Introducción
Desde hace algunas décadas se ha realizado un análisis teórico de los fundamentos de la didáctica de las matemáticas y su relación con la epistemología y otras ciencias, proceso que ha contribuido a comprender los objetos matemáticos en aspectos como su génesis, desarrollo histórico, el conocimiento didáctico de contenido matemático del profesor y la incidencia del aprendizaje matemático en los contextos escolares, sociales y culturales, para conocer cómo aprenden y construyen los conceptos los estudiantes. Por lo tanto, esta investigación centra su atención en un análisis preliminar del concepto de parábola desde las dimensiones histórica, epistemológica, y didáctica para realizar una instrucción que garantice el aprendizaje del concepto en estudiantes universitarios.
La dimensión histórico-epistemológica de la parábola emergió entre los siglos VII y VI a. de C., cuando los griegos definieron el concepto matemático de las cónicas, mediante un trabajo geométrico cuya característica fundamental es la trasformación de una actividad de tipo empírico a una de tipo científico. Menecmo realizó los primeros estudios de las curvas conocidas como cónicas, y generó su construcción cortando un cono circular recto por un plano perpendicular a una generatriz del cono (Rey, 1962, p. 95). El origen de las cónicas nace del problema propuesto por Delos en relación con la duplicación del cubo, el cual se pudo resolver mediante las intersecciones de dos cónicas. Menecmo demostró que para encontrar la solución del problema debía utilizar la construcción de las medias proporcionales entre 2 y 1, planteado por Hipócrates. Para ello era suficiente intersecar una parábola y una elipse, o dos parábolas; este segundo método era más sencillo que el primero, al intersecar las expresiones que representan a cada parábola, el problema se reduce a obtener, de manera algebraica.
Lo admirable de Menecmo fue el hecho de darse cuenta de que existía una familia de curvas construidas a mano que cumplían con las condiciones requeridas y se obtenían cortando un cono circular recto por un plano perpendicular a una generatriz del cono para generar las curvas conocidas como parábola, elipse e hipérbola. Este estudio le permitió de forma simple y general definir las curvas de segundo grado, que consideró como lugares geométricos de los puntos cuyas distancias a un punto y a una recta dada guardan entre sí una relación constante, (Rey, 1962, p. 103-105).
Algunos estudios de los griegos indican que los primeros indicios de la geometría como ciencia nacieron en Egipto, pero los griegos como Apolonio de Perga (siglo III a. de C), hicieron aportes en una de sus obras: Las cónicas. Dicho trabajo hace un estudio de curvas conocido en el mundo occidental y publicado por Edmond Halley en 1710, quien hace la traducción de la obra en tres partes: la primera comprende el texto griego de los cuatro primeros libros; la segunda contiene la traducción latina de los libros V, VI, VII; y la tercera, la versión en griego y en latín de los dos libros de Serenus Antissensis (Tapia, 2002).
Antes del tratado realizado por Halley se hicieron algunas traducciones del libro de las cónicas de Apolonio en 1398 por Filelfo, en 1537 por Memo y en 1566 en Bolonia por Commandino. Estas versiones fueron publicadas en latín y griego, y publicaron algunos documentos en los cuales retoman los primeros cuatro libros de la obra de Apolonio.
En este sentido (González, 2007, p. 43) Apolonio afirma que la parábola tiene la propiedad característica que para todo punto tomado sobre la curva, el cuadrado construido sobre su ordenada y es exactamente igual al rectángulo construido sobre la abscisa x y el latus rectum I. De ahí, se puede inferir que el término cuadrado es la expresión geométrica a la que Apolonio hacía referencia desde la generalidad como acercamiento al álgebra de las cónicas. Sin embargo, como en esa época no se tenía dominio de esta área del conocimiento, se observa que lo que puede haber es una transformación de áreas o la cuadratura de la parábola.
Apolonio se apoyó en aplicación de áreas mediante el uso de una geometría sintética, lo que facilitó la transformación al lenguaje empleado en geometría analítica. En el libro IV plantea procedimientos para hallar el lugar geométrico de los centros de curvatura y obtener la ecuación de la parábola que en lenguaje de la geometría analítica actual es, al igual que la ecuación de la hipérbola (Tapia, 2002).
El desarrollo de la geometría tuvo un auge en el s. IV a. de C., durante el cual publicaron dos obras, la de Aristeo, El libro de los lugares sólidos y la obra de Euclides. Se cree que el contenido de las cónicas de Apolonio está en los cuatro primeros libros de Euclides, lo cual indica que ya tenían conocimiento de las propiedades de la ordenada y las asíntotas de la hipérbola y la parábola.
De otro lado, Arquímedes (287-212 a. de C) investigó sobre la parábola, acerca de su cuadratura, en la cual descubrió que el área de un segmento de parábola es igual al cuádruplo del tercio del área de un triángulo con la misma base y la misma altura del segmento. Para ello realiza dos demostraciones de este teorema: una conocida como demostración mecánica y la segunda llamada demostración geométrica. La idea consiste en determinar el área del segmento de parábola que se puede acotar inferior y superiormente por el área de ciertos polígonos.
La geometría se considera como la primera ciencia de carácter deductivo e hipotético deductivo que nace en Occidente, y comienza a partir del libro Los elementos de Euclides (Maldonado, 2005), debido a que en él hace evidentes los tres rangos centrales de la humanidad y la racionalidad occidental: la racionalidad deductiva y el espacio-tiempo permanecen como un motivo extra-lógico y están expuestos mediante preconceptos.
El tratado de Apolonio sobre las cónicas es el texto donde se relacionan los aspectos estructurales y conceptuales sobre estas curvas y ha sido un documento histórico que configura aspectos epistemológicos de la génesis del concepto. Sin embargo, los aportes realizados por Descartes y Fermat en el siglo XVI constituyen un aporte para relacionar curvas con ecuaciones, mediante transformaciones algebraicas a geométricas y viceversa que dieron sentido analítico al trabajo geométrico. Para ello representaron las cónicas por ecuaciones de segundo grado y dieron origen a ecuaciones de segundo grado que generaron las curvas cónicas usando dos variables.
El estudio de las cónicas está asociado a la función cuadrática, el cual se atribuye en forma intuitiva a Galileo (Villa & Mesa, 2007), quien con sus trabajos experimentales sobre el movimiento de los cuerpos logra establecer relaciones entre variables y de esta manera utilizar fórmulas para hacer corresponder cantidades. El objeto matemático parábola permite ubicarlo en diferentes principios fundamentales que lo caracterizan, considerando aspectos teóricos como: la parábola como conjunto de puntos del plano que verifican cierta relación respecto a una directriz y a un foco, la parábola como el conjunto de puntos del plano que determina una ecuación y la parábola como una gráfica correspondiente a una ecuación cuadrática (Wake & García 2010, p. 7), que considerando el lugar geométrico como el conjunto de puntos que cumplen con una condición o regla específica y que unidos entre sí, genera la curva que representa la parábola, porque a partir de la relación entre distancias es posible hallar de forma analítica la ecuación canónica.
El estudio de la parábola desde los fundamentos matemáticos se aborda desde el punto de vista algebraico como una función de segundo grado y desde la geometría analítica como una ecuación canónica. En su forma canónica, la parábola cuenta con elementos para su descripción como el vértice, el eje focal, el foco, la directriz, la distancia focal, la cuerda, la cuerda focal y el lado recto. Estos elementos son intrínsecos y no dependen de un sistema de referencia o de un sistema de coordenadas; pertenecen a la estructura matemática. La forma más simple de obtener su gráfica es a partir de puntos que cumplen con la condición específica: la distancia del foco a un punto de la curva debe ser igual a la distancia que hay desde la ecuación de la directriz al punto de la curva.
En cuanto al aspecto didáctico de la parábola, se busca conocer, de una parte, cómo los profesores han venido enseñando el concepto a los estudiantes, cómo han realizado el diseño de enseñanza y cómo han posibilitado el aprendizaje del objeto geométrico.
De otra parte, el estudio de la parábola en libros de texto publicados en los últimos treinta años permite determinar los elementos matemáticos que en la unidad didáctica configuran el concepto de parábola, permiten la comprensión del concepto de parábola y el profesor hace una transposición didáctica del concepto entendida ésta, en términos de Chevallard, (1998). En el estudio de los libros de texto aparece la definición de la parábola como un lugar geométrico. Este elemento de referencia permite analizar la cónica como elemento que facilita el hallazgo de puntos en el plano, cumple condiciones en el contexto geométrico y utiliza diferentes sistemas de representación -simbólico, gráfico y analítico- para obtener la ecuación que identifica en cada caso a la parábola. En los textos, a partir de teoremas se enuncian las ecuaciones canónicas de la parábola y las características tales como: el eje principal, la abertura de la curva, la posición de la directriz y la forma analítica para obtener la ecuación. Otro elemento común en los textos es el enunciado de teoremas o conceptos algebraicos que definen la ecuación de segundo grado correspondiente a la parábola. Además, mediante reglas específicas explican el proceso algebraico para hallar la transformación de la ecuación de la forma canónica a la forma general y viceversa.
Asimismo, la génesis de la parábola vista desde los libros de texto está relacionada con tipos de curvas que se obtienen al realizar cortes a un cono recto. Sin embargo, su construcción depende de una relación de elementos y por esta razón se toma el concepto de lugar geométrico como esencial en la construcción de una ecuación de segundo grado en forma canónica, la cual resulta de la relación entre la igualdad de la distancia entre puntos ubicados en la curva de la gráfica, que se relacionan con la ecuación de la directriz y el foco, como un modelo funcional ajustado a ciertas características de una ecuación de segundo grado respecto del eje focal y algunas transformaciones geométricas y simetrías.
Los textos analizados plantean la solución de ejercicios que facilitan la obtención de la ecuación canónica de la parábola a partir de los elementos que la configuran; parten de la representación algebraica para obtener la representación gráfica y viceversa; e integran componentes analíticos y fundamentos de la geometría analítica, como: distancia entre puntos, punto medio, algunas condiciones o característica de la recta y de los segmentos. Los elementos matemáticos dados en diferentes registros de representación se muestran en la tabla siguiente:
El estudio realizado de la parábola en textos de geometría analítica a nivel universitario como Geometría analítica (Lehmann, 1989), Geometría analítica (Fuller & Tarwater, 1995), Geometría analítica (Oteyza, Lam, Hernández, Carrillo & Ramírez, 2005), Geometría analítica (Murdoch, 1991) y Geometría analítica (Guerra, 1994) permitió identificar los elementos geométricos constitutivos de este concepto para diseñar la instrucción de la enseñanza en el aspecto didáctico y relacionar diferentes registros de representación de los elementos matemáticos para llegar a la comprensión del concepto.
El tratamiento que se presenta de la parábola en la mayoría de libros como una unidad didáctica, desde el aspecto del aprendizaje en lo cognitivo, se fundamenta en reconocer que los estudiantes tienen saberes previos sobre este concepto matemático. Esto se evidencia en la introducción y en la forma como se llega a la definición de la parábola al usar definiciones y conceptos, sin realizar actividades previas que permitan tener algunos juicios o elementos geométricos básicos en la construcción y obtención de la ecuación que representa la curva de la cónica.
Las dimensiones histórico-epistemológicas -saber-, didáctica - enseñanza- y aspectos cognitivos -aprendizaje- de los estudiantes en relación con este objeto matemático constituyen elementos teóricos para responder al interrogante: ¿cómo llegan los estudiantes de primer semestre de Ingeniería de Sistemas a la comprensión/construcción del concepto de parábola mediante la utilización de geometría dinámica apoyada con el software Geogebra?
A partir de tales dimensiones, este estudio se apoya en el marco teórico de las situaciones didácticas de Brousseau (1997), en particular, las relaciones entre el saber, el estudiante y el profesor, para lo cual el docente hace la transposición didáctica de los conceptos teóricos y los pone al nivel de comprensión de los estudiantes mediante una estrategia didáctica y acuerdos de un contrato didáctico (Chevallard,1998) que garantice compromisos durante la aplicación de acciones a-didácticas y didácticas. En el desarrollo de las situaciones didácticas, define variables que involucran los elementos matemáticos que configuran el concepto de acuerdo con las propiedades y características del objeto matemático en estudio, para lo cual se propone una fase a-didáctica, donde la intención de enseñanza no es explícita para el estudiante, pues no hay una intención del maestro en cuanto al saber. Es una fase de adaptación con el medio que tiene la intención de conocer cuáles son los conocimientos previos, las concepciones y dificultades que muestra el estudiante, con el propósito de iniciar un proceso de mediación a través de una fase didáctica, para llegar al desarrollo y construcción de un concepto matemático.
Metodología
Esta investigación es cualitativo-interpretativa, en cuanto se trata de describir e interpretar la forma como los sujetos llegan a la comprensión de un concepto matemático, de acuerdo con Bisquerra y Sabariego (2009), porque busca interpretar y explicar la forma como los estudiantes llegan a la comprensión y construcción conceptual de la parábola como una cónica. El método utilizado para interpretar toda la información observada y registrada da significado a los objetivos propuestos mediante procedimientos rigurosos en la recolección, organización e interpretación de los datos, mediante la metodología propuesta por la ingeniería didáctica (Artigue & Douady, 1995).
En el proceso de desarrollo de la ingeniería didáctica se tuvieron en cuenta varias dimensiones que permitieron el análisis y comprensión de los datos: la dimensión epistemológica, asociada a las características del saber puesto en funcionamiento; la dimensión cognitiva, asociada a las características cognitivas de los alumnos a los que se dirige la enseñanza; y la dimensión didáctica, asociada a las características del funcionamiento del sistema de enseñanza de Artigue y Douady (1995). Todas ellas forman parte de los procesos de construcción y análisis de la ingeniería didáctica, articuladas a las fases de la teoría de las situaciones didácticas de acción, formulación, validación e institucionalización, etapas que fueron notables durante el trabajo de campo y puestas en ejecución durante la investigación. Los aportes de la ingeniería didáctica al objeto matemático investigado están centrados en las dimensiones epistemológica, histórica, didáctica y cognitiva, y confluyen en la comprensión y reflexión del acto pedagógico, de la forma como el docente debe integrarse al conocimiento, para tener un dominio del objeto, conocer su estructura y las propiedades de los conceptos matemáticos y asumir su papel de mediador en la realización de la transposición didáctica (Chevallard, 1998) del objeto matemático -en términos comprensibles para el estudiante como protagonista del aprendizaje-, el saber desde lo epistemológico, y el profesor en el aspecto didáctico de la enseñanza, sin olvidar la forma lógica como el sujeto se aproxima o llega a la comprensión de las matemáticas.
Para el estudio se tomó una muestra de treinta estudiantes universitarios que cursaban primer año de Ingeniería de Sistemas y que ya habían estudiado este concepto matemático en la educación media, el cual está contemplado en los estándares por competencias emitidos por el Ministerio de Educación Nacional (2006). Para ello se estableció un contrato didáctico (Brousseau, 1997). Los instrumentos utilizados fueron: entrevistas, cuestionarios y videograbaciones. Uno de los medios utilizados fue la asistencia del programa de Geogebra. La investigación se desarrolló según las fases de la ingeniería: (a) Análisis preliminar; (b) análisis a priori; (c) análisis a posteriori; y (d) confrontación del análisis a priori y a posteriori. El método utilizado para el análisis de la información fue la triangulación de la información recogida sobre las evidencias de las actividades realizadas por los estudiantes a partir de la aplicación de los instrumentos previstos para la recolección, organización y análisis de la información, a partir del establecimiento de categorías de análisis propios de la investigación con enfoque cualitativo y que permitió a los investigadores establecer una confrontación entre el análisis a priori y el a posteriori propios de la ingeniería didáctica.
Resultados
En esta primera fase a-didáctica se identifica lo que conocen los estudiantes sobre el concepto de parábola, las concepciones y dificultades que poseen a cerca del objeto matemático, para lo cual se definen categorías de análisis y los elementos matemáticos en los modos de representación gráfico, algebraico y analítico que configuran el concepto de parábola y que fueron analizados previamente en libros de texto universitarios.
Los elementos de la parábola que están vinculados con los procesos en las tareas propuestas en el estudio de esta cónica son: lugar geométrico, ecuaciones canónicas, ecuaciones generales de la parábola, modos de representación, propiedades geométricas, directriz, foco, vértice y eje focal. Estos fueron analizados en varios momentos aplicando las situaciones a-didácticas y didácticas mediante actividades definidas para este propósito y con características semejantes, siempre buscando una asociación y relación de las estructuras, para analizar la comprensión a la que llegan los estudiantes sobre el objeto matemático.
A continuación se presentan desempeños de estudiantes en el desarrollo de algunas situaciones a-didácticas del cuestionario. La siguiente tarea permite identificar cómo el estudiante asocia una ecuación de segundo grado con una parábola.
El estudiante E25 aborda la solución de la tarea del cuestionario de manera gráfica y algebraica.
Cuadro 1 Situación 1 El estudiante E25 aborda la solución de la tarea del cuestionario de manera gráfica y algebraica
El estudiante muestra dificultad al identificar la relación entre los elementos que caracterizan la parábola a partir de la ecuación cuadrática. No da sentido y organización a la expresión algebraica para poder reconocer el tipo de ecuación canónica que se forma al cambiar la posición de las variables.
En esta otra tarea del cuestionario, el estudiante E5, pone de manifiesto lo siguiente:
Esto es lo que hace el estudiante durante la resolución de la tarea en el cuestionario.
Por la forma de resolver la tarea, el estudiante no utiliza correctamente el modo de representación gráfica para determinar los puntos que definen la cónica, ya que las coordenadas del foco (0,-4) son incorrectas. No utiliza la información de la directriz para hallar el valor de la distancia entre el vértice y el foco para determinar las coordenadas del foco (0,0); es decir, las relaciones de la curva de la parábola con los elementos que la constituyen. Tampoco identifica con precisión la orientación de la parábola, lo que no le permite una ubicación correcta del eje coordenado, además escribe de manera incorrecta la expresión algebraica que debe corresponder a la representación gráfica de la parábola que se plantea en la tarea. Como se pone en evidencia, no establece argumentos matemáticos que justifiquen los procesos analíticos aplicados, por tanto el estudiante está tratando de evocar en su memoria la ecuación de la parábola y no realiza un análisis que le permita determinar la ecuación a partir de los elementos que presenta la gráfica.
Al confrontar el desempeño de los estudiantes en la resolución de tareas del cuestionario con los argumentos en la entrevista semiestructurada, se evidencia que ellos justifican los errores cometidos en el proceso debido a que no recuerdan la ecuación que representa la cónica y aseguran no haber realizado un estudio previo del objeto matemático. No identifican los elementos que caracterizan la parábola. En el desarrollo de la entrevista, el trabajo se apoyó en la utilización del recurso informático, con el fin de que los estudiantes identificaran las dificultades o concepciones erróneas en sus respuestas. Se destaca el apoyo de la herramienta Geogebra, porque los estudiantes realizan procesos de construcción con lo cual pueden identificar problemas que se derivan de aplicar procesos erróneos y pueden hacer procesos de argumentación y conjeturas, sobre todo en la relación que presenta las variables y la influencia de la posición de la directriz y el foco, para conocer dónde está la dificultad o el problema, y lograr resolverlo.
En el análisis preliminar se considera que las diversas formas de representación que posee el objeto matemático hacen compleja la comprensión del concepto, ya que existen diferencias notables entre una ecuación cuadrática y una ecuación canónica de la parábola en la estructura. El estudio de la parábola como una cónica muestra relación con elementos que la caracterizan como el vértice, foco, directriz, orientación de la curva, mientras que en la ecuación general de segundo grado no se tienen en cuenta el foco, ni la ecuación de la directriz, el lado recto. Por esta razón, los estudiantes poseen dificultad al establecer relaciones entre el modo de representación gráfica y el modo algebraico, y por lo tanto, no alcanzan una representación analítica de la parábola.
Nótese que los estudiantes en el desarrollo de estas primeras tareas hacen interpretaciones que no son asumidas en forma consciente. Por ejemplo, en la organización de los términos en una ecuación cuadrática no logran dar sentido ni establecer relaciones entre las variables, no logran identificar la orientación de la curva, y no asocian los elementos que se incorporan en forma directa en el desarrollo analítico del concepto. En el estudio preliminar no lograron la construcción real del concepto, desconocen nociones previas, mencionan de memoria reglas y desconocen elementos del objeto matemático y sus características.
Durante la triangulación de los instrumentos aplicados, entrevistas y videograbaciones en el análisis a priori, se evidencian en el nivel cognitivo los siguientes resultados en los estudiantes: referencian la parábola como una ecuación general de segundo grado, no identifican la ecuación de una parábola como la curva de una cónica, reconocen algunos elementos geométricos de figuras; sin embargo, no identifican el concepto de lugar geométrico, porque tienen dificultad para comprender conceptos geométricos y para establecer relaciones analíticas entre los modos de representación algebraica y gráfica.
Los resultados del análisis a priori permitieron describir, explicar y conocer las formas como los sujetos se acercan al concepto, mediante la definición de categorías, para diseñar estrategias y tareas que permitieron en fase siguiente llegar de forma articulada, continua y coherente a la comprensión del concepto de parábola.
En la fase didáctica, la tarea siguiente permite conocer la forma como los estudiantes suelen coordinar los elementos que configuran la parábola con su representación gráfica y algebraica (CCPG). Esto es lo que pone de manifiesto el estudiante:
Esta es la forma como el estudiante interpreta y resuelve la tarea del cuestionario.
El estudiante identifica visualmente y de forma correcta algunos elementos de la parábola como el vértice, el eje focal y las coordenadas del foco. Luego construye la ecuación de la cónica mediante un proceso algebraico y establece la longitud del lado recto; lo que indica que interpreta el modo de representación gráfica y es capaz de realizar su transformación al modo de representacion algebraica, por tanto tiene comprensión de los elementos que caracterizan la parábola. En general, el estudiante mostró que reconoce los elementos que configuran la parábola como una ecuación de segundo grado, hace transformaciones entre modos de representación, aplica el concepto de lugar geométrico y las propiedades geométricas en la solución de problemas.
Continuando con la comprensión del concepto de parábola, esta es la manera como el estudiante E22 resuelve la siguiente tarea.
Este el proceso de resolución de la tarea del cuestionario por el estudiante.
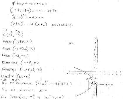
Este estudiante toma una ecuación general de segundo grado, la transforma algebraicamente, completa cuadrados y obtiene la ecuación canónica de la parábola (y+3) 2 =-4(x+1), que representa una parábola con vértice fuera del origen. Luego indica la posición del vértice y el foco considerando el valor del parámetro p como p=-1 -este valor lo asocia con la ecuación de la cónica (y-k)=-4p(x-h)-. Finalmente muestra la gráfica de la cónica mediante un desarrollo correcto. El proceso indica que él reconoce los elementos que configuran a la parábola y los relaciona, porque obtiene el vértice, el foco y la ecuación de la directriz, en su desempeño establece una coordinación entre los modos de representación algebraico, gráfico y analítico, y las transformaciones algebraicas.
Los siguientes procedimientos indican el proceso que sigue el estudiante E20 para resolver esta otra tarea del cuestionario.
El estudiante establece puntos de coordenadas que hacen parte de la función y
=
. Luego con ayuda del computador establece puntos simétricos de esta función, considerando como eje de simetría el eje x, e indica el punto que considera el vértice (2,0), y verifica mediante la ayuda de instrucciones del software las distancias con respecto al eje de simetría. Después establece la ecuación como la expresión correspondiente a la nueva gráfica y asume que las dos curvas forman una parábola, ya que indica los elementos correspondientes a la parábola que se formó tales como vértice, foco, lado recto, ecuación de la directriz. Como se observa, el estudiante establece de forma analítica los elementos de la parábola; logra realizar la transformación entre los modos de representación algebraica, gráfica y analítica; y construye la ecuación que es idéntica a la curva y establece patrones de comportamiento entre las curvas.
Lo anterior pone de manifiesto que el estudiante reconoce los elementos que configuran la parábola y la identifica como una ecuación de segundo grado, mediante procesos analíticos que le permiten realizar construcciones y verificar la posición de los puntos encontrados. Para ello, se apoya en el recurso informático que le facilita la ubicación y construcción de elementos geométricos y de esta manera logra confrontar la representación algebraica y la gráfica. En este sentido, cuando se tienen las condiciones y las acciones necesarias, se le permite al estudiante validar principios y propiedades geométricas, que le proporcionan el conocimiento necesario para realizar procesos de análisis, argumentación e hipótesis, que luego les facilita generar procesos propios del pensamiento matemático avanzado.
Los cuestionarios aplicados tienen como propósito la construcción del lugar geométrico, la identificación y relación de los elementos de la parábola, la transformación de diversos modos de representación algebraica, la aplicación de las propiedades geométricas de la parábola y la resolución de situaciones problema que conlleven al conocimiento y construcción del concepto de parábola. Cada tarea pide la elaboración y construcción de una estructura geométrica con características, lo que implica que el estudiante debe hacer cierto tipo de representaciones mentales y poner en juego su pensamiento visual, y de esta forma establecer propiedades que permitan generalizar y llegar a la construcción del concepto.
En el análisis a posteriori, a nivel cognitivo se observa que los estudiantes identifican los elementos que configuran la parábola apoyados en el modo de representación gráfico. Mediante un trabajo de tipo algebraico-analítico establecen la ecuación de la cónica y muestran habilidad para ubicar elementos de la parábola que se relacionan con el lugar geométrico de la curva. En este sentido, la construcción del lugar geométrico genera precisión en los procesos geométricos que implican relacionar y analizar elementos matemáticos; para ello, el estudiante utiliza con regularidad la ubicación de puntos, traza y relaciona distancias, construye ecuaciones de figuras geométricas que permiten hacer síntesis en el trabajo. Los procesos algebraicos que aplicaron los estudiantes están enmarcados en la organización de términos semejantes, completación de cuadrados, formación de trinomios cuadrados y agrupación de términos, para realizar procesos de transformación a diferentes modos de representación algebraica y establecer regularidades y semejanzas entre estas configuraciones algebraicas.
La herramienta informática facilitó el trabajo y provocó avances en el pensamiento visual. Esto se evidencia en aspectos como la relación de puntos considerando la ubicación, establecimiento de patrones, comportamientos y reglas en cierto tipo de curvas mediante construcciones de figuras, así como en la definición de propiedades de la parábola como simetría respecto a un eje, la incidencia de rayos que se proyectan en la superficie de una curva parabólica que posibilitó el estudio de las propiedades geométricas.
El desempeño de los estudiantes en el desarrollo de las diversas tareas está en relación directa con lo planteado en el estudio, ya que se muestra el proceso que siguen los sujetos en la comprensión del concepto. En una primera etapa, reconocen el lugar geométrico de la cónica y su comprensión les permite utilizar conceptos básicos geométricos para lograr la construcción de la ecuación de la cónica y el conocimiento de elementos como el vértice, la posición del foco o directriz. En una segunda fase, interpretan y relacionan otros elementos de la cónica como puntos de la curva, el eje de simetría, propiedades geométricas, ecuación de la directriz, longitud lado recto entre otros, para resolver situaciones problemas que involucran el concepto de parábola. En un tercer momento, logran realizar procesos de reversibilidad entre diversos modos de representación. El análisis refleja que el primer acercamiento que el estudiante tiene con la parábola es a partir de las ecuaciones cuadráticas y con su expresión algebraica, que de forma coherente los va acercando a otros sistemas de representación y permite relacionar los modos de representación algebraico y gráfico, mediante una representación de tipo analítico. Además, se logró que los estudiantes reconocieran la ecuación general de segundo grado, las ecuaciones de la parábola como cónica, y las propiedades geométricas y físicas de la parábola.
Finalmente, el análisis y la discusión de los resultados permiten mostrar la siguiente tabla:
La confrontación entre los análisis a priori y a posteriori muestra que hubo un cambio en la forma como el estudiante opera, concibe, analiza y realiza procesos de generalización y definición de conceptos. Por ejemplo, en el análisis a priori se observa que los estudiantes reconocen algunos elementos de la parábola como eje principal, la orientación de la curva. Sin embargo, luego de aplicar las situaciones didácticas, se ve avance en la forma como operan, analizan y realizan procesos que permiten hallar los elementos que configuran a la parábola a partir de una representación algebraica, apoyados en la elaboración construcciones geométricas y utilización de la geometría dinámica. Realizan procesos analíticos en los cuales utilizan las propiedades geométricas y transformaciones algebraicas que les permiten trasladar de un sistema de representación gráfico a uno algebraico y viceversa, con lo cual se demuestran que el diseño e implementación de unas secuencias didáctica de enseñanza permiten a los estudiantes la comprensión y desarrollo de un concepto de parábola.
Conclusiones
Los aportes y hallazgos de esta investigación están fundamentados en las dimensiones: histórico-epistemológica, didáctica, y en aspectos cognitivos del desempeño de algunos estudiantes. La primera hace referencia al conocimiento que debe tener el profesor investigador sobre la génesis y conocimiento del objeto matemático de investigación, para dar paso a la transposición didáctica, en la cual pone en juego diversos aspectos como: secuencias didácticas de enseñanza, uso de medios como el software de geometría dinámica, aplicación técnica de regla y compás, lo que le permite desde la triada -estudiante, saber y el profesor- conocer y comprender a partir del diseño de clase y del análisis didáctico el grado de comprensión alcanzado por los estudiantes.
La parábola como objeto matemático integra aspectos que la caracterizan como una cónica y su estudio relaciona diversos elementos matemáticos. La utilización del modo de representación gráfico favorece el acercamiento al conocimiento de la cónica. Mediante las construcciones geométricas se contribuye a deducir los elementos que determinan el concepto de lugar geométrico. El tratamiento entre registros de representación y la visualización permiten a los estudiantes abstraer información, lograr mayor nivel de comprensión y desarrollo de sus estructuras, para generar procesos de síntesis, generalización y definición. En este sentido, las secuencias didácticas permiten una organización del diseño de la clase, y causan impacto en el medio escolar en lo didáctico, porque fortalecen las prácticas del trabajo en el aula de clase.
En este estudio, la relación entre los modos de representación gráfica y algebraica permitió generar situaciones didácticas para el aprendizaje de aspectos relacionados con el lugar geométrico y propiedades de la cónica, apoyadas en diseño de clase y la mediación de entornos informáticos. El trabajo se enfocó en la representación gráfica, desde conceptos como: simetrías, distancias y ubicación de puntos para determinar la posición de los elementos de la parábola; aspecto que favoreció la comprensión y fue garante en la parte argumentativa de las discusiones en el trabajo colaborativo de los estudiantes. La utilización por parte del estudiante de diferentes sistemas de representación y la relación que establecieron entre los elementos que configuran el concepto de parábola, permitieron comprender cómo ellos llegan al conocimiento de la cónica. La forma didáctica de la instrucción y el diseño de tareas contribuyen a realizar procesos de aprendizaje en función de la argumentación, las inferencias e hipótesis, para dar sentido y significado a los conceptos matemáticos; sobre todo, cuando se utiliza la geometría dinámica y el diálogo de saberes a partir de discusiones. Este tratamiento permite que el estudiante pueda aplicar pensamiento visual y abstraer información, a través del uso de relaciones y del desarrollo de procesos de pensamiento avanzado como: síntesis, generalización y definición.
La comprensión y construcción del concepto de parábola se apoyó en los elementos matemáticos analizados de manera a priori y a posteriori mediante un diseño de secuencias organizadas. En este proceso algunos estudiantes mostraron dificultad en la construcción del lugar geométrico que implican la utilización de los elementos de la parábola con procesos algebraicos y la relación entre los modos de representación gráfico y algebraico, lo que permitió generar tareas didácticas que reforzaban estos aspectos. Sobre todo hubo apoyo en la representación gráfica y la mediación de los entornos informáticos y de esta forma se logró que el estudiante reconociera los elementos que caracterizan a la parábola-foco, directriz, vértice, orientación, lado recto- y estableciera una relación con el lugar geométrico del objeto y de forma analítica se llegara a su construcción.
En el mismo sentido, se consiguió el reconocimiento de las ecuaciones canónicas de la parábola por parte del estudiante para identificar su estructura, y el análisis de los valores que definen el parámetro p y la relación que deriva entre el punto fijo foco, el vértice de la gráfica y la ecuación de la directriz, lo que facilitó la construcción de las diversas ecuaciones canónicas que se forman al cambiar la posición del foco, vértice y la directriz, para generar un análisis y comprensión del concepto del lugar geométrico. Asimismo, se incorporó al estudio la ecuación general de segundo grado para establecer relaciones entre diversos modos de representación, mediante un proceso analítico para observar cómo el sujeto logra realizar una síntesis y abstracción de los vínculos y características que se presentan entre los elementos que configuran la parábola y de esta forma llegar a la generalización del concepto con el análisis de las propiedades geométricas, y la solución de situaciones problema, y la elaboración de construcciones que aplican conceptos de simetrías, relación entre ángulos y transformaciones geométricas, para reconocer las condiciones que se generan en la curva y la relación que se establece entre las posiciones de puntos, que permiten hallar el foco de forma analítica al igual que la directriz.
Las implicaciones educativas en la enseñanza de un concepto a nivel epistemológico y la utilización de un modelo teórico determinan criterios y métodos de trabajo. A través de un análisis preliminar se pueden conocer los factores inscritos en el contexto escolar que permiten concebir y elaborar unas secuencias didácticas en el diseño de una ingeniería didáctica que garantice el desarrollo de un proceso, mediante la formulación de indicadores del conocimiento, que adapten el objeto y lo pongan en contexto con los saberes que se requieren conocer y evaluar y desde esta concepción iniciar el proceso de transposición didáctica del desarrollo y construcción de un concepto matemático.


























