Services on Demand
Journal
Article
Indicators
-
Cited by SciELO -
Access statistics
Related links
-
Cited by Google -
Similars in
SciELO -
Similars in Google
Share
CES Psicología
On-line version ISSN 2011-3080
CES Psicol vol.6 no.2 Medellín July/Dec. 2013
Caracterización del perfil cognitivo y funcional motor en pacientes con síndrome doloroso regional complejo y dolor neuropático: serie de casos
Cognitive profile characterization and functional motor in patients with complex regional syndrome painful and nerve pain: case series
Diana Patricia Castrillón Pérez1, Eduard Martínez Severiche2, Ángela María García Giraldo3 y Juan Camilo Suárez-Escudero4
Fundación Instituto Neurológico de Colombia -INDEC-.
1 Psicóloga, Especialista en Rehabilitación neuropsicológica. Colombia. dianiscastrillon86@gmail.com
2 Médico, Instituto Neurológico de Colombia -INDEC-. Colombia. eduard.martinez@neurologico.org.co
3 Psicóloga, Magister en Neuropsicología, Unidad de Neuropsicología -INDEC-. Colombia. amgarciagir@gmail.com
4 Médico, Especialista en Rehabilitación neuropsicológica. Coordinador Unidad de Neuro rehabilitación Motora, Sensorial y del Lenguaje -INDEC-. Coordinador académico postgrado en Rehabilitación neuropsicológica, Universidad CES. Docente e investigador facultades de medicina y psicología, Universidad CES y Universidad Pontificia Bolivariana. Colombia. camilo.suarez@neurologico.org.co
Forma de citar: Castrillón P., D.P., Martínez S., E., García G., A. M. & Suarez-Escudero, J.C. (2013). Caracterización del perfil cognitivo y funcional motor en pacientes con síndrome doloroso regional complejo y dolor neuropático: serie de casos. Revista Ces Psicología, 6(2), 117-134..
Resumen
El dolor es una experiencia sensorial y emocional desagradable, asociada a daño tisular, real o potencial. Dos causas de dolor neurológico son el Síndrome Doloroso Regional Complejo -SDRC- y dolor neuropático -DNP-. El dolor afecta la función cognitiva y el funcionamiento motor. Es objetivo describir el perfil cognitivo y funcional motor en pacientes con SDRC y DNP. Estudio descriptivo en seis pacientes, tres con SDRC y tres con DNP. Evaluación neuropsicológica y perfil de funcionamiento mediante clasificación internacional del funcionamiento. Los pacientes con SDRC y DNP poseen un déficit estructural y fisiológico en las redes centrales y periféricas del dolor, limitación en las funciones de las extremidades comprometidas y restricciones en las actividades y participación de diferente nivel. El dolor como enfermedad crónica afecta la función cognitiva y emocional de quien lo sufre, debido a que diferentes estructuras cerebrales se ven afectadas ante su presencia.
Palabras claves: Causalgia. Distrofia Simpática Refleja. Dolor cónico. Cognición. Actividad Motora. Clasificación Internacional del Funcionamiento, de la Discapacidad y de la Salud.
Abstract
Pain is an unpleasant sensory and emotional experience associated with tissue damage, actual or potential. Two causes of neuropathic pain include Complex Regional Pain Syndrome, CRPS and neuropathic pain-DNP. Pain affects cognitive function and motor functioning. Describing the functional and cognitive profile in patients with CRPS engine and DNP is the objective of this study. Descriptive study in six patients, three of them suffer from CRPS and the other three cope with DNP. Neuropsychological assessment and performance profile by International Classification of Functioning. Discussion: The SDRC and DNP have a structural and physiological deficit in central and peripheral pain networks, limitation in functions of involved limbs, restrictions in the activities, and participation of different levels. As a chronic disease, pain affects cognitive and emotional function of the sufferer, due to different brain structures are affected because its presence.
Keywords: Causalgia. Reflex Sympathetic Dystrophy. Chronic pain. Cognition. Motor Activity. International Classification of Functioning, Disability and Health.
Introducción
El dolor es una experiencia sensorial y emocional desagradable, asociada con un daño tisular, real o potencial, o descrita en términos de dicho daño (International Association for the Study of Pain [IASP] (Merskey & Bogduk, 1994). El dolor siempre es subjetivo, cada persona aprende su significado a través de experiencias traumáticas en las primeras etapas de la vida (Merskey & Bogduk, citados por la Organización Mundial de la Salud [OMS], (2006). Es importante diferenciar el dolor agudo del crónico: el dolor puede comenzar como una experiencia aguda, pero por razones físicas y psicológicas, puede convertirse o progresar en dolor crónico, el cual se define como cualquier dolor que se prolongue por más de tres meses (Doron, 2000).
El dolor puede ser una consecuencia directa o indirecta de un trastorno neurológico y no neurológico. Cuando hay una lesión o enfermedad de las vías que transmiten información sobre los estímulos dolorosos, se refiere a dolor como consecuencia indirecta y se le denomina dolor neuropático (DNP). Éste se asocia con cambios emocionales y discapacidad en actividades de la vida diaria. Se clasifica en DNP periférico y DNP central, dependiendo de la localización de la lesión (OMS, 2006).
Dentro de los trastornos neurológicos también se encuentra el síndrome doloroso regional complejo (SDRC), el cual consiste en trastornos dolorosos asociados a daños del sistema nervioso, incluso del sistema nervioso autónomo. Se clasifica en SDRC tipo I y SDRC tipo II, los cuales se diferencian en el compromiso de un nervio determinado y la presencia o no de lesión estructural.
Este síndrome es una condición caracterizada por dolor que generalmente involucra una extremidad o región del cuerpo, se acompaña de alodinia, hiperestesia y disfunción autonómica localizada, posterior a una lesión, inmovilización o enfermedad. El dolor se asocia a eritema, cambios en la temperatura de la piel, sudoración alterada o edema, los cuales se presentan en una región anatómica determinada. El grado de dolor y demás manifestaciones vaso motoras están fuera de proporción con respecto a lo esperado para la lesión inicial (Merskey & Bogduk, s.f.).
El SDRC tipo I se caracteriza por un dolor quemante severo en una extremidad que se acompaña de cambios sudomotores, vasomotores y tróficos en el hueso sin una lesión asociada al nervio periférico específico. Esta afección a menudo se precipita por un trauma del tejido blando o de los nervios complejos (Ropper & Samuels, 2009) (International Association for the Study of Pain [IASP] (Merskey & Bogduk, 1994).
El SDRC tipo II se caracteriza por un dolor quemante y marcada sensibilidad al tacto en la distribución de un nervio periférico lesionado. La disfunción autonómica en la forma sudomotora (es decir, inervación simpática de las glándulas sudoríparas), también puede producir cambios, y no hay un claro desencadenante (Ropper & Samuels, 2009).
A pesar de que el dolor es una experiencia común y es un problema de salud pública, los datos confiables de incidencia y prevalencia son limitados. Los estudios disponibles están basados en encuestas regionales que involucran un amplio espectro de trastornos dolorosos (OMS, 2006).
La prevalencia e incidencia del SDRC ha sido estudiada en los Países Bajos, donde se ha encontrado que es más común en mujeres (60-81%) que en hombres. Se reporta una incidencia de 40.4 en mujeres y 11.9 en hombres por cada 100.000 personas en riesgo/año (Mos, et al., 2009). Otro hallazgo importante es la edad del paciente, variable en la que se encontró un pico de incidencia entre los 61-70 años, con una prevalencia del 44%, siendo las fracturas el principal evento precipitante del SDRC (Mos, et al., 2009). En países como Estados Unidos el DNP presenta una prevalencia entre 0.6 y 1.5% (Arana & Daza, 2010). La incidencia de DNP posterior a un ataque cerebrovascular (ACV) se calcula entre 2 y 8%, siendo más común en personas jóvenes que en adultos mayores, y en aquellos donde existe un déficit motor leve (Vuadens, Barnes, Peyron & Laurent, 2005).
No se encontraron datos a nivel nacional (Colombia), departamental (Antioquia) o municipal (Medellín), sobre prevalencia o incidencia en SDRC y DNP, lo cual es coherente con lo planteado por la OMS: "en los países en desarrollo casi no existe información acerca de la incidencia y prevalencia del dolor en general, ni del dolor neurológicamente relacionado en particular" (2006, p. 162). Sin embargo, una encuesta nacional de la Asociación Colombiana para el estudio del dolor [ACED] reportó que el 60% de la población se quejó de haber tenido dolor en el último mes y un 34% de esta población indicó que dicho dolor tenía un tiempo superior a 6 meses (Asociación Colombiana para el estudio del dolor [ACED], 2010).
El dolor como enfermedad crónica afecta la función cognitiva y emocional de quien lo sufre, debido a que diferentes estructuras cerebrales se ven afectadas ante su presencia. La atención, la memoria, el lenguaje y las funciones ejecutivas pueden presentar alteraciones, al igual que el significado emocional que el paciente le otorga a su situación (Chóliz, 1994). El SDRC, usualmente, se acompaña de alteraciones psicológicas y psiquiátricas. Está comprobado que la presencia de depresión está vinculada con un aumento de las experiencias dolorosas, cualquiera que sea su origen, y con una disminución de la tolerancia para el dolor (Chóliz, 1994). De esta manera, la calidad de vida del paciente se ve significativamente afectada por el dolor crónico.
Esteve, Ramírez y López-Martínez (2001) plantean que es muy común que los pacientes con dolor crónico presenten problemas de memoria y de atención, sin embargo, son escasas las investigaciones que se han hecho al respecto. En su estudio pretendían explicar las alteraciones de memoria como efecto secundario de los medicamentos utilizados para aliviar el dolor, las alteraciones de memoria como un síntoma más del estado depresivo tan común en los pacientes de dolor, los problemas de memoria como parte de problemas generales en el procesamiento de la información y los problemas de memoria como consecuencia de alteraciones en el mecanismo atencional. Finalmente, concluyeron que las alteraciones de memoria se asocian a un cambio general en el modo de procesamiento de la información que se deriva de la condición de padecer dolor de forma crónica.
Libon et al. (2010) realizaron un estudio de déficits neuropsicológicos en 137 pacientes con SDRC, los cuales fueron divididos en tres grupos: normal (dentro de la media), disejecutivo (puntuaciones por debajo de la media en memoria de trabajo y fluidez verbal) y global (bajos puntajes en todas las pruebas). Encontraron que tanto el grupo disejecutivo como el global presentaron alteraciones en funciones ejecutivas. Los autores concluyeron que en el 65% de los pacientes con SDRC se encontraban alteraciones neuropsicológicas.
El dolor puede ser un efecto directo o indirecto de un trastorno neurológico del paciente. El dolor como fenómeno directo sobre el sistema nervioso (SN), incluye lesiones o enfermedades sobre las vías del dolor centrales y/o periféricas; en cambio el dolor como consecuencia indirecta sobre el SN, es resultado de activación secundaria de vías y centros del dolor como ocurre en la enfermedad de Parkinson o por deformidades articulares secundarias a una hemiplejía por un ACV. Dolor central post ACV se reporta en el cerca del 8% de estos pacientes, y dos terceras partes de los pacientes con esclerosis múltiple padecen de dolor crónico (World Health Organization [WHO], 2006). Son causas de dolor indirecto por un trastorno neurológico que afecta el sistema musculo esquelético la espasticidad, la rigidez muscular y las deformidades articulares.
El dolor neuropático es a menudo difícil de tratar, desde lo farmacológico y no farmacológico, y tiene la potencialidad de ser extremadamente discapacitante y deprimente (Dombovy, 2011).
Geertzen y Dijkstra (1998) llevaron a cabo un estudio con el fin de determinar la relación entre SDRC y discapacidad en 65 pacientes, teniendo en cuenta el rango de movimiento, la fuerza de los músculos y el dolor en la mano. Encontraron que el 62% de los pacientes presentaban limitaciones en actividades de la vida diaria y/o en actividades instrumentales. Hay pocos datos en la literatura que relacionen el SDRC y DNP con funcionamiento motor, aunque la OMS en el documento de referencia Neurological Disorders: public health challenges- reporte que los pacientes con SDRC tipo I y II a menudo experimenten reducciones significativas en su función motora (WHO, 2006).
Teniendo en cuenta lo expuesto anteriormente se plantea como objetivo del presente trabajo describir el perfil cognitivo y funcional motor en pacientes con SDRC y DNP, por medio de pruebas neuropsicológicas y escalas motoras, en una serie de casos atendidos en la Unidad de Dolor del Instituto Neurológico de Colombia (INDEC).
Material y Métodos
Estudio tipo serie de casos: seis pacientes con diagnóstico comprobado de SDRC o DNP atendidos en la Unidad de Dolor del INDEC.
Tres pacientes con SDRC: uno con SDRC tipo I, y dos con SDRC tipo II. Tres pacientes con DNP. El tiempo de diagnóstico fue variable en cada paciente reportado, y no se tuvo en cuenta entre pacientes con SDRC y DNP.
Procedimiento
Fuentes de información: revisión de historia clínica general y especializada, entrevista para obtener datos sociodemográficos, examen físico, evaluación neuropsicológica y elaboración de perfil de funcionamiento mediante Clasificación Internacional del Funcionamiento, Salud y Discapacidad (WHO, 2001).
La evaluación neuropsicológica empleada en los seis casos, consistió en una batería de pruebas que evalúan diferentes dominios cognitivos, a saber: Minimental Test, Pruebas de Habilidades Cognitivas Batería III Woodcok-Muñoz, Escala Wechsler de Memoria (Weschler, Stone & Calvin, 1945), Test de Clasificación de Cartas de Wisconsin (Heaton, 1981), Prueba de Ejecución Continuada visual y auditiva, Curva Verbal (Ardila, Rosselli & Puente, 1994), Test de Vocabulario de Boston y Token Test, Test de rastreo parte A y B, y Test de Fluidez Verbal. Ajustados a baremos con validación respectiva.
Para caracterizar la función motora se utilizó la CIF-2001 (WHO, 2001), más un examen físico médico de las cuatro extremidades, utilizando escala de fuerza, coordinación, reflejos y arcos del movimiento.
La evaluación neuropsicológica se completó en su totalidad en cinco pacientes. Únicamente en el caso 4 no se realizó el Woodcock ni el Wisconsin por fatiga del paciente. En los 6 pacientes se realizó el examen clínico médico y aplicación de la CIF-2001.
Análisis
Los resultados del estudio se mostrarán de manera general, y por descripción individual de cada caso.
Aspectos éticos
Investigación sin riesgo ante la legislación colombiana (artículo 11, Resolución 8430 de 1993), con aval de los comités de ética e investigación de la Universidad CES y del INDEC. En cada paciente se obtuvo consentimiento informado, y se otorgó subsidio de transporte y alimentación. Este estudio alimenta la sub línea de investigación en neurorehabilitación y neuropsicología del INDEC.
Resultados
Tres hombres y tres mujeres. Cinco de ellos desempleados en el momento de la toma de datos. Edad promedio actual 48 años (desviación estándar DE ±13,81 años. Rango 28 a 60 años). La edad promedio de inicio del cuadro doloroso es de 42,3 años (DE±13,29 años. Rango 25 a 55 años).
Promedio de años formales de escolaridad es de 6,2 años (DE±5,7 años. Años mínimos de estudio 0, años máximos de estudio 13 años).
En cinco pacientes (83,3%) la extremidad afectada es la mano dominante para su proceso de escritura y actividades de la vida diaria. En un paciente (16,7%) la afectación es en uno de los miembros inferiores, no involucrando su extremidad superior dominante.
La etiología y/o enfermedad relacionada con el desencadenamiento del dolor tipo SDRC o DNP fue heterogénea.
El promedio del estado mental en todos los pacientes, evaluado a través del Minimental test, es de 26,5 puntos (DE±1 punto. Valor mínimo 25 y valor máximo 28 puntos). El coeficiente intelectual (CI) de 4 pacientes (66.7%) se encuentra dentro del rango normal-bajo (80-90), y en un paciente (16.7%) dentro del rango normal (90-110). En la Tabla 1 (posee dos partes) se detallan las pruebas neuropsicológicas obtenidas en cada paciente.
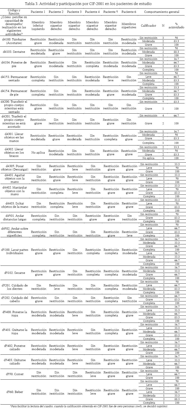
El promedio de fuerza en el miembro superior derecho (MSD) es de 3.7/5, en el miembro superior izquierdo (MSI) es de 4/5, en el miembro inferior derecho (MID) es de 4.3/5, y en el miembro inferior izquierdo (MII) es de 4.7/5. El perfil de funcionamiento obtenido en cada paciente se muestra en las tablas 2 y 3.
Reporte de casos Caso 1
Mujer de 28 años, procedente de la ciudad de Medellín (Colombia), dominancia manual: izquierda. Actualmente en embarazo de seis meses, madre de una hija de 11 años, con nivel de escolaridad técnica completa y pensionada por invalidez. Recibe diagnóstico de SDRC tipo I a los 26 años, en MII, desencadenado por trombosis venosa profunda (TVP), secundaria aparentemente a consumo de anticonceptivos orales.
Hasta hace dos años trabajaba como auxiliar de cambios de mercancía, con un horario extenso (48 horas/semana). Reporta que su cuadro actual la limita como ama de casa.
Actualmente se encuentra medicada con: haloperidol, enoxaparina, acetaminofén, acido fólico, tramadol, parches para dolor, ranitidina y calcio.
Antecedentes personales. Presentó trauma encéfalocraneano (TEC) severo a los 13 años, en accidente de tránsito.
Comorbilidades psiquiátricas. Ha presentado cuatro intentos de suicidio: el primero hace dos años, el último hace seis meses. Actualmente, se encuentra en tratamiento por psiquiatría, psicología y trabajo social, y presenta un diagnóstico de psicosis auditiva: refiere alucinaciones estructuradas visuales y auditivas, transferencia de pensamiento, alucinaciones viscerales y despersonalización.
Al examen físico actual presenta marcado edema a partir del 1/3 medio de la pierna izquierda, gran impotencia funcional, atrofia de piel y cambios de coloración.
Presenta gran hiperestesia que impide el examen físico (palpación) de dicha extremidad. La fuerza en sus extremidades derechas (pierna y brazo) es de 5/5, en la extremidad superior izquierda es de 4/5, y en MII es de 3/5.
Caso 2
Hombre de 60 años, procedente de Sonsón - Antioquia (Colombia), dominancia manual: diestro, separado, padre de 5 hijos, con primaria incompleta (1° de básica primaria-BP) desempleado. Recibe diagnóstico de SDRC tipo II a los 55 años, en MSD, desencadenado por accidente laboral en el que un objeto metálico golpeó su mano derecha y generó fractura simple de un hueso metacarpiano, la cual no fue atendida ni inmovilizada medicamente. Refiere que mejoró a los 2 meses, retomó su trabajo en oficios varios, y posteriormente presentó nuevo episodio de edema, dolor e impotencia funcional.
En el 2001 fue desplazado por violencia de Sonsón. Cuando llega a Medellín trabaja en oficios varios en una empresa de arquitectura, a los cuatro años de estar empleado sufre el accidente. Desde ese momento se encuentra desempleado y sin pensión por invalidez.
Un año después del accidente le practicaron una cirugía plástica y ortopédica. Después le realizaron una segunda cirugía en la cual inmovilizan los dedos 1 y 2 de la mano derecha. Le han realizado, además, tres bloqueos ganglionares simpáticos y una radiofrecuencia. Se observa un claro no uso aprendido del MSD.
Antecedentes personales. Hipertensión arterial (HTA). Sífilis hace 40 años tratada con penicilina.
Comorbilidades psiquiátricas: Ninguna.
Al examen físico presenta piel eritematosa y atrófica, edema marcado en dorso de la mano y falanges, con aumento del tono flexor. Dedos 1 y 2 mano derecha pléjicos, sólo el dedo cinco es funcional en arco flexor y extensor. La fuerza en sus extremidades izquierdas (pierna y brazo) es de 5/5, en la extremidad inferior derecha es de 4/5, y en MSD es de 3/5.
Caso 3
Hombre de 58 años, procedente de Medellín, dominancia manual: diestro, separado, padre de dos hijos, sin ningún nivel de estudios y desempleado. Recibe diagnóstico de SDRC tipo II a los 50 años, en MSD, desencadenado por herida con arma blanca (HAB), en región volar de 1/3 distal de antebrazo derecho. No recibió ningún tratamiento.
Le han realizado varios bloqueos de ganglio simpático cérvico-torácico. Hasta hace cinco años era empleado de oficios varios, actualmente se encuentra desempleado.
Antecedentes personales. Hipertensión arterial (HTA), hipotiroidismo, dislipidemia, TEC hace 8 años en accidente de tránsito, úlcera gástrica, fracturas costales y enfermedad coronaria.
Comorbilidades psiquiátricas. Ha presentado varios intentos de suicidio. Recibió diagnóstico de depresión y trastorno del comportamiento. Consumo de sustancias en su juventud: clonazepam, alcohol etílico, marihuana, cocaína y cigarrillo. Niega consumo de sustancias psicoactivas en la actualidad.
Al examen físico presenta edema y anhidrosis del primer y segundo dedo mano derecha, hiperqueratosis de la uña del dedo uno. Disestesias e hiperalgesia en pulpejo del dedo pulgar. Normofléxico. Refiere que utiliza algunas de las funciones de la mano, siempre y cuando no involucre los dedos uno y dos. Clara lesión de nervio mediano. La fuerza en sus extremidades inferiores y en la superior izquierda es de 5/5, y en MSD es de 4/5. Caso 4
Mujer de 54 años, procedente de Medellín, dominancia manual: diestra, divorciada, madre de un hijo de 25 años, con nivel de estudios de técnica completa, empleada como recepcionista. Recibe diagnóstico de DNP a los 51 años en MSD, como consecuencia de mastectomía por cáncer de mama derecha.
Presentó nódulo mamario en mama derecha en el 2006, con dolor axilar. En el 2008 le realizan ecografía mamaria y biopsia. En enero del 2009 recibe diagnóstico de carcinoma ductal infiltrante y tres meses después se hace mastectomía radical con vaciamiento ganglionar. Desde el post operatorio temprano presentó "parálisis de toda la extremidad superior derecha, pero la mano empezó a responder con el tiempo". Actualmente persiste el dolor en hombro, brazo y 2/3 del antebrazo derechos. La paciente lo reporta como un dolor continuo, "duele como el hueso, como por dentro, es quemante, como si lo tuviera inflamado". Utiliza su mano derecha para algunas actividades, pero con menos habilidad y fuerza.
Actualmente se encuentra medicada con: pregabalina, duloxetina, alendronato y acetaminofén.
Antecedentes personales. Hipertensión arterial (HTA), histerectomía hace más de 10 años por miomas, cáncer de mama en remisión (sin metástasis a órganos o vísceras), lesión blástica en cuerpo vertebral T3 y quiste perineural C8 izquierdo.
Comorbilidades psiquiátricas. Ninguna.
Al examen físico piel de extremidad sana, con oposición y analíticas de pulgar derecho. No hay anquilosis. Buen llenado capilar, normofléxica. Linfedema más pronunciado en dorso de la mano e hipoestesia en miembro superior derecho. La fuerza en sus extremidades izquierdas (pierna y brazo) es de 5/5, en la extremidad inferior derecha es de 4/5, y en el MSD es de 3/5.
Caso 5
Mujer de 55 años, procedente de Chocó, dominancia manual: diestra, casada, madre de cuatro hijos, con nivel de escolaridad primaria completa, ama de casa, pensionada por edad, trabajó en confecciones. Recibió diagnóstico de DNP a los 47 años, en MSD, desencadenado por trauma mecánico a repetición (enfermedad profesional), tipo enfermedad de manguito rotador (MR).
Actualmente presenta diagnóstico de lesión de MR. Le realizaron la primera cirugía de bursitis en 2004 y en el 2006 requirió otra por una nueva ruptura. A partir de la segunda cirugía desarrolló dolor crónico de hombro. Además de las intervenciones quirúrgicas, posee bloqueo de ganglio simpático (procedimiento médico en dolor crónico).
Antecedentes personales. Cálculos biliares, histerectomía por miomas, vena várice, túnel carpiano bilateral y estenosis pilórica.
Comorbilidades psiquiátricas. Episodio depresivo al inicio del diagnóstico, con ideación suicida hace cuatro años.
Al examen físico actual presenta hombros atróficos con severa restricción y limitación del movimiento. No presenta cambios de coloración en la piel. La fuerza en sus extremidades inferiores es de 5/5 y en los miembros superiores (derecho e izquierdo) es de 3/5.
Caso 6
Hombre de 33 años, procedente de Medellín, dominancia manual: izquierda, casado, padre de un hijo, con nivel de escolaridad primaria completa, desempleado, trabajó en mecánica. Recibió diagnóstico de DNP a los 25 años, en miembros superiores (bilateral), secundario a dos accidentes laborales.
Presentó accidente laboral en la mano izquierda con monta carga, el cual amputó el dedo dos a nivel de la falange distal. Posteriormente sufrió un nuevo accidente laboral con cizalla mecánica en el dedo dos de la mano derecha. Ha presentado varias cirugías (tres en la mano izquierda y seis en la mano derecha) y varios procesos infecciosos en la región amputada.
Antecedentes personales: Ninguno
Comorbilidades psiquiátricas. Hace siete años episodio depresivo, con intento de suicidio con químicos.
Al examen físico actual se observa marcada alodinia en ambas manos, hacia la región distal de los dedos índice (muñón). No presenta atrofia y los muñones se encuentran limpios y sin signos de infección o inflamación. La fuerza en sus extremidades inferiores es de 5/5, y en las extremidades superiores es de 4/5.
Discusión
La edad promedio de los pacientes en estudio (48 años, DE± 13.81), es comparable con estudios previos que señalan una alta prevalencia de SDRC entre los 36 y 46 años (Ghai & Dureja, 2004). Pero es contradictorio con lo planteado por Mos, et al. (2009) quienes reportan un pico de incidencia de SDRC entre los 61-70 años. No se hallaron datos precisos sobre la edad de los pacientes con DNP.
Llama la atención que la gran mayoría de los pacientes se encuentran desempleados, lo que sugiere alguna relación entre el inicio del síndrome doloroso y la pérdida del empleo. Un dato que justifica lo anterior es que la edad promedio de inicio de los síntomas (42,3 años. DE±13,29) coincide con la edad en que las personas se encuentran laboralmente activas.
Lo más frecuente en los pacientes en estudio fue el compromiso de extremidades superiores, específicamente la dominante. Este aspecto se encuentra relacionado con la marcada exposición laboral de los miembros superiores y, una vez comprometidos, un deterioro en la vida funcional básica e instrumental.
Clínicamente, los pacientes a nivel motor presentan una disminución en la fuerza en alguna de sus extremidades, incluyendo la afectada por el síndrome doloroso, de tipo paresia (debilidad muscular). Lo cual implica una afectación de la función motora además del cuadro doloroso.
En 1994, la IASP introdujo el término SDRC para describir los cuadros de dolor crónico que incluían cambios sudomotores y vasomotores. Se definió como un síndrome doloroso que incluye dolor regional, cambios en la sensación (alodinia), alteraciones en la sudoración, temperatura y coloración de la piel que ocurre después de un evento nocivo. La fisiopatología no es clara y por lo general afecta la mano o el píe (Ghai & Dureja, 2004). Lo anterior coincide con lo encontrado en los tres pacientes de SDRC evaluados (Casos 1, 2 y 3), en quienes se observaron cambios en la coloración, hiperestesia, edema y atrofia en la extremidad afectada. En Madrid (España) evaluaron dos pacientes con SDRC en los cuales también se encontró enrojecimiento local, hipersudoración, edema, hiperalgesia y alodinia (Martínez-Salio et al, 2007).
Por su parte, el DNP es un síndrome que corresponde a diferentes etiologías y mecanismos fisiopatológicos, lo cual lleva a diversas manifestaciones clínicas (Carneado-Ruíz et al, 2005). En el presente estudio, los tres pacientes con DNP (casos 4,5 y 6) presentaron causas heterogéneas de la aparición del dolor, lo cual está en relación con lo planteado por Carneado-Ruiz et al (2005). El DNP es un conjunto de síntomas dolorosos o desagradables, en el cual existe un componente personal a la hora de evaluar el dolor y cada persona lo define de manera diferente, utilizando términos como "quemante", "agudo", "calambre", "irritante", "insoportable", "punzante", entre otros (Santos-Lamas, 2002).
Los resultados obtenidos en la evaluación neuropsicológica reflejan dificultades, en la mayoría de los pacientes, principalmente en lenguaje comprensivo (evaluado con el Token Test) y en funciones ejecutivas (valoradas con el Wisconsin). Estos hallazgos no coinciden con lo encontrado por Esteve et al. (2001), quienes refieren que los pacientes con dolor crónico presentan alteraciones de memoria y atención. Sin embargo, es importante resaltar, que algunos de los pacientes evaluados en el estudio actual también presentaron dificultades en estas funciones cognitivas.
Las alteraciones en funciones ejecutivas de los pacientes en estudio, son coherentes con lo planteado por Libon et al. (2010), los cuales encontraron que tanto el grupo disejecutivo como el global presentaban alteraciones en dicha función.
Es importante mencionar que, aunque el estudio no pretendía valorar el estado de ánimo de los pacientes, se encontró que el 66.7% (cuatro de ellos) presentó un cuadro depresivo previo (como antecedente personal, más no durante el momento de realización del estudio) que incluía ideación e intento de suicido, después del diagnóstico de dolor crónico. Estas alteraciones en el estado de ánimo podrían ser secundarias a la pérdida del empleo y de capacidades posteriores al evento nocivo. Lo anterior se puede relacionar con lo planteado por Mačianskyté, Janužis, Kubilius, Adomaitiené & Ščiupokas (2011), quienes encontraron que los pacientes con dolor crónico tienen un nivel de percepción del dolor mayor, y presentan niveles más altos de ansiedad y depresión. Sin embargo, refieren que es importante realizar una valoración multidisciplinaria con el fin de evaluar el estado emocional de los pacientes y mejorar la eficacia del tratamiento y la calidad de vida de éstos.
La etiología directa de las alteraciones cognitivas encontradas no se pueden aclarar mediante esta tipología de estudio, pero se debe tener presente que el sustrato biológico de las funciones cognitivas son poli sinápticas de alto nivel y se encuentran relacionadas con otras áreas y circuitos involucrados en dolor, emoción, comportamiento y conducta.
A nivel del perfil de funcionamiento por CIF-2001, obtenido en cada paciente hay hallazgos importantes a discutir:
Funciones corporales: El 50% de los pacientes no presenta ninguna limitación en el control de movimientos voluntarios simples. Cuatro pacientes (66.7%) no presentan limitaciones para la movilidad de la pelvis ni de los huesos tarsianos. El 66.7% de los pacientes posee algún tipo de limitación (leve-completa) en la movilidad de una sola articulación, control de movimientos voluntarios complejos y sensación de rigidez muscular. Este mismo porcentaje presenta limitaciones entre leve y grave para la coordinación de movimientos voluntarios y funciones de apoyo del brazo o la pierna, y una limitación moderada-grave en la fuerza de los músculos de la mitad inferior del cuerpo. El 80% de los pacientes no presenta alteraciones en el tono de los músculos de una extremidad, pero presenta una limitación moderada-completa en la fuerza de éstos. Cinco pacientes (83.3%) presentan sensación de espasmo muscular entre moderado y grave, y una limitación moderada-completa en la movilidad de la escápula y de los huesos carpianos. El 100% no presenta limitaciones en el tono de los músculos de la mitad inferior del cuerpo.
Actividades y participación: El 50% de los pacientes no presenta restricciones para el cuidado de los dientes, comer, beber, tumbarse (acostarse), sentarse, permanecer sentado, o andar distancias largas y sobre diferentes superficies. La mitad de los pacientes posee una restricción entre moderada y grave para llevar objetos en los brazos, y grave para agarrar y descargar objetos con la mano. Tres pacientes (66.7%) no presentan restricciones para transferir el propio cuerpo mientras está acostado ni para el cuidado de su cabello. El 66.7% tiene algún nivel de restricción (leve-completa) para manipular y soltar objetos con la mano, y una restricción moderada-completa para sostenerse de píe. Cinco pacientes (83.3%) no presentan restricción para transferir el cuerpo mientras están sentados. El 83.3% presenta una restricción entre moderada y completa para ponerse de píe, llevar objetos en la mano, lavar partes individuales de su cuerpo y secarse, y restricción leve-grave para ponerse y quitarse el calzado. Este mismo porcentaje presenta algún tipo de restricción (leve-completa) para ponerse y quitarse la ropa. El 100% de los pacientes posee algún tipo de restricción (leve-completa) para lavar todo su cuerpo y realizar manualidades.
El dolor, más allá de una experiencia dual (sensorial y emocional) desagradable (Merskey & Bogduk, 1994), es un fenómeno multidimensional, con componentes sensoriales, fisiológicos, cognitivos, afectivos, conductuales, y culturales (OMS, 2012).
A partir de los datos visualizados en esta serie de casos y acorde a la literatura revisada, tanto el SDRC como el DNP causan déficit estructural y fisiológico en las redes centrales y periféricas del dolor, limitación en las funciones de las extremidades comprometidas y, restricciones en las actividades y participación de diferente nivel. En otros términos, más que el déficit biológico, se encuentran alteraciones en el funcionamiento en actividades y participación de diverso nivel. Por todo lo anterior, se hace necesario un enfoque integral en la salud del paciente con SDRC y DNP que abarque tanto el déficit biológico, como las limitaciones y restricciones en el funcionamiento motor y cognitivo, que han sido objetivadas en el presente estudio.
Referencias
Ropper A.H., Samuels M.A. (2009). Chapter 8. Pain. In A.H. Ropper, M.A. Samuels (Eds), Adams and Victor's Principles of Neurology, 9e. Retrieved September 23, 2013 from http://www.accessmedicine.com/content.aspx?aID=3632862. [ Links ]
Arana, A, & Daza, J. (2010). Dolor Neuropático. En Uribe, CS., Arana, A. & Lorenzana, P. Fundamentos de medicina: Neurología. Ed 7. (pp. 188-203), Medellín: Centro de Investigaciones Biológicas. [ Links ]
Ardila, A., Roselli, M. & Puente, A. (1994). Neuropsychological Evaluation of the Spanish Speaker. New York: Plenum Press. [ Links ]
Asociación Colombiana para el Estudio del Dolor [ACED]. (2010). Quinto estudio nacional del dolor 2010. Consultado Septiembre 23, 2013 de http://dolor.org.co/encuesta/5ta%20Encuesta%20Nacional%20de%20Dolor.pdf. [ Links ]
Carneado-Ruíz, J., Morera-Guitart, J., Alfaro-Sáez, A., Turpín-Fenoll, C., Serna-Candel, C. & Matías-Guiu, J. (2005). El dolor neuropático como motivo de consulta en Neurología: análisis de su frecuencia. Rev Neurol, 41 (11), 643-648. [ Links ]
Chóliz, M. (1994). El dolor como experiencia multidimensional: la cualidad motivacional afectiva. Ansiedad y Estrés, 0, 77-88. [ Links ]
Dombovy Mary L. (2011). Neurorehabilitation for Other Neurologic Disorders. Continuum Lifelong Learning Neurol, 17(3), 606-616. [ Links ]
Doron, O. (2000). El manejo psicológico del dolor crónico. Manual de tratamiento para terapeutas. Medellín: Universidad Pontificia Bolivariana. [ Links ]
Esteve, M., Ramirez, C. & López, A. (2001). Alteraciones de la memoria en pacientes con dolor crónico. RevSoc Esp Dolor, 8, 119-127. [ Links ]
Geertzen, J. & Dijkstra, P. (1998). Relationship between impairment, disability and handicap in reflex sympathetic dystrophy patients: a long-term follow-up study. Clinical Rehabilitation, 12, 402-412. [ Links ]
Ghai, B. & Dureja, GP. (2004). Complex regional pain syndrome: A review. J Postgrad Med, 50 (4), 300-307. [ Links ]
Heaton, RK. (1981). Wisconsin Card Sorting Test Manual Odessa. Florida: Psychological Assesment Resources. [ Links ]
Libon, D. Schwartzmaen, R., Eppig, J., Wambach, D., Brahin, E., Peterlin, B., Alexander, G. & Kalanuria, A. (2010). Neuropsychological deficits associated with Complex Regional Pain Syndrome. J Int Neuropsychol Soc, 16(6). 1151-2. [ Links ]
Macianskyté, D., Januzis, G., Kubilius, R., Adomaitiené, V. & Sciupokas, A. (2011). Associations between chronic pain and depressive symptoms in patients with trigeminal neuralgia. Medicina (Kaunas), 47 (7), 386-92. [ Links ]
Martínez-Salio, A., Vicente-Fatela, L., Acedo-Gutiérrez, M.S., Sánz-Ayán, P., Almajano, J., Urbano-López, M., et al. (2007). Síndrome de dolor regional complejo de tipo I: una enfermedad neurológica frecuente. A propósito de dos casos atípicos. Rev Neurol, 44 (4), 212-216. [ Links ]
Merskey, H. & Bogduk, N. (1994). Classification of chronic pain: Task Force on Taxonomy. Seattle, IASP press. [ Links ]
Merskey, H. & Bogduk, N. (s.f). Classification of chronic pain: descriptions of chronic pain syndromes and definitions of pain terms. Seattle, WA: IASP Press. [ Links ]
Mos, M. Huygen, FJ., Van der Hoeven-Borgman, M., Dieleman, JP., Ch Stricker, BH. & Sturkenboom, MC. (2009). Outcome of the complex regional pain syndrome. Clin J Pain, 25(7), 590-7 [ Links ]
Organización Mundial de la Salud [OMS]. (2006). Dolor asociado a trastornos neurológicos. Trastornos neurológicos: desafíos para la salud pública. [ Links ]
Organización Mundial de la Salud [OMS]. (2012). Directrices de la OMS sobre el tratamiento farmacológico del dolor persistente en niños con enfermedades médicas. Capitulo 1. Ginebra, Organización Mundial de la Salud. [ Links ]
Santos-Lamas, J. (2002, junio). Dolor neuropático. Anamnesis y estudio clínico. Documento presentado en la Cátedra Extraordinaria del Dolor, Fundación Grünenthal, Universidad de Salamanca, España. [ Links ]
Vuadens, P., Barnes, M., Peyron, R. & Laurent, B. (2005). Spasticity and pain after stroke. En Barnes, M., Dobkin, B. & Bogousslavsky, J. Recovery after stroke. (pp. 286-319). United Kingdom: Cambridge University Press. [ Links ]
Wechsler, D., Stone, W. & Calvin, P. (1945). Wechsler Memory Scale. The Journal of Psychology, 19,87-95. [ Links ]
World Health Organization [WHO]. (2006). Chapter 3.7: Pain associated with neurological disorders. Neurological disorders: public health challenges. Geneva, World Health Organization. [ Links ]
World Health Organization [WHO]. (2001). International Classification of Functioning, Disability and Health (ICF). Retrieved September 23, 2013 from http://www.who.int/classifications/icf/en/. [ Links ]
Recibido: Abril 29-2013 Revisado: Agosto 5-2013 Aceptado: Septiembre-18 2013














