INTRODUCCIÓN
Los Anolis son muy bien conocidos, por su capacidad de cambiar de color por lo que se les llama camaleones de América, aproximadamente existen 400 especies en el mundo 1,2 y para Colombia se conocen 72 especies y 31 para el Chocó biogeográfico y 27 para el Chocó 3, son diurnos, terrestres, son animales que regulan su temperatura de acuerdo al hábitat que ocupan (ectotérmicas) y se alimentan de artrópodos (insectos) y semillas, son ovíparos con hembras activas a lo largo del año, la actividad reproductiva es mayor durante las épocas de lluvias, las hembras generalmente ponen de uno a dos huevos, esto lo hacen, en la hojarasca, en la base de árboles, y muchas veces puede encontrarse sitios donde hay cascaras por cantidades, indicando que varias hembras pueden usar el mismo espacio para poner sus huevos; habitando árboles pequeños, arbustos, viñas, hierbas, casas y rocosas.
En Colombia, el género Anolis es el más numeroso entre los géneros de reptiles, con 72 especies registradas en Colombia y 31 para la región del pacífico 3 indicando que es el país suramericano con mayor diversidad de lagartos de ese género, la gran parte de estos reptiles se encuentran en las regiones andina y Chocó, regiones que por su posición geográfica y complejidad de hábitas, se constituyen en sitios claves para el estudio de inventarios ecológicos y distribución de especies.
El Chocó ha sido considerado como uno de los departamentos de Colombia, que alberga los ecosistemas con alta diversidad de especies, distribuidas de acuerdo con las condiciones ambientales y edáficas características en la región, conteniendo entre esta gran diversidad 4.5% de especies de herpetos descritas para todo el planeta y 45% de las descritas para el país 4.
La forma como las especies reaccionan frente a la modificación de los cambios climáticos puede afecten en la distribución, tamaño, estructura y abundancia de estas poblaciones, dependiendo así de la capacidad de adaptarse y de las características que presentan estas poblacionales, 5. La selección de hábitat es un proceso de escoger determinados recursos espaciales entre los que se encuentran disponibles en el ambiente, esto depende de la estructura óptica en que se encuentre el ambiente, la fisiología del animal, la disponibilidad de depredadores 6. En las regiones tropicales el cambio del suelo está considerado como una de las principales razones por la cual hay pérdida de la biodiversidad, 7 los cambios estructurales en la vegetación tienen un efecto directo en la composición y abundancia de las especies que forman las comunidades 5 por ejemplo el cambio de temperatura podría aumentar o disminuir la diversidad o la abundancia. Cabe decir que las especies del género anolis, son excelentes indicadores de los cambios producto de las transformaciones que ocurren en el medio natral y pueden evidenciar los efectos en los ecosistemas. Sin embargo, son pocos los acercamientos realizados por medio de reptiles, especialmente en el caso del género Anolis8.
Los bosques tropicales presentes en esta área de influencia, son muy poco conocidos en cuanto su diversidad faunística, siendo de gran interés debido a los diferentes fenómenos perturbantes que están haciendo presión sobre la estructura de la vegetación, conllevando a la pérdida de una importante porción del hábitat disponible para estas faunas, razón por la cual se pretende determinar la diversidad del género Anolis teniendo en cuenta los distintos tipos de intervención antrópica, los ecotonos y los bosques presentes en la zona de influencia, en el municipio de Tadó, el cual geográficamente es un sector de gran importancia ecológico donde estos desarrollan sus condiciones biológicas. Por tal motivo esta investigación se realizó con la finalidad de analizar la diversidad del género Anolis en áreas con diferentes grados de perturbación, en la estación del alto San Juan, para contribuir al conocimiento de este grupo, proporcionar información para crear estrategias de manejo y conservación y que se conozca más acerca de este grupo, ya que hay muy poco trabajo de este grupo en la región.
Materiales y Métodos
Área de Estudio. La investigación se realizó en la Estación Ambiental del Alto San Juan (EAAS), la cual cubre el área de influencia del Consejo Comunitario Mayor de Comunidades Negras, (ASOCASAN) Municipio de Tadó-Chocó, esta se sitúa en el corregimiento de Playa de Oro, desde donde se extienden acciones de investigación a todo el corredor del Alto San Juan, y los municipios aledaños que integran históricamente la subregión del San Juan, en atención a su funcionalidad espacial, y relaciones socio culturales. Geográficamente el Municipio de Tadó está localizado a los 76° 73' 10" N y a los 5°16' 10'' O del Meridiano de Grenwich. A una altura de 75 msnm y se encuentra localizado a una distancia de 68 Km. de la capital de departamento (Quibdó). Tiene una extensión superficial de 1748 km2 (Figura 1).

Figura 1 Localización del Área de Estudio (Estación Ambiental Alto San Juan), Municipio de Tadó, Chocó - Colombia.
Selección de zonas de muestreo. Se seleccionaron zonas que corresponden a tres tipos (Área de Gestión, Ecotono, Bosque), en estos se realizaron recorridos empleando el método de búsqueda libre sin restricción, a lo largo de caminos abiertos, quebradas, en lugares intervenidos y en el del bosque.
Área de gestión. Aquellos lugares que, por su cercanía a sitios de vivienda, zonas de cultivo, fuentes de agua para uso doméstico, presentan predominio de vegetación arbustiva, helechos, árboles frutales y árboles jóvenes que no superan los 15mt de altura.
Ecotono. El ecotono es la zona de transición entre dos ecosistemas distinto (Entre área de gestión y bosque) a lo largo de cambios en los gradientes ambientales compuestos por fronteras más o menos conspicuas. El intercambio de especies entre comunidades vecinas.
Bosque. Aquellos lugares con muchas extensiones de tierra que no han sufrido transformaciones por las diferentes actividades realizadas por el hombre, bastante alejada de asentamientos humanos, donde existen arboles de buen porte, con asociación de abundantes epifitas que ofrecen un porcentaje de cobertura y con un gran número de plantas trepadoras, en esta zona la intensificación lumínica es baja con tendencia a presentar mayor humedad.
Toma de datos en campo. Se realizaron salidas durante dos meses, con una duración de 9 días, por cobertura o zona estudiada, los muestreos fueron efectuados durante el día empleando un esfuerzo de ocho horas/hombre distribuidas en las horas de la mañana y la tarde, los recorridos se realizaron siguiendo el método de búsqueda libre sin restricción en cada uno de los lugares de muestreos.
Los muestreos se realizaron aplicando la técnica de Encuentros Visuales 9, para determinar la riqueza de especies en un área y estimar las abundancias relativas en un ensamble se utilizó la metodología por 9. La cual consiste en explorar distintos tipos de coberturas vegetales, los individuos fueron capturados de forma manual, anotando los respectivos datos en el diario de campo (Fecha, hora del día, altura, ubicación geográfica, entro otros) y el registro fotográfico de los individuos colectados, a nivel dorsal, ventral, frontal y lateral 10.
Para la caracterización de uso de hábitat, se tuvo en cuenta la posición vertical o altura de la percha y tipo de sustrato en que se encontraban las especies, para lo cual se realizó registros de algunos datos ecológicos utilizada por Rengifo et al 11 de manera que se tuvo en cuenta dos variables: Posición vertical (altura desde el suelo o agua) tomada de forma cuantitativa así: suelo (0 cm), bajo (1 - 49 cm), medio (50 - 149 cm), alto (>149 cm) y el sustrato (sitio exacto en el que se capturó cada ejemplar) hojarascas, ramas, charcos, hojas, troncos, entre otros.
Análisis de la Información. los datos colectados del número de individuos de cada especie sobre el total de individuos capturados sirvieron para determinar la abundancia relativa (Pi) expresada en porcentajes. Igual mente para mirar la relación de las variables ambientales con la abundancia de las especies se aplicó la correlación de Sperkman, (Excel 2007).
Se estimó el número acumulado de especies (captura) versus el esfuerzo de muestreo para determinar la representatividad de los muestreos, para lo cual se utilizaron algunos estimadores como CHAO1 e ICE los cuales presentan un índice de confianza de 95%, empleando el programa estadístico de Stimates (versión 6.0).
La diversidad alfa, se trabajó mediante índices directos como la riqueza de especies (número de especies por área) y abundancia como el número de individuos por especies. Se utilizaron índices para trabajar con la abundancia proporcional, los índices de dominancia (Simpson) los índices de equidad (Shannon-Weaver y pielou) PAST. versión 1.15. metodología utilizada por Ríos et al 12. La diversidad beta definida como la comparación de especies entre las zonas de muestreo (área de gestión, ecotono y bosque), el cual se analizó mediante el coeficiente de similitud de Jaccard 13. Determinando así la similitud de las especies en cada una de las zonas estudiadas 14.
Para la dominancia se empleó el índice de Simpson y la equidad definida como la proporción de la diversidad observada en relación de la esperada con el índice de Shannon-Weaver 12 definido como el número de especies por área de muestreos. Además, se realizó un análisis de varianza (ANOVA) de una vía, para comparar los sitios de muestreos con el fin de establecer diferencias significativas en la composición y la estructura de las áreas de muestreos.
Resultados
Se obtuvo un total 73 individuos, empleando un esfuerzo de muestreo de 240 horas/hombre (80 horas/hombre por zona) con un éxito de captura de 0.3 ind /h.h), El género Anolis se encuentra constituido por siete especies de las cuales las más representativas por su abundancia fueron Anolis chloris con 49.7% (N: 35), Anolis notopholis con 24.6% (N: 18) y Anolis maculiventris con 17.8% (N:13) 15 y el resto de las especies en común reportan el 81.9% de los individuos que presentaron una abundancia relativamente baja (Tabla 1).
Tabla 1 Composición taxonómica de la comunidad de Anolis para Ambiental del Alto San Juan Municipio de Tadó, chocó -Colombia.
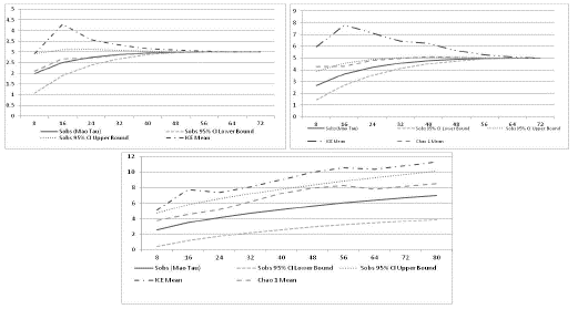
La figura 2, muestra las curvas de saturación de especies de las tres coberturas vegetales. Para el área de gestión, la cual indica el registro de la totalidad de las especies que pueden ocurrir en estas áreas perturbadas, demostrando que el esfuerzo de muestreo aplicado en esta área fue significativo, permitiendo registra la totalidad de especies, como lo muestran los estimadores de riqueza usados (CHAO1 e ICE), al igual que los intervalos de confianza al 95%. Para el Ecotono se muestra el mismo comportamiento que en el área de gestión, la estabilización es un poco tardía, pero la curva alcanza la asíntota o estabilización.
Para la zona bosque la curva saturación y los estimadores muestran la aparición de una a cuatro especies más en los bosques estudiados, no alcanzando la estabilización o su asíntota, además, su intervalo de confianza muestra una divergencia con la curva de rarefacción indicando la poca fiabilidad del esfuerzo empleado. (Figura 2).

Figura 2 Curvas de saturación de especies de Anolis para las tres coberturas vegetales en la Estación Ambiental del Alto San Juan, Municipio de Tadó, Chocó - Colombia. (1. Área de gestión; 2. Ecotono y 3. Bosque
En cuanto a la abundancia de las especies del género Anolis, las mejores representadas fueron: A. chloris, A. notopholis y A. maculiventris, las demás especies presentaron una abundancia relativamente baja esto se puede deber, a que estas áreas, presentar gran variedad de hábitats, con cierto grado de perturbación antrópica, que favorecen las poblaciones de los primeros, al presentar estas especies una gran adaptabilidad y tolerancia a las alteraciones antrópicas producidas en sus hábitats, datos que son muy similares a los reportados por Rengifo et al 8 (Figura 3).

Figura 3 Abundancia de especie de Anolis para las tres coberturas vegetales en el área de influencia de la (Estación Ambiental Alto San Juan), Municipio de Tadó, Chocó - Colombia
De igual forma Pinilla y Rengifo 16 y Rentería et al 17, registran Anolis maculiventris como la especie de mayor periodicidad de ocurrencia en zonas de bosque tropicales, atribuido a su alta plasticidad, y la facilidad de explorar hábitat altos grados de intervención antrópica, encontrado una excelente oferta trófica.
En cuanto a la composición de especies, la zona con mayor número de registro fue la Zona 3 (Bosque) con siete especies, con tres exclusivas (A. lyra, A. granuliceps y A. latifrons), seguida la Zona 2 (Ecotona) con cuatro especies, con una exclusiva (A. anchicayae). En la comunidad del género Anolis registrada en el Municipio de Tadó. Estación Ambiental del Alto San Juan. Se registraron tres especies endémicas (A. chloris, A. granuliceps y A. Anchicayae) cuya distribución esta confinada para la región del Chocó Biogeográfico, según Castaño et al 3.
En cuanto la estructura numérica de la comunidad de Anolis en zonas de bosque pluvial tropical, la zona de bosque presento los mejores valores de equidad (H’: 1,371), lo cual lo podemos atribuir a que el género Anolis son lagartos de tamaño moderado que suelen habitar principalmente en suelo, ramas, arbustos y tronco en áreas con una excelente oferta de alimento y variedad de hábitat, prefiriendo zonas sombreadas y márgenes de los bosques. El ecotono presentó mayor valor de equidad (pielou=0.86). Los valores arrojados por el índice de Pielou para las tres zonas predicen una distribución casi normal de los individuos en las zonas evaluadas. Encanto a la dominancia el mayor registro se obtuvo en el área de gestión (Simpson Dominancia 0.84) (Tabla 2). Debido a que Anolis. chloris, Anolis notopholis y Anolis. maculiventris. Obtuvieron un gran número de individuos en esta zona en relación con las otras especies.
Tabla 2 Resultados generales de la Estructura numérica de los Anolis para las tres coberturas vegetales en el área de influencia de la Estación Ambiental Alto San Juan, Municipio de Tadó, Chocó - Colombia.
Se elaboró una curva de dominancia-diversidad, que indica la riqueza y los valores de abundancia relativa, que muestra las especies de Anolis dominantes en cada una de las zonas estudiadas, mostrando la importancia de las especies en cada hábitat, en el área de gestión la especie más dominante fue Anolis chloris. De igual manera, esta especie fue la más dominante, en conjunto con A. nothopholis de la misma forma la especie A. chloris, A. nogtopholis y A. anchicayae, fueron las especies más importante en la zona de bosque (Figura 4). En la estructura de la comunidad de Anolis no encontrando diferencia significativa entre estas (ANOVA= p= 0.2301).

Figura 4 Curva Dominancia - Diversidad de la comunidad de Anolis para las tres coberturas vegetales en el área de influencia de la Estación Ambiental Alto San Juan, Municipio de Tadó, Chocó - Colombia.
Se pudieron observar dos grupos de afinidad teniendo en cuenta su respectiva abundancia, el primer grupo está conformado por el área de gestión y el ecotono compartiendo un 75% entre las áreas, presentando en común tres especies, probablemente este hecho es atribuible a que las áreas pueden llegar a compartir algunas características siendo la más probable gran parte de su cobertura vegetal, ya que la segunda por ser un área de convergencia puede albergar especies que requieren condiciones no tan específicas de un bosque bien conservado, además, por la relativa cercanía de estas dos áreas, pueden llevar a compartir un número de especies en su hábitat fundamental (home-range) se extiende hasta las características de las dos 18.
El segundo grupo está formado por el bosque y el grupo conformado por el ecotono y área de gestión, siendo la más disímil mostrando una similitud del 50%, lo cual puede deberse al alto grado de perturbación a la que se encuentra espestas estas áreas que forman el primer grupo, por causa de acciones antrópicas, ya que esta áreas está conformada por cultivos, pastos, minería y alrededores de asentamientos humanos (área de gestión) por lo cual se encuentra transformada gran parte de su vegetación, causando así a la desaparición y migración de algunas especies (Figura 5) 18.

Figura 5 Dendograma de similitud de la comunidad de Anolis para les tres coberturas vegetales en el área de influencia de la Estación Ambiental del Alto San Juan, Mmunicipio de Tadó, Chocó - Colombia.
Respecto a la posición vertical (altura del suelo o agua) los 73 individuos registrado en este estudio, presentaron una mayor frecuencia de ocurrencia en los extractos altos de los bosque o estructuras vegetales, con el 34% (N:25), y el 28% (N:21) para la posición media (Figura 6), además, se realizó un chi-cuadrado para conocer si existió diferencia entre las posiciones evaluadas, encontrando que no hay diferencias significativas (X2: 5.959, g.l: 3, p :0.114).
DISCUSIÓN
La abundancia del género Anolis registrada pueden en esta investigación atribuirse a la heterogeneidad de la composición florística que presentó la EAAS jugando un rol de suma importancia al ofrecer variedad de microhábitat 19, además estos son conocidos como los reptiles más diversos y adaptables que contribuyen la fauna de vertebrados terrestres que habitan los bosques tropicales.
El intervalo de confianza muestra una divergencia con la curva de rarefacción indicando la poca fiabilidad del esfuerzo empleado, podría esperarse que un mayor esfuerzo de muestreo permitiera el informe de especies de Anolis que no se observaron en este estudio de Renteria et al 17 quienes afirman que es muy difícil registrar la totalidad de especies de Anolis en las selvas húmedas tropicales y que solo con un tiempo prolongado se puede lograr un acercamiento a si verdadera diversidad.
La riqueza de estas especies probablemente seda de la confluencia del linaje de lo que Willias llaman sección alfa, el centro de dispersión en Suramérica estas especies se reconoce por no tener diapófisis transversas en las vértebras caudales distales y son el grupo más antiguo y la sección beta cuyo centro de dispersión proviene del arco de las Antillas y Centroamérica este grupo posee procesos en las vértebras caudales distales y son considerados los más antiguos, ambos linajes representados por especies que confluyen en la matriz vegetal de la selva del Chocó biogeográfico 3.
Estos valores de los índices se deben a que especies como A. chloris, A. notopholis y A. maculiventris, están bien representados en las tres zonas estudiadas, ya que son especies abundantes, debido a que las áreas estudiadas se caracterizan por presentar gran variedad de hábitats con grandes grados de perturbación antrópica, estas especies presentan un grado de adaptabilidad y tolerancia a las alteraciones antrópicas producidas en hábitats 8.
En canto a la curva de dominancia y diversidad nos Indica así la importancia de A. chloris en las tres zonas estudiadas, lo que se puede asumir que es una especie plástica en términos de hábitat. Esto se puede deber, a que estas, se caracterizan por presentar gran variedad de hábitats, que favorecen a esta especie, al presentar una gran adaptabilidad y tolerancia a las alteraciones antrópicas producidas en sus hábitats 8.
Se realizó un análisis de complementariedad que permite determinar el grado de recambio entre las tres zonas estudiadas, se pudo encontrar que el área de gestión y ecotono comparten casi la totalidad de sus especies, al igual que ecotono y bosque, pero entre el bosque y el área de gestión se encuentra la mayor complementariedad. La similitud de estas zonas puede estar relacionada con la homogeneidad de sus bosques los cuales presentan una estructura vegetal; lo que comprende una mayor variedad de microhábitats que facilitan la adaptabilidad de este género y el hallazgo de muchas especies, las cuales pueden modificarse durante un período 20.
asumiendo que los individuos de la comunidad de Anolis registrada para las tres coberturas vegetales, exploran las diferentes posiciones seleccionadas en este estudio, esto ayuda a confirmar los resultados de Rengifo 18 donde sostiene que los Anolis se caracterizan por ser animales arbóreos que se estratifican verticalmente en las estructuras arbóreas explorando desde el tronco hasta las hojas, los cuales se ubican en el ecomorfo tronco-rama, otro aspecto importante, es que las especies de este género, tienden a mantenerse en estas alturas ya que les facilita para huir de sus depredadores y parcharse para descansar; según Daza y Castro 19, las especies del género, se caracteriza la distribución en los diferentes microhábitat en los bosques tropicales.















