1. Introducción
Pese a que la migración es una actividad consustancial a la vida humana, Colombia nunca se había preparado económica, jurídica y políticamente para un proceso de migración continuo hacia su territorio. En contraposición, había sido un país de emigrantes (Cárdenas & Mejía, 2006). Según el Ministerio de Relaciones Exteriores (2013), aproximadamente 4.7 millones de colombianos residían en otros países del mundo, siendo Venezuela, Estados Unidos y España los de mayor acogida, estimándose que cerca de 4 millones se encontraban en el vecino país en el año 2012 (Carreño-Malaver, 2014).
La dinámica del flujo migratorio entre ambos países cambió con el nuevo siglo. La crisis política, económica e institucional que experimenta Venezuela, particularmente desde el inicio del mandato de Nicolás Maduro en 2013, desencadenó una diáspora muy significativa de venezolanos, que se ha convertido en un foco de tensión no sólo en Colombia, sino también en varios países de América Latina. En este contexto, Colombia, al compartir 2.219 km de frontera con Venezuela, es hoy el país del mundo con más población migrante venezolana radicada en su territorio. Según Migración Colombia (2019), a septiembre de este año, se encontraban 1.488.373 venezolanos. De ellos, se estima que 77.408 residen en el departamento de Santander, especialmente en el Área Metropolitana de Bucaramanga.
Bucaramanga es la quinta ciudad de Colombia que más aporta al PIB nacional y se destaca por sus índices favorables de: competitividad, pobreza y desigualdad. Adicionalmente, es una ciudad ubicada a tan sólo 200 km del Puente Internacional Simón Bolívar, que comunica a Colombia con Venezuela y es el punto de mayor tránsito comercial y humano entre ambos países, lo que ha convertido a Santander en la octava región de Colombia con mayor concentración de población migrante (Migración Colombia, 2019).
Dicha situación ha desencadenado fuertes tensiones en el territorio de acogida, que pueden enfrentarse mediante la identificación de las oportunidades que el fenómeno ha ofrecido. De allí, que este artículo caracterice las iniciativas empresariales que han desarrollado los migrantes provenientes de Venezuela en Bucaramanga. Para ello, se realizaron encuestas y visitas de observación con el fin de obtener datos sociodemográficos, identificar los antecedentes empresariales y analizar su desempeño empresarial en Colombia.
2. Marco teórico y metodología
2.1 Migración: causas y consecuencias
La migración es un fenómeno social que se encuentra presente desde los primeros registros de la humanidad; sin embargo, ha variado de manera considerable a lo largo de los años en términos de: volumen, dirección y composición de flujos. Para la Organización Internacional para las Migraciones, OIM (2006), la migración es el “movimiento de población hacia el territorio de otro Estado o dentro del mismo, que abarca todo movimiento de personas sea cual fuere su tamaño, composición o causas”. Esta definición indica que es posible hablar de migración interna y migración internacional, dependiendo de las fronteras que se traspasen y distancien al territorio de acogida con el lugar de origen, y destaca la multiplicidad de causas que pueden generarla, las divergentes escalas y características demográficas de quienes inician procesos migratorios y, las diversas clasificaciones que puede dársele a los conglomerados que integran este colectivo social. Un elemento adicional de la migración que la diferencia de cualquier otro tipo de desplazamiento humano es la temporalidad, ya que se entiende como un “cambio de residencia a cierta distancia, con relativa voluntad de permanencia” (Micolta-León, 2005).
Las teorías económicas señalan que las principales causas de los flujos migratorios se asocian con: i) las desigualdades salariales entre los países y su incidencia en las inequidades en términos de ingreso y bienestar; ii) la búsqueda de bienestar en lugares en donde la retribución salarial por el trabajo prestado es mayor a la que se obtiene en el país de origen; iii) la demanda permanente de mano de obra en las sociedades industrializadas; iv) el control de tierras, materias primas y mano de obra por parte del mercado, derivado de la expansión del capitalismo en los países periféricos; v) la existencia de redes migratorias basadas en el parentesco, la amistad, o la pertenencia a la misma comunidad de origen, lo que facilita y promueve las migraciones futuras al reducir costos y riesgos; vi) el surgimiento y crecimiento de organizaciones humanitarias en los países desarrollados, dedicadas a defender y garantizar los derechos de los migrantes; vii) la acumulación de actos migratorios que incrementan la probabilidad de que se presenten desplazamientos adicionales de población; y; viii) los vínculos que existen entre los países expulsores y receptores por la colonización y las relaciones políticas, culturales y comerciales (Lewis, 1954; Sjaastad, 1962; Stark & Bloom, 1985; Taylor, 1984; Sassen, 1988; Massey, 1990; Stark, 1991; Gurak & Caces, 1992; Castles, 2000; Massey et al., 2008).
La migración genera consecuencias tanto para el país de origen como para el país receptor. El país emisor experimenta pérdida de fuerza laboral y población joven, despoblamiento de ciertos territorios, dependencia de remesas a nivel macro y microeconómico, reducción de capital financiero, presión demográfica y costos sociales derivados de la desestructuración familiar (Delgado-Wise, Márquez-Covarrubias & Rodríguez-Ramírez, 2009). No obstante, también genera mejoras en las condiciones económicas de las familias de los migrantes, a través del ingreso que reciben por concepto de remesas (Solimano & Allendes, 2007). Para el país receptor la migración genera efectos negativos como el aumento del trabajo infantil, el empleo informal, la pobreza, la xenofobia, el crecimiento de la competencia laboral y la pérdida de empleos por parte de los nativos menos calificados (Suárez-Núñez del Prado, 2008; Aruj, 2008). Sin embargo, favorece la adquisición de nuevo capital social y la redistribución eficiente de la mano de obra, enriquece la diversidad cultural y contribuye al crecimiento económico, al suministrar fuerza de trabajo barata, dinamizar la producción, el consumo y el sistema financiero, y crearse nuevas empresas (Bolívar-Cruz & Hormiga, 2012).
2.2 Teorías sobre migración y empresa
Sobre la creación de empresas por parte de migrantes se ha formulado la denominada “teoría étnica”, la cual ha introducido los conceptos de: economía étnica, economías interétnicas, economía de propiedad étnica, economías étnicamente controladas, solidaridad étnica y enclave económico étnico.
Al estudiar las empresas creadas por inmigrantes afroamericanos y asiáticos en Estados Unidos, Light (1972) y Bonachic y Modell (1980), propusieron la conceptualización de “economía étnica”, para hacer alusión a cualquier persona inmigrante que sea empleador, autoempleador o que esté empleado en empresas co-étnicas en el país receptor (Arjona-Garrido & Checa-Olmos, 2006; Knight, 2015). Las “economías étnicas” son grupos de empresas, en las que, gracias a la identidad étnica y el origen nacional común de sus propietarios, clientes y trabajadores, los migrantes tienen facilidades para recaudar el capital inicial, encontrar trabajo e identificar proveedores (Somashekhar, 2018; Gold, 2016). Estas empresas, al otorgarles independencia económica a los migrantes, se convierten en una forma de autodefensa frente a la exclusión, la xenofobia y la competencia laboral, permitiéndoles superar estas desventajas y negociar “los términos de su participación desde una posición de fuerza relativa” (Light, 2006).
Cabe destacar que, una economía étnica se compone de al menos tres subsectores: formal, informal e ilegal. Dentro de ellos puede existir una economía de propiedad étnica o una economía étnicamente controlada. En el subsector formal se encuentran las empresas de migrantes que pagan impuestos y están registradas oficialmente; en el informal las que ofertan bienes y servicios legales, pero no pagan impuestos ni tienen reconocimiento oficial y; el ilegal está conformado por empresas “que manufacturan o distribuyen productos o mercancías prohibidas a clientes que los desean, especialmente drogas, juego y prostitución, pero también documentos falsos de inmigración, pornografía y videos piratas” (Light, 2006).
Para enfrentar la exclusión laboral, los migrantes logran la supervivencia en cualquiera de estos subsectores a través del autoempleo y, en algunos casos, los empresarios migrantes establecen redes de solidaridad intragrupales para el sostenimiento de sus iniciativas empresariales, lo cual se ha denominado solidaridad étnica, vinculando de manera determinante a su entorno familiar y a co-étnicos asalariados con el propósito de reducir los costos de funcionamiento de sus negocios (Bonacich, 1975).
Asimismo, la noción de enclave económico étnico, introducida por Wilson & Portes (1980), hace referencia a las empresas que inician tras una primera oleada de migrantes con un importante capital económico, humano y social, se ubican en zonas determinadas, y aprovechan los posteriores flujos migratorios para obtener mano de obra barata, logrando de esta forma solidaridad étnica (Massey, 1988).
Es importante anotar que, la noción de “empresariado étnico” ha sido cuestionada porque excluye a los negocios de inmigrantes que se dirigen a colectivos sociales diferentes a los de su misma nacionalidad, e induce al error al afirmar que lo étnico siempre ejerce una fuerte influencia en sus lazos comerciales (Tolciu, 2011). De allí que, Edwards, Ram, Jones y Doldor (2016), hablen de una “nueva economía étnica” y, Cebrián-De Miguel, Jiménez-Blasco y Resino-García (2016) propongan que se utilice el término “negocio étnico”, interpretándolo en un sentido amplio, para así abarcar a todos aquellos negocios “regentados por inmigrantes, independientemente del tipo de productos que ofrezcan y su potencial clientela”. Como alternativa, Solé y Parella-Rubio (2009), optan por utilizar la expresión “empresas o iniciativas empresariales de inmigrantes”, pues consideran que el uso del término “étnico” contribuye a “reproducir el imaginario negativo de la categoría “inmigrante”, como categoría social fundada en estereotipos como la pobreza, la marginalidad o la delincuencia”.
Por su parte, Cavalcanti (2011), sostiene que es imposible utilizar un único término para referirse a las iniciativas empresariales de inmigrantes, ya que estas se caracterizan por su pluralidad, diversidad y dinamismo. Ante ello, identifica cinco tipos de empresas: i) empresas de orientación étnica (ofertan productos, símbolos y servicios dirigidos a comunidades nacionales y/o étnicas inmigrantes); ii) empresas circuito (sus actividades económicas se desarrollan en el marco de relaciones transnacionales con el país de origen); iii) empresas especializadas en población inmigrante; iv) empresas que explotan lo exótico (comercializan productos típicos de los países de origen) y; v) empresas generalistas (cuya oferta no está encauzada hacia los inmigrantes, sino que incluye a los autóctonos y los extranjeros en general).
Existen diversas corrientes que explican la aparición de las iniciativas empresariales de migrantes en las sociedades receptoras. En EE.UU. surgió la perspectiva culturalista, ecológica e interactiva (Waldinger, 1994), y en Europa la teoría de la incrustación o encajado mixto (Rath & Kloosterman, 2000). Según la perspectiva culturalista, los migrantes desarrollan iniciativas empresariales motivados por su tradición empresarial, así como por la necesidad de encontrar un entorno en el que puedan preservar los hábitos de consumo, las tradiciones culturales y los estilos de vida de sus países de origen (Cebrián et al., 2016). Por lo tanto, estas empresas son en realidad negocios étnicos, que basan sus relaciones comerciales en la utilización de recursos étnicos (Solé & Parella-Rubio, 2005).
La perspectiva ecológica afirma que la aparición de negocios étnicos en el país de destino, sólo se presenta si la economía general no satisface determinados productos, debido al abandono progresivo de pequeños negocios por parte del empresariado autóctono, y la falta de interés en los bienes y servicios demandados por la población inmigrante (Cebrián-De Miguel, Bodega-Fernández & Bordonado-Bermejo, 2004).
La perspectiva interactiva, propuesta por Waldinger, Aldrich y Ward (1990), sostiene que los migrantes emprenden influenciados no sólo por sus características culturales sino también por la estructura de oportunidades del país de destino. Por consiguiente, el bloqueo y la segmentación laboral impulsan el autoempleo en la población migrante. Ante esto, los negocios étnicos son el resultado de tres factores: las características del inmigrante (nivel educativo, solidaridad familiar y grupal, experiencia empresarial); la estructura de oportunidades de la economía receptora y; las estrategias étnicas.
Por último, la teoría de la incrustación social o imbricación mixta, postula que la creación de empresas por parte de migrantes está determinada no sólo por su incrustación en las redes sociales sino también por la estructura socioeconómica y política del país receptor (Rath & Klossterman, 2000). En consecuencia, está influenciado por fenómenos económicos, institucionales y jurídicos.
2.3 Método
Esta investigación optó por un diseño metodológico mixto, recurriendo a la recolección y análisis de datos cuantitativos y cualitativos, que permitieron realizar inferencias a partir de las cuales se construyeron conclusiones sobre el objeto de estudio. La investigación fue de tipo exploratorio, dado que no existe ningún estudio que haya indagado sobre economía étnica, ni sobre las iniciativas empresariales desarrolladas por migrantes provenientes de Venezuela en Colombia. Esta investigación permitió realizar recomendaciones a la administración municipal para impulsar el emprendimiento de los migrantes, como estrategia de inclusión, crecimiento y desarrollo.
Se utilizaron como técnicas de recolección de información la encuesta y las visitas de observación no participante. La encuesta aplicada de manera presencial estuvo integrada por 62 preguntas clasificadas en tres dimensiones: aspectos sociodemográficos, antecedentes empresariales y desempeño empresarial.
En total se realizaron 19 encuestas y visitas de observación. El tipo de muestreo fue no probabilístico y se optó por la aplicación del muestreo bola de nieve, que consiste en identificar los casos de interés a partir de alguien que conozca a un buen candidato para participar (Martínez-Salgado, 2012). La selección de este muestreo se justificó en el desconocimiento del tamaño de la población y las dificultades para localizarla, pues la información recolectada por la Cámara de Comercio de Bucaramanga, en su registro mercantil no permitió identificar el número total de empresas creadas por migrantes venezolanos en esta ciudad.
3. Resultados y discusión
3.1 Dimensión 1: aspectos sociodemográficos
Los migrantes provenientes de Venezuela que han formalizado una iniciativa empresarial en Bucaramanga, entre 2010 y 2018, se caracterizan por pertenecer a grupos etarios que conforman la población económicamente activa (18 - 65 años). 10 de los encuestados son jóvenes cuya edad oscila entre los 20 y los 35 años, cuentan con ideas innovadoras, entusiasmo empresarial y podrían convertirse en agentes dinamizadores de la economía regional en el mediano y largo plazo (Figura 1a).
En lo referente al género, no existen diferencias significativas, y pese a que de los 19 encuestados 10 eran hombres, es interesante destacar el protagonismo de las mujeres migrantes en la creación de empresa, pues generalmente al indagar sobre diferencias de género en este ámbito, las asimetrías suelen ser más contundentes (Oso-Casas & Villares-Varela, 2005). Lo anterior, podría explicarse por la dinámica del proceso migratorio venezolano, en el que centenares de mujeres cabeza de familia se han visto obligadas a migrar y convertirse en sostén de sus hogares, así como a la estrecha relación que existe entre los roles tradicionales de género y las actividades económicas en las que se enmarcan sus empresas. Adicionalmente, al indagar sobre el nivel educativo se observó que los empresarios encuestados mayoritariamente eran cualificados, pues ninguno manifestó no haber terminado el ciclo formativo de bachillerato (Figura 1b).
Un elemento determinante para el éxito empresarial de los migrantes, es la nacionalidad y el estatus migratorio. Resulta significativo el número de encuestados (10) que afirmó tener doble nacionalidad, ser colombo-venezolano, lo cual se explica por tres razones: son colombianos retornados, son hijos de colombianos que en algún momento migraron a Venezuela, y tenían más de seis años radicados en Colombia de manera regular. Poseer la nacionalidad colombiana, representa seguridad, estabilidad e interés de desarrollar un proyecto de vida en la región, que se distancie de la planeación cortoplacista. Ninguno de los encuestados cuenta con otra nacionalidad diferente a la colombiana y la venezolana.
Consecuente con los resultados de nacionalidad, se destaca que 13 de los encuestados tenían como documento de identidad una cédula (de ciudadanía o extranjería), 5 contaban con Permiso Especial de Permanencia (PEP) y sólo 1 de ellos con visa. Esta condición de regularidad administrativa, les ha permitido acceder a servicios esenciales para el desarrollo empresarial, como: la apertura de cuentas bancarias, el acceso a créditos, el arrendamiento de locales comerciales y la suscripción de contratos civiles y laborales.
Los migrantes empresarios provienen en su mayoría de Estados del interior de Venezuela, de ciudades como Caracas, Barquisimeto, Valencia, San Cristóbal y Mérida (Figura 2), lo que puede explicarse por dos razones: los residentes en Estados fronterizos tienen mayor posibilidad de abastecerse de víveres y materias primas en Colombia; y provienen de ciudades grandes e industrializadas del vecino país.
La mayoría de los encuestados (16), migraron a Colombia entre los años 2014 y 2018, es decir, durante el mandato de Nicolás Maduro, cuando la crisis económica, política y social se agudizó. El 2015 fue el año en el que más encuestados migraron (8), coincidiendo este hecho con la crisis diplomática entre Colombia y Venezuela, que implicó el cierre de la frontera terrestre, por lo cual se vieron obligados a ingresar a Colombia de manera regular a través de puestos aéreos de control migratorio (Figura 3a).
Las razones que justificaron la decisión de migrar se relacionan principalmente con la crisis económica, política y social por la que atraviesa Venezuela, reflejada en fenómenos como la hiperinflación, el alto desempleo, la escasez de alimentos y medicamentos, y el aumento de la inseguridad (Figura 3b). Ante ello, optaron por migrar a Colombia en busca de oportunidades para la generación de ingresos, que les permitieran satisfacer sus necesidades básicas, tener una vida digna y desarrollar sus iniciativas empresariales.
Elegir a Colombia como país de destino y a Bucaramanga como ciudad de residencia, se fundamentó en las redes basadas en el parentesco y la amistad con las que contaban los migrantes. La mayoría de los encuestados (14) expresó que tenían familiares, amigos o conocidos que facilitaron su arribo al país, así como la obtención de apoyo y referencias para el desarrollo de sus iniciativas empresariales. La cercanía geográfica y la posesión de la nacionalidad colombiana, también fueron factores determinantes en su decisión.
3.2 Dimensión 2: antecedentes empresariales
Trece (13) de los encuestados eran empresarios en Venezuela, por lo tanto, tenían experiencia y conocimientos previos para la creación de su empresa en Bucaramanga. Cabe anotar que, en su totalidad, sus empresas en el vecino país eran del sector servicios, principalmente establecimientos comerciales y restaurantes (Figura 4a). Se destaca que, para el resto de encuestados, el riesgo asociado a la creación de empresa es menor al de optar por insertarse al mercado laboral.
Adicionalmente, pudo evidenciarse que los encuestados habían desarrollado en Venezuela iniciativas empresariales con activos reducidos y baja capacidad de generación de puestos de trabajo, dado que 11 eran microempresarios y sólo 2 tenían una pequeña empresa. Adicionalmente, en 8 de los casos, las empresas eran jóvenes, pues tenían una vida organizacional de menos de 5 años, y tan solo 3 eran empresas consolidadas, con más de 10 años de trayectoria (Figura 4b). Lo anterior, demuestra que los migrantes que han creado empresa en Bucaramanga, si bien en su mayoría cuentan con antecedentes empresariales, requieren de especial atención y acompañamiento por parte de la administración municipal y las instituciones encargadas del fomento empresarial, para así fortalecer su capacidad de emprendimiento y estimular su consolidación dentro del mercado local.
3.3 Dimensión 3: desempeño empresarial
Las razones por las cuales los migrantes encuestados decidieron invertir en Bucaramanga y no en otra ciudad colombiana, se fundamentan inicialmente en los vínculos que tienen con el territorio y que fueron determinantes en la decisión de radicarse en esta región del país. Adicionalmente, se destaca la estabilidad económica, política y social de la ciudad, así como la dinámica actual del mercado bumangués, caracterizado por la libre competencia, la existencia de demanda para sus productos y la disponibilidad de fuerza laboral calificada.
De los 19 empresarios encuestados, 18 contaban en el momento de la aplicación de la encuesta con una única empresa. Sin embargo, en dos casos se identificó que habían constituido más de una iniciativa de negocio, pero habían fracasado debido a obstáculos como: el cumplimiento de los requisitos legales y tributarios; el alto costo de las materias primas y los servicios públicos domiciliarios; la dificultad para consolidar un mercado para sus bienes y servicios; y la discriminación de algunos compradores por su nacionalidad.
Las iniciativas empresariales que los migrantes han desarrollado son, en su totalidad, del sector servicios. Dentro de ellas se destacan los restaurantes (7) y las agencias de publicidad (3). Otros emprendimientos son agencias de viaje, alquiler de lavadoras, firmas de asesoría y consultoría, veterinarias, etc. Es importante destacar que, de los 13 empresarios que tenían antecedentes, 8 desarrollaron su iniciativa de negocio en Bucaramanga aprovechando la curva de aprendizaje que habían adquirido en Venezuela. Además, en un solo caso (un restaurante) se identificó que se ofertaban productos típicos venezolanos.
Es pertinente resaltar que, más de la mitad de las empresas constituidas (13) cuentan con el Certificado de Existencia y Representación Legal expedido por la Cámara de Comercio de Bucaramanga. Lo anterior, evidencia que estos migrantes cumplen con los requisitos mínimos estipulados en el ordenamiento jurídico colombiano, para la constitución y el funcionamiento de las empresas.
Estas empresas son jóvenes, pues 18 de las 19 encuestadas, fueron creadas entre 2016 y 2018, lo cual coincide con la intensificación del proceso migratorio desde el año 2015. Cabe destacar que, las dificultades de inserción en el mercado laboral se han agudizado, dado el incremento de la población migrante radicada en la ciudad, lo que ha hecho que el desarrollo de una iniciativa de negocio, formal o no, se convierta en una alternativa para la generación de ingresos.
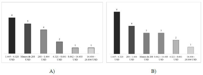
Al indagar sobre el capital de constitución de estas empresas, se encontró que en 15 de ellas se invirtió entre menos de 288 y 4.320 dólares, lo cual explica que la totalidad de los migrantes encuestados sean microempresarios y refleja las limitaciones económicas con las que arribaron al territorio nacional, fruto de: la desventajosa tasa de cambio entre el peso colombiano y el bolívar, el deterioro de sus condiciones económicas en el país de origen y la estructura de gastos que implicó el proceso migratorio (Figura 5a).

Figura 5 A) Capital de constitución de la empresa en Colombia. B) Capital invertido desde la constitución de la empresa.
Por su parte, el capital invertido desde la constitución de la empresa fue de menor escala, dado que en 13 de ellas se ha invertido entre menos de 288 y 4.320 dólares (Figura 5b). Las empresas que más recursos han demandado para su creación y funcionamiento son aquellas legalmente constituidas, que cuentan con un local para su funcionamiento y procesos de contratación laboral más rigurosos, como es el caso de los restaurantes. Por el contrario, los menores costos de constitución e inversión se asocian con empresas no formalizadas, que prestan servicios a domicilio y no requieren insumos básicos para su funcionamiento, adicionales al conocimiento y desarrollo de capacidades del personal.
En este sentido, la capacidad de generación de empleo de estas empresas ha sido limitada, pues 3 de ellas no tienen ni un solo trabajador y todas las actividades son realizadas por el propietario y/o sus familiares; 12 tienen entre 1 y 5 trabajadores y; solo 4 han vinculado entre 6 y 10 trabajadores. Si bien en estas empresas no todas las personas que apoyan el proceso productivo son de nacionalidad venezolana y/o colombovenezolana, es decir, no son co-étnicos, se destacan mayoritariamente los connacionales que hacen parte de su red primaria de apoyo. Prima a su vez, la vinculación laboral sin contratación formal, o sin vinculación estable en términos de jornada laboral y posibilidades de permanencia. Excepcionalmente se han contratado colombianos con el propósito de reducir los riesgos que representa la discriminación, fruto de procesos xenófobos contra la población migrante.
La capacidad de generación de empleos directos durante el último año también fue reducida, puesto que 7 de estas empresas no creó ningún empleo, 8 generaron entre 1 y 5 y, solo 4 entre 6 y 10 empleos directos en el año 2018. Lo anterior, se explica, en parte, porque la mayoría se encuentra en la fase inicial del ciclo de vida de la empresa. Dentro de las iniciativas de negocio que más generaron empleo se destacan un restaurante, una agencia de viajes y una agencia de publicidad.
4. Conclusiones
El proceso migratorio entre Venezuela y Colombia ha permitido el desarrollo de una economía étnica en Bucaramanga, capital del departamento de Santander. Los hallazgos permiten ratificar la crítica que sobre este concepto existe, pues no se encontró evidencia de una relación estrecha entre propietarios y clientes migrantes, al contrario, las características de las empresas de estos migrantes son bastante plurales y diversas.
En ese sentido, resulta pertinente destacar que, de acuerdo con la clasificación de negocios de migrantes propuesta por Cavalcanti (2009), en Bucaramanga se evidencian las empresas generalistas, pues los clientes no son exclusivamente connacionales, sino colombianos y extranjeros en general. Otra clasificación afín a la realidad bumanguesa son las empresas de orientación étnica, en las que se destacan principalmente los restaurantes y panaderías, que encuentran en la tradición gastronómica venezolana una oportunidad para satisfacer las demandas de sus connacionales.
Si bien la teoría de la economía étnica en Bucaramanga no se refleja estrechamente en la relación propietario-cliente, fue posible ratificarla en la conformación de equipos de trabajo que soportan el proceso de producción de bienes y servicios, puesto que se identificó solidaridad étnica en las oportunidades de empleo generadas para aquellos connacionales que hacían parte de su red de apoyo.
La investigación también permite concluir que, los migrantes provenientes de Venezuela han desarrollado iniciativas empresariales en Bucaramanga como una estrategia para enfrentar las barreras del mercado laboral e insertarse a la estructura socioeconómica del país receptor. El hecho de que la decisión de migrar hacia Bucaramanga se basara, en la mayoría de los casos, en las redes de apoyo por parentesco y amistad con las que contaban, reafirma la teoría de la acumulación de actos migratorios. Así mismo, en el caso objeto de estudio, se materializan los postulados de la corriente interactiva sobre los motivos que impulsan a los inmigrantes a desarrollar iniciativas empresariales, puesto que un porcentaje considerable de la muestra invirtió en Bucaramanga no sólo por sus antecedentes empresariales, sino también por la estructura de oportunidades de su mercado.
Finalmente, como recomendaciones para el estímulo del emprendimiento en los migrantes, se sugiere a la administración pública: realizar un censo detallado de todas las iniciativas empresariales de migrantes provenientes de Venezuela en Bucaramanga; visibilizar ante la comunidad estos emprendimientos, de manera que se convierta en una herramienta para combatir la xenofobia y reflejar el aporte que estos migrantes hacen a la ciudad; organizar jornadas de capacitación para migrantes emprendedores en las que se haga énfasis en el ordenamiento jurídico colombiano para la creación de empresa; ajustar los programas existentes para el apoyo al emprendimiento , de modo que la nacionalidad de los migrantes no sea obstáculo para su acceso. Igualmente importante es el intensificar las campañas de erradicación de la xenofobia en la ciudad, puesto que este fenómeno influye de manera negativa en la demanda de los bienes y servicios ofertados por los migrantes.

















