increases ROS and can cause lipid peroxidation, causing damage to cell membranes, due to which the selective transport of substances occurs (Taiz et al., 2018). In lulo (Solanum quitoense), brassinosteroids did decrease lipid peroxidation when plants were subjected to water stress (Castañeda et al., 2022). Similar results were obtained by Khanna-Chopra and Selote (2007), where Triticum aestivum genotypes stressed by water deficit did not present differences with control plants in membrane stability at the end of the experiment, due to the activity of antioxidant enzymes. It should be noted that the treatments with 50 and 100% irrigation did not have significant differences with regard to electrolytes leakage and had similar behavior in RCC at 84 dat (Fig. 1A). Based on this, it can be hypothesized that from a water deficit of 50% of what is evaporated, P. edulis f. edulis plants have an efficient stress mechanism that allows them to tolerate such conditions.

Figure 2. Variables associated with the stress of P. edulis f. edulis under water stress (100, 50, and 25% of the evaporated capacity) with (+) or without (-) the application of a brassinosteroids analogue. (A) electrolyte leakage and (B) maximum quantum efficiency of PSII. Different letters indicate significant differences (P<0.05) between treatments. Vertical bars in each average indicate the standard error (n=8).
On the other hand, a decrease in Fv/Fm was only observed in plants with 25% and 50% irrigation compared to plants with 100% irrigation at 28 dat (Fig. 2B), which indicates why short-term stress significantly affects photosystems. In this regard, Kumari and Thakur (2019a) also point to a reduction in chlorophyll fluorescence during water stress in two apple varieties; however, they highlight the action of brassinosteroids as a pretreatment to maintain a higher photosynthetic rate, by increasing the photochemical efficiency of the reaction complex associated with PSII, reducing the photoinhibition effects derived from drought regimes (Barros et al., 2020). However, in the long term, the effect of water stress is mitigated by a possible antioxidant mechanism, since no difference is observed between the treatments at 84 dat, and so there would be no significant differences in electrolyte loss at 84 dat between treatments (Fig. 2A).
Variables associated with growth
In general, a decrease in dry and fresh weight, height, and leaf area can be observed in plants with water stress compared to plants with 100% irrigation (Fig. 3, 4, 5, and 6). This is attributed to the reduction in the assimilation of CO2 by stomatal closure (Fig. 1B), which has as a consequence decrease in the synthesis of carbon skeletons necessary for the construction of plant biomass (Liang et al., 2020). In purple passion fruit, it was previously reported that progressive water stress negatively affected the growth parameters, and to prevent the loss of water purple passion fruit plants display an isohydric behavior, in addition to modulating growth, they also accumulate proline, sugars, and present transcriptional activation of PeDREB2A and PeRD21A (Lozano-Montaña et al., 2021).

Figure 3. The dry weight of the aerial part (A) and root (B) of P. edulis f. edulis under water stress (100, 50, and 25% of the amount evaporated) with (+) or without (-) the application of a brassinosteroid analogue. Different letters indicate significant differences (P<0.05) between treatments. Vertical bars in each average indicate the standard error (n=8).

Figure 4. Fresh weight of the aerial part (A) and root (B) of P. edulis f. edulis under water stress (100, 50, and 25% of the amount evaporated) with (+) or without (-) the application of a brassinosteroid analogue. Different letters indicate significant differences (P<0.05) between treatments. Vertical bars in each average indicate the standard error (n=8).

Figure 5. Effect on the growth of P. edulis f. edulis under water stress (100, 50, and 25% of the evaporated capacity) with (+) or without (-) the application of brassinosteroids.

Figure 6. Height of the aerial part (A) and leaf area (B) of P. edulis f. edulis under water stress (100, 50, and 25% of the amount evaporated) with (+) or without (-) the application of a brassinosteroid analogue. Different letters indicate significant differences (P<0.05) between treatments. Vertical bars in each average indicate the standard error (n=8).
Also, it is possible to highlight the action of the BR in the 100+ treatment since it showed significantly higher fresh and dry weight of the aerial part, leaf area, and length of the plant with respect to the other irrigation levels (Fig. 3, 4, 5 and 6). There is evidence that the effect of BR under optimal conditions increases plant performance in variables such as PSII efficiency (ϕPSII), chlorophyll content, and RuBisCO activity, in addition to contributing to the transition from vegetative to reproductive buds in various species, including passion fruit (Gomes et al., 2006; Xia et al., 2009; Li et al., 2016; Siddiqui et al., 2018).
On the other hand, it is important to highlight the behavior of the dry weight of the root in the 50- treatment (Fig. 3B), since it exhibited significant differences to the 25% treatment, while the 50+ treatment did not. This has been observed in other plants under water stress, since the partition of photoassimilates to the roots is prioritized in order to promote greater growth and thus enable a greater exploration area in the soil for water and nutrient uptake (Eapen et al., 2005; Kim et al., 2020).
In contrast, under similar water stress conditions, soybean roots cv. Munasqa RR presented a response to the action of a BR analogue, stimulating biomass production as a mechanism to cope with stress (Pérez-Borroto et al., 2019). This indicates the influence of the growth-promoting stimulus according to the BR dose administered, tissue-specific signaling (Chaiwanon and Wang, 2015; Nolan et al., 2019), the timing of BR application in relation to the induction of the stressor, the ontogeny of the plant (Gomes, 2011), and the sensitivity of the cultivar to the steroid (Doležalová et al., 2016).
The fresh and dry weight variables of the aerial part for the 25% and 50% treatments did not present statistical differences compared to the other treatments (Fig. 3A and 4A). Similarly, under conditions of water restriction in the species H. serratifolius and J. curcas, the exogenous application of BR did not attenuate the effect of drought on aerial growth parameters (Silveira et al., 2016; Vieira et al, 2021), while in lulo there was a positive effect of BR (Castañeda-Murillo et al., 2022).
Although the 25% treatment did not have statistical differences with other treatments in purple passion fruit, Ribeiro et al. (2019), report a 7% increase in the hypocotylar length of soybean seedlings (Glycine max) subjected to 100 nM BR and negative water balance. Likewise, in Vigna unguiculata under water restrictions treated with the same concentration of BR, an increase of 7% in the dry weight of the stem is reported compared to the control, resulting from the optimization of gas exchange and chlorophyll fluorescence, coupled with attenuation of membrane damage and photosynthetic pigments (Lima and Lobato, 2017). On the other hand, the application of BR in drought-induced apples results in a lower reduction percentage in leaf area compared to untreated stressed plants, concomitant with higher photosynthetic rates and peroxidase activity (Kumari and Thakur, 2019b).
CONCLUSIONS
Water stress during the vegetative stage in P. edulis f. edulis plants grafted onto a rootstock of P. maliformis caused a reduction in height, leaf area, and fresh and dry masses, relative chlorophyll content and stomatal conductance, even at values below 50 mmol m2 s-1. However, the effect of brassinosteroids on this species under water stress is not very clear but positive effect of the brassinosteroids on the height, leaf area, and fresh and dry masses of the plants at the different levels of irrigation; therefore, more research is needed to elucidate their role in this species. Likewise, it is important to carry out studies that take into account the application of brassinosteroids under water stress in P. edulis f. edulis in the production stage to evaluate its profitability in the exploitation of crops.














