SciELO - Scientific Electronic Library Online

 
 issue18Critical literacy in higher studies: an analysis of an experience'Theme' as point of departure: pedagogical implications author indexsubject indexarticles search
Home Pagealphabetic serial listing  

Services on Demand

Journal

Article

Indicators

Related links

  • On index processCited by Google
  • Have no similar articlesSimilars in SciELO
  • On index processSimilars in Google

Share


Zona Próxima

On-line version ISSN 2145-9444

Zona prox.  no.18 Barranquilla Jan./June 2013

 

Una alternativa para prevenir el error de linealización (x ± y)n = xn ± yn

An alternative to prevent the error of linearization (x ± y)n = xn ± yn

GUILLERMO CERVANTES CAMPO
gcervant@uninorte.edu.co

Magister en Educación, Uninorte. Magister en Ciencias-Matemáticas, Unal. Dpto. de Matemáticas, Universidad del Norte, Barranquilla, Colombia.

RAFAEL MARTÍNEZ SOLANO
rmartine@uninorte.edu.co

Magister en Ciencias-Matemáticas, Univalle-Uninorte. Dpto. de Matemáticas, Universidad del Norte, Barranquilla, Colombia.

Fecha de recepción: Septiembre 30 de 2012
Fecha de aceptación: Enero 12 de 2013


RESUMEN

En este artículo se presenta, como producto de la investigación de los errores algebraicos que producen nuestros estudiantes de primer semestre, una alternativa para prevenir el denominado error de linealización, que aparece con mucha frecuencia cuando nuestros alumnos pretenden desarrollar ejercicios que requieren manipulaciones algebraicas; además, se trata de identificar la posible fuente del error y de implementar la utilización de herramientas computacionales que permitan minimizar la presencia de este tipo de error. Se fundamenta la propuesta en el poder de las herramientas computacionales para amplificar la estructura objeto de estudio, en este caso el error (x ± y)n = xn ± yn, lo que permite reorganizar el conocimiento que se obtenga de las exploraciones con un software de cálculo simbólico.

Palabras clave: error de linealización, álgebra.


ABSTRACT

In this paper an alternative to prevent the so-called linearization error is presented as a product of the investigation of algebraic errors that our freshmen produce, which occurs very often when our students intend to develop exercises that require algebraic manipulations. In addition, it seeks to identify the possible source of error and to implement the use of computational tools that enable you to minimize the presence of this type of error. The proposal is based on the power of computational tools to amplify the structure under study, in this case the error (x ± y)n = xn ± yn, that allows us to reorganize the knowledge obtained from the scans with a symbolic computation software.

Key words: error of linearization, algebra.


INTRODUCCIÓN

Cervantes y Martínez (2007) describieron una serie de errores de marcada recurrencia en el desarrollo de manipulaciones algebraicas por parte de alumnos de cursos regulares de Álgebra y Trigonometría en la Universidad del Norte y esbozaron la idea de los ejemplos contrastantes como una manera de poner en contacto al estudiante con el error y su fuente como una alternativa para prevenirlos.

Un ejemplo contrastante es una situación muy similar a un principio básico en el que una transferencia incompleta del principio o su aplicación incorrecta lleva a un error en la expresión algebraica.

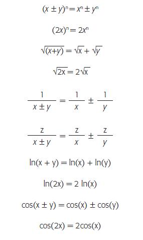
Entre los errores señalados por Cervantes y Martínez (2007), aparece el error de linealización como uno de los más comunes y esbozan la idea de los ejemplos contrastantes a partir de una de las propiedades básicas de los exponentes: (xy)2 = x2 y2, denominada la potencia de un producto, que al transferirse de manera incompleta a la potencia de un binomio, produce el error (x ± y)n=xn ± yn.

Se desarrollará, a continuación, una estrategia que contribuya a minimizar la aparición de este tipo de error en los desarrollos algebraicos de nuestros alumnos, mediante la utilización de talleres en los que un software de cálculo simbólico, un tipo de sistema de representación que ofrece nuevas posibilidades de visualizar objetos matemáticos y estudiarlos de manera dinámica, los pone en contacto con los diversos componentes algebraicos que constituyen la expresión errada, ampliando la estructura de dichas expresiones como objeto de estudio, permitiéndoles compararlas y obtener así expresiones algebraicamente válidas.

FUNDAMENTOS TEÓRICOS

Partiendo del hecho de que los errores son construcciones conscientes del individuo que aprende, es necesario que mediante actividades concretas se muestren alternativas que le permitan modificar lo aprendido a partir de la misma fuente del error.

Una alternativa para generar actividades que lleven al individuo que aprende a la reflexión sobre los errores que comete, son las herramientas computacionales; ya que permiten una exploración guiada que lleva mediante un proceso inductivo a la consolidación de desarrollos algebraicos libres, en este caso, del error (x ± y)n = xn ± yn, calificado como un error de linealización.

Lakatos (1978) considera que el conocimiento es falible, por lo que no está libre de errores, en consecuencia, es importante mostrar caminos que lleven a plantear conjeturas que aproximen a una solución a un problema dado y estas conjeturas se sometan a prueba con contraejemplos.

Moreno y Waldegg (2001) señalan que los instrumentos y herramientas computacionales se han convertido en sistemas de representación, pues ejecutan acciones que les son propias a los seres humanos mediante su actividad cognitiva, permitiendo trabajar sobre el comportamiento de los objetos matemáticos de manera más general, constituyéndose además en un dominio de abstracción, pues permiten la exploración de ideas mediante la manipulación de los objetos matemáticos, generando proposiciones que no necesariamente constituyen una demostración, pero que al apuntar a casos particulares generan un proceso inductivo que permite proponer una o más fórmulas, las cuales pueden ser aceptadas o rechazadas mediante la verificación directa en el mismo medio computacional, en el caso que nos compete, un software de matemáticas simbólicas.

Moreno (2001) considera que frente al trabajo con herramientas computacionales, como las calculadoras, se espera que permitan amplificar la estructura del objeto de estudio, revelando nuevos aspectos o relaciones difícilmente visibles sin ellas; además, que permitan, a la larga, reorganizar el conocimiento que se genera al acceder a dicho objeto de estudio a un nivel que, probablemente, por otros medios sería mucho más complicado o tedioso.

Desde estas consideraciones, el error observado puede señalar un camino contrastante en la forma como deben presentarse los contenidos y experiencias pedagógicas, de modo que les permitan a nuestros estudiantes construir un sólido conocimiento a partir del estudio y la exploración de las diversas expresiones algebraicas que constituyen el error observado, en este caso el error de linealización, mediante la utilización de sistemas de cómputo con software de cálculo simbólico.

Error de linealización

Los errores en los desarrollos algebraicos son muy frecuentes, al punto que una gran cantidad de nuestros estudiantes los consideran propiedades algebraicas válidas, utilizándolos con cierta naturalidad y convencimiento.

Uno de los errores más frecuentemente observado es el denominado error de linealización.

Sumamente curioso por el hecho de que las funciones llamadas transformaciones lineales no son estudiadas en los cursos básicos de Álgebra o Cálculo.

Observemos cómo se define una transformación lineal entre dos espacios vectoriales.

Sean V y W espacios vectoriales reales. Una transformación lineal T de V en W es una función que asigna a cada elemento x e V un único elemento T(x) ��V de modo que:

Para cada x, y en V cada escalar k ��R,

No todas las funciones algebraicas son transformaciones lineales; sin embargo, la tendencia a linealizar es demasiado frecuente y atractiva por su simplicidad, tal y como se presenta en las siguientes situaciones que llevan implícito un error de linealización,

Este tipo de error surge cuando el estudiante o preserva la estructura de las primeras propiedades algebraicas que se le presentan o percibe de manera incompleta una posible extensión de las mismas ante un cambio en uno de sus componentes. Estas primeras propiedades algebraicas fundamentales presentan la forma

donde las operaciones. (punto) y * (asterisco) no son necesariamente iguales; así, pueden tenerse las siguientes identidades:

Consideramos que después de presentarse cada una de estas propiedades básicas, es importante confrontar al estudiante con una nueva situación en la que, de acuerdo con lo observado, es probable que cometa un error de linealización; a esto lo denominamos ejemplo contrastante.

Si se demuestra, mediante la utilización de los axiomas para los números reales que, por ejemplo, (xy)2=x2 y2 debe contrastarse esta propiedad con la prueba de (x + y)2 = x2 + 2xy + y2, ya que usualmente por una extensión inadecuada en los signos de la primera expresión, los estudiantes tienden a escribir (x + y)2 = x2 + y2. De manera similar se procedería con (x - y)2 = x2 - 2xy + y2, pues por la misma razón hay tendencia a escribir (x - y)2=x2 - y2.

Este proceso de contraste se puede seguir para otras potencias, con el objeto de que el estudiante aprecie lo diferente que son las expresiones, e incluso se aventure a lanzar conjeturas acerca de cómo desarrollar (xy)n, (x + y)n y (x - y)n.

Nada más adecuado para este tipo de exploraciones que las herramientas computacionales, las cuales permiten un desarrollo más rápido de estas situaciones y conducen a un plano más complejo de pensamiento al llevar al alumno mediante preguntas a ahondar en la estructura del problema, con la ventaja adicional que tiene probar inmediatamente las hipótesis o propuestas que se generen.

METODOLOGÍA

Para trabajar sobre el error de linealización (x ± y)n = xn ± yn, se propusieron dos talleres, los cuales fueron desarrollados utilizando el programa Derive 5, pero pueden adaptarse a otros programas de matemáticas simbólicas, e incluso a calculadoras que manejen este tipo de programas.

En el primero se analiza el desarrollo de la expresión (x ± y)n, mientras que en el segundo la facto-rización de xn - yn, también puede proponerse un tercer taller en donde se analice la factorización de la expresión xn + yn para completar el estudio de las expresiones que están presentes en el error, y al tiempo generar una serie de proposiciones válidas tanto para el desarrollo de (x ± y)n como para factorización de las expresiones xn - y y xn + yn.

La idea general que se propone es confrontar de inmediato al alumno con la fuente del error mediante un estudio más detallado de las expresiones involucradas a ambos lados de la expresión (x ± y)n = xn ± yn, haciendo un análisis del desarrollo que arroja el software de la expresión (x ± y)n y de la factorización, que también nos da directamente el software de expresiones de la forma xn - yn

Los talleres pueden ser trabajados de manera independiente por los estudiantes de primer semestre, previa instrucción del manejo básico del software para lo cual puede tomarse como referencia a Kutzler y Kokol-Volic (2000), o pueden desarrollarse en clase mediante la utilización de medios como el proyector conectado a un computador.

Lo ideal es que mediante el trabajo individual guiado por los talleres y la intervención pertinente del docente, la herramienta computacional se convierta en un auxiliar en la construcción y cimentación del conocimiento en el estudiante, permitiendo una interacción entre las fórmulas y procedimientos algebraicos que tiene interiorizados con los resultados que presenta el software para determinado desarrollo algebraico, lo que conduce a una reflexión sobre lo aprendido y su validez a la luz de dichos resultados.

A continuación se presentan los talleres que se propusieron a los estudiantes, en los que se explora la estructura de las expresiones que componen el error de linealización (x ± y)n = xn ± yn. En el primero se trabaja en el desarrollo de la expresión (x ± y)n, mientras que en el segundo se trabaja sobre la factorización de expresiones de la forma xn - yn.

La simbología utilizada en los talleres es propia del DERIVE 5, de modo que con algunas instrucciones básicas en su manejo pueden desarrollarse de manera autónoma.

Taller de Álgebra N° 1

Tema: Potenciación

Subtema: Potencia de un binomio

Objetivo: A partir de la utilización de la herramienta expandir, en el menú simplificar, deducir una regla nemotécnica para determinar la potencia de un binomio, siendo un número natural.

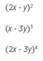
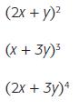
• Introduzca en el área de trabajo las siguientes expresiones

• Resalte la expresión #1> Simplificar> expandir> Seleccione variables de expansión >expandir

• Aplicando el mismo procedimiento a las otras expresiones, obtendremos el desarrollo de cada uno de los binomios dados:

• Proponga una regla para desarrollar binomios de la forma, con natural mayor o igual que 2, explíquela y pruébela con

• ¿Qué variación haría a su regla para desarrollar

• Considerando que o - b = a + (-b), ¿qué variación haría a su fórmula o procedimiento para desarrollar binomios de la forma (a - b)n, con natural mayor o igual que 2? Explíquela y verifíquela

• ¿Qué variación haría a su regla para desarrollar

Observamos que el trabajo con la herramienta computacional, permite en este caso verificar las expresiones o fórmulas propuestas por los estudiantes de manera instantánea, acogiéndolas o rechazándolas, de modo que modificadas cuando no correspondan al desarrollo correcto o pueden ser extendidas de manera correcta a otras situaciones un poco más complejas.

La observación de las regularidades permite obtener reglas que se van refinando a medida que crece el exponente del binomio, ya sea por descubrimiento de reglas particulares o por ensayo y error, hasta establecer un mecanismo de acción o una fórmula para desarrollarlas correctamente.

Taller de Álgebra N° 2

Tema: Factorización

Subtema: Expresiones de la forma

Objetivo: A partir de la utilización de la herramienta factorizar, observar la factorización de expresiones de la forma, con número natural

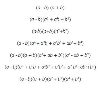
• Introduzca en el área de trabajo las siguientes expresiones

• Resalte la expresión #1>Simplificar>factori zar>Seleccione variables de factorización> racional>factorizar

Obteniendo

Aplicando el mismo procedimiento a las otras expresiones, obtendremos la factorización correspondiente:

• De acuerdo con lo observado, establezca conjeturas acerca de los factores de dichas expresiones y luego verifícalas aplicando el procedimiento a otras expresiones de la misma forma.

¿Puede la expresión an - bn ser factorizada?

¿Cuándo a - b es factor de an + bn?

¿Si o - b factor de an + bn también a + b lo será?

a - b es factor de an - bn ¿qué observa cuando n es par?

a - b es factor de an - bn ¿qué observa cuando n es impar?

Escribe tus observaciones e intenta proponer una factorización para

a9 - b9

y para

a10 - b10

Multiplique los otros factores de an - bn,diferentes de o - b y reescriba la expresión an - bn como un producto de dos factores.

¿Puede visualizar una fórmula o regla general que permita obtener el segundo factor de an - bn?

Las preguntas permiten que el alumno fije su atención en los resultados que va arrojando el programa de matemáticas simbólica y lo orientan hacia el establecimiento de una regla general, la cual puede ser verificada de manera inmediata.

Preguntas obligadas después de realizar estos talleres son:

¿Cómo se desarrolla la expresión (x ± y)n? ¿Cómo se factoriza la expresión xn - yn? ¿Cómo se factoriza la expresión xn + yn? ¿Será (x ± y)n = xn ± yn?

ANÁLISIS DE RESULTADOS

La forma de emplear la tecnología pasa, inicialmente, por un proceso de amplificación y, posteriormente, por un proceso más complejo, de reorganización. La amplificación puede traducirse así: hacer lo de antes, pero mejor. La re-organización como: hacer nuevas cosas y reorganizar las anteriores en función de las nuevas posibilidades. (Moreno, 2001).

Los talleres propuestos bajo el esquema sugerido por un ejemplo contrastante se constituyen en un claro ejemplo de lo expresado anteriormente. La amplificación tiene que ver con el estudio de la potencia de un binomio y la factorización de diferencias de potencias n-ésimas, aprovechando la efectividad del software al dar respuesta instantánea a los desarrollos de tipo simbólico solicitados. Pero la intención no es la de obtener una respuesta y simplemente utilizar el software como una caja negra en la que entra un insumo y obtenemos un producto, antes por el contrario, es utilizar la respuesta como punto de partida para un proceso reflexivo que lleve al alumno a inducir las fórmulas correctas para el tipo de expresiones estudiadas, produciéndose así la reorganización del conocimiento adquirido antes de la interacción con la herramienta computacional.

Consideramos que el tipo de construcción que se llevó a cabo mediante la implementación de los talleres supera con creces la simple exposición de las fórmulas de las expresiones algebraicas objeto de estudio, y en gran medida los alumnos adquirieron una mejor fundamentación para su correcta aplicación en desarrollos algebraicos.

El software, además, puede tomarse como instrumento de control, ya que le permite al alumno verificar los diversos pasos que lleven a la expansión o simplificación de expresiones algebraicas pudiendo tomar correctivos a las acciones erradas o encontrar que dichas acciones lo han llevado a una respuesta equivalente a la presentada por el software.

Esto no quiere decir que los errores en los desarrollos algebraicos en los que estuviesen involucradas potencias de binomios o factorizaciones de diferencias de potencias n-ésimas dejaran de presentarse, pero se constituye esta actividad en un paso más para la consolidación de desarrollos algebraicos libres de errores.

Queda pendiente la implementación controlada de esta estrategia para observar el impacto que tiene sobre el estudiante encontrar expresiones de este tipo en sus desarrollos algebraicos

CONCLUSIONES

La posibilidad que brindan las herramientas com-putacionales de representar y operar los objetos matemáticos se constituye en fuente constante de oportunidades para interactuar con ellos de una manera más dinámica; por ello, el desarrollo de actividades con herramientas computaciona-les son ventajosas, pues:

1. La carga cognitiva y emocional debido al trabajo con papel y lápiz disminuye, por lo que el esfuerzo mental del estudiante puede ser dirigido a establecer relaciones matemáticas correctas entre las expresiones objeto de estudio.

2. Agiliza el proceso inductivo, muy extendido en matemáticas, en el cual se va de lo sencillo a lo complejo y de lo particular a lo general, posibilitando la construcción de esquemas amplios y generales que facilitan el trabajo con las expresiones objeto de estudio.

3. Permite establecer niveles graduados de complejidad en los cuales la exploración

de las expresiones objeto de estudio requiera un mayor conocimiento tanto matemático como de otras funciones especializadas de la herramienta com-putacional.

4. Con referencia al error, el trabajo con herramientas computaciones permite tratar sus expresiones componentes del mismo como objetos de estudio, permitiendo generar desarrollos válidos para cada una de ellas de manera inductiva, de modo que a partir del estudio de las partes se verifica que la expresión dada es errada. Al mismo tiempo, se generan estrategias para el correcto desarrollo de la expresión y para la factorización de expresiones de la forma.

5. Permite que el alumno se enfrente con sus propios errores de manera inmediata, ya que la metodología de trabajo y la implementación de los talleres de manera estrictamente individual y fuera de clases, le permite generar otras opciones que lo lleven a la generalización de fórmulas y desarrollos algebraicos correctos. Este es un primer paso hacia la consolidación de desarrollos algebraicos correctos en los que aparezcan potencias de binomios y/o factorización de sumas o diferencias de potencias de grado.


REFERENCIAS

Cervantes, G. & Martínez, R. (2007). Sobre algunos errores comunes en desarrollos algebraicos. Zona Próxima, 8 pp. 35 - 41.         [ Links ]

Lakatos, I. (1978). Pruebas y refutaciones: la lógica del descubrimiento matemático. Madrid: Alianza Universidad.         [ Links ]

Kutzler, B. & Kokol-Volic, V. (2000). Introducción a DERIVE 5. Valencia: Derisoft.         [ Links ]

Moreno, L. (2001). Calculadoras algebraicas y aprendizaje de los motemáticas. Memorias del Seminario Nacional de formación de Docentes sobre uso de nuevas tecnologías en el aula de Matemáticas. 93-98. Bogotá: Enlace.         [ Links ]

Moreno, L. & Waldegg, G. (2001). Fundamentación cognitiva del currículo de matemáticas. Memorias del Seminario Nacional de formación de docentes sobre uso de nuevas tecnologías en el aula de Matemáticas. 40-66. Bogotá: Enlace.         [ Links ]