Services on Demand
Journal
Article
Indicators
-
Cited by SciELO -
Access statistics
Related links
-
Cited by Google -
Similars in
SciELO -
Similars in Google
Share
Revista Finanzas y Política Económica
Print version ISSN 2248-6046
Finanz. polit. econ. vol.10 no.1 Bogotá Jan./June 2018
https://doi.org/10.14718/revfinanzpolitecon.2018.10.1.3
Artículo de investigación
The Pacific Alliance and the potential effects of a Trans-Pacific Economic Cooperation Agreement without the United States*
** An economist, with a Master's Degree in Applied Economics from Universidad del Valle. Professor of the Department of Economics, Universidad del Valle. E-mail: leonardo. raffo@correounivalle.edu.co.
*** An economist, with a Master's Degree in Applied Economics, Universidad del Valle. Assistant professor of the Department of Economics, Universidad del Valle. E-mail: edwin. hernandez@correounivalle.edu.co.
**** An economist, with a Master's Degree in Technical Analysis, Portfolio Management and Day Trading from Real Centro Universitario Maria Cristina of Spain; and a Master's Degree in Applied Economics, Universidad del Valle. Advisor to the Social Well-being Secretary, Municipality of Yumbo. E-mail: alex.ec18@hotmail.com.
This article analyzes the possible consequences of the entry into force of the Trans-Pacific Partnership Agreement (TPP) without the United States for the countries of the Pacific Alliance (PA). It develops a descriptive analysis of the evolution of trade between PA countries and TPP member countries during the period 1980-2015. Gravitational models are also estimated to empirically examine the determinants of trade flows in these countries. As a result, the paper shows that TPP may favor trade flows in PA countries, and that the withdrawal of the U.S. from TPP would not affect these trade flows.
JEL: F10, F13, F14, F15, F17
Keywords: international trade; Pacific Alliance; Trans-Pacific Partnership; free trade agreements; comparative advantage; gravity model
Este artículo analiza las posibles consecuencias, para los países de la Alianza del Pacífico (AP), de la entrada en vigor del Acuerdo de Asociación Transpacífico (TPP) sin Estados Unidos. Para ello, se desarrolla un análisis descriptivo de la evolución del comercio de los países de la AP con el resto de los países miembro del TPP durante el periodo 1980-2015. También se estiman modelos gravitacionales para examinar empíricamente los determinantes de los flujos comerciales de estos países. Se encuentra que el TPP puede favorecer los flujos comerciales de los países de la AP y que la salida de Estados Unidos del TPP no afectaría estos flujos comerciales.
JEL: F10, F13, F14, F15, F17
Palabras clave: comercio internacional; Alianza del Pacífico; Acuerdo de Asociación Transpacífico; ventajas comparativas; modelo gravitacional
Este artigo analisa as possíveis consequências, para os países da Aliança do Pacífico (AP), da entrada em vigor do Acordo Transpacífico de Cooperação Econômica (TPP, na sigla em inglês) sem os Estados Unidos da América. Para isso, desenvolve-se uma análise descritiva da evolução do comércio dos países da AP com os demais países-membros do TPP durante o período 1980-2015. Também são estimados modelos gravitacionais para avaliar empiricamente os determinantes dos fluxos comerciais desses países. Constata-se que o TPP pode favorecer os fluxos comerciais dos países da AP, e que a saída dos Estados Unidos do TPP não afetaria esses fluxos.
Palavras-chave: Acordo Transpacífico de Cooperação Econômica; Aliança do Pacífico; comércio internacional; modelo gravitacional; vantagens comparativas
INTRODUCTION
This article analyzes the trade relations of the member countries of the Pacific Alliance (Mexico, Peru, Chile and Colombia, hereinafter PA) with the countries that signed the Agreement for Trans-Pacific Partnership (hereinafter TPP) in February 2016, also considering the U.S. withdrawal. The general objective is to analyze the potential consequences of the entry into force of the TPP without the United States for the trade flows of the countries of the Pacific Alliance.
To achieve this purpose, certain specific objectives are set, to wit: firstly, examine the evolution of trade flows in Colombia, Chile, Peru and Mexico with the signatories to the TPP7 and with the United States; secondly, specify and estimate a series of gravity regressions to explain trade in these four Latin American countries during 19802015, including dichotomous variables to capture the impact the implementation of the TPP may have; thirdly, make some predictions about the potential consequences of the entry into force of the TPP in the future for the countries of the PA; lastly, make policy recommendations for the Latin American countries subject to analysis. This article takes up the analysis conducted by Raffo, Diaz and Casas (2016) again. However, the difference here is that this piece contemplates the U.S. withdrawal from the TPP and updates the empirical analysis until 2015.
Having the TPP signed on February 4, 2016 in New Zealand by South American, North American, and Asia-Oceania countries consolidated what would be the largest trade treaty in the world. However, today there are conflicting positions by different governments on the potential advantages and risks that would bring the entry into force of the TPP. The U.S. withdrawal from this trade agreement by U.S. President Donald Trump on January 23, 2017 is clear proof of this. Meanwhile, other powers such as Japan, Malaysia, Australia, New Zealand and Canada are still expected to ratify the agreement. This is the case for emerging economies such as Malaysia and Australia, and from another perspective for Latin American economies of the PA such as Mexico, Peru and Chile. The Colombian case is rather different because Colombia has not formally agreed yet with current signatories on the actual possibility to adhere to the trade agreement.
However, the discussion on the potential benefits and threats of the TPP is controversial as well. Advocates of the advantages claim that Free Trade Agreements allow for expanding the limits of consumption possibilities by importing a wider range of goods, and they also benefit exports with the expansion of market sizes and the likelihood to generate greater income. Also, international competition leads in many cases to higher levels of specialization based on comparative advantages of countries (Heckscher, 1949; Ohlin, 1933; Samuelson, 1948, 1949; Jones 1965), which results in greater export and production flows in the short term. The use of economies of scale, greater productive diversification, and the goods price drop (Krugman, 1979, 1980; Grossman and Helpman, 1990) are also relevant as we go more deeply into economic integration.
Certain authors believe that, in general, trade agreements have various effects on inequality and poverty. Winters, McCulloch and McKay (2004) maintain that trade liberalization has positive effects on poverty in the short term, while the ratio in the long term tends to be negative, given the productivity adjustment and rates of return of factors (Ravallion, 2006). On the other hand, Rodriguez and Gill (2006) contend that regional gaps grow bigger upon changes in the structure of trade, and this increase has an impact on raw materials producing regions.
A decade later, Vallejo (2016) explains that the TPP gives way for monopolies and multinationals from developed countries to control intellectual property, create patents, and hold exclusivity rights to exploitation of resources from less developed countries, thus concentrating more income and not allowing for a long period competitors to enter the market. These arguments are relevant when considering that economies such as the economies of Mexico, Colombia, Peru and Chile export primary commodities with low technology content to other countries of the TPP, while these countries tend to export goods from the capital intensive manufacturing sector, skilled labor and technology.
On the other hand, certain authors show that generally the effects of trade partnerships involve decreasing the scope of bilateral trade in goods and services. Peridy (2005) studies the potential effects of the trade agreement among Jordan, Morocco, Egypt and Tunisia through the static and dynamic techniques of the gravity equation, finding that trade flows among these countries have decreased significantly due to high cost of transport between/ among them.
Armstrong (2015) analyzes exports between Australia and the United States during 1970 and 2008, and concludes that exports have decreased due to the Free Trade Agreement between both countries. Martinez and Nowak (2003), by contrast, study the effects of agreements between the European Union and Mercosur, based on which they have found, according to a gravity model, that the bilateral trade flow has increased between both blocs. Years later, Serrano, Martinez, Rodriguez and Salazar (2015) analyze the trade agreement between Mexico and the European Union, and identify that productive sectors in Mexico have significantly increased exports and imports because of their Free Trade Agreement. Bolivar, Cruz and Pinto (2015) assess the potential impact of trade agreements in Colombia, and conclude that trade agreements have a positive impact on bilateral trade flows.
Dissimilar predictions by previous efforts about the impact of trade agreements uncover a pressing need to deeply study the potential trade effects of the TPP on the countries of the PA in order to assess the potential incentives for these countries when entering into negotiations regarding this agreement. Potential trade effects of the TPP on the countries of the PA will hereinafter mean the potential effects the entry into force of this agreement may have on trade flows of the countries of the PA, estimating the net effect on trade flows caused by trading with countries that have so far signed or are interested in signing the TPP in the future, with control through other factors that significantly influence their trade activities.
It is to note that previous works have analyzed the potential effects of the TPP on the countries of the PA (Raffo, Diaz and Casas, 2016); however, that work fails to include up-to-date data on foreign trade for these countries and to consider the U.S. withdrawal, which has completely transformed perspectives on and implications of the probable entry into force in the future. On the other hand, Raffo, Hernandez, Diaz and Casas (2017) conduct an empirical analysis of the potential consequences of the entry into force of the TPP but only in respect of the Colombian economy case.
Therefore, one of the major contributions of this work to the related literature is an empirical analysis as current as possible to date using a series of recent data. In addition, it considers countries such as Chile and India when reviewing the impact of net potential trade of certain countries interested in entering into this agreement in the future. Lastly, the econometric model incorporates abundance variables in relation to productive factors (capital per worker and land per worker); this helps assess the fulfillment of the neoclassic theory of international trade and, in particular the Heckscher-Ohlin theorem in the case of the countries of the PA.
This article has been structured, in addition to this introduction, as follows: the first section explains certain background items of the reviewed trade agreements; a descriptive analysis of trade flows in Colombia, Chile, Mexico and Peru over the 1980-2015 period is developed in the second section; the third section presents the estimated gravity model; estimates are explained and results are obtained in the fourth section; lastly, conclusions are reached and recommendations on economic policy are made.
TRADE AGREEMENTS
By 2016, the TPP had become the world's largest Free Trade Agreement with twelve member countries: Australia, Brunei Darussalam, Canada, Chile, United States, Japan, Malaysia, Mexico, New Zealand, Peru, Singapore and Vietnam. These countries generated about 40% of the world's production, 25% of exports, and 28% of imports of both goods and services around the world. Their rough GDP per capita in 2015 was 30,587 constant 2010 dollars, and 11% of the world's population. Despite the U.S. withdrawal from the TPP in January 2017 by a presidential memorandum, this remains a significant trade agreement with 17% of the world's GDP, 15% of the world's trade flow (imports and exports), per capita income in 2015 of 28,674 constant 2010 dollars, and 7% of the world's population (World Bank, 2017).
On the other hand, Asian economies have transformed the evolution of international trade flows, e.g., the World Trade Organization (WTO) claims in 2015 World Trade Report that the Asian region has shown since 2010 an increasing higher trend compared to other regions such as North America, South America, Europe, Middle East and Africa.
As regards the PA, this is a regional integration initiative joined by Chile, Colombia, Mexico and Peru, organized on April 28, 2011 and formalized on June 6, 2012 (Cancillería of Colombia, 2016). According to Coutin and Teran (2016), from the very beginning the AP was envisaged as an economic bloc aiming at interregional integration in Latin America as well as an exogenous integration approach, i.e. with integration planned with other regions around the world, in particular Asia-Pacific.
With respect to relations with Asia, Chile and Peru are the countries of the PA with the highest number of trade agreements putting them in an advantaged position as their treaties have strengthened for years not only on trade flows but also on investment and tax, customs and phyto-sanitary cooperation (Coutin and Teran, 2016). Peru has seen significant profits from economic and political relations with countries of the Asia-Pacific Economic Cooperation (APEC), which have marked out greater trade flows, and have become a focus for Asian investment, an increasing trend in tourism, among others (Chan, 2016).
Overall, most of the trade flow of the countries of the PA with the Asia-Pacific economies have based upon comparative advantages. By way of illustration, exports from Chile and Peru in 2016 to Asian countries mostly focused on copper products, copper alloys, copper minerals and by-products (46% and 38%, respectively8); while Mexico and Colombia export oil, this is to say that most exports from the countries of the PA are primary commodities. The countries of the Asia-Pacific region export goods from the secondary sector (Roldan, Castro and Eusse, 2013; Coutin and Teran, 2016).
As for Colombia and the TPP, it is the only member country of the PA that was not invited as a negotiator for such agreement. To date, Colombia, in respect of trade relations with Asia, only has an effective agreement with South Korea. A treaty with Japan is being currently negotiated, as well as a treaty with Turkey and the Trade in Services Agreement (TiSA), with members from Middle East countries: Turkey and Israel; from South Asia: Pakistan; and from East Asia: Japan, South Korea, Hong Kong and Taiwan.
FOREIGN TRADE IN COLOMBIA, CHILE, MEXICO AND PERU, 1980-2015
During the assessment period, most exports from the countries of the PA have been addressed to the United States. Figure 1 conclusively shows that the proportion of exports from these countries to the USA compared to total exports is high and shows an average growing trend in the long term. By contrast, the proportion of exports to the current member countries of the TPP (without the U.S.) is very much lower during the 1980-2015 period: this represents a rough average of 11% compared to total exports. Given the high share of this country as the destination of exports from the PA, it might be thought that without this country the TPP will see a different history than the scenario before the U.S. withdrawal, but would this really be so? This concern is advisable to be discussed afterwards.

Source: own estimates based on Comtrade database (UN Comtrade, 2017).
Figure 1 Exports from the countries of the PA to the member countries of the TPP, USA and the rest of the countries as a proportion of their total exports 1980-2015)
The situation is not different for imports. The proportion of imports from the member countries of the TPP represents an average amount of 13% over the reviewed period -a level that has remained more or less constant during this period. Meanwhile, the fraction of imports from the USA represents an average amount of 49% during the same period, with a maximum value of 61% by the late 90s when it showed a slight increase (figure 2).

Source: own estimates based on Comtrade database (UN Comtrade, 2017).
Figure 2 Imports to the countries of the PA from the member countries of the TPP, USA and the rest of the countries as a proportion of their total imports 1980-2015)

Source: Own calculations based on UN Comtrade database (UN Comtrade, 2017).
Figure 3 Trade Flow per Each PA Country with United States (average share per decade)
These figures make it clear that during the 90s and by the beginning of the following decade, there was an increase in the share in trade between the countries of the PA as a bloc and the United States compared to total transactions. This foreign trade structure of the countries of the PA is largely explained by the evolution of Mexican international trade -the largest country in this group of the four Latin American countries of the PA. By 2015, in Mexico, 79% of total exports and 46% of total imports were to/from the United States. The hegemony of Mexico in relation to Chile, Peru and Colombia as to bilateral trade flow with the USA continues during the entire assessment period.
The average share of Mexican exports towards that country, all over that period, was 74%, while imports from the same country was 61%. For all other countries, the U.S. import and export share with respect to total trade is also high, but lower than Mexico's. Figures 3 and 4 show the trade structure per trade partner (regarding USA and TPP countries), grouping the four Latin American countries.
As evidenced in figures, the proportion of import and exports of the four countries towards TPP partners is relative less higher in the case of Mexico. All over the period surveyed, the average share of imports and exports towards TPP countries from that country (with respect to its total imports and exports) is 8% and 10%, respectively. The same proportions for Chile reach 20% and 10%, respectively, while for Peru, values are 18% and 17%, respectively. For Colombia, these are 10% and 19%, respectively.

Source: Own calculations based on UN Comtrade database (UN Comtrade, 2017).
Figure 4 Trade Flow per Each PA Country with TPP Member Countries (average share per decade)
The largest scale of the Mexican trade is corroborated upon comparing its total exports and imports with Chile, Peru and Colombia's total exports and imports. Figure 5 shows that trade of PA countries was invigorated during the 1990's and the first decade of this century. Figure 6 confirms the above in terms of import and export growth rates per decade, among which high import and export average growth rates of Mexico during 1990's stand out (11% and 19%, respectively), as well as high, but still lower, import and export average growth rates of Chile and Colombia during the same decade. In the case of Mexico, the entry into force of the NAFTA in 1994 explains to a large extent the invigoration of foreign trade. For its part, Peruvian exports grew less than imports during the 1990's (2% compared to 12%).

Source: Own calculations based on UN Comtrade database (UN Comtrade, 2017)
Figure 5 Total Trade Flow per Each PA Country (1980-2015)
During the next decade, high growth rates are observed for the four PA countries, in both imports and exports. This is especially evident in the cases of Peru, Colombia and Chile. These trends are consistent with globalization processes that were consolidated in Latin America in the 1990's.
Trade openness index9 calculated for the four countries show that Chile, Mexico and Peru have held relatively high levels, in particular with the arrival of the 21th century (figure 7, panel A). However, the country with the highest steady increase in its trade opening level is Mexico, which went from 18% in 1980 to 61% in 2015. Notwithstanding, according to the average ratio of such period, the most open country is Chile with 40%, followed by Mexico with 37%. The two countries with the lowest trade openness index all over the period are Peru with 29% and Colombia with 21%.

Source: Own calculations based on UN Comtrade database (UN Comtrade, 2017).
Figure 6 Trade Flow Growth Rate per Each PA Country (average per decade)

Source: Own calculations based on UN Comtrade and World Bank data
Figure 7 Trade Openness Index (TOI) of Each PA Country (1980-2015)
Nevertheless, when opening levels are assessed taking into account only trade interactions of PA countries with TPP members10, the order changes in the cases of Peru and Mexico. While Peru achieves the second place with a trade opening ratio of 4.9%, Mexico falls to third place with a 3.4%. In the case Chile, it continues to be the most open country with a 7.1%, while Colombia is the least open country with a 3.1% (figure 7, panel B).
METHODOLOGY AND ECONOMETRIC MODEL
Data Sources
The sample analyzed comprises the member countries of the Pacific Alliance and their trade partners. In particular, Chile's bilateral trade with 78 countries is assessed, as well as Colombia's bilateral trade with 84 countries, Mexico's bilateral trade with 85 countries and Peru's bilateral trade with 83 partners11. The surveyed period goes from 1980 to 2015. Therefore, there is a sample of 2476, 2717, 2682 y 2643 observations for Chile, Colombia, Mexico and Peru, respectively.
Gravity Model: Background and hypothesis at stake
Before presenting the model, it is necessary to briefly discuss some relevant works on the gravity model subsequent to the Tinbergen's seminal work (1962). For decades, gravity equations have been used as work model to connect bilateral trade flows with specific characteristics of each trade partner, such as the size of economies and bilateral characteristics (i.e. trade frictions between exporters and importers). Regularly, the log-log equation specifies that the flow created in country i and addressed to countryj may be explained by economic forces, where the origin of merchandises and the destination may contribute or interrupt trade transactions. However, Novy (2013) states that the largest contribution made by empirical literature is related to the understanding of the impact of trade frictions on international trade.
Linnemann (1966) proposed a theoretical basis based on the Walrasian general equilibrium system, as he set out that the gravity model is a reduced form a general equilibrium model of four equations of export supply and import demand. It should be explained that prices are not part of the equation, as they are always adjusted to equalize supply and demand. In this sense, Anderson (1977) also developed another of the first works on the theoretical basis of the model, based on linear expenditure systems.
Based on theoretical developments of Linnemann (1966), Bergstrand (1985) sought to determine the gravity equation as a reduced form of a partial equilibrium subsystem, derived from a general equilibrium model of international trade with differentiated goods. The author assures that every bilateral trade equation - such as the gravity model - must include, by definition, the income of exporters and importers as exogenous variables. He also suggests that the perfect substi-tutability of international goods in production and consumption, perfect arbitration of commodities, zero transportation fees and costs, since only in this way exchange prices will be excluded in the gravity model.
Results obtained by Bergstrand (1985) in his study comparing two models -the first one with the largest aggregation of variables and the second one with a lower aggregation aiming at including prices and exchange rates - empirically show that price and exchange rate variables have significant impacts on trade flows. But, the differentiation of products is caused by the national origin, and the arbitrage of basic products is imperfect.
On the other hand, the Heckscher-Ohlin (HO) theorem has been associated with the gravity equation, as it has historically been proven that a country exports the good that makes intensive use of the relatively abundant production factor in that country and imports the good that makes intensive use of the relatively scarce production factor, as set the H-O theorem. However, Sanso, Cuairan and Sanz (1989) express that empirical facts corroborate such theorem, but key assumptions supporting the H-O theorem are infringed in the formulation of the equation. Sanso, Cuairan and Sanz (1989) also deduce a functional way based on an expenditure system, taking into account the approach of Bergstrand (1989), where all countries have identical utility functions and products are differentiated per country of origin. Nevertheless, authors criticize this basis, as additional assumptions are required to reach a correct functional form of the equation. They say such assumptions do not allow making a direct deduction based on the approach of the expenditure system, which evidences that this is not a strict theoretical basis of the equation.
In the results of the exercise formulated by Sanso, Cuairan and Sanz (1989), within the classic gravity model, both incomes (the exporter and importer's) are expected to impact trade flows in a positive manner, with populations of both countries negatively affecting such flows. On the other hand, the unconventional gravity equation formulated by Sanso, Cuairan and Sanz (1989), both incomes and populations have an impact in the opposite direction, as the income of one country relatively abundant in labor has a negative influence, while the income of the country relatively abundant in capital has a positive impact on the monetary flow with no transportation cost. Regarding the population of the country relatively abundant in labor, this has a positive impact on trade flows, while the population of the country relatively abundant in capital negatively affects them; as all that which increases the divergence in factor shares stimulates trade between both countries, while similarity in factor shares makes trade decrease. On the other hand, the distance between both countries has a negative impact on either the theoretical model or the gravity equation.
The study conducted by Sanso, Cuairan and Sanz (1989) concludes that there is no compatibility between the gravity equation and the H-O theorem, given the discrepancy in the impact expected from income and population variables of both countries. Notwithstanding, the model estimated by the authors to check the unconventional gravity equation does not allow results to be generalized, as authors provide a case where there is no compatibility between the gravity equation and the H-O theory; but what can be generalized is the fact that this theory is not always compatible with the equation.
Previous models give rise to a gravity equation with a constant elasticity of trade with respect to trade costs. Novy (2013) holds that this characteristics means that, ceteris paribus, a trade cost reduction - such as a uniform duty cut - have the same proportional impact on bilateral trade, regardless duties were initially high or low, or how much or how little a couple of countries traded. The author suggests working with translogarithmic preferences, instead of CES-type preferences, due to their flexibility, a characteristic that helps breaking the constant link between the trade flows and trade costs, as the distance and geography's impact, monetary unions and free trade agreements affect international trade in several ways.
This author builds a database composed by exports from 28 countries within the Organization for Economic Cooperation and Development (OECD) for the year 2000. After estimating his classic gravity equation, he concluded that, under equal conditions, the less the two countries trade with each other and the smaller their bilateral import shares are, the more sensitive they will be to the bilateral trade costs. Besides, he suggests that variable elasticities of the trade cost may be a distinguishing characteristic of international trade data also in the industry field.
Usually, in works where the log-log gravity model is applied, it is guaranteed that costs increase with distance. Undoubtedly, political impediments of trade, the nature of traded goods and the importance of countries trading these goods have changed over the years. In short, identified deep parameters have been changing throughout time while the distance coefficient in estimations of the gravity equation has been essentially constant. Chaney (2013) usually affirms that the most used distance proxy in gravity models refers to direct costs from creating contacts abroad. This cost is essentially similar to the trade cost assimilated in international trade models. Nonetheless, there is a better way to approach to the distance variable: this is proposed by Chaney (2013) as the cost from creating contacts through those already existing contacts.
In the model of Chaney (2013), geographical distribution of a firm's exports depends on how much the creation of direct contacts costs to the firm. But, in the aggregate, the essence of the gravity equation remains. The first contribution of this model is the building of a manageable model of vertical production chains, where companies combine capital and manpower with intermediate inputs supplied by companies at a higher level. The author resumes the problem of the distance variable and concludes that technological progress in transportation or communications affects physical barriers, direct costs of information and even the frequency of interactions, but do not eliminate the need for direct interactions. Therefore, the distance impact on aggregated trade depends on the way companies are distributed according to their size. While individuals comprising firms establish direct communication with their clients and suppliers and, as long as information is introduced through these direct interactions, the aggregated trade should be expected to be closely proportional to the size of the country and inversely proportional to distance.
On the other hand, Mejia and Hassan (2014) propose a distance ratio based on the multivariate statistical analysis to be used as distance proxy, provided that the gross domestic product (GDP) is taken as proxy of the country's mass or size. For an empirical exercise, information is collected with panel data for ten Latin American economies between 1995 and 2000. The main objective of Mejia and Hassan (2014) is to propose a distance measure comprising geographical, cultural, social and economic aspects, to be subsequently used in a gravity model and then compare it with a traditional gravity model. The results obtained by the study evidence that the model including the ratio built as distance proxy adjusts better to the sample.
Likewise, these authors analyze that, regarding the numerical variables, a longer distance, higher differences in the actual exchange rate and greater political discrepancies imply longer- trade distance. On the other hand, regarding dummy variables, sharing a border and a common language imply a shorter distance, while having an island as trade partner implies a longer trade distance. In conclusion, geographical distance and transportation costs are relevant. But also synchronization costs, transaction costs or cultural distances should be considered in gravity models.
Relative factor shares for capital per labor and land per labor are introduced by Diaz (2014). Therefore, in the present study, besides estimating a model with the variables constituting the model's skeleton (distance among countries, as well as the GDP of countries analyzed -in this case, the PA members- and their trade partners), the full-filment of neoclassical trade theory is evaluated empirically and, specifically, the Heckscher-Ohlin theorem, by examining the potential impact these relative factor shares may have over foreign trade flows of PA countries. In that context, it is important to prove as hypothesis the compliance with this theorem: countries tend to export goods that use their relatively abundant resources intensively.
The other hypothesis to be examined, which is the main purpose of this article, is to examine if the P4 has produced and may produce a potential positive impact over the foreign trade of these countries, and the same with respect to trade with countries that have signed the agreement so far and with other countries interested in joining the agreement in the future. To prove this hypothesis, three dummy variables were added which capture the potential net effect of trade of the PA countries with these countries, which are described below.
Base Econometric Model
The gravity equation in logarithmical terms to be used as reference to analyze trade flows of PA countries is as follows:
Where i represents the PA countries; while j represents partner countries; t = 1980, 1981,..., 2015; In() is the transformation of the natural logarithm for each one of the variables of the equation [1]; its use allows interpreting coefficients as elasticities.
Trade Bilateral Flow (F ijt ): Average between exports and imports of the country and the country j during the year t, that is (X+M)/2. The export and import figures are measured in 2010 constant dollars from the Comtrade data source. Series were deflated through price implicit deflators of the GDP series of each country, taken from the World Bank.
Real Gross Domestic Product (Y it ., Y jt ): variable taken from the World Bank data; it corresponds to the real GDP of each country at 2010 constant prices. Y it is the gross domestic product of the country i in the year t; while Y jt is the gross domestic product of the country j in the year t.
Distance (D ij ): It is the distance between the capitals12 of countries i and j, calculated in kilometers from the latitude and longitude values of the respective geographical centers (geodesic distance). Data was obtained from the French Center for Study and Research on International Economics (CEPII in French, 2017).
Capital (K it , K jt ): It was estimated under the Lora (1994) methodology and the World Bank's statistics were used for its formulation. The capital series were deflated by means of price implicit deflators of the GDP series of each country, taken from the World Bank.
Land (T it ., T jt ): It means the arable lands measured in square kilometers; data was obtained for all the countries of the sample from the World Bank's indicators base.
Economically Active Population (L it , L jt ): It is the number of economically active persons and the data sources correspond to the World Bank.
Given the three variables of production factors (capital, land and labor), combinations can be made of capital per worker and land per worker. Then,
is the capital per worker of the country i in the year t;
is the capital per worker of the country j in the year t;
is the land per worker of the country i in the year t;
is the land per worker of the country j in the year t.
On the other hand, categorical variables are: border, language and a generic variable to be named as dummy. Border ij is a dichotomous variable that indicates if the country i shares borders with the country j. Language ij is a dichotomous variable that indicates if the country i shares the same language with the country j. Dummy is the dichotomous variable that, depending on the model, may be one of the following specific variables:
P 4jt: Member countries of the initial Transpacific Agreement. This variable measures the net impact of the PA members' trade with the P4 member countries, when controlled by the other trade determinants. The value of this variable will be 1 if the country subject to study (i) trades with Chile, New Zealand and Singapore, and 0 otherwise.
TPP jt : Countries currently comprising the TPP. This variable measures the net impact of PA member countries' trade with current TPP members after being controlled by the other trade determinants. The value of this variable will be 1 if the country subject to study trades with Australia, Canada, Chile, Japan, Malaysia, Mexico, New Zealand, Peru, Singapore and Vietnam; and 0 otherwise. United States is excluded from the TPP signing countries. Taking into account the Raffo, Diaz and Casas (2016) work, where United States was included in the TPP, marginal effects may be compared and then affirm - based on the estimated econometric models- if the exclusion of United States is significant or not as incentive for PA countries to be part of the TPP currently.
Possible jt : Countries currently comprising the TPP, plus countries that have shown interest to join the agreement, even though they are not under negotiations. The value of this variable will be 1 if the country subject to study trades with Australia, Bangladesh, Canada, Chile, China, Colombia, South Korea, Costa Rica, Philippines, India, Indonesia, Japan, Malaysia, Mexico, New Zealand, Peru, Singapore, Thailand and Vietnam; and 0 otherwise.
RESULTS OF ESTIMATIONS
In order to choose the fixed effects estimator for the four PA countries, the following procedure was applied: first, through the Breusch-Pagan test, the null hypothesis for estimation per grouped data was rejected in favor of the estimation per random effects panel data; then, by means of the F test, the null hypothesis for estimation per grouped data was rejected in favor of the estimation per fixed effects panel data; finally, between the random effects and fixed effects estimators, the Hausman test was run, in a way that the test was in favor of the fixed effects panel estimator.
Likewise, tests were conducted to know if specifications had autocorrelation and heterosce-dasticity problems. Tables 1, 2, 3 and 4 show each one of the tests. In the case of autocorrelation for all models and countries, the Wooldridge test was applied, where the null hypothesis was rejected in all the cases and, therefore, the first order autocorrelation was proved to exist. For heteroscedas-ticity, the Wald test was applied, where the null homoscedasticity hypothesis was rejected. Given the aforementioned problems, estimations were conducted by means of the fixed effects estimator corrected by autocorrelation and heteroscedastici-ty, through panel corrected standard errors (PCSE) (Beck and Katz, 1995; Beck, 2001). All calculations were made through the Stata software version 13.
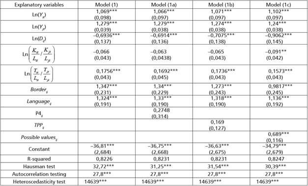
Table 1 Results from estimates for Chile

Note: standard errors in parenthesis; *** significant at 1%; ** significant at 5%; * significant at 10%.
Source: own estimates based on Comtrade and World Bank data.
Table 2 Results from estimates for Colombia

Note: standard errors in parenthesis; *** significant at 1%; ** significant at 5%; * significant at 10%.
Source: own estimates based on Comtrade and World Bank data.
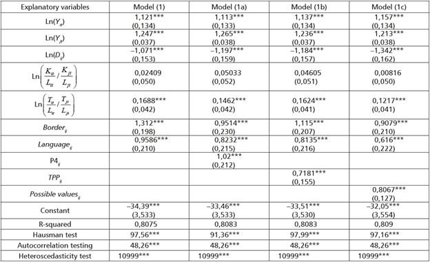
Table 3 Results from estimates for Mexico

Note: standard errors in parenthesis; *** significant at 1 %; ** significant at 5%; * significant at 10%.
Source: own estimates based on Comtrade and World Bank data.
Table 4 Results from estimates for Peru

Note: standard errors in parenthesis; *** significant at 1 %; ** significant at 5%; * significant at 10%.
Source: own estimates based on Comtrade and World Bank data.
Results Interpretation
Estimates contained in tables 1-4 show that the GDP in domestic countries (Colombia, Mexico, Peru and Chile) and foreign countries (trade partners of the member countries of the PA) have an influence as predicted by gravity equations. For example, the coefficient accompanying the GDP of the countries of the PA shows that upon a 1% increase in GDP, trade flow increases by 1.2% for Colombia; 2.3% for Mexico; 1.1 for Peru%; and 1.1% for Chile. It was to be expected that Mexico's coefficient would be the highest because it was the country with the highest exports and imports between 1980 and 2015. On the other hand, with 1% increases in GDP in other countries (trade partners of the member countries of the PA), trade flow increases by 1.2% for Colombia; 1.3% for Mexico; 1.3 for Peru%; and 1.3% for Chile. In all of these cases, coefficients showed to be significant.
In relation to the other canonical variable in gravity equations, the distance, estimates show the achievement of expected effects for these four economies, i.e. negative and significant parameters; Colombia, about -1.6; Mexico; about -13; Peru, about -1,2; and Chile; about -0.7. These results are consistent with the international trade theory, i.e. the farther the distance -which, by the way, tends to relate to higher financial cost, such as insurance and freight-, the lower the trade flow. In the case of Chile impact is lower because Chile holds a large number of trade agreements and it is the most open country in the group, thus offsetting to an extent the effect of distance on trade flows.
On the other hand, the variable representing the relative amount of capital per employee showed to have a negative impact for Colombia, Chile and Mexico, and a significant impact under certain models. In the case of Peru, the variable was not significant. Given that these four economies are rich in land, relatively intensive regarding the exploitation of non-renewable natural resources, raw materials and food, a negative and inconsistent and insignificant relation is to be expected from the relative capital per worker. Therefore, the following explanatory variable, relative provision of land per worker, is actually significant and positive in all of the estimated models for the four countries. Thus, with a 1% increase in provision of land per worker, trade flow increases in Colombia by 0.28%; 0.24% in Mexico; 0.14 in Peru%; and 0. 17% in Chile. These results empirically favor the fulfilment of the Hecksher-Ohlin theorem for all of the countries of the PA.
As regards the categorical variable referring to whether a country of the PA shares a border with its trade partners or not, it is found that, in model 1, Mexico develops 106% more trade activities with neighboring countries than with those Mexico does not share international borders with; Peru and Chile develop 271% and 285%, respectively, more trade activities with neighboring countries. For Colombia, the margin effect of this variable is not significant. Other models present similar estimated parameters. On the other hand, the categorical variable for shared language shows, in model 1, that Colombia develops on average 164% more trade activities with Spanish speaking countries; Mexico 227%; Peru 161% and Chile 276%. The other models found similar estimated parameters.
As regards the categorical variable of the member countries of the P4 (Chile, New Zealand and Singapore), estimated parameters for each country of the PA are positive and significant. On average, Colombian shows growth in trade by 92% with countries originally signing the Trans-Pacific Partnership; for Mexico, growth reaches 236%; Peru, 177%; and Chile only 32% since the P4 variable only includes New Zealand and Singapore.
Similarly, when the control group for the dummy variable includes the signatories to the TPP, Colombia, Mexico and Peru show positive and significant results. These results show that Colombia develops 86% more trade activities with signatories to the TPP; Mexico 153%; and Peru 105%; thus, there are incentives for countries to develop trade activities with the member countries of the TPP. As for Chile, this parameter is not significant; thus, the net effect of trade with the member countries of the TPP does not influence the Chilean trade flow, reason why Chile would not find any incentive to enter into the TPP with the current negotiators of the agreement. Results for Chile come from the fact that Chile has effective trade agreements with countries parties to the TPP, in addition to Chilean high levels of economic opening-up with the Asian region.
In addition, since estimates in terms of estimated values and significance of parameters are the same as those found in the work developed by Raffo, Diaz and Casas (2016), who, by the time, had the U.S. included in the dummy variable of the TPP, it may be claimed that the U.S. withdrawal from the TPP agreement has no effects on the trade flows of the PA, mostly because these countries already have free trade agreements with the USA.
Finally, the dummy variable relating to the potential members of the TPP shows positive and significant results for each country of the PA, so there are incentives for them to become a party to a larger agreement than their current agreements, if they adhere to the negotiations with other countries such as South Korea, Bangladesh, China, Philippines, Costa Rica, India, Thailand, Japan, Indonesia, Malaysia, and Colombia. Trade flow approximately would increase by 60% for Colombia with a TPP agreement that includes the aforementioned economies; 137% for Mexico; 124% for Peru; and 99% for Chile.
CONCLUSIONS
Most trade flows seen in the countries of the PA have been completed with the United States, and, to a lesser extent, with the countries currently negotiating the TPP, with Mexico as the country with the largest interaction with the North American economic power. However, in relation to the Asia-Pacific region, Chile and Peru are the member countries of the PA with the largest trade relations resulting from free trade agreements held with the countries of the APEC. This explains why countries such as Chile and Peru have higher economic opening-up rates than Mexico and Colombia with countries that are negotiating the TPP.
Estimated gravity equations for 1980-2015 show good adjustment and results as expected in terms of marginal effects and levels of significance. Results confirm that findings from previous analyses in which comparative advantages -largely resulting from a relative abundance of natural resources and unskilled labor- are key to explain the trade patterns seen in Chile, Colombia, Mexico and Peru (Diaz, 2014; Raffo, Diaz and Casa, 2016; Raffo et al., 2017).
Also, obtained results show the potentialities involved in trade relations between Latin America and Asia. Empirical evidence has been found that the net effect (with control through other relevant variables) of trade between the countries of the PA and the countries of the P4 has significantly influenced trade flows of the member countries of the PA during the assessed period. The same results were obtained, except for Chile, upon analyzing the net effect of trade between these countries and the members of the TPP.
The foregoing shows that the consolidation of the P4 has positively impacted trade flows in Colombia, Chile, Peru and Mexico. This also shows that the entry into force of the TPP with the countries of the PA may result in a significant positive impact on trade flows of countries from the first group. In addition, based on a comparison with the analysis conducted by Raffo, Diaz and Casas (2016), it has been proved that, in the event that the agreement is finally ratified, the trade flows of the countries of the PA would not be affected by the U.S. withdrawal from the TPP. The same results are obtained for the dummy variable, which captures the potential net effects on other countries interested in joining the TPP, such as Bangladesh, South Korea, Costa Rica, China, Philippines, India, Indonesia and Thailand.
In respect of the potential consequences for the countries of the PA of the entry into force of the TPP in the future, there are two major possibilities. The first one is the exploitation of trade complementarities resulting from export of goods using unskilled labor, land and natural resources intensively by the countries of the PA, while the countries of the Asia-Pacific region that entered into the TPP would export goods using capital, human capital and technology intensively. Acquiring high technology for lower prices would be beneficial in the long term to the countries of the PA, which would allow for the generation of higher added value in productive processes, and would further contribute to creating industry technology production sectors in the long term.
The second possibility -less optimistic- is the idea that, given the difference in the relative availability of factors, the countries of the PA would in the long term continue to export primary commodities with low technology content, as Asian economies would continue to export added value products to the PA such as cars, appliances, hardware, software, minicomponents, etc., without these goods becoming a part of the industries' production chain but going directly to final consumption by households, individuals and entities, and thereby, not adding value in terms of production and export of goods. This would make trade flows between the countries of the PA and the Asia-Pacific bloc of the TPP, as currently signed or in a subsequent extended version with new members, become characterized by the strong imbalance of trade to Asian countries both in the short and long terms.
In this regard, recommendation on economic policy is to explore the first identified possibility in which, if the countries of the PA join the trade agreement with the Asia-Pacific countries and Canada, the ideal thing would be to buy high tech goods that would become a part of the industries' production chain, so that economies of scale may be developed in the long term in manufacturing production, productive diversification, vertical and horizontal product differentiation so that the economies of the PA are able to find a stable sustained path to economic growth.
On the other hand and consistently with previous research using gravity models, the added value production of countries was found to positively influence trade flows, and distance -proxy variable of cost- has a negative influence. Therefore, the farther the distance (higher cost of international transport), the lower the international trade flows.
In respect of the relative abundance of production factors for each country of the PA, the land factor -with Mexico, Chile, Peru and Colombia relatively abounding in land- significantly positively influences trade flows for each of these countries. On the other hand, the capital factor does not significantly explain trade flows in the countries of the PA because these countries fail to abound relatively in this production factor. This evidence aims at the neoclassic theory of international trade and, in particular the Heckscher-Ohlin theorem. Likewise, these findings are consistent with the empirical research conducted by Diaz (2014) and Raffo, Diaz and Casas (2016) into the Colombian economy.
Lastly and as expected, dichotomous variables such as shared language and presence of trade partners sharing international geographical borders significantly positively explain the behavior of trade flows.
REFERENCES
1. Anderson, J. (1979). A theoretical foundation for the gravity equation. The American Economic Review, 69(1), 106-116. [ Links ]
2. Anzola, M. (2015). Colombia y el Acuerdo Transpacífico de Asociación Económica (TPP) ¿Nos conviene firmar más acuerdos comerciales? Razón Pública: Economía y Sociedad. Recuperado de http://www.razonpublica.com. [ Links ]
3. Armstrong, S. (2015). The economic impact of the Australia-United States Free Trade Agreement. Recuperado de https://crawford.anu.edu.au/pdf/ajrc/wpapers/2015/201501.pdf. [ Links ]
4. Banco Mundial (2017). Indicadores del Desarrollo Mundial. Recuperado de http://databank.bancomundial.org/data/reports.aspx?source=indicadores-del-desarrollo-mundial. [ Links ]
5. Beck, N. (2001). Time-series-cross-section data: What have we learned in the past few years? Annual Review of Political Science, 4(1), 271-293. [ Links ]
6. Beck, N. y Katz, J. N. (1995). What to do (and not to do) with time-series cross-section data. American Political Science Review, 89(3), 634-647. [ Links ]
7. Belloni, IP y Peinado, G. (2013). Inserción externa, capitales transnacionales e intercambio ecológicamente desigual en la América del Sur posneoliberal. Sociedad y Economía, 25, 15-38. [ Links ]
8. Bergstrand, J. H. (1985). The Gravity Equation in International Trade: Some microeconomic foundations and empirical evidence. The Review of Economics and Statistics, 67(3), 474-481. [ Links ]
9. Bergstrand, J. H. (1989). The gravity equation, monopolistic competition, and the factor-proportions theory in international trade. The Review of Economics and Statistics , 71 (1), 143-153. [ Links ]
10. Bolívar, L., Cruz, N. y Pinto, A. (2015). Modelo gravitacional del comercio internacional colombiano, 1992-2012. Economía y Región, 9(1), 245-270. [ Links ]
11. Cancillería de Colombia (2016). Alianza del Pacífico. Recuperado de http://www.cancilleria.gov.co/international/consensus/pacific-alliance. [ Links ]
12. CEPII (2017). Databases. Recuperado de http://www.cepii.fr/cepii/en/bdd_modele/bdd.asp. [ Links ]
13. Chan, J. (2016). El Perú y el Foro de Cooperación Económica Asia-Pacífico. Agenda Internacional, 23(34), 125-153. [ Links ]
14. Chaney, T (2013). The gravity equation in international trade: An explanation (NBER Working Paper n.° 19285). Recuperado de https://econpapers.repec.org/paper/nbrnberwo/19285.htm. [ Links ]
15. Comisión Económica para América Latina y el Caribe (CEPAL) (2012). La inversión extranjera directa en América Latina y el Caribe. Recuperado de http://repositorio.cepal.org/bitstream/handle/11362/1151/1/S2013381_es.pdf. [ Links ]
16. Coutin, R. y Terán, J .M. (2016). La Alianza del Pacífico : ¿apuesta estratégica de la política exterior colombiana? Icesi, Estudios Gerenciales, 32, 346-357. [ Links ]
17. De Nardis, S., De Santis, R. y Vicarelli, C. (2008). The Euro's effects on trade in a dynamic setting. European Journal of Comparative Economics, 5(1), 73-85. [ Links ]
18. Díaz, V. (2014). ¿Se cumple la teoría neoclásica del comercio internacional?: el caso colombiano entre 1980 y 2012. Sociedad y Economía , 27, 177-206. [ Links ]
19. Echavarría, J. J. y M. Villamizar (2007). El proceso colombiano de desindustrialización. En J. Robinson y M. Urrutia (Eds.), Economía colombiana del siglo XX: un análisis cuantitativo (pp. 173-237). Bogotá: Fondo de Cultura Económica y Banco de la República. [ Links ]
20. Fôldvári, P (2006). The economic impact of the European Integration on the Netherlands. A quantitative analysis of foreign trade and foreign direct investments. Recuperado de https://dspace.library.uu.nl/handle/1874/8528. [ Links ]
21. Gayá, R. y Michalczewsky, K. (2014). El comercio intrarregional sudamericano: patrón exportador y flujos intraindustriales. Recuperado de https://publications.iadb.org/handle/11319/6486. [ Links ]
22. Grossman, G. y Helpman, E. (1990). Comparative advantage and long run growth. American Economics Review, 80(4), 796-815. [ Links ]
23. Heckscher, E. (1949). The effect of foreign trade on the distribution of income 1919. En H. S. Ellis y L. A. Metzler (Eds.), Readings in the theory of international trade (pp. 272-300). Filadelfia: Blakiston. [ Links ]
24. Hommes, R. (2015, 5 de julio). La relevancia del TPP. El Tiempo. Recuperado de http://www.eltiempo.com/opinion/columnistas/la-relevancia-del-tpp-rudolf-hommes-columnista-el-tiempo/16046776. [ Links ]
25. Jones, R. (1965). The structure of simple general equilibrium models. Journal of political Economy, 73(6), 557-571. [ Links ]
26. Krugman, P. (1979). Increasing returns, monopolistic competition, and international trade. Journal of International Economics, 9(4), 469-479. [ Links ]
27. Krugman, P (1980). Scale economics, product differentiation, and the pattern of trade. American Economic Review, 70(5), 950-959. [ Links ]
28. Linnemann, H. (1966). An econometric study of international trade flows. Amsterdam: North Holand Pub. [ Links ]
29. Lora, E. (1994). Técnicas de medición económica: metodología y aplicaciones en Colombia. Bogotá: Tercer Mundo Editores. [ Links ]
30. Martínez, I. y Nowak, F. (2003). Augmented gravity model: An empirical application to Mercosur-European Union Trade Flows. Journal of Applied Economics, 6(2), 291-316. [ Links ]
31. Mejía, J. F. y Hassan, A. R. (2013). Solving the puzzle: A new measure of trade distance in the gravity equation. Medellín: EAFIT. [ Links ]
32. Novy, D. (2013). International trade without CES: Estimating translog gravity. Journal of Interntational Economics, 89, 271-282. [ Links ]
33. Ohlin, B. (1933). Interregional and international trade. Cambridge: Harvard University Press. [ Links ]
34. Organización Mundial del Comercio (OMC)(2015). Informe sobre el comercio Mundial 2015. Acelerar el comercio: ventajas y desafíos de la aplicación del Acuerdo sobre Facilitación del Comercio de la OMC. Recuperado de https://www.wto.org/spanish/res_s/booksp_s/world_trade_report15_s.pdf. [ Links ]
35. Ortiz, C. H. (2009). La desaceleración económica colombiana: se cosecha lo que se siembra. Revista de Economía Institucional, JJ (21), 107-137. [ Links ]
36. Ortiz, C. H., Uribe, J. S. y Vivas, H. (2009). Transformación industrial, autonomía tecnológica y crecimiento económico: Colombia 1925-2005. Archivos de Economía, 352. [ Links ]
37. Péridy, N. (2005). Toward a Pan-Arab Free Trade Area: Assessing trade potencial effects of The Agadir Agreement. The Developing Economies, 43(3), 329-345. [ Links ]
38. Raffo, L., Díaz, A. y Casas, J. (2016). Retos y oportunidades del Acuerdo de Asociación Transpacífico para los países de laAlianza del Pacífico . En M. De Miranda y J. T. Peláez (Eds.), Las relaciones Económicas entre América Latina y Asia. Hacia la construcción de una nueva inserción internacional (pp. 159-211). Cali: Pontificia Universidad Javeriana. [ Links ]
39. Raffo, L., Hernández, E. A., Díaz, A. y Casas, J. (2017). ¿Cómo podría afectarse el comercio exterior colombiano con el Acuerdo de Asociación Transpacífico? Revista Perfil de Coyuntura Económica (en prensa). [ Links ]
40. Ravallion, M. (2006). Looking beyond averages in the trade and poverty debate. World Development, 34(8), 1374-1392. [ Links ]
41. Rodríguez, A. y Gill, N. (2006). How does trade affect regional disparities? World Development , 34(7), 1201-1222. [ Links ]
42. Roldán, A., Castro, A. y Eusse, M. (2013). Comercio intraindustrial entre las economías de Asia y el Pacífico y laAlianza del Pacífico , 2007-2011. Santiago de Chile: CEPAL. Recuperado de http://repositorio.cepal.org/bitstream/handle/11362/4348/1/LCL3672_es.pdf. [ Links ]
43. Samuelson, P. A. (1948). International Trade and the equalisation of factor prices. Economic Journal, 58(230), 163-184. [ Links ]
44. Samuelson, P A. (1949). International factor price equalisation once again. Economic Journal , 59(234), 181-96. [ Links ]
45. Sanso, M., Cuairan, R. y Sanz, F. (1989). Flujos bilaterales de comercio internacional, ecuación de gravedad y teoría Heclscher-Ohlin. Investigaciones Económicas (segunda época), J3(1), 155-166. [ Links ]
46. Serrano, C., Martínez, A., Rodríguez, A. y Salazar, S. (2015). Evaluación de los efectos del Tratado de Libre Comercio entre la Unión Europea y México en el Comercio Bilateral y la Inversión. Recuperado de https://www.bbvaresearch.com/wp-content/uploads/2015/05/DT15-13_TLCUEM.pdf [ Links ]
47. Tinbergen, J. (1962). Shaping the World Economy: Suggestions for an international economic policy. Nueva York: Twentieth Century Fund. [ Links ]
48. UN Comtrade. (2005). Comtrade database. Recuperado de: https://comtrade.un.org/. [ Links ]
49. Vallejo, L. E. (2016). El tratado comercial más grande del mundo. Apuntes del Cenes, 35(61), 9-10. [ Links ]
50. Winters, L., McCulloch, N. y McKay, A (2004). Trade liberalization and poverty: The evidence so far. Journal of Economic Literature, 42, 72-115. [ Links ]
* This article is the result of research conducted by the Economic Development, Growth and Labor Market Research Team of Universidad del Valle (rated A by Colciencias), in the context of the Internal Call for Research Encouragement of the School of Social and Economic Sciences of Universidad del Valle and the Research and Socioeconomic Documentation Center (CIDSE, acronym in Spanish) for the first half of 2017. We would appreciate the provision of research assistance to Diego Canizales Lopez, Valentina Botero Cardona and Miguel Angel Ortiz. The opinions expressed in this article are the authors' sole liability.
Received: June 30, 2017; Revised: September 04, 2017; Accepted: October 05, 2017










text in 




