SciELO - Scientific Electronic Library Online

 
vol.34 issue1Incidence of bile duct lesion at a university hospital: analysis of more than 1,600 laparoscopic cholecystectomiesGastric volvulus, laparotomy and laparoscopic approach. Literature review pertaining two cases author indexsubject indexarticles search
Home Pagealphabetic serial listing  

Services on Demand

Journal

Article

Indicators

Related links

  • On index processCited by Google
  • Have no similar articlesSimilars in SciELO
  • On index processSimilars in Google

Share


Revista Colombiana de Cirugía

Print version ISSN 2011-7582On-line version ISSN 2619-6107

rev. colomb. cir. vol.34 no.1 Bogotá Jan./Mar. 2019

https://doi.org/10.30944/20117582.98 

Artículos originales

Experiencia quirúrgica de 10 años de cáncer gástrico en un hospital de tercer nivel, 2007-2016

Ten year surgical experience with gastric cancer at a third level of care hospital, 2007-2016

Sandra Milena Rojas1  a 

Rafael Hernando Pino2 

Luis Gerardo Vargas2 

1 Médica general, epidemióloga, residente de III año de Cirugía General, Universidad Surcolombiana, Neiva, Colombia.

2 Médico, cirujano, Departamento de Cirugía Gastrointestinal y endoscopia digestiva, Universidad Surcolombiana, Hospital Universitario Hernando Moncaleano Perdomo, Neiva, Colombia.


Resumen

Objetivo.

Caracterización de los pacientes con cáncer gástrico, evaluación del resultado quirúrgico y supervivencia.

Materiales y métodos.

Se trata de un estudio descriptivo, de tipo serie de casos, cuyos datos fueron recolectados y analizados en el programa SPSS™, versión 21.

Resultados.

Se incluyeron 358 pacientes. El síntoma más común fue la epigastralgia (72,9 %) y, según la clasificación macroscópica de Bormann, el tipo III fue el más frecuente (62,8 %). En el estudio de histopatología, predominó el tipo intestinal (52,2 %).

En el 77,9 % de los casos, el procedimiento se practicó con laparotomía y, en el 22,1 %, con laparoscopia. Las intervenciones quirúrgicas fueron: gastrectomía total (36,9 %), gastrectomía subtotal (32,4 %), gastroyeyunostomía (8,9 %), laparotomía exploratoria (17 %) y laparoscopia diagnóstica (4,7 %). En 39 % de los pacientes se encontraron metástasis en otros órganos. Solo en 4,7 % se presentó alguna complicación intraoperatoria y, en 9,1 %, alguna posoperatoria. El promedio del tiempo quirúrgico fue de 122 minutos y la estancia hospitalaria fue de 8,7 días. Durante el seguimiento, fallecieron 131 (36,6 %) pacientes y 34,1% presentaron recaída.

Mediante la prueba de ji al cuadrado, se encontró una relación estadísticamente significativa entre el tipo de cirugía y el estadio de la lesión (p=0,007), entre el tipo según la clasificación de Bormann y el grado de diferenciación (p=0,008), y entre según la clasificación de Bormann y la mortalidad (p=0,000). Se elaboró una curva de supervivencia mediante el método de Kaplan-Meier, obteniéndose un log rank de 0,010.

Conclusiones.

El cáncer gástrico sigue siendo muy común en nuestro medio. Se diagnostica en estadios muy avanzados, lo que imposibilita su manejo integral, disminuye la supervivencia y, en muchas ocasiones, imposibilita el manejo quirúrgico por compromiso tumoral avanzado.

Palabras clave: neoplasias gástricas; gastrectomía; complicaciones intraoperatorias; complicaciones posoperatorias; mortalidad

Abstract

Objective:

Observation of characterization of patients with gastric cancer, evaluation of surgical outcome and survival.

Materials and methods:

Descriptive study, observational, data collected and analyzed with the statistical program SPSS version 21.

Results:

We included 358 patients, the most common symptom being epigastric pain in 72.9%. The most common macroscopic classification was Bormann III, 62.8%. In the histopathology study the intestinal type predominated, with 52.2% of the cases. In 77.9% of the patients, the operative procedure was performed by laparotomy and in 22.1% by laparoscopy. The surgical interventions performed were: total gastrectomy 36.9%, followed by subtotal gastrectomy 32.4%, gastrojejunostomy 8.9%, exploratory laparotomy 17%, diagnostic laparotomy 4.7%. Metastases in other organs were encountered in 39%. An intraoperative complication occurred only in 4.7%, and some postoperative complication in 9.1% of the patients. The average operating time was 122 minutes, the hospital stay 8,7 days; 131 patients died during follow-up, corresponding to 36.6%, and 34.1% relapsed. Chi-square test was performed, finding a statistically significant relationship between the type of surgery and the stage of the lesion (p=0.007), between the Bormann classification and mortality (p=000), the degree of differentiation (p=0.008), Borman and mortality (p=0.000). A survival curve was performed according to the Kaplan Meier method obtaining a log rank of 0.010.

Conclusions:

Gastric cancer continues to be a very common pathology in our environment. It is diagnosed in advanced stages, which makes the integral management of this pathology impossible, decreasing survival and, in many cases, the impossibility of surgical management due to the advanced tumor compromise.

Keywords: stomach neoplasms; gastrectomy; intraoperative complications; postoperative complications; mortality

Introducción

El cáncer gástrico es uno de los cánceres más comunes en todo el mundo 1. Anualmente, en los Estados Unidos, se diagnostican 22.220 pacientes, aproximadamente, de los cuales se espera que mueran 10.990 2.

La incidencia mundial de cáncer gástrico ha disminuido rápidamente en los últimos decenios 3,4,5,6,7. Sin embargo, en países como Japón, China, Costa Rica, Colombia, Chile y Ecuador, el cáncer gástrico encabeza las listas de causas de defunción por neoplasias malignas 8.

En Colombia, es la primera causa de muerte por cáncer en hombres y la segunda en mujeres 9. La tasa media de mortalidad es de 11,5 por 100.000 habitantes, pero en áreas de alta incidencia, alcanza los 150 casos por 100.000 habitantes.

El único estándar de tratamiento con fin curativo es la cirugía y el vaciamiento de ganglios linfáticos perigástricos, con la morbilidad que ello implica 10. El manejo quirúrgico depende del estadio clínico de la enfermedad. Para el momento del diagnóstico, más del 80 % de los pacientes con cáncer gástrico ya se encuentran en estadios avanzados, lo cual disminuye drásticamente su supervivencia 11. La supervivencia a cinco años para el cáncer gástrico temprano es cercana a 90 %, a diferencia de la del cáncer gástrico avanzado con manejo quirúrgico, la cual es de alrededor de 5 % 12.

Metodología

Se llevó a cabo un estudio observacional de tipo descriptivo, retrospectivo, de tipo serie de casos. Se revisó el registro médico de 358 pacientes con diagnóstico de cáncer gástrico, que recibieron tratamiento quirúrgico en el periodo del 1° de enero de 2007 al 31 de diciembre de 2016.

Se incluyeron todos los pacientes con diagnóstico de adenocarcinoma gástrico que consultaron al hospital de tercer nivel en el periodo establecido y que fueron sometidos a cirugía.

Los criterios de inclusión fueron: pacientes con diagnóstico histológico y endoscópico de cáncer gástrico sometidos a tratamiento quirúrgico, y mayores de 18 años de edad. Se excluyeron los pacientes con datos incompletos en la historia clínica y aquellos con diagnóstico de cáncer gástrico que no fueron operados.

La información de los pacientes que cumplían con los criterios de inclusión, se recolectó mediante un instrumento previamente validado. Una vez recolectada, la información se sistematizó y se hizo un análisis univariado, estableciendo los resultados de las variables cualitativas en porcentajes; para las variables cuantitativas, se determinaron las medidas de tendencia central y de dispersión, así como la distribución según pruebas de normalidad, con el programa SPSS™, versión 21.

Consideraciones éticas

El presente estudio se hizo previa autorización del Comité de Ética del hospital en el cual se llevó a cabo el estudio. Según la Resolución 8430 de 1993, artículo 11, este estudio se clasificó como una investigación sin riesgo, debido a que la técnica y el método de investigación fueron documentales, y la revisión de historias clínicas y la utilización del instrumento se hicieron sin que se identificaran ni se trataran aspectos de la conducta de los pacientes.

Resultados

Durante el periodo de estudio, al Hospital Universitario de Neiva, ingresaron 467 pacientes con diagnóstico de cáncer gástrico mediante endoscopia de vías digestivas altas y estudio histopatológico de biopsias, de los cuales 60 fueron excluidos por datos insuficientes en la historia clínica y 49 por no haber recibido manejo quirúrgico.

De los 358 pacientes incluidos, el 66,5 % era del sexo masculino y el 33,5 % del sexo femenino; el promedio de edad fue de 61,8 años, con un rango entre los 20 y los 75 años (figura 1). El promedio del índice de masa corporal fue de 21,7 kg/m2.

Figura 1. Edad en años, media=61,87, desviación estándar= 13,351; N=358. 

Los síntomas más comunes fueron: epigastralgia (72,9 %), emesis (41,3 %) y pérdida de peso (36,9 %). El tipo III fue el más común (62,8 %) según la clasificación macroscópica de Bormann (figura 2). El 77,6 % de las lesiones fueron distales. El 50,8 % de las lesiones estaban mal diferenciadas y, solo el 14,2 %, bien diferenciadas. Hubo predominio (52,2 %) del tipo histológico intestinal.

Figura 2. Clasificación macroscópica de Bormann. 

Entre los procedimientos quirúrgicos, se practicó laparoscopia de estadificación en 15,4 % de los casos y se encontraron metástasis en el 8,1 %. El abordaje fue por laparotomía en el 77,9 % y por laparoscopia en el 22,1 % de los casos. Se practicó gastrectomía total en 36,9 % de los pacientes, gastrectomía subtotal en 32,4 %, gastroyeyunostomía en 8,9 %, laparotomía exploratoria en 17 % y laparoscopia diagnóstica en 4,7 % (figura 3). En 39% de los casos, se encontraron metástasis a otros órganos.

Figura 3 Manejo en porcentajes. 

Solo en 4,7 % se presentó una complicación intraoperatoria y, en el 9,1 %, una posoperatoria. El promedio del tiempo quirúrgico fue de 122 minutos (figura 4) y el de la estancia hospitalaria fue de 8,7 días. El estadio tumoral más común (40,3 %) fue el III. Durante el seguimiento, fallecieron 131 (36,6 %) pacientes y 122 (34,1 %) presentaron recaída.

Figura 4. Tiempo quirúrgico en minutos, porcentaje acumulado. 

Mediante la prueba de ji al cuadrado, se encontró una relación estadísticamente significativa entre el tipo de cirugía y el estadio de la lesión (p=0,007), entre el tipo de Bormann y el grado de diferenciación (p=0,008), y entre el tipo de Bormann y la mortalidad (p=0,000). La mayoría de los pacientes que fallecieron se encontraban en estadio IV (p=0,000).

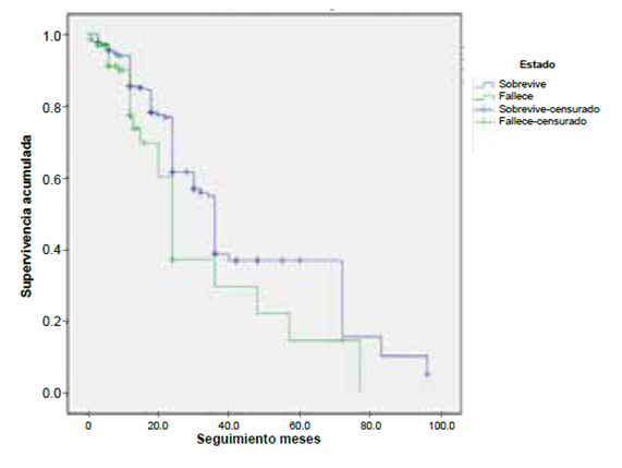
No se encontró una relación estadísticamente significativa entre las complicaciones quirúrgicas y los fallecimientos (p=0,37). Se elaboró una curva de supervivencia con el método de Kaplan-Meiery se obtuvo un log rank de 0,010 (figura 5).

Figura 5. Funciones de supervivencia. 

Discusión

Todos los pacientes incluidos en el estudio tenían diagnóstico de adenocarcinoma gástrico, con una distribución muy similar entre el tipo intestinal (52,2 %) y el difuso (47,8 %); el 62,8 % de los pa cientes operados tenían cáncer gástrico de tipo III en la clasificación de Bormann.

El principal motivo de consulta fue la epigastralgia (72,9 %), el cual es inespecífico y puede atribuirse a otras enfermedades. Solo el 8,9 % de los pacientes se diagnosticaron de forma temprana. En estudios japoneses, se documenta un porcentaje de diagnóstico temprano alrededor de 50 %; en nuestro medio, el diagnóstico sigue siendo tardío, pues no se hace tamización en zonas de alta incidencia 13,14.

No se encontró asociación de la mortalidad ni de las complicaciones posquirúrgicas, con el índice de masa corporal bajo (p=0,60) ni con las bajas concentraciones de albúmina sérica (p=0,89), como se reportó en otro estudio, en el cual se encontraron asociadas con un aumento del riesgo de mortalidad en cirugía mayor 15,.

Conclusiones

El cáncer gástrico sigue siendo una condición muy común en nuestro medio, la cual se diagnostica en estadios muy avanzados, lo que imposibilita su manejo integral, disminuye la supervivencia y, en muchas ocasiones, imposibilita la intervención quirúrgica por el compromiso tumoral avanzado.

Referencias

1. Jemal A, Bray F, Center MM, Ferlay J, Ward E, Forman D. Global cancer statistics. CA Cancer J Clin. 2011;61:69-90. doi: 10.3322/caac.20107 [ Links ]

2. Siegel R, Ma J, Zou Z, Jemal A. Cancer statistics, 2014. CA Cancer J Clin. 2014;64:9-29. doi: 10.3322/caac.21208 [ Links ]

3. Haenszel W. Variation in incidence of and mortality from stomach cancer, with particular reference to the United States. J Natl Cancer Inst. 1958;21:213-62. [ Links ]

4. Muñoz N, Asvall J. Time trends of intestinal and diffuse types of gastric cancer in Norway. Int J Cancer. 1971;8:144. doi: 10.1002/ijc.2910080119 [ Links ]

5. Hirayama T. Epidemiology of cancer of the stomach with special reference to its recent decrease in Japan. Cancer Res. 1975;35:3460-63. [ Links ]

6. Waterhouse J, Muir C, Correa P, Powell J, editors. Cancer incidence in five continents. Scientific Publications No. 15. Lyon: International Agency for Research on Cancer; 1976. Vol III.p.456. [ Links ]

7. Zhu AL, Sonnenberg A. Is gastric cancer again rising? J Clin Gastroenterol. 2012;46:804-6. doi: 10.1097/MCG. 0b013e3182604254 [ Links ]

8. Con SA, Takeuchi H, Con-Chin GR, Con-Chin VG, Yasuda N, Con-Wong R. Role of bacterial and genetic factors in gastric cancer in Costa Rica. World J Gastroenterol. 2009;15:211-8. [ Links ]

9. Adrada JC, Calambás FH, Díaz JE, Delgado DO, Sierra. CH. Características sociodemográficas y clínicas en una población con cáncer gástrico en el Cauca, Colombia. Rev Colomb Gastroenterol. 2008;23:309-14. [ Links ]

10. Kim JP. Current status of surgical treatment of gastric cancer. J Surg Oncol. 2002;79:79-80. [ Links ]

11. Lin JX, Huang CM, Zheng CH, Li P, Xie JW, Wang JB, et al. Surgical outcomes of 2041 consecutive laparoscopic gastrectomy procedures for gastric cancer: a large-scale case control study. PLoS One. 2015;10:e0114948. doi:10.1371/journal.pone.0114948 [ Links ]

12. Jun JH, Yoo JE, Lee JA, Kim YS, Sunwoo S, Kim BS, et al. Anemia after gastrectomy in long-term survivors of gastric cancer: A retrospective cohort study. Int J Surg. 2016;28:162-8. doi: 10.1016/j.ijsu.2016.02.084 [ Links ]

13. Rollán A, Cortés P, Calvo A, Araya R, Bufadel ME, González R, et al . Diagnóstico precoz de cáncer gástrico: propuesta de detección y seguimiento de lesiones premalignas gástricas: protocolo ACHED. Rev Med Chil. 2014;142:1181-92. doi: org/10.4067/S0034-98872014000900013 [ Links ]

14. Mizoue T, Yoshimura T, Tokui N, Hoshiyama Y, Yatsuya H, Sakata K, et al. Prospective study of screening for stomach cancer in Japan. Int J Cancer. 2003;106:103-7. [ Links ]

15. Kurita N, Miyata H, Gotoh M, Shimada M, Imura S, Kimura W, et al. Risk model for distal gastrectomy when treating gastric cancer on the basis of data from 33,917 Japanese patients collected using a nationwide web-based data entry system. Ann Surg. 2015;262:295-303. doi: 10.1097/SLA.000000000000112 [ Links ]

Trabajo presentado en el Simposio Nacional del Residente Quirúrgico, XLIV Congreso Nacional “Avances en Cirugía”, Cartagena, Colombia, agosto de 2018.

Citar como: Rojas SM, Pino RH, Vargas LG. Experiencia quirúrgica de 10 años de cáncer gástrico en un hospital de tercer nivel, 2007-2016. Rev Colomb Cir. 2019;34:55-9. https://doi.org/10.30944/20117582.98

Fuentes de financiación. Autofinanciado.

Recibido: 08 de Junio de 2018; Aprobado: 28 de Agosto de 2018

aCorrespondencia: Sandra Milena Rojas, MD, Calle 9 N° 15-25, Teléfono: (304) 381-8614. Neiva, Colombia, Correo electrónico: milenarojas32a@yahoo.es

Conflictos de interés.

Ninguno declarado.

Creative Commons License Este es un artículo publicado en acceso abierto bajo una licencia Creative Commons